法令文庫
  • 法令
  • 制定法律
  • 判例
  • ヘルプ
    • このサイトについて
    • サイトポリシー
    • サイトマップ
    • 外部リンク集
昭和三十七年自治省令第十七号

普通交付税に関する省令

地方交付税法(昭和二十五年法律第二百十一号)、地方交付税法の一部を改正する等の法律(昭和三十七年法律第五十九号)附則第三項及び第四項、新市町村建設促進法(昭和三十一年法律第百六十四号)第二十三条及び附則第六項(新産業都市建設促進法(昭和三十七年法律第百十七号)第二十四条第七号及び市の合併の特例に関する法律(昭和三十七年法律第百十八号)第三条第一項第十号(同法附則第五項において準用する場合を含む。)においてこれらの規定の例によるものとされる場合を含む。)、低開発地域工業開発促進法(昭和三十六年法律第二百十六号)第五条、産炭地域振興臨時措置法(昭和三十六年法律第二百十九号)第六条並びに新産業都市建設促進法第二十二条の規定に基づき、並びに地方交付税法の規定を実施するため、地方団体に対して交付すべき地方交付税のうち普通交付税の額の算定に関する省令を次のように定める。
地方団体に対して交付すべき地方交付税のうち普通交付税の額の算定に関する省令(昭和三十六年自治省令第十九号)の全部を改正する。

目次

  • 第一章 総則(第一条〜第四条)
  • 第二章 基準財政需要額の算定方法(第五条〜第十七条)
  • 第三章 基準財政収入額の算定方法
    • 第一節 都道府県分(第十八条〜第三十条)
    • 第二節 市町村分(第三十一条〜第四十一条)
    • 第三節 低開発地域工業開発促進法等による特例(第四十二条〜第四十四条)
    • 第四節 補則(第四十五条)
  • 第四章 錯誤にかかる措置(第四十六条・第四十六条の二)
  • 第五章 合併市町村の特例(第四十七条〜第五十条)
  • 第六章 雑則
    • 第一節 廃置分合又は境界変更があつた場合の措置(第五十一条〜第五十三条)
    • 第二節 大規模な災害があつた場合の特例(第五十四条)
    • 第三節 意見の聴取(第五十五条)
  • 附則

第一章 総則

(趣旨)

第一条地方団体に対して交付すべき地方交付税のうち普通交付税(以下「普通交付税」という。)に関しては、地方交付税法(以下「法」という。)その他の法令に定めるもののほか、この省令の定めるところによる。

(特別区の存する区域への準用)

第二条特別区の存する区域(以下「特別区」という。)は、市とみなし、特別の定めがある場合のほか、この省令の規定中市に関する規定を準用する。

(普通交付税の算定に関する資料)

第三条都道府県知事は、総務大臣の定める様式によつて、当該都道府県の基準財政需要額及び基準財政収入額に関する資料その他総務大臣の定める資料を作成し、これを総務大臣の指定する日までに総務大臣に提出しなければならない。
2市町村長は、総務大臣の定める様式によつて、当該市町村の基準財政需要額及び基準財政収入額に関する資料その他総務大臣の定める資料を作成し、これを総務大臣の指定する日までに都道府県知事に提出しなければならない。
3地方団体の長は、当該地方団体に係る次の各号に掲げる測定単位の数値の算定の基礎となる事項を記載した台帳を備えておかなければならない。
一道路の面積及び道路の延長
二河川の延長
三港湾(漁港を含む。)における係留施設の延長及び外郭施設の延長
四市町村が管理する都市公園の面積
五恩給受給権者数
六災害復旧事業費の財源に充てるため発行について同意又は許可を得た地方債(発行について地方財政法(昭和二十三年法律第百九号)第五条の三第六項の規定による届出がされた地方債のうち同条第一項の規定による協議を受けたならば同条第十項に規定する基準に照らして同意をすることとなると認められるものとして総務大臣が指定するものを含む。以下同じ。)に係る元利償還金
七辺地対策事業費の財源に充てるため発行について同意又は許可を得た地方債に係る元利償還金
八平成四年度から平成十年度までの各年度において国の補正予算等に係る事業費の財源に充てるため発行を許可された地方債のうち総務大臣が指定したものに係る元利償還金
4地方団体の長は、当該地方団体に係る次の各号に掲げる補正係数の算定の基礎となる事項を記載した台帳を備えておかなければならない。
一港湾事業費(漁港事業費を含む。)の財源に充てるため発行について同意又は許可を得た地方債に係る元利償還金
二河川事業費の財源に充てるため発行について同意又は許可を得た地方債に係る元利償還金
三地方公営交通事業の再建のため発行について同意又は許可を得た地方債に係る元利償還金
四地下鉄事業債に係る支払利息の財源に充てるため発行について同意又は許可を得た地方債に係る元利償還金
五地下高速鉄道の建設に係る事業費の出資金の財源に充てるため発行について同意又は許可を得た地方債に係る元利償還金
六地下高速鉄道の緊急整備に係る事業費の財源に充てるため発行について同意又は許可を得た地方債に係る元利償還金
七新住宅市街地開発事業又は土地区画整理事業により開発又は造成される市街地の居住者及び空港の利用者の利用のために建設される鉄道又は軌道(以下「ニュータウン鉄道等」という。)の建設に係る事業費の出資金の財源に充てるため発行について同意又は許可を得た地方債に係る元利償還金
八上水道事業の水源開発及び広域化対策並びにそれらに係る事業費の出資金に充てるため発行について同意又は許可を得た地方債に係る元利償還金
九上水道高度浄水施設整備事業、老朽管更新事業、上水道未普及地域解消事業及び上水道災害・安全対策事業の事業費の出資金に充てるため発行について同意又は許可を得た地方債に係る元利償還金
十簡易水道事業費の財源に充てるため発行について同意又は許可を得た地方債に係る元利償還金
十一公園緑地事業費の財源に充てるため発行について同意又は許可を得た地方債に係る元利償還金
十二下水道事業費の財源に充てるため発行について同意又は許可を得た地方債に係る元利償還金
十三空港整備事業費の財源に充てるため発行について同意又は許可を得た地方債に係る元利償還金
十四地域防災計画に掲上されている災害危険区域において災害の発生を予防し、又は災害の拡大を防止するために単独で実施する事業に係る経費の財源に充てるため発行について同意又は許可を得た地方債に係る元利償還金
十五義務教育施設整備事業費の財源に充てるため発行について同意又は許可を得た地方債に係る元利償還金
十六立替施行に係る義務教育施設の譲受代金の年次支払額
十七病院事業費の財源に充てるため発行について同意又は許可を得た地方債に係る元利償還金
十八公立大学附属病院事業費の財源に充てるため発行について同意又は許可を得た地方債に係る元利償還金
十九清掃施設整備事業費(用地取得費及び清掃運搬施設等整備事業費を除く。)の財源に充てるため発行について同意又は許可を得た地方債に係る元利償還金
二十立替施行に係る清掃施設の譲受代金の年次支払額
二十一産炭地域開発就労事業費、炭鉱離職者緊急就労対策事業費、特定地域開発就労事業費、旧炭鉱離職者緊急就労対策事業従事者暫定就労事業費、産炭地域開発就労事業従事者自立促進事業費及び産炭地域開発就労事業従事者就労確保事業費の財源に充てるため発行について同意又は許可を得た地方債に係る元利償還金
二十二災害対策基本法(昭和三十六年法律第二百二十三号)第百二条第一項各号に掲げる場合に係る経費の財源に充てるため発行について同意又は許可を得た地方債に係る元利償還金
二十三市町村が管理する農道の延長

(端数計算)

第四条基準財政需要額及び基準財政収入額を算定する場合においては、特別な定めがある場合のほか、その算定の過程及び算定した額に五百円未満の端数があるときはその端数金額を切り捨て、五百円以上千円未満の端数があるときはその端数金額を千円として計算するものとする。

第二章 基準財政需要額の算定方法

(測定単位の数値の算定方法)

第五条法第十二条第一項の測定単位の数値は、次の表の上欄に掲げる測定単位につき、それぞれ中欄に定める算定方法によつて、下欄に掲げる表示単位に基づいて算定する。
測定単位の種類測定単位の数値の算定方法表示単位
一 人口国勢調査令(昭和五十五年政令第九十八号)によつて調査した令和二年十月一日現在における人口。以下別段の定めがある場合を除き同じ。人
二 面積1 国土地理院において公表した前年度の一月一日現在の当該地方団体の面積。ただし、入会地、錯雑地、共有地、組合地、国有林等で分割すべきものについてはこれらの面積の範囲内において関係地方団体の長の協議によつて修正した面積とし、湖沼、池又は潟(国土地理院において前年度中に湖沼として面積を公表しているものをいう。以下同じ。)で二以上の都道府県の区域にまたがるもののうち国土地理院において公表した関係都道府県の面積に含まれていないものについてはこれらの面積を関係都道府県知事の協議によつて分割しこれをそれぞれ当該関係都道府県の面積に加えるものとする。2 都道府県の「地方行政に要する経費のうち個別算定経費以外のもの」に係る面積のうち「宅地の面積」は、当該都道府県の区域内の市町村に係る3による「宅地の面積」を合計して得た数値とし、「耕地の面積」は、農林業センサス規則(昭和四十四年農林省令第三十九号)によつて調査した令和二年二月一日現在における耕地の面積とし、「林野の面積」は、農林業センサス規則によつて調査した令和二年二月一日現在における民有林野(独立行政法人(独立行政法人通則法(平成十一年法律第百三号)第二条第一項に規定する独立行政法人をいう。以下同じ。)、国立大学法人(国立大学法人法(平成十五年法律第百十二号)第二条第一項に規定する国立大学法人をいう。以下同じ。)及び特殊法人(法律により直接に設立された法人又は特別の法律により特別の設立行為をもつて設立された法人であつて、総務省設置法(平成十一年法律第九十一号)第四条第一項第八号の規定の適用を受けるものをいう。以下同じ。)の所管する林野を除く。)の面積とし、「その他の面積」は、1の面積から「宅地の面積」、「耕地の面積」及び「林野の面積」を除いたものとする。3 市町村の「地域振興費」及び「地方行政に要する経費のうち個別算定経費以外のもの」に係る面積のうち「宅地の面積」は、前年度分の固定資産税に係る概要調書(地方税法(昭和二十五年法律第二百二十六号)第四百十八条又は第四百二十一条第一項に規定する概要調書をいう。以下同じ。)に記載されている宅地の面積とし、「田畑の面積」は、前年度分の固定資産税に係る概要調書に記載されている田の面積と畑の面積との合計数とし、「森林の面積」は、農林業センサス規則によつて調査した令和二年二月一日現在における公有及び私有の森林の合計面積とし、「その他の面積」は、1の面積から「宅地の面積」、「田畑の面積」及び「森林の面積」を除いたものとする。ただし、「宅地の面積」、「田畑の面積」及び「森林の面積」の合計数が1の面積を超えるときは、その合計数が1の面積となるようにそれぞれ按あん分した数値とする。4 1から3までの数値に小数点以下二位未満の端数があるときは、その端数を四捨五入する。平方キロメートル
三 警察職員数当該年度の四月一日現在における警察法施行令(昭和二十九年政令第百五十一号)別表第二に定める当該都道府県の地方警察職員である警察官の定員の基準数(同令附則第二十五項の規定により加えられたものは、含まれないものとする。)人
四 道路の面積前年の四月一日現在において道路法(昭和二十七年法律第百八十号)第二十八条に規定する道路台帳(以下「道路台帳」という。)に記載されている道路(同法第九条の路線の認定の公示、同法第十八条第一項の道路の区域の決定の公示及び同条第二項の供用開始の公示が行われたものをいい、渡船施設、路面幅員二・五メートル未満の国道及び都道府県道(橋りようを除く。)、路面幅員一・五メートル未満の市町村道(橋りようを除く。)並びに道路整備特別措置法(昭和三十一年法律第七号)第十八条の規定によつて料金を徴収するもの及び同法附則第四条又は第五条第二項の規定により維持、修繕その他の管理を行うものを除く。)で当該地方団体が管理するものの面積。ただし、前年の四月二日からその年の四月一日までの間において、地方団体の廃置分合、大規模な境界変更、指定都市(地方自治法(昭和二十二年法律第六十七号)第二百五十二条の十九第一項の指定都市をいう。以下同じ。)の指定若しくは平成二十五年十二月二十日の閣議決定「事務・権限の移譲等に関する見直し方針について」に基づく国と当該地方団体との個別協議により又は道路法第十七条第二項若しくは第三項の規定に基づき道路を管理する地方団体に変更があつたときは、総務大臣が必要と認める場合に限り当該面積をその年の四月一日現在における道路の管理者の区分により分別した数値を用いることができる。千平方メートル
五 道路の延長前年の四月一日現在において道路台帳に記載されている道路(道路法第九条の路線の認定の公示、同法第十八条第一項の道路の区域の決定の公示及び同条第二項の供用開始の公示が行われたものをいい、渡船施設、路面幅員一・五メートル未満の市町村道(橋りようを除く。)並びに道路整備特別措置法第十八条の規定によつて料金を徴収するもの及び同法附則第四条又は第五条第二項の規定により維持、修繕その他の管理を行うものを除く。)で当該地方団体が管理するもの(道路法第十三条第一項に規定する政令で指定する区間(以下「指定区間」という。)内の道路で当該地方団体がその経費の一部又は全部を負担するものを含む。)及び直轄高速道路(高速自動車国道法(昭和三十二年法律第七十九号)第五条の規定に基づき、令和五年四月一日以前に開催された国土開発幹線自動車道建設会議の議を経た整備計画により、直轄方式で整備することとなつた区間をいう。以下同じ。)で高速自動車国道法第七条第一項の区域の決定の公示及び同条第二項の供用開始の公示が行われたものの延長。ただし、前年の四月二日からその年の四月一日までの間において、地方団体の廃置分合、大規模な境界変更若しくは指定都市の指定により又は道路法第十七条第二項若しくは第三項の規定に基づき道路を管理する地方団体に変更があつたときは、この表中四のただし書の規定を準用する。キロメートル
六 河川の延長前年の四月一日現在において河川法(昭和三十九年法律第百六十七号)第十二条第二項に規定する河川現況台帳(以下「河川現況台帳」という。)に記載されている河川(当該地方団体がその経費を負担しないものを除く。)の河岸のうち当該地方団体の区域内に所在するものの延長。ただし、前年の四月二日からその年の四月一日までの間において、地方団体の廃置分合、大規模な境界変更、道府県から指定都市への管理権限の委譲等により河川を管理する地方団体に変更があつたときは、総務大臣が必要と認める場合に限り当該河川の延長をその年の四月一日現在における河川管理者の区分により分別した数値を用いることができる。キロメートル
七 港湾における係留施設の延長1 前年の三月三十一日現在において港湾法(昭和二十五年法律第二百十八号)第四十八条の二第一項の港湾台帳(以下「港湾台帳」という。)に記載されている係留施設(係船浮標及びドルフィン以外の係船くいを除く。)の延長の合計数。ただし、当該地方団体が経費を負担しない施設(企業庁、企業局その他これに類似するものが経費を負担する施設を含む。)、当該地方団体の組織する組合(地方自治法第二百八十四条第一項の組合をいう。以下同じ。)又は港務局が経費を負担しない施設及び漁港(港湾法第三条ただし書の規定によつて同法の規定の適用を受ける漁港のうち国際拠点港湾又は重要港湾に指定されているものを除く。)に係るものを除く。2 地方団体が組織する組合又は港務局が管理する港湾における係留施設の延長は、これらの数値を当該港湾における経費の負担割合を基礎として当該組合又は港務局を組織する地方団体の長が協議して定める率(協議が成立しないときは、総務大臣が定める率)によつて按分したものを、それぞれ関係地方団体に属する係留施設の延長とする。3 前年の四月一日からその年の四月一日までの間において、地方団体の廃置分合又は境界変更があつたこと等により港湾管理者、地方団体が組織する組合若しくは港務局の構成団体又はこれらの管理する港湾における経費の負担割合(以下この表中七において「港湾の管理状況」と総称する。)に変更があつた場合における関係地方団体の係留施設の延長は、総務大臣が必要と認める場合に限り、その年の四月一日現在における港湾の管理状況により2の規定を適用して算定した数値を用いることができる。メートル
八 港湾における外郭施設の延長1 前年の三月三十一日現在において港湾台帳に記載されている外郭施設(水門及びこう門を除き、廃棄物処理施設のうち廃棄物埋立護岸を含む。)の延長の合計数。ただし、当該地方団体が経費を負担しない施設(企業庁、企業局その他これに類似するものが経費を負担する施設を含む。)、当該地方団体の組織する組合又は港務局が経費を負担しない施設及び漁港(港湾法第三条ただし書の規定によつて同法の規定の適用を受ける漁港のうち国際拠点港湾又は重要港湾に指定されているものを除く。)に係るものを除く。2 地方団体が組織する組合又は港務局が管理する港湾における外郭施設の延長については、この表中七の2の規定を準用する。3 二以上の地方団体が経費を負担する港湾又は漁港における外郭施設の延長は、これらの数値を当該港湾又は漁港における経費の負担割合を基礎として関係地方団体の長が協議して定める率(協議が成立しないときは、総務大臣が定める率)によつて按分したものを、それぞれ関係地方団体に属する外郭施設の延長とする。4 前年の四月一日からその年の四月一日までの間において、地方団体の廃置分合又は境界変更があつたこと等により港湾管理者、地方団体が組織する組合若しくは港務局の構成団体又は港湾における経費の負担割合(以下この表中八において「港湾の管理状況」と総称する。)に変更があつた場合における関係地方団体の外郭施設の延長は、総務大臣が必要と認める場合に限り、その年の四月一日現在における港湾の管理状況により2又は3の規定を適用して算定した数値を用いることができる。メートル
九 漁港における係留施設の延長1 前年の三月三十一日現在において漁港漁場整備法(昭和二十五年法律第百三十七号)第三十六条の二の漁港台帳(以下この表及び附則第二十一条第一項第一号の表において「漁港台帳」という。)に記載されている係留施設(係船浮標及び係船くいを除く。)の延長の合計数。ただし、当該地方団体が経費を負担しない施設(企業庁、企業局その他これに類似するものが経費を負担する施設を含む。)及び港湾法第三条ただし書の規定によつて同法の規定の適用を受ける漁港のうち国際拠点港湾又は重要港湾に指定されているものに係るものを除く。2 地方団体が組織する組合又は港務局が管理する漁港における係留施設の延長は、これらの数値を当該漁港における経費の負担割合を基礎として当該組合又は港務局を組織する地方団体の長が協議して定める率(協議が成立しないときは、総務大臣が定める率)によつて按分したものを、それぞれ関係地方団体に属する係留施設の延長とする。3 前年の四月一日からその年の四月一日までの間において、地方団体の廃置分合又は境界変更があつたこと等により漁港管理者、地方団体が組織する組合若しくは港務局の構成団体又はこれらの管理する漁港における経費の負担割合(以下この表中九及び十並びに附則第二十一条第一項第一号の表中四及び五において「漁港の管理状況」と総称する。)に変更があつた場合における関係地方団体の係留施設の延長は、総務大臣が必要と認める場合に限り、その年の四月一日現在における漁港の管理状況により2の規定を適用して算定した数値を用いることができる。メートル
十 漁港における外郭施設の延長1 前年の三月三十一日現在において漁港台帳に記載されている外郭施設(水門及びこう門を除く。)の延長の合計数。ただし、当該地方団体が経費を負担しない施設(企業庁、企業局その他これに類似するものが経費を負担する施設を含む。)及び港湾法第三条ただし書の規定によつて同法の規定の適用を受ける漁港のうち国際拠点港湾又は重要港湾に指定されているものに係るものを除く。2 地方団体が組織する組合又は港務局が管理する漁港における外郭施設の延長については、この表中七の2の規定を準用する。3 二以上の地方団体が経費を負担する漁港における外郭施設の延長については、この表中八の3の規定を準用する。4 前年の四月一日からその年の四月一日までの間において、地方団体の廃置分合又は境界変更があつたこと等により漁港の管理状況に変更があつた場合における関係地方団体の外郭施設の延長は、総務大臣が必要と認める場合に限り、その年の四月一日現在における漁港の管理状況により2又は3の規定を適用して算定した数値を用いることができる。メートル
十一 都市計画区域における人口前年の四月一日現在における都市計画法(昭和四十三年法律第百号)第四条第二項の規定による都市計画区域に係る当該地方団体の人口(当該地方団体の区域の一部が都市計画区域であるときは、総務大臣の承認した人口)人
十二 都市公園の面積都市公園法(昭和三十一年法律第七十九号)に基づき市町村が設置する都市公園(市町村の組織する組合が設置する都市公園は、当該都市公園が所在する市町村の都市公園とみなす。)のうち前年の四月一日現在において同法第十七条第一項に規定する都市公園台帳に記載されている面積(表示単位未満の端数があるときは、その端数を四捨五入する。)千平方メートル
十三 小学校の教職員数当該年度の五月一日現在における当該都道府県の区域内の市(指定都市を除く。)町村の設置する小学校及び義務教育学校の前期課程について、公立義務教育諸学校の学級編制及び教職員定数の標準に関する法律(昭和三十三年法律第百十六号)第三条第一項、公立義務教育諸学校の学級編制及び教職員定数の標準に関する法律の一部を改正する法律(令和三年法律第十四号。以下「標準法改正法」という。)附則第二条第一項の規定により読み替えて適用する標準法改正法による改正後の公立義務教育諸学校の学級編制及び教職員数の標準に関する法律第三条第二項及び公立義務教育諸学校の学級編制及び教職員定数の標準に関する法律施行令(昭和三十三年政令第二百二号)第一条に規定する学級編制の標準により編制した場合における学級数を基礎として同法第六条の規定によつて算定した教職員の総数の標準となる数として総務大臣が調査した数人
十四 小学校の児童数学校基本調査規則(昭和二十七年文部省令第四号)によつて調査した当該年度の五月一日現在における市町村立の小学校及び義務教育学校の前期課程(市町村が組織する組合立の小学校又は義務教育学校の前期課程は、当該小学校又は義務教育学校の前期課程の所在する市町村立の小学校又は義務教育学校の前期課程とみなし、学校教育法施行令(昭和二十八年政令第三百四十号)第二十五条の規定によつて分校として当該都道府県の教育委員会に届出のあつたものは独立の学校とみなす。以下同じ。)に在学する児童の数(学校教育法(昭和二十二年法律第二十六号)第四十条の規定によつて委託した児童(以下「委託児童」という。)があるときは、当該委託児童の数は、当該委託された市町村の児童の数とみなす。)人
十五 小学校の学級数当該年度の五月一日現在における当該都道府県の区域内の市町村の設置する小学校及び義務教育学校の前期課程について、公立義務教育諸学校の学級編制及び教職員定数の標準に関する法律第三条第一項、標準法改正法附則第二条第一項の規定により読み替えて適用する標準法改正法による改正後の公立義務教育諸学校の学級編制及び教職員数の標準に関する法律第三条第二項及び公立義務教育諸学校の学級編制及び教職員定数の標準に関する法律施行令第一条に規定する学級編制の標準によつて算定した学級数学級
十六 小学校の学校数学校基本調査規則によつて調査した当該年度の五月一日現在における市町村立の小学校及び義務教育学校の前期課程の数。ただし、在学児童を有しない学校の数を除く。校
十七 中学校の教職員数当該年度の五月一日現在における当該都道府県の区域内の市(指定都市を除く。)町村の設置する中学校、義務教育学校の後期課程及び中等教育学校の前期課程並びに当該都道府県立の中学校(学校教育法第七十一条の規定により高等学校における教育と一貫した教育を施すもの(以下「併設型中学校」という。)及び夜間その他特別の時間において主として学齢を経過した者に対して指導を行うための教育課程を実施するもの(以下「夜間中学」という。)に限る。)及び中等教育学校の前期課程について、公立義務教育諸学校の学級編制及び教職員定数の標準に関する法律第三条第一項及び第二項並びに公立義務教育諸学校の学級編制及び教職員定数の標準に関する法律施行令第一条に規定する学級編制の標準により編制した場合における学級数を基礎として同法第六条の規定によつて算定した教職員の総数の標準となる数として総務大臣が調査した数人
十八 中学校の生徒数学校基本調査規則によつて調査した当該年度の五月一日現在における市町村立の中学校、義務教育学校の後期課程及び中等教育学校の前期課程(市町村が組織する組合立の中学校、義務教育学校の後期課程又は中等教育学校の前期課程は、当該中学校、義務教育学校の後期課程又は中等教育学校の前期課程の所在する市町村立の中学校、義務教育学校の後期課程又は中等教育学校の前期課程とみなし、学校教育法施行令第二十五条の規定によつて分校として当該都道府県の教育委員会に届出のあつたものは独立の学校とみなす。以下同じ。)に在学する生徒の数(学校教育法第四十九条において準用する同法第四十条の規定によつて委託した生徒(以下「委託生徒」という。)があるときは、当該委託生徒の数は、当該委託された市町村の生徒の数とみなす。)人
十九 中学校の学級数当該年度の五月一日現在における当該都道府県の区域内の市町村の設置する中学校、義務教育学校の後期課程及び中等教育学校の前期課程について、公立義務教育諸学校の学級編制及び教職員定数の標準に関する法律第三条第一項及び第二項並びに公立義務教育諸学校の学級編制及び教職員定数の標準に関する法律施行令第一条に規定する学級編制の標準によつて算定した学級数学級
二十 中学校の学校数学校基本調査規則によつて調査した当該年度の五月一日現在における市町村立の中学校、義務教育学校の後期課程及び中等教育学校の前期課程の数。ただし、在学生徒を有しない学校の数を除く。校
二十一 高等学校の教職員数1 都道府県にあつては公立高等学校の適正配置及び教職員定数の標準等に関する法律(昭和三十六年法律第百八十八号)第八条から第十二条まで及び第二十二条並びに公立高等学校の適正配置及び教職員定数の標準等に関する法律施行令(昭和三十七年政令第二百十五号)第二条の規定により算定した当該年度の五月一日現在における当該都道府県立の高等学校(中等教育学校の後期課程を含む。以下この号において同じ。)の全日制、定時制及び通信制の課程に係る教職員の定数の標準となる数(指定都市以外の当該都道府県の区域内の市町村の設置する高等学校の定時制の課程に係る教職員(養護教諭、養護助教諭、実習助手及び事務職員を除く。)の定数の標準となる数を含む。)とし、市町村にあつては公立高等学校の適正配置及び教職員定数の標準等に関する法律第八条から第十二条まで及び第二十二条並びに公立高等学校の適正配置及び教職員定数の標準等に関する法律施行令第二条の規定により算定した当該年度の五月一日現在における当該市町村立の高等学校(市町村が組織する組合立の高等学校は、当該高等学校の所在する市町村立の高等学校とみなす。以下同じ。)の全日制、定時制及び通信制の課程に係る教職員の定数の標準となる数(指定都市以外の市町村にあつては、当該市町村立の高等学校の定時制の課程に係る教職員(養護教諭、養護助教諭、実習助手及び事務職員を除く。)の定数の標準となる数を除く。)とする。2 1の全日制、定時制及び通信制の課程の区分は、公立高等学校の適正配置及び教職員定数の標準等に関する法律第二条第二項に規定する全日制、定時制及び通信制の課程の区分による。人
二十二 高等学校の生徒数1 学校基本調査規則によつて調査した当該年度の五月一日現在における当該地方団体立の高等学校(中等教育学校の後期課程を含む。)に在学する全日制及び定時制(別科及び専攻科を除く。)の商業に関する学科及び家庭に関する学科、厚生に関する学科のうち衛生看護科に類する学科、農業に関する学科、工業に関する学科、水産に関する学科、情報に関する学科、福祉に関する学科並びに普通科及びその他の学科に係る生徒数並びに別科及び専攻科に係る生徒数の合計数2 1の生徒数のうち全日制の課程に係る生徒数は、学校基本調査規則による学校調査票の当該年度の五月一日現在の全日制、定時制別区分の全日制、併置のそれぞれの学校に在学する全日制の課程(別科及び専攻科を除く。)の生徒数とし、定時制の課程に係る生徒数は、同学校調査票の全日制、定時制別区分の定時制、併置のそれぞれの学校に在学する定時制の課程(別科及び専攻科を除く。)の生徒数とする。3 1の商業に関する学科の生徒数には理数科に類する学科に属する生徒数を含むものとし、1の普通科及びその他の学科の生徒数は、商業に関する学科及び家庭に関する学科、厚生に関する学科のうち衛生看護科に類する学科、農業に関する学科、工業に関する学科、水産に関する学科、情報に関する学科並びに福祉に関する学科以外の学科に属する生徒数とする。人
二十三 特別支援学校の教職員数当該年度の五月一日現在における当該都道府県又は当該都道府県の区域内の市(指定都市を除く。)町村の設置する特別支援学校の小学部、中学部及び高等部について、公立義務教育諸学校の学級編制及び教職員定数の標準に関する法律第三条第一項及び第三項並びに公立義務教育諸学校の学級編制及び教職員定数の標準に関する法律施行令第一条に規定する学級編制の標準により編制した場合における学級数を基礎として同法第十条及び公立高等学校の適正配置及び教職員定数の標準等に関する法律第十五条の規定により算定した教職員定数の標準となる数(市町村立の特別支援学校の高等部の実習助手の定数の標準となる数を除く。)として総務大臣が調査した数人
二十四 特別支援学校の学級数当該年度の五月一日現在における当該都道府県立の特別支援学校の小学部及び中学部について、公立義務教育諸学校の学級編制及び教職員定数の標準に関する法律第三条第一項及び第三項並びに公立義務教育諸学校の学級編制及び教職員定数の標準に関する法律施行令第一条に規定する学級編制の標準によつて算定した学級数並びに学校基本調査規則によつて調査した当該年度の五月一日現在における当該都道府県立の特別支援学校の高等部に在学する生徒をもつて編制された実学級(多学年学級は、一学級とみなす。)の数を合算した数学級
二十五 高等専門学校及び大学の学生の数1 学校基本調査規則によつて調査した当該年度の五月一日現在における当該道府県立の高等専門学校(当該道府県が地方独立行政法人法(平成十五年法律第百十八号)第六条第三項に規定する設立団体(以下この号において「設立団体」という。)である同法第六十八条第一項の公立大学法人(以下この号において「公立大学法人」という。)の設置する高等専門学校を含む。)及び短期大学(公立大学法人の設置する短期大学を含む。)の学科及び専攻科並びに大学(公立大学法人の設置する大学を含む。)の学部、専攻科及び大学院に在学する学生の数2 公立大学法人の設置する大学のうち、都道府県及び市町村が設立団体である公立大学法人の設置する大学の学科、専攻科及び大学院に在学する学生の数は、当該学生の数を当該大学を設置した公立大学法人の設立団体である都道府県知事及び市町村の長が協議して定め、総務大臣が承認した率(協議が成立しないときは、総務大臣が定める率)により按分したものをそれぞれの都道府県立の大学の学部、専攻科及び大学院に在学する学生の数とする。人
二十六 私立の学校の幼児、児童及び生徒の数学校基本調査規則によつて調査した当該年度の五月一日現在における当該道府県の区域内の私立の幼稚園(子ども・子育て支援法(平成二十四年法律第六十五号)第二十七条第一項の確認を受けたもの(以下「新制度移行私立幼稚園」という。)を除く。)、小学校、中学校、義務教育学校、高等学校、中等教育学校及び特別支援学校に在学する幼児、児童及び生徒の数人
二十七 幼稚園及び幼保連携型認定こども園の小学校就学前子どもの数学校基本調査規則によつて調査した当該年度の五月一日現在における当該市町村立の幼稚園及び幼保連携型認定こども園に在籍する小学校就学前子ども(子ども・子育て支援法第二十条第一項の認定に係る同法第十九条第一項第一号に掲げるもの(以下「一号認定子ども」という。)に限る。)の数(特別利用教育を受ける子どもの数を含む。)人
二十八 町村部人口当該都道府県の人口のうち町村(社会福祉法(昭和二十六年法律第四十五号)に規定する福祉に関する事務所を設置する町村(以下「福祉事務所設置町村」という。)を除く。)に係る人口人
二十九 市部人口当該市(福祉事務所設置町村を含む。)に係る人口人
三十 六十五歳以上人口国勢調査令によつて調査した令和二年十月一日現在における六十五歳以上の人口(以下「六十五歳以上人口」という。)人
三十一 七十五歳以上人口国勢調査令によつて調査した令和二年十月一日現在における七十五歳以上の人口(以下「七十五歳以上人口」という。)人
三十二 農家数農林業センサス規則によつて調査した令和二年二月一日現在における農家(農地法(昭和二十七年法律第二百二十九号)第二条第三項に規定する農地所有適格法人を含む。)の数戸
三十三 公有以外の林野の面積農林業センサス規則によつて調査した令和二年二月一日現在における民有林野(独立行政法人、国立大学法人及び特殊法人の所管する林野及び公有林野(この表中三十四に定める公有林野をいう。)を除く。)の面積ヘクタール
三十四 公有林野の面積農林業センサス規則によつて調査した令和二年二月一日現在における公有林野(都道府県及び森林整備法人(分収林特別措置法(昭和三十三年法律第五十七号)第十条第二号の森林整備法人をいう。)の所管する林野)の面積ヘクタール
三十五 水産業者数1 海面に係る水産業者の数(漁業センサス規則(昭和三十八年農林省令第三十九号)によつて調査した平成三十年十一月一日現在における漁業経営体総数から漁船非使用に係る漁業経営体数を控除した数)と内水面に係る水産業者の数(漁業センサス規則によつて調査した平成三十年十一月一日現在における内水面養殖経営体数と湖沼漁業経営体総数から漁船非使用に係る漁業経営体数を控除した数の合計数)の合計数とする。2 1の場合において、海区漁業調整委員会の置かれている内水面に係る湖沼漁業経営体は海面に係る漁業経営体とみなす(別表第一において同じ。)。人
三十六 林業及び水産業の従業者数国勢調査令によつて調査した令和二年十月一日現在における産業分類別就業者数(以下「産業分類別就業者数」という。)のうちA農業、林業のうち林業及びB漁業の数の合計数人
三十七 戸籍数前年度の三月三十一日現在において戸籍法(昭和二十二年法律第二百二十四号)第七条の規定により戸籍簿につづられた戸籍及び同法第百十九条第二項の規定により戸籍簿に蓄積された戸籍の数籍
三十八 世帯数国勢調査令によつて調査した令和二年十月一日現在における世帯数世帯
三十九 恩給受給権者数恩給法(大正十二年法律第四十八号)を準用するそれぞれの法律の規定によつて前年度の最後の支給期月において当該都道府県から恩給を支給された者及び当該都道府県の退職年金に関する条例の規定によつて前年度の最後の支給期月において当該都道府県から年金を支給された者(恩給を支給された者を除く。)の数。ただし、東京都にあつては退職前、消防組織法(昭和二十二年法律第二百二十六号)に規定する消防職員であつた者を除く。人
四十 災害復旧事業費の財源に充てるため発行について同意又は許可を得た地方債に係る元利償還金1 次の各号に掲げる地方債(地方財政法施行令(昭和二十三年政令第二百六十七号)第四十六条に定める事業に係る地方債(第七号に掲げるものを除く。)、平成二年度から令和四年度までの各年度において地方税の減収に伴い発行について同意又は許可を得た地方債、財源対策債(公共事業等、義務教育施設、廃棄物処理施設、社会福祉施設等の建設事業等に係る経費に充てるため昭和六十三年度及び平成六年度から令和四年度までの各年度において発行について同意又は許可を得た地方債のうち当該各年度の財源対策のため発行について同意又は許可を得た地方債として総務大臣が指定するものをいう。以下同じ。)、平成四年度から平成十四年度まで及び平成十六年度から令和四年度までの各年度において国の補正予算等に係る事業費の財源に充てるため発行について同意又は許可を得た地方債のうち公共事業等に係るもの、臨時財政特例債(国の補助金等の整理及び合理化並びに臨時特例等に関する法律(昭和六十年法律第三十七号)、国の補助金等の臨時特例等に関する法律(昭和六十一年法律第四十六号)等の規定による改正後の法律の規定等に基づく昭和六十年度から平成四年度までの各年度における国の負担又は補助の割合の引下げ措置に伴い、道路、河川、港湾その他の土木施設等の公共施設又は公用施設の建設事業等に係る国の負担額又は補助額の減額による地方負担の増大に対処するため、特別に発行を許可された地方債をいう。以下同じ。)並びに借入後返還を命じられた地方債及び当該年度の六月一日以降に借り入れた地方債を除く。以下「災害復旧事業債」という。)の当該年度分の元利償還金(繰上償還に係る地方債(当該地方債の借換債を除く。)については当該繰上償還が行われないものとして算定した当該年度分の元利償還金(元金償還金以外の支払を要しない繰上償還に係る地方債(当該地方債の借換債を除く。)については、当該繰上償還が行われないものとして算定した当該年度分の元金償還金)に相当する額と、当該地方債の借換債については当該借換債に係る当該年度分の元利償還金に相当する額とし、当該年度において繰上償還する分及び前年度以前において償還すべきであつた分を除く。以下同じ。)一 国庫の負担金(国庫の負担金の支出に伴つて支出された都道府県の負担金を含む。以下同じ。)を受けて施行した暴風、洪水、高潮、地震その他の異常な天然現象(以下「天然現象」という。)若しくは火災によつて生じた河川、海岸、堤防、砂防施設、道路、都市計画事業による施設、港湾施設、農地、農業用施設、林業用施設、漁港施設その他の公共用施設及び公用施設(公営住宅を除く。以下「公用施設等」という。)の災害復旧事業に係る経費並びに国若しくは都道府県が行うこれらの事業に対する法令に基づく負担金に充てるため起こした地方債で昭和六十三年度以降において発行について同意又は許可を得たもの(発行について地方財政法第五条の三第六項の規定による届出がされた地方債のうち同条第一項の規定による協議を受けたならば同条第十項に規定する基準に照らして同意をすることとなると認められるものとして総務大臣が指定するものを含む。以下同じ。)(平成九年度から平成十四年度までの各年度において国の補正予算等に係る事業費の財源に充てるため発行を許可された地方債のうち過年分について資金手当として通常の充当率を超えて発行を許可された場合の当該超える部分を除く。以下「公共災害復旧事業債」という。)二 国庫の負担金を受けないで施行した天然現象によつて生じた公用施設等の災害復旧事業に係る経費に充てるため起こした地方債(第八号に該当する地方債を除く。以下「単独災害復旧事業債」という。)三 国庫の負担金を受けて施行した地盤沈下、地盤変動若しくは海岸侵食の防除のための事業に係る経費又は国若しくは都道府県の行うこれらの事業に対する法令に基づく負担金に充てるため起こした地方債(以下「地盤沈下等対策事業債」という。)千円
 四 国庫の負担金を受けて施行した災害に伴う緊急治山、緊急砂防、緊急地すべり対策、緊急河川若しくは荒廃林地復旧のための事業に係る経費又は国若しくは都道府県が行うこれらの事業に対する法令に基づく負担金に充てるため起こした地方債で昭和六十三年度以降に発行について同意又は許可を得たもの(以下「緊急治山等事業債」という。)五 国庫の負担金を受けて施行した災害に伴う砂防激甚災害対策特別緊急事業、地すべり激甚災害対策特別緊急事業、治山激甚災害対策特別緊急事業及び河川激甚災害対策特別緊急事業に係る経費又は国若しくは都道府県が行うこれらの事業に対する法令に基づく負担金に充てるため起こした地方債(以下「激甚災害対策特別緊急事業債」という。)六 国庫の負担金を受けて施行した特殊土壌地帯災害防除及び振興臨時措置法(昭和二十七年法律第九十六号)第三条第一項の事業計画に基づく事業に係る経費又は国若しくは都道府県が行うこれらの事業に対する法令に基づく負担金に充てるため起こした地方債で総務大臣の指定するもの(以下「特殊土壌対策事業債」という。)七 国庫の補助金を受けて施行した臨時石炭鉱害復旧法(昭和二十七年法律第二百九十五号)の規定に基づく鉱害復旧事業に係る経費又は地方団体以外の者が施行する鉱害復旧事業につき同法第五十三条の規定により負担し、若しくは同法第五十三条の三第一項の規定により支弁するために要する経費若しくは同法第九十四条第二項の規定により補助金を交付するために要する経費に充てるため起こした地方債(以下「鉱害復旧事業債」という。)八 激甚災害に対処するための特別の財政援助等に関する法律(昭和三十七年法律第百五十号)第二十四条に規定する地方債で昭和六十三年度以降において発行について同意又は許可を得たもの(以下「小災害債」という。)2 組合又は港務局が起こした1の地方債に係る元利償還金は、当該元利償還金を当該組合又は港務局を構成する地方団体の長が協議して定め総務大臣が承認した率(協議が成立しないときは、総務大臣が定める率)により按分したものをそれぞれの地方団体に係る元利償還金(総務大臣が承認する場合には、当該組合又は港務局を構成する地方団体のうち都道府県知事が指定する地方団体に係る元利償還金)とみなす。3 1の各号に掲げる地方債ごとの元利償還金の額に、五百円未満の端数があるときはその端数金額を切り捨て、五百円以上千円未満の端数があるときはその端数金額を千円とする。 
四十一 辺地対策事業費の財源に充てるため発行について同意又は許可を得た地方債に係る元利償還金1 辺地に係る公共的施設の総合整備のための財政上の特別措置等に関する法律(昭和三十七年法律第八十八号)第六条に規定する地方債(当該年度の六月一日以降に借り入れた地方債を除く。)で総務大臣の指定するもの(臨時財政特例債を除く。以下「辺地対策事業債」という。)に係る当該年度分の元利償還金(令和三年度以降において発行について同意又は許可を得た地方債にあつては、総務大臣が調査したものに係る元利償還金に限る。)。この場合において、組合が起こした地方債に係る元利償還金については、この表中四十の2の規定を準用する。2 1の地方債の元利償還金の額に千円未満の端数がある場合には、この表中四十の3の規定を準用する。千円
四十二 平成四年度から平成十年度までの各年度において国の補正予算等に係る事業費の財源に充てるため発行を許可された地方債に係る元利償還金1 国の補正予算等に係る事業費の財源に充てるため、平成四年度において「平成四年度補正予算に係る地方債の取扱い等について(平成四年十月三十日付け各都道府県総務部長、各指定都市財政局長及び各一部事務組合管理者あて自治省財政局地方債課長内かん)」に基づき発行を許可された地方債(以下「平成四年度補正予算債」という。)のうち、一般公共事業、義務教育施設整備事業、一般単独事業、厚生福祉施設整備事業及び一般廃棄物処理事業に係る地方債並びに流域下水道事業、地下鉄事業及び簡易水道事業のうち一般会計の建設費補助相当分に係る地方債(地下鉄事業のうち一般会計の建設費補助相当分に係る地方債については、大阪市において同市が経営していた地下鉄事業等を承継するため同市の全額出資により設立された大阪市高速電気軌道株式会社への事業承継(以下「事業承継」という。)前に発行を許可された地方債を含む。)で、総務大臣が指定したものに係る当該年度の元利償還金、平成五年度において「総合経済対策に係る地方債の取扱いについて(平成五年六月二十二日付け自治地第百四十三号各都道府県総務部長、各指定都市財政局長及び各一部事務組合管理者あて自治省財政局地方債課長通知)」、「緊急経済対策に係る地方債の取扱いについて(平成五年十二月二十四日付け自治地第二百十九号各都道府県総務部長あて自治省財政局地方債課長通知)」及び「総合経済対策に係る地方債の取扱いについて(平成六年三月十一日付け自治地第四十三号各都道府県総務部長、各指定都市財政局長及び各一部事務組合管理者あて自治省財政局地方債課長通知)」に基づき発行を許可された地方債(以下「平成五年度補正予算債」という。)のうち、一般公共事業、義務教育施設整備事業、一般単独事業、厚生福祉施設整備事業及び一般廃棄物処理事業に係る地方債並びに流域下水道事業、地下鉄事業及び簡易水道事業のうち一般会計の建設費補助相当分に係る地方債(地下鉄事業のうち一般会計の建設費補助相当分に係る地方債については、大阪市において事業承継前に発行を許可された地方債を含む。)で、総務大臣が指定したものに係る当該年度の元利償還金、平成六年度において「平成六年度国の補正予算に係る地方債の取扱いについて(平成七年二月十三日付け自治地第二十二号各都道府県総務部長及び各指定都市財政局長あて自治省財政局地方債課長通知)」及び「平成六年度国の第二次補正予算に係る地方債の取扱いについて(平成七年三月七日付け自治地第三十四号各都道府県総務部長及び各指定都市財政局長あて自治省財政局地方債課長通知)」に基づき発行を許可された地方債(以下「平成六年度補正予算債」という。)のうち、一般公共事業、義務教育施設整備事業、一般単独事業、厚生福祉施設整備事業及び一般廃棄物処理事業に係る地方債並びに流域下水道事業、地下鉄事業及び簡易水道事業のうち一般会計の建設費補助相当分に係る地方債(地下鉄事業のうち一般会計の建設費補助相当分に係る地方債については、大阪市において事業承継前に発行を許可された地方債を含む。)で、総務大臣が指定したものに係る当該年度の元利償還金、平成七年度において「平成七年度国の補正予算に係る地方債の取扱いについて(平成七年五月三十日付け自治地第百四十六号各都道府県総務部長、各指定都市財政局長あて自治省財政局地方債課長通知)」及び「経済対策に係る地方債の取扱いについて(平成七年十月二十七日付け自治地第二百十一号各都道府県総務部長、各指定都市財政局長あて自治省財政局地方債課長通知)」に基づき発行を許可された地方債(以下「平成七年度補正予算債」という。)のうち、一般公共事業、義務教育施設整備事業、一般単独事業、厚生福祉施設整備事業及び一般廃棄物処理事業に係る地方債並びに流域下水道事業、地下鉄事業及び簡易水道事業のうち一般会計の建設費補助相当分に係る地方債(地下鉄事業のうち一般会計の建設費補助相当分に係る地方債については、大阪市において事業承継前に発行を許可された地方債を含む。)で、総務大臣が指定したものに係る当該年度の元利償還金、平成八年度において「平成八年度国の補正予算に係る地方債の取扱いについて(平成九年二月十三日付け自治地第十三号各都道府県総務部長及び各指定都市財政局長あて自治省財政局地方債課長通知)」に基づき発行を許可された地方債(以下「平成八年度補正予算債」という。)のうち、一般公共事業、義務教育施設整備事業、一般単独事業、厚生福祉施設整備事業及び一般廃棄物処理事業に係る地方債並びに流域下水道事業、地下鉄事業及び簡易水道事業のうち一般会計の建設費補助相当分に係る地方債(地下鉄事業のうち一般会計の建設費補助相当分に係る地方債については、大阪市において事業承継前に発行を許可された地方債を含む。)で、総務大臣が指定したものに係る当該年度の元利償還金、平成九年度において「平成九年度国の補正予算等に係る地方債の取扱いについて(平成十年二月二十日付け自治地第十六号各都道府県総務部長及び各指定都市財政局長あて自治省財政局地方債課長通知)」に基づき発行を許可された地方債(以下「平成九年度補正予算債」という。)のうち、一般公共事業、義務教育施設整備事業、一般単独事業、厚生福祉施設整備事業及び一般廃棄物処理事業に係る地方債並びに流域下水道事業、地下鉄事業及び簡易水道事業のうち一般会計の建設費補助相当分に係る地方債(地下鉄事業のうち一般会計の建設費補助相当分に係る地方債については、大阪市において事業承継前に発行を許可された地方債を含む。)で、総務大臣が指定したものに係る当該年度の元利償還金並びに平成十年度において「総合経済対策に係る地方債の取扱いについて(平成十年六月十九日付け自治地第百十三号各都道府県総務部長及び各指定都市財政局長あて自治省財政局地方債課長通知)」及び「緊急経済対策に係る地方債の取扱いについて(平成十年十二月十七日付け自治地第百九十四号各都道府県総務部長及び各指定都市財政局長あて自治省財政局地方債課長通知)」に基づき発行を許可された地方債(以下「平成十年度補正予算債」という。)のうち、一般公共事業、義務教育施設整備事業、一般単独事業、厚生福祉施設整備事業及び一般廃棄物処理事業に係る地方債並びに流域下水道事業、地下鉄事業及び簡易水道事業のうち一般会計の建設費補助相当分に係る地方債(地下鉄事業のうち一般会計の建設費補助相当分に係る地方債については、大阪市において事業承継前に発行を許可された地方債を含む。)で、総務大臣が指定したものに係る当該年度の元利償還金2 組合が起こした1の地方債に係る元利償還金については、この表中四十の2の規定を準用する。千円
四十三 平成十六年度から令和四年度までの各年度において国の補正予算等に係る事業費の財源に充てるため発行について同意又は許可を得た地方債の額1 国の補正予算等に係る事業費の財源に充てるため、平成十六年度において「平成十六年度国の補正予算等に係る地方債の取扱いについて」(平成十七年二月八日付け総財地第十九号各都道府県総務部長及び各指定都市財政局長あて総務省自治財政局地方債課長通知)に基づき発行を許可された地方債(以下「平成十六年度補正予算債」という。)のうち、一般公共事業、義務教育施設整備事業、社会福祉施設整備事業、一般単独事業及び臨時高等学校整備事業に係る地方債で、総務大臣が指定したものに係る額、平成十七年度において「平成十七年度国の補正予算等に係る地方債の取扱いについて」(平成十八年二月九日付け総財地第三十四号各都道府県総務部長及び各指定都市財政局長あて総務省自治財政局地方債課長通知)に基づき発行を許可された地方債(以下「平成十七年度補正予算債」という。)のうち、一般公共事業、義務教育施設整備事業、社会福祉施設整備事業、一般単独事業及び臨時高等学校整備事業に係る地方債で、総務大臣が指定したものに係る額、平成十八年度において「平成十八年度国の補正予算等に係る地方債の取扱いについて」(平成十九年二月十五日付け総財地第三十九号各都道府県総務部長及び各指定都市財政局長あて総務省自治財政局地方債課長通知)に基づき発行について同意又は許可を得た地方債(以下「平成十八年度補正予算債」という。)のうち、一般公共事業、学校教育施設等整備事業、社会福祉施設整備事業、一般補助施設整備等事業及び地域活性化事業に係る地方債で、総務大臣が指定したものに係る額、平成十九年度において「平成十九年度国の補正予算等に係る地方債の取扱いについて」(平成二十年二月七日付け総財地第十二号各都道府県総務部長及び各指定都市財政局長あて総務省自治財政局地方債課長通知)に基づき発行について同意又は許可を得た地方債(以下「平成十九年度補正予算債」という。)のうち、一般公共事業、学校教育施設等整備事業、社会福祉施設整備事業、一般補助施設整備等事業及び地域活性化事業に係る地方債で、総務大臣が指定したものに係る額、平成二十年度において「平成二十年度国の補正予算等に係る地方債の取扱いについて」(平成二十年十月十七日付け総財地第二百一号各都道府県総務部長及び各指定都市財政局長あて総務省自治財政局地方債課長通知)及び「平成二十年度国の補正予算(第二号)等に係る地方債の取扱いについて」(平成二十一年三月五日付け総財地第五十九号各都道府県総務部長及び各指定都市財政局長あて総務省自治財政局地方債課長通知)に基づき発行について同意又は許可を得た地方債(以下「平成二十年度補正予算債」という。)のうち、一般公共事業、学校教育施設等整備事業、社会福祉施設整備事業、一般廃棄物処理事業、一般補助施設整備等事業、一般事業及び地域活性化事業に係る地方債で、総務大臣が指定したものに係る額、平成二十一年度において「平成二十一年度国の補正予算(第一号)等に係る地方債の取扱いについて」(平成二十一年六月十五日付け総財地第百三十九号各都道府県総務部長及び各指定都市財政局長あて総務省自治財政局地方債課長通知)及び「平成二十一年度国の補正予算(第二号)等に係る地方債の取扱いについて」(平成二十二年一月二十九日付け総財地第十六号各都道府県総務部長及び各指定都市財政局長あて総務省自治財政局地方債課長通知)に基づき発行について同意又は許可を得た地方債(以下「平成二十一年度補正予算債」という。)のうち、一般公共事業、学校教育施設等整備事業、社会福祉施設整備事業、一般廃棄物処理事業、一般補助施設整備等事業、一般事業及び地域活性化事業に係る地方債で、総務大臣が指定したものに係る額、平成二十二年度において「平成二十二年度国の経済危機対応・地域活性化予備費の使用に係る地方債の取扱いについて」(平成二十二年六月十八日付け各都道府県財政担当課、市町村担当課及び各指定都市財政担当課あて事務連絡)、「平成二十二年度国の経済危機対応・地域活性化予備費の使用に係る地方債の取扱いについて」(平成二十二年九月二十四日付け各都道府県財政担当課、市町村担当課及び各指定都市財政担当課あて事務連絡)及び「平成二十二年度国の補正予算(第一号)等に係る地方債の取扱いについて」(平成二十二年十一月二十九日付け各都道府県財政担当課、市町村担当課及び各指定都市財政担当課あて事務連絡)のうち、一般公共事業、学校教育施設等整備事業、社会福祉施設整備事業、一般補助施設整備等事業、一般事業及び地方道路等整備事業に係る地方債(以下「平成二十二年度補正予算債」という。)で、総務大臣が指定したものに係る額、平成二十三年度において「平成二十三年度国の補正予算(第三号)等に係る地方債の取扱いについて」(平成二十三年十二月二日付け各都道府県財政担当課、市町村担当課及び各指定都市財政担当課あて事務連絡)及び「平成二十三年度国の補正予算(第四号)等に係る地方債の取扱いについて」(平成二十四年二月八日付け各都道府県財政担当課、市町村担当課及び各指定都市財政担当課あて事務連絡)のうち、公共事業等、学校教育施設等整備事業、社会福祉施設整備事業、一般廃棄物処理事業及び一般補助施設整備等事業に係る地方債(以下「平成二十三年度補正予算債」という。)で、総務大臣が指定したものに係る額、平成二十四年度において「平成二十四年度国の補正予算(第一号)等に係る地方債の取扱いについて」(平成二十五年二月二十六日付け各都道府県財政担当課、市町村担当課及び各指定都市財政担当課あて事務連絡)、「平成二十四年度国の一般会計の予備費及び経済危機対応・地域活性化予備費並びに東日本大震災復興特別会計予備費の使用に係る地方債の取扱いについて」(平成二十四年十一月三十日付け各都道府県財政担当課、市町村担当課及び各指定都市財政担当課あて事務連絡)及び「平成二十四年度国の一般会計の予備費及び経済危機対応・地域活性化予備費の使用に係る地方債の取扱いについて」(平成二十四年十二月二十六日付け各都道府県財政担当課、市町村担当課及び各指定都市財政担当課あて事務連絡のうち、公共事業等、学校教育施設等整備事業、社会福祉施設整備事業、一般廃棄物処理事業、一般補助施設整備等事業及び一般事業に係る地方債(以下「平成二十四年度補正予算債」という。)で、総務大臣が指定したものに係る額、平成二十五年度において「平成二十五年度国の補正予算(第一号)等に係る地方債の取扱いについて」(平成二十六年二月六日付け各都道府県財政担当課、市町村担当課及び各指定都市財政担当課あて事務連絡)のうち、公共事業等、学校教育施設等整備事業、社会福祉施設整備事業、一般廃棄物処理事業、一般補助施設整備等事業及び一般事業に係る地方債(以下「平成二十五年度補正予算債」という。)で、総務大臣が指定したものに係る額、平成二十六年度において「平成二十六年度国の補正予算(第一号)等に係る地方債の取扱いについて」(平成二十七年二月三日付け各都道府県財政担当課、市町村担当課及び各指定都市財政担当課あて事務連絡)のうち、公共事業等、学校教育施設等整備事業、社会福祉施設整備事業、一般廃棄物処理事業、一般補助施設整備等事業(消防防火施設整備費補助金を受けて活動火山対策避難施設を整備する事業を除く。)及び一般事業に係る地方債(以下「平成二十六年度補正予算債」という。)で、総務大臣が指定したものに係る額、平成二十七年度において「平成二十七年度国の補正予算(第一号)等に係る地方債の取扱いについて」(平成二十八年一月二十日付け各都道府県財政担当課、市町村担当課及び各指定都市財政担当課あて事務連絡)のうち、公共事業等、学校教育施設等整備事業、社会福祉施設整備事業、一般廃棄物処理事業、一般補助施設整備等事業及び一般事業に係る地方債(以下「平成二十七年度補正予算債」という。)で、総務大臣が指定したものに係る額、平成二十八年度において「平成二十八年度補正予算(第一号)により創設された一般会計熊本地震復旧等予備費の使用に係る地方債の取扱いについて」(平成二十八年七月二十六日付け各都道府県財政担当課、各都道府県市区町村担当課及び各指定都市財政担当課あて事務連絡)、「平成二十八年度国の補正予算(第二号)に係る地方債の取扱いについて」(平成二十八年十月十一日付け各都道府県財政担当課、各都道府県市区町村担当課及び各指定都市財政担当課あて事務連絡)及び「平成二十八年度国の補正予算(第三号)に係る地方債の取扱いについて」(平成二十九年一月三十一日付け各都道府県財政担当課、各都道府県市区町村担当課、各指定都市財政担当課あて事務連絡)のうち、公共事業等、学校教育施設等整備事業、社会福祉施設整備事業、一般廃棄物処理事業、一般補助施設整備等事業及び一般事業に係る地方債(以下「平成二十八年度補正予算債」という。)で、総務大臣が指定したものに係る額、平成二十九年度において「平成二十九年度国の補正予算(第一号)に係る地方債の取扱いについて」(平成三十年二月一日付け各都道府県財政担当課、各都道府県市区町村担当課及び各指定都市財政担当課あて事務連絡)のうち、公共事業等、学校教育施設等整備事業、社会福祉施設整備事業、一般廃棄物処理事業、一般補助施設整備等事業及び一般事業に係る地方債(以下「平成二十九年度補正予算債」という。)で、総務大臣が指定したものに係る額、平成三十年度において「平成三十年度一般会計の予備費の使用に係る地方債の取扱いについて」(平成三十年八月三日付け各都道府県財政担当課、各都道府県市区町村担当課、各都道府県議会事務局、各指定都市財政担当課、各指定都市議会事務局あて事務連絡)、「平成三十年度一般会計の予備費の使用に係る地方債の取扱いについて」(平成三十年九月七日付け各都道府県財政担当課、各都道府県市区町村担当課、各都道府県議会事務局、各指定都市財政担当課、各指定都市議会事務局あて事務連絡)、「平成三十年度補正予算(第一号)に係る地方債の取扱いについて」(平成三十年十一月七日付け各都道府県財政担当課、各都道府県市区町村担当課、各都道府県議会事務局、各指定都市財政担当課、各指定都市議会事務局あて事務連絡)及び「平成三十年度補正予算(第二号)に係る地方債の取扱いについて」(平成三十一年二月七日付け各都道府県財政担当課、各都道府県市区町村担当課、各都道府県議会事務局、各指定都市財政担当課、各指定都市議会事務局あて事務連絡)のうち公共事業等、学校教育施設等整備事業、社会福祉施設整備事業、一般廃棄物処理事業、一般補助施設整備等事業、一般事業及び地域活性化事業に係る地方債(以下「平成三十年度補正予算債」という。)で、総務大臣が指定したものに係る額、令和元年度において「令和元年度一般会計の予備費の使用に係る地方債の取扱いについて」(令和元年十一月八日付け各都道府県財政担当課、各都道府県市区町村担当課、各都道府県議会事務局、各指定都市財政担当課、各指定都市議会事務局あて事務連絡)及び「令和元年度国の補正予算(第一号)に係る地方債の取扱いについて」(令和二年一月三十一日付け各都道府県財政担当課、各都道府県市区町村担当課、各都道府県議会事務局、各指定都市財政担当課、各指定都市議会事務局あて事務連絡)のうち公共事業等、学校教育施設等整備事業、社会福祉施設整備事業、一般廃棄物処理事業、一般補助施設整備等事業、一般事業及び地域活性化事業に係る地方債(以下「令和元年度補正予算債」という。)で、総務大臣が指定したものに係る額、令和二年度において「令和二年度補正予算(第一号)に係る地方債の取扱い等について」(令和二年五月一日付け各都道府県財政担当課、各都道府県市区町村担当課、各都道府県議会事務局、各指定都市財政担当課、各指定都市議会事務局あて事務連絡)、「令和二年度補正予算(第二号)に係る地方債の取扱い等について」(令和二年六月二十四日付け各都道府県財政担当課、各都道府県市区町村担当課、各都道府県議会事務局、各指定都市財政担当課、各指定都市議会事務局あて事務連絡)、「令和二年度一般会計の予備費の使用に伴う地方債の取扱いについて」(令和二年七月三十一日付け各都道府県財政担当課、各都道府県市区町村担当課、各都道府県議会事務局、各指定都市財政担当課、各指定都市議会事務局あて事務連絡)、「令和二年度一般会計の予備費の使用に伴う地方債の取扱いについて」(令和二年九月十五日付け各都道府県財政担当課、各都道府県市区町村担当課、各都道府県議会事務局、各指定都市財政担当課、各指定都市議会事務局あて事務連絡)及び「令和二年度補正予算(第三号)に係る地方債の取扱い等について」(令和三年一月二十八日付け各都道府県財政担当課、各都道府県市区町村担当課、各都道府県議会事務局、各指定都市財政担当課、各指定都市議会事務局あて事務連絡)のうち公共事業等、学校教育施設等整備事業、社会福祉施設整備事業、一般廃棄物処理事業、一般補助施設整備等事業、一般事業、地域活性化事業及び国土強靱化施策に係る地方債(以下「令和二年度補正予算債」という。)で、総務大臣が指定したものに係る額、令和三年度において「令和三年度補正予算(第一号)に係る地方債の取扱い等について」(令和三年十二月二十日付け各都道府県財政担当課、各都道府県市区町村担当課、各都道府県議会事務局、各指定都市財政担当課、各指定都市議会事務局あて事務連絡)のうち公共事業等、学校教育施設等整備事業、社会福祉施設整備事業、一般廃棄物処理事業、一般補助施設整備等事業、一般事業、地域活性化事業及び国土強靱化施策に係る地方債(以下「令和三年度補正予算債」という。)で、総務大臣が指定したものに係る額並びに令和四年度において「令和四年度補正予算(第二号)に係る地方債の取扱い等について」(令和四年十二月二日付け各都道府県財政担当課、各都道府県市区町村担当課、各都道府県議会事務局、各指定都市財政担当課、各指定都市議会事務局あて事務連絡)のうち公共事業等、学校教育施設等整備事業、社会福祉施設整備事業、一般廃棄物処理事業、一般補助施設整備等事業、一般事業、地域活性化事業及び国土強靱化施策に係る地方債(以下「令和四年度補正予算債」という。)で、総務大臣が指定したものに係る額2 組合が起こした1の地方債の額については、この表中四十の2の規定を準用する。千円
四十四 地方税の減収補塡のため平成十五年度から令和四年度までの各年度において特別に発行について同意又は許可を得た地方債の額1 地方税(道府県にあつては道府県民税の法人税割及び利子割、法人の行う事業に対する事業税、地方法人特別譲与税並びに特別法人事業譲与税、市町村にあつては市町村民税の法人税割、地方税法第七十一条の二十六の規定により市町村に対し交付するものとされる利子割に係る交付金(以下「利子割交付金」という。)及び同法第七十二条の七十六又は第七百三十四条第四項の規定により市町村に対し交付するものとされる法人の行う事業に対する事業税に係る交付金(以下「法人事業税交付金」という。)に限る。)の減収補塡のため、平成十五年度において「平成十五年度減収補てん債に係る起債許可予定額の枠配分について(平成十六年三月十九日付け総財地第八十四号都道府県知事あて総務事務次官通知)」に基づき発行を許可された地方債(以下「平成十五年度減収補塡債」という。)、平成十六年度において「平成十六年度減収補てん債に係る起債許可予定額の枠配分について(平成十七年三月十八日付け総財地第八十二号都道府県知事あて総務事務次官通知)」に基づき発行を許可された地方債(以下「平成十六年度減収補塡債」という。)、平成十七年度において「平成十七年度減収補てん債に係る起債許可予定額の枠配分について(平成十八年三月十七日付け総財地第九十四号都道府県知事あて総務事務次官通知)」に基づき発行を許可された地方債(以下「平成十七年度減収補塡債」という。)、平成十八年度において「平成十八年度地方債同意等予定額について(平成十九年三月八日付け総財地第八十八号都道府県知事あて総務事務次官通知)」に基づき平成十八年度減収補塡債の起債に係る同意等予定額として発行について同意又は許可を得た地方債(以下「平成十八年度減収補塡債」という。)、平成十九年度において「平成十九年度地方債同意等予定額について(平成二十年三月七日付け総財地第六十号都道府県知事あて総務事務次官通知)」に基づき平成十九年度減収補塡債の起債に係る同意等予定額として発行について同意又は許可を得た地方債(以下「平成十九年度減収補塡債」という。)、平成二十年度において「平成二十年度地方債同意等予定額について(平成二十一年二月十八日付け総財地第三十四号都道府県知事あて総務事務次官通知)」に基づき平成二十年度減収補塡債の起債に係る同意等予定額として発行について同意又は許可を得た地方債(以下「平成二十年度減収補塡債」という。)、平成二十一年度において「平成二十一年度地方債同意等予定額について(平成二十二年三月九日付け総財地第六十七号及び第六十八号都道府県知事あて総務大臣通知)」に基づき平成二十一年度減収補塡債の起債に係る同意等予定額として発行について同意又は許可を得た地方債(以下「平成二十一年度減収補塡債」という。)、平成二十二年度において「平成二十二年度地方債同意等予定額について(平成二十三年二月二十三日付け総財地第二十六号及び第二十七号都道府県知事あて総務大臣通知)」に基づき平成二十二年度減収補塡債の起債に係る同意等予定額として発行について同意又は許可を得た地方債(以下「平成二十二年度減収補塡債」という。)、平成二十三年度において「平成二十三年度地方債同意等予定額について(平成二十四年二月二十二日付け総財地第三十八号、総財務第二十八号都道府県知事あて総務大臣通知及び総財地第三十九号、総財務第二十九号都道府県知事あて総務大臣通知)」に基づき平成二十三年度減収補塡債の起債に係る同意等予定額として発行について同意又は許可を得た地方債(以下「平成二十三年度減収補塡債」という。)、平成二十四年度において「平成二十四年度地方債同意等予定額について(平成二十五年二月二十二日付け総財地第三十五号、総財務第十七号都道府県知事あて総務大臣通知」)に基づき平成二十四年度減収補塡債の起債に係る同意等予定額として発行について同意又は許可を得た地方債(以下「平成二十四年度減収補塡債」という。)、平成二十五年度において「平成二十五年度地方債同意等予定額について(平成二十六年二月十四日付け総財地第二十三号、総財務第三十号都道府県知事あて総務大臣通知)」に基づき平成二十五年度減収補塡債の起債に係る同意等予定額として発行について同意又は許可を得た地方債(以下「平成二十五年度減収補塡債」という。)、平成二十六年度において「平成二十六年度地方債同意等予定額について(平成二十七年二月十三日付け総財地第二十一号、総財務第三十二号都道府県知事あて総務大臣通知)」に基づき平成二十六年度減収補塡債の起債に係る同意等予定額として発行について同意又は許可を得た地方債(以下「平成二十六年度減収補塡債」という。)、平成二十七年度において「平成二十七年度地方債同意等予定額について(平成二十八年二月二十九日付け総財地第二十三号、総財務第二十二号都道府県知事あて総務大臣通知)」に基づき平成二十七年度減収補塡債の起債に係る同意等予定額として発行について同意又は許可を得た地方債(以下「平成二十七年度減収補塡債」という。)、平成二十八年度において「平成二十八年度地方債同意等予定額について(平成二十九年二月二十八日付け総財地第五十三号、総財務第十八号都道府県知事あて総務大臣通知)」に基づき平成二十八年度減収補塡債の起債に係る同意等予定額として発行について同意又は許可を得た地方債(以下「平成二十八年度減収補塡債」という。)、平成二十九年度において「平成二十九年度地方債同意等予定額について(平成三十年二月二十六日付け総財地第二十二号、総財務第十八号都道府県知事あて総務大臣通知)」に基づき平成二十九年度減収補塡債の起債に係る同意等予定額として発行について同意又は許可を得た地方債(以下「平成二十九年度減収補塡債」という。)、平成三十年度において「平成三十年度地方債同意等予定額について(平成三十一年二月二十五日付け総財地第二十二号、総財務第十号都道府県知事あて総務大臣通知)」に基づき平成三十年度減収補塡債の起債に係る同意等予定額として発行について同意又は許可を得た地方債(以下「平成三十年度減収補塡債」という。)、令和元年度において「令和元年度地方債同意等予定額について(令和二年二月二十六日付け総財地第十七号、総財務第八号都道府県知事あて総務大臣通知)」に基づき令和元年度減収補塡債の起債に係る同意等予定額として発行について同意又は許可を得た地方債(以下「令和元年度減収補塡債」という。)、令和二年度において令和二年度地方債同意等基準(令和三年総務省告示第二十一号による改正後の令和二年総務省告示第百二十七号)第二の二の1の(六)に規定された減収補塡債として発行について同意又は許可を得た地方債(以下「令和二年度減収補塡債」という。)、令和三年度において令和三年度地方債同意等基準(令和三年総務省告示第百八十七号)第二の二の1の(六)に規定された減収補塡債として発行について同意又は許可を得た地方債(以下「令和三年度減収補塡債」という。)並びに令和四年度において令和四年度地方債同意等基準(令和四年総務省告示第百二十五号)第二の二の1の(六)に規定された減収補塡債として発行について同意又は許可を得た地方債(以下「令和四年度減収補塡債」という。)の額のうち都道府県にあつては道府県民税の法人税割及び利子割、法人の行う事業に対する事業税に係る額、地方法人特別譲与税並びに特別法人事業譲与税の百分の七十五に相当する額、市町村にあつては市町村民税の法人税割、利子割交付金及び法人事業税交付金に係る額の百分の七十五に相当する額千円
 2 地方税(都道府県にあつては地方消費税、不動産取得税、道府県たばこ税、ゴルフ場利用税、軽油引取税、地方税法第四百八十五条の十三第一項の規定により都道府県に対し交付するものとされる市町村たばこ税に係る交付金(以下「市町村たばこ税都道府県交付金」という。)、地方揮発油譲与税及び航空機燃料譲与税、市町村にあつては市町村たばこ税、同法第七十二条の百十五の規定により市町村に対し交付するものとされる地方消費税に係る交付金(以下「地方消費税交付金」という。)、同法第百三条の規定によりゴルフ場所在の市町村に対し交付するものとされるゴルフ場利用税に係る交付金(以下「ゴルフ場利用税交付金」という。)、同法第百四十四条の六十第一項の規定により道路法第七条第三項に規定する指定市に対し交付するものとされる軽油引取税に係る交付金(以下「軽油引取税交付金」という。)、地方揮発油譲与税及び航空機燃料譲与税に係る額に限る。)の減収補塡のため、令和二年度減収補塡債として発行について同意又は許可を得た地方債の額3 1の額に千円未満の端数がある場合には、この表中四十の3の規定を準用する。 
四十五 平成十三年度から令和四年度までの各年度の財源対策のため当該各年度において発行について同意又は許可を得た地方債の額1 一般公共事業、空港整備事業、公園緑地整備事業、義務教育施設及び廃棄物処理施設の建設事業等に係る経費に充てるため平成十三年度から令和四年度までの各年度において発行について同意又は許可を得た地方債のうち当該各年度の財源対策のため発行について同意又は許可を得た地方債として総務大臣が指定するものの額(この場合において、組合が起こした地方債の額については、この表中四十の2の規定を準用する。)2 1の額に千円未満の端数がある場合には、この表中四十の3の規定を準用する。千円
四十六 個人の道府県民税又は市町村民税に係る特別減税等による平成六年度から平成八年度までの各年度及び平成十五年度から平成十八年度までの各年度の減収を補塡するため当該各年度において特別に起こすことができることとされた地方債の額地方税法等の一部を改正する法律(平成六年法律第百十一号。以下「地方税法等改正法」という。)第一条の規定による改正前の地方税法附則第三条の四の規定による個人の道府県民税又は市町村民税に係る特別減税による平成六年度の減収額及び租税特別措置法(昭和三十二年法律第二十六号)第八十六条の四第一項に規定する普通乗用自動車の譲渡等に係る消費税の税率の特例の適用期間の終了による同年度における消費税の収入の減少に伴う道府県又は市町村に対して譲与される消費譲与税の額の減少による同年度の減収額として地方交付税法等の一部を改正する法律(平成六年法律第十六号)附則第三項及び第四項の規定により算定した減収見込額並びに地方税法等改正法の施行による個人の道府県民税又は市町村民税の同年度の減収額として総務大臣が調査した額の合算額(以下「平成六年度減税補塡債」という。)、地方税法等改正法第一条の規定による改正前の地方税法附則第三条の四の規定による個人の道府県民税又は市町村民税に係る特別減税による平成七年度の減収額、租税特別措置法第八十六条の四第一項に規定する普通乗用自動車の譲渡等に係る消費税の税率の特例の適用期間の終了による平成六年度における消費税の収入の減少に伴う道府県又は市町村に対して譲与される消費譲与税の額の減少による平成七年度の減収額及び地方税法等改正法の施行による個人の道府県民税又は市町村民税の同年度の減収額として地方交付税法等の一部を改正する法律(平成七年法律第四十一号)附則第三条の規定により算定した減収見込額(以下「平成七年度減税補塡債」という。)、地方税法等改正法の施行による個人の道府県民税又は市町村民税の平成八年度の減収額及び地方税法等の一部を改正する法律(平成八年法律第十二号)第一条の規定による改正後の地方税法附則第三条の四の規定による個人の道府県民税又は市町村民税に係る特別減税による同年度の減収額として地方交付税法等の一部を改正する法律(平成八年法律第十三号)附則第三条の規定により算定した減収見込額(以下「平成八年度減税補塡債」という。)、地方交付税法等の一部を改正する法律(平成十八年法律第八号)第八条による改正前の地方特例交付金等の地方財政の特別措置に関する法律(平成十一年法律第十七号。以下「改正前の特例交付金法」という。)第十三条の規定により平成十五年度において起こすことができることとされた地方債の額(以下「平成十五年度減税補塡債」という。)、改正前の特例交付金法第十三条の規定により平成十六年度において起こすことができることとされた地方債の額(以下「平成十六年度減税補塡債」という。)、改正前の特例交付金法第十三条の規定により平成十七年度において起こすことができることとされた地方債の額(以下「平成十七年度減税補塡債」という。)並びに改正前の特例交付金法第十三条の規定により平成十八年度において起こすことができることとされた地方債の額(以下「平成十八年度減税補塡債」という。)千円
四十七 臨時財政対策のため平成十五年度から令和四年度までの各年度において特別に起こすことができることとされた地方債の額地方交付税法等の一部を改正する法律(平成十六年法律第十八号)第三条の規定による改正前の地方財政法第三十三条の五の二第一項の規定により平成十五年度において起こすことができることとされた地方債の額(以下「平成十五年度臨時財政対策債」という。)、地方交付税法等の一部を改正する法律(平成十九年法律第二十四号)第三条の規定による改正前の地方財政法第三十三条の五の二第一項の規定により平成十六年度において起こすことができることとされた地方債の額(以下「平成十六年度臨時財政対策債」という。)、同項の規定により平成十七年度において起こすことができることとされた地方債の額(以下「平成十七年度臨時財政対策債」という。)、同項の規定により平成十八年度において起こすことができることとされた地方債の額(以下「平成十八年度臨時財政対策債」という。)、地方交付税法等の一部を改正する法律(平成二十二年法律第五号)第三条の規定による改正前の地方財政法第三十三条の五の二第一項の規定により平成十九年度において起こすことができることとされた地方債の額(以下「平成十九年度臨時財政対策債」という。)、同項の規定により平成二十年度において起こすことができることとされた地方債の額(以下「平成二十年度臨時財政対策債」という。)、同項の規定により平成二十一年度において起こすことができることとされた地方債の額(以下「平成二十一年度臨時財政対策債」という。)、地方交付税法等の一部を改正する法律(平成二十三年法律第五号)第三条の規定による改正前の地方財政法第三十三条の五の二第一項の規定により平成二十二年度において起こすことができることとされた地方債の額(以下「平成二十二年度臨時財政対策債」という。)、地方交付税法等の一部を改正する法律(平成二十六年法律第五号)第五条の規定による改正前の地方財政法第三十三条の五の二第一項の規定により平成二十三年度において起こすことができることとされた地方債の額(以下「平成二十三年度臨時財政対策債」という。)、同項の規定により平成二十四年度において起こすことができることとされた地方債の額(以下「平成二十四年度臨時財政対策債」という。)、同項の規定により平成二十五年度において起こすことができることとされた地方債の額(以下「平成二十五年度臨時財政対策債」という。)、地方交付税法等の一部を改正する法律(平成二十九年法律第三号)第三条の規定による改正前の地方財政法第三十三条の五の二第一項の規定により平成二十六年度において起こすことができることとされた地方債の額(以下「平成二十六年度臨時財政対策債」という。)、同項の規定により平成二十七年度において起こすことができることとされた地方債の額(以下「平成二十七年度臨時財政対策債」という。)、同項の規定により平成二十八年度において起こすことができることとされた地方債の額(以下「平成二十八年度臨時財政対策債」という。)、地方交付税法等の一部を改正する法律(令和二年法律第六号)第三条の規定による改正前の地方財政法第三十三条の五の二第一項の規定により平成二十九年度において起こすことができることとされた地方債の額(以下「平成二十九年度臨時財政対策債」という。)、同項の規定により平成三十年度において起こすことができることとされた地方債の額(以下「平成三十年度臨時財政対策債」という。)、同項の規定により令和元年度において起こすことができることとされた地方債の額(以下「令和元年度臨時財政対策債」という。)、地方交付税法等の一部を改正する法律(令和五年法律第二号)第三条の規定による改正前の地方財政法第三十三条の五の二第一項の規定により令和二年度において起こすことができることとされた地方債の額(以下「令和二年度臨時財政対策債」という。)、同項の規定により令和三年度において起こすことができることとされた地方債の額(以下「令和三年度臨時財政対策債」という。)及び同項の規定により令和四年度において起こすことができることとされた地方債の額(以下「令和四年度臨時財政対策債」という。)千円
四十八 平成二十五年度から令和四年度までの各年度において東日本大震災全国緊急防災施策等に要する経費に充てるため発行について同意又は許可を得た地方債の額1 東日本大震災全国緊急防災施策等に要する費用に充てるため、平成二十五年度において発行について同意又は許可を得た地方債(以下「平成二十五年度東日本大震災全国緊急防災施策等債」という。)、平成二十六年度において発行について同意又は許可を得た地方債(以下「平成二十六年度東日本大震災全国緊急防災施策等債」という。)、平成二十七年度において発行について同意又は許可を得た地方債(以下「平成二十七年度東日本大震災全国緊急防災施策等債」という。)、平成二十八年度において発行について同意又は許可を得た地方債(以下「平成二十八年度東日本大震災全国緊急防災施策等債」という。)、平成二十九年度において発行について同意又は許可を得た地方債(以下「平成二十九年度東日本大震災全国緊急防災施策等債」という。)、平成三十年度において発行について同意又は許可を得た地方債(以下「平成三十年度東日本大震災全国緊急防災施策等債」という。)、令和元年度において発行について同意又は許可を得た地方債(以下「令和元年度東日本大震災全国緊急防災施策等債」という。)、令和二年度において発行について同意又は許可を得た地方債(以下「令和二年度東日本大震災全国緊急防災施策等債」という。)、令和三年度において発行について同意又は許可を得た地方債(以下「令和三年度東日本大震災全国緊急防災施策等債」という。)及び令和四年度において発行について同意又は許可を得た地方債(以下「令和四年度東日本大震災全国緊急防災施策等債」という。)で総務大臣の指定するものの額2 組合が起こした1の地方債の額については、この表中四十の2の規定を準用する。千円
四十九 令和元年度から令和四年度までの各年度において国土強靭じん化施策に要する費用に充てるため発行について同意又は許可を得た地方債の額1 国土強靭化施策に要する費用に充てるため、令和元年度において発行について同意又は許可を得た地方債(以下「令和元年度国土強靭化施策債」という。)、令和二年度において発行について同意又は許可を得た地方債(以下「令和二年度国土強靱化施策債」という。)、令和三年度において発行について同意又は許可を得た地方債(以下「令和三年度国土強靱化施策債」という。)及び令和四年度において発行について同意又は許可を得た地方債(以下「令和四年度国土強靱化施策債」という。)のうち防災・減災・国土強靭化緊急対策事業に係る地方債で総務大臣の指定するものに係る額並びに令和元年度から令和四年度までの各年度において発行について同意又は許可を得た緊急自然災害防止対策事業に係る地方債の額2 組合が起こした1の地方債の額については、この表中四十の2の規定を準用する。千円
2前項の規定によつて測定単位の数値を算定する場合において、当該年度の四月一日以前の日に地方団体の廃置分合又は境界変更があり、かつ、測定単位の数値が同日前におけるものによることとされているときは、特別の定めがある場合のほか、当該廃置分合又は境界変更後の関係地方団体の数値は、次の各号に掲げる区分により当該各号に定める数値とする。
一人口
都道府県にあつては当該都道府県の区域内の市町村の人口の合計数、市町村にあつては地方自治法施行令(昭和二十二年政令第十六号)第百七十七条第一項の規定によつて都道府県知事の告示した人口
二面積
廃置分合後のそれぞれの面積又は廃置分合若しくは境界変更に係る区域の面積を関係地方団体の面積に加え、若しくは関係地方団体の面積から減じた面積
三前二号に掲げるもの以外の測定単位の数値
地方自治法施行令第百七十七条第一項の規定による方法に準じて算定した数値
3第一項の表第十三号から第二十七号までの規定によつて測定単位の数値を算定する場合において、当該年度の四月二日以後五月一日までの間に地方団体の廃置分合又は境界変更があつたため当該期間内において通学する学校又はその設置者に変更を生じた幼児、小学校就学前子ども、児童、生徒又は学生があるときは、当該幼児、小学校就学前子ども、児童、生徒又は学生の数は、当該年度の四月一日現在において通学していた学校を設置する若しくは当該学校の存する地方団体の数値とし、当該児童、生徒又は学生を有する学級及び学校の数並びに当該学校の教職員数は、児童数、生徒数又は学生数によつて関係地方団体に按分した数値(都道府県の端数処理については整数未満の端数があるときはその端数を四捨五入し、市町村の端数処理については第四十九条第二項第七号から第十三号までの規定を準用する。)とする。
4第一項及び第二項の規定によつて測定単位の数値を算定する場合においては、特別の定めがある場合のほか、算定の過程及び算定した数値に表示単位未満の端数があるときは、その端数を四捨五入する。

(補正に用いる率並びに補正係数及び補正後数値の算定方法等)

第六条法第十三条第二項、第四項及び第六項の規定による率は、別表第一に定めるところによる。
2種別補正を行う場合における種別ごとの測定単位の数値に表示単位未満の端数があるときは、その端数を四捨五入する。ただし、市町村の「道路橋りよう費」に係る橋りようの面積に表示単位以下二位未満の端数があるときは、その端数を四捨五入する。
3種別補正を行う場合並びに段階補正及び都道府県に係る普通態容補正(法第十三条第四項第三号イ及びロの規定による態容補正をいう。以下同じ。)を行う場合において、別表第一に定める率を乗じた後のそれぞれの数値に表示単位未満の端数があるときは、その端数を四捨五入する。ただし、面積及び市町村の「高等学校費」に係る教職員数について種別補正を行う場合においては種別補正後の数値の小数点以下二位未満の端数を四捨五入する。
4段階補正、密度補正、普通態容補正、経常態容補正(法第十三条第四項第三号ハの規定による態容補正のうち経常経費に係るものをいう。以下同じ。)、投資態容補正(法第十三条第四項第三号ハの規定による態容補正のうち投資的経費に係るものをいう。以下同じ。)、寒冷補正、第十五条の数値急増補正、第十六条の数値急減補正及び第十七条の「災害復旧費」の補正に係る補正係数を算定する場合においては、当該補正係数に小数点以下三位未満の端数があるときは、その端数を四捨五入する。
5段階補正、密度補正、普通態容補正、経常態容補正、投資態容補正、寒冷補正、第十五条の数値急増補正及び第十六条の数値急減補正のうち二以上をあわせて行う場合における測定単位の数値に係る補正係数は、それぞれの理由ごとに算定した補正係数を別表第一(3)に定めるところにより連乗又は加算した率による。
6前項の規定によつてそれぞれの理由ごとの補正係数を連乗する場合においては、連乗の過程においては掛け放しとし、連乗した後の数に小数点以下三位未満の端数があるときは、その端数を四捨五入する。
7測定単位の数値を補正した後の数値に表示単位未満の端数があるときは、その端数を四捨五入する。ただし、面積、小学校及び中学校の学校数並びに市町村の「高等学校費」に係る教職員数については、小数点以下二位未満の端数を四捨五入する。

(種別補正に用いる種別)

第七条種別補正に用いる種別は、次の表に掲げる地方団体の種類、経費の種類及び測定単位ごとにそれぞれ同表の種別の欄に定めるところによる。
地方団体の種類経費の種類測定単位種別
都道府県一 港湾費港湾における係留施設の延長(1) 国際戦略港湾(2) 国際拠点港湾(3) 重要港湾(4) 地方港湾
 二 その他の教育費1 高等専門学校及び大学の学生の数(1) 高等専門学校(2) 短期大学ア 理学系学科、工学系学科、農学系学科及び保健系学科イ 文科系学科(家政系学科及び芸術系学科を除く。)ウ 家政系学科及び芸術系学科(3) 大学ア 医学部(医学科に限り、医学に関する単科大学を含む。エにおいて同じ。)イ 歯学部(歯学に関する単科大学を含む。)ウ 理科系学部(理学部、工学部、農学部及び水産学部をいい、理学、工学、農学及び水産学に関する単科大学を含む。)エ 保健系学部(医学部及び歯学部を除き、薬学及び看護学(衛生学を含む。)に関する単科大学を含む。)オ 社会科学系学部(社会科学に関する単科大学を含む。)カ 人文科学系学部(人文科学に関する単科大学を含む。)キ 家政系学部及び芸術系学部(家政及び芸術に関する単科大学を含む。)(4) 専門職大学(理科系学部及び芸術系学部)
  2 私立の学校の幼児、児童及び生徒の数(1) 学校法人の設置する幼稚園(新制度移行私立幼稚園を除く。)(2) 学校法人の設置する小学校及び義務教育学校の前期課程(3) 学校法人の設置する中学校、義務教育学校の後期課程及び中等教育学校の前期課程(4) 学校法人の設置する高等学校(通信制高等学校を除く。)、中等教育学校の後期課程及び特別支援学校(5) 学校法人の設置する通信制高等学校(6) 学校法人以外の者の設置する私立の幼稚園(新制度移行私立幼稚園を除く。)及び特別支援学校
 三 災害復旧費災害復旧事業費の財源に充てるため発行について同意又は許可を得た地方債に係る元利償還金(1) 公共災害復旧事業債(2) 単独災害復旧事業債(3) 地盤沈下等対策事業債(4) 緊急治山等事業債(5) 激甚災害対策特別緊急事業債(6) 特殊土壌対策事業債(7) 鉱害復旧事業債(8) 小災害債
四 補正予算債償還費1 平成四年度から平成十年度までの各年度において国の補正予算等に係る事業費の財源に充てるため発行を許可された地方債に係る元利償還金(1) 平成四年度補正予算債(2) 平成五年度補正予算債(3) 平成六年度補正予算債(4) 平成七年度補正予算債(5) 平成八年度補正予算債(6) 平成九年度補正予算債(7) 平成十年度補正予算債
2 平成十六年度から令和四年度までの各年度において国の補正予算等に係る事業費の財源に充てるため発行について同意又は許可を得た地方債の額(1) 平成十六年度補正予算債ア 一般公共事業(災害関連(各種災害関連現年分)事業(新潟県中越地震に係る災害関連緊急砂防等事業(災害関連緊急雪崩対策事業を除く。)、災害関連地域防災がけ崩れ対策事業、災害関連緊急地すべり対策事業、災害関連緊急治山等事業に限る。)、災害関連緊急事業(新潟県中越地震に係る直轄砂防災害関連緊急事業及び直轄地すべり防止災害関連緊急事業に限る。))に係る経費に充てるため発行を許可されたもの(以下「平成十六年度都道府県九十五・〇%分」という。)イ アに掲げる事業以外の事業に係る経費に充てるため発行を許可されたもの(以下「平成十六年度都道府県五十・〇%分」という。)(2) 平成十七年度補正予算債(3) 平成十八年度補正予算債(4) 平成十九年度補正予算債(5) 平成二十年度補正予算債ア 学校教育施設等整備事業(大規模改造事業等を除く。)に係る経費に充てるため発行について同意又は許可を得たもの(以下「平成二十年度都道府県六十・〇%分」という。)イ 整備新幹線整備事業分ウ ア及びイに掲げる事業以外の事業に係る経費に充てるため発行について同意又は許可を得たもの(以下「平成二十年度都道府県五十・〇%分」という。)(6) 平成二十一年度補正予算債ア 学校教育施設等整備事業(大規模改造事業等を除く。)に係る経費に充てるため発行について同意又は許可を得たもの(以下「平成二十一年度都道府県六十・〇%分」という。)イ 整備新幹線整備事業分ウ ア及びイに掲げる事業以外の事業に係る経費に充てるため発行について同意又は許可を得たもの(以下「平成二十一年度都道府県五十・〇%分」という。)(7) 平成二十二年度補正予算債ア 学校教育施設等整備事業(大規模改造事業等を除く。)に係る経費に充てるため発行について同意又は許可を得たもの(以下「平成二十二年度都道府県六十・〇%分」という。)イ 国の経済危機対応・地域活性化予備費の使用に係るもの(以下「平成二十二年度都道府県五十・〇%分」という。)ウ 整備新幹線整備事業分エ ア、イ及びウに掲げる事業以外の事業に係る経費に充てるため発行について同意又は許可を得たもの(以下「平成二十二年度都道府県四十五・〇%分」という。)(8) 平成二十三年度補正予算債ア 公共事業等(平成二十三年度一般会計補正予算(第三号)等に係るものに限る。)に係る経費に充てるため発行について同意又は許可を得たもの(以下「平成二十三年度都道府県八十・〇%分」という。)イ アに掲げる事業以外の事業に係る経費に充てるため発行について同意又は許可を得たもの(以下「平成二十三年度都道府県五十・〇%分」という。)(9) 平成二十四年度補正予算債ア 学校教育施設等整備事業(大規模改造事業等を除く。)に係る経費に充てるため発行について同意又は許可を得たもの(以下「平成二十四年度都道府県六十・〇%分」という。)イ アに掲げる事業以外の事業に係る経費に充てるため発行について同意又は許可を得たもの(以下「平成二十四年度都道府県五十・〇%分」という。)(10) 平成二十五年度補正予算債ア 学校教育施設等整備事業(大規模改造事業等を除く。)に係る経費に充てるため発行について同意又は許可を得たもの(以下「平成二十五年度都道府県六十・〇%分」という。)イ アに掲げる事業以外の事業に係る経費に充てるため発行について同意又は許可を得たもの(以下「平成二十五年度都道府県五十・〇%分」という。)(11) 平成二十六年度補正予算債ア 学校教育施設等整備事業(大規模改造事業等を除く。)に係る経費に充てるため発行について同意又は許可を得たもの(以下「平成二十六年度都道府県六十・〇%分」という。)イ アに掲げる事業以外の事業に係る経費に充てるため発行について同意又は許可を得たもの(以下「平成二十六年度都道府県五十・〇%分」という。)(12) 平成二十七年度補正予算債ア 学校教育施設等整備事業(大規模改造事業等を除く。)に係る経費に充てるため発行について同意又は許可を得たもの(以下「平成二十七年度都道府県六十・〇%分」という。)イ アに掲げる事業以外の事業に係る経費に充てるため発行について同意又は許可を得たもの(以下「平成二十七年度都道府県五十・〇%分」という。)(13) 平成二十八年度補正予算債ア 公共事業等及び一般補助施設整備等事業(平成二十八年度一般会計補正予算(第一号)により創設された一般会計熊本地震復旧等予備費の使用に係るものに限る。)並びに熊本地震による災害の復興事業(再度の災害を防止する事業)に係る経費に充てるため発行について同意又は許可を得たもの(以下「平成二十八年度都道府県八十・〇%分」という。)イ 学校教育施設等整備事業(大規模改造事業等を除く。)に係る経費に充てるため発行について同意又は許可を得たもの(以下「平成二十八年度都道府県六十・〇%分」という。)ウ ア及びイに掲げる事業以外の事業に係る経費に充てるため発行について同意又は許可を得たもの(以下「平成二十八年度都道府県五十・〇%分」という。)(14) 平成二十九年度補正予算債ア 熊本地震による災害の復興事業(再度の災害を防止する事業)に係る経費に充てるため発行について同意又は許可を得たもの(以下「平成二十九年度都道府県八十・〇%分」という。)イ 学校教育施設等整備事業(大規模改造事業等を除く。)に係る経費に充てるため発行について同意又は許可を得たもの(以下「平成二十九年度都道府県六十・〇%分」という。)ウ ア及びイに掲げる事業以外の事業に係る経費に充てるため発行について同意又は許可を得たもの(以下「平成二十九年度都道府県五十・〇%分」という。)(15) 平成三十年度補正予算債ア 熊本地震及び平成三十年七月豪雨への対応に伴う投資的経費に充てるため発行について同意又は許可を得たもの(以下「平成三十年度都道府県八十・〇%分」という。)イ 学校教育施設等整備事業(大規模改造事業等を除く。)に係る経費に充てるため発行について同意又は許可を得たもの(以下「平成三十年度都道府県六十・〇%分」という。)ウ ア及びイに掲げる事業以外の事業に係る経費に充てるため発行について同意又は許可を得たもの(以下「平成三十年度都道府県五十・〇%分」という。)(16) 令和元年度補正予算債ア 公共事業等(令和元年度一般会計の予備費の使用(令和元年十一月八日閣議決定)に係るものに限る。)並びに平成二十八年熊本地震、平成三十年七月豪雨及び令和元年台風第十九号への対応に伴う投資的経費に充てるため発行について同意又は許可を得たもの(以下「令和元年度都道府県八十・〇%分」という。)イ 学校教育施設等整備事業(大規模改造事業等を除く。)に係る経費に充てるため発行について同意又は許可を得たもの(以下「令和元年度都道府県六十・〇%分」という。)ウ ア及びイに掲げる事業以外の事業に係る経費に充てるため発行について同意又は許可を得たもの(以下「令和元年度都道府県五十・〇%分」という。)(17) 令和二年度補正予算債ア 公共事業等(令和二年度一般会計の予備費の使用(令和二年七月三十一日閣議決定)及び令和二年度一般会計の予備費の使用(令和二年九月十五日閣議決定)に係るものに限る。)及び令和二年七月豪雨への対応に伴う投資的経費に充てるため発行について同意又は許可を得たもの(以下「令和二年度都道府県八十・〇%分」という。)イ アに掲げる事業以外の公共事業等(被災市街地復興特別事業に係るものに限る。)に係る経費に充てるため発行について同意又は許可を得たもの(以下「令和二年度都道府県七十二・〇%分」という。)ウ 学校教育施設等整備事業(大規模改造事業等を除く。)に係る経費に充てるため発行について同意又は許可を得たもの(以下「令和二年度都道府県六十・〇%分」という。)エ ア、イ及びウに掲げる事業以外の事業に係る経費に充てるため発行について同意又は許可を得たもの(以下「令和二年度都道府県五十・〇%分」という。)(18) 令和三年度補正予算債ア 学校教育施設等整備事業(大規模改造事業等を除く。)に係る経費に充てるため発行について同意又は許可を得たもの(以下「令和三年度都道府県六十・〇%分」という。)イ アに掲げる事業以外の事業に係る経費に充てるため発行について同意又は許可を得たもの(以下「令和三年度都道府県五十・〇%分」という。)(19) 令和四年度補正予算債ア 公共事業等(被災市街地復興特別事業に係るものに限る。)に係る経費に充てるため発行について同意又は許可を得たもの(以下「令和四年度都道府県七十二・〇%分」という。)イ 学校教育施設等整備事業(大規模改造事業等を除く。)に係る経費に充てるため発行について同意又は許可を得たもの(以下「令和四年度都道府県六十・〇%分」という。)ウ ア及びイに掲げる事業以外の事業に係る経費に充てるため発行について同意又は許可を得たもの(以下「令和四年度都道府県五十・〇%分」という。)
 五 地方税減収補塡債償還費地方税の減収補塡のため平成十五年度から令和四年度までの各年度において特別に発行を許可された地方債の額(1) 平成十五年度減収補塡債(2) 平成十六年度減収補塡債(3) 平成十七年度減収補塡債(4) 平成十八年度減収補塡債(5) 平成十九年度減収補塡債(6) 平成二十年度減収補塡債(7) 平成二十一年度減収補塡債(8) 平成二十二年度減収補塡債(9) 平成二十三年度減収補塡債(10) 平成二十四年度減収補塡債(11) 平成二十五年度減収補塡債(12) 平成二十六年度減収補塡債(13) 平成二十七年度減収補塡債(14) 平成二十八年度減収補塡債(15) 平成二十九年度減収補塡債(16) 平成三十年度減収補塡債(17) 令和元年度減収補塡債(18) 令和二年度減収補塡債ア 法第十二条第三項の表第四十四号(1)に規定する減収補塡のため令和二年度において発行について同意又は許可を得たもの(以下「令和二年度減収補塡債(従来分)」という。)イ 法第十二条第三項の表第四十四号(2)に規定する減収補塡のため令和二年度において発行について同意又は許可を得たもの(以下「令和二年度減収補塡債(拡大分)」という。)(19) 令和三年度減収補塡債(20) 令和四年度減収補塡債
 六 財源対策債償還費平成十五年度から令和四年度までの各年度の財源対策のため当該各年度において発行について同意又は許可を得た地方債の額(1) 平成十五年度において発行を許可された財源対策債(以下この表及び別表第一において「平成十五年度財源対策債」という。)(2) 平成十六年度において発行を許可された財源対策債(以下この表及び別表第一において「平成十六年度財源対策債」という。)(3) 平成十七年度において発行を許可された財源対策債(以下この表及び別表第一において「平成十七年度財源対策債」という。)(4) 平成十八年度において発行について同意又は許可を得た財源対策債(以下この表及び別表第一において「平成十八年度財源対策債」という。)(5) 平成十九年度において発行について同意又は許可を得た財源対策債(以下この表及び別表第一において「平成十九年度財源対策債」という。)(6) 平成二十年度において発行について同意又は許可を得た財源対策債(以下この表及び別表第一において「平成二十年度財源対策債」という。)(7) 平成二十一年度において発行について同意又は許可を得た財源対策債(以下この表及び別表第一において「平成二十一年度財源対策債」という。)(8) 平成二十二年度において発行について同意又は許可を得た財源対策債(以下この表及び別表第一において「平成二十二年度財源対策債」という。)(9) 平成二十三年度において発行について同意又は許可を得た財源対策債(以下この表及び別表第一において「平成二十三年度財源対策債」という。)(10) 平成二十四年度において発行について同意又は許可を得た財源対策債(以下この表及び別表第一において「平成二十四年度財源対策債」という。)(11) 平成二十五年度において発行について同意又は許可を得た財源対策債(以下この表及び別表第一において「平成二十五年度財源対策債」という。)(12) 平成二十六年度において発行について同意又は許可を得た財源対策債(以下この表及び別表第一において「平成二十六年度財源対策債」という。)(13) 平成二十七年度において発行について同意又は許可を得た財源対策債(以下この表及び別表第一において「平成二十七年度財源対策債」という。)(14) 平成二十八年度において発行について同意又は許可を得た財源対策債(以下この表及び別表第一において「平成二十八年度財源対策債」という。)(15) 平成二十九年度において発行について同意又は許可を得た財源対策債(以下この表及び別表第一において「平成二十九年度財源対策債」という。)(16) 平成三十年度において発行について同意又は許可を得た財源対策債(以下この表及び別表第一において「平成三十年度財源対策債」という。)(17) 令和元年度において発行について同意又は許可を得た財源対策債(以下この表及び別表第一において「令和元年度財源対策債」という。)(18) 令和二年度において発行について同意又は許可を得た財源対策債(以下この表及び別表第一において「令和二年度財源対策債」という。)(19) 令和三年度において発行について同意又は許可を得た財源対策債(以下この表及び別表第一において「令和三年度財源対策債」という。)(20) 令和四年度において発行について同意又は許可を得た財源対策債(以下この表及び別表第一において「令和四年度財源対策債」という。)
 七 減税補塡債償還費個人の道府県民税に係る特別減税等による平成六年度から平成八年度までの各年度及び平成十五年度から平成十八年度までの各年度の減収を補塡するため当該各年度において特別に起こすことができることとされた地方債の額(1) 平成六年度減税補塡債(2) 平成七年度減税補塡債(3) 平成八年度減税補塡債(4) 平成十五年度減税補塡債(5) 平成十六年度減税補塡債(6) 平成十七年度減税補塡債(7) 平成十八年度減税補塡債
 八 臨時財政対策債償還費臨時財政対策のため平成十五年度から令和四年度までの各年度において特別に起こすことができることとされた地方債の額(1) 平成十五年度臨時財政対策債(2) 平成十六年度臨時財政対策債(3) 平成十七年度臨時財政対策債(4) 平成十八年度臨時財政対策債(5) 平成十九年度臨時財政対策債(6) 平成二十年度臨時財政対策債(7) 平成二十一年度臨時財政対策債(8) 平成二十二年度臨時財政対策債(9) 平成二十三年度臨時財政対策債(10) 平成二十四年度臨時財政対策債(11) 平成二十五年度臨時財政対策債(12) 平成二十六年度臨時財政対策債(13) 平成二十七年度臨時財政対策債(14) 平成二十八年度臨時財政対策債(15) 平成二十九年度臨時財政対策債(16) 平成三十年度臨時財政対策債(17) 令和元年度臨時財政対策債(18) 令和二年度臨時財政対策債(19) 令和三年度臨時財政対策債(20) 令和四年度臨時財政対策債
九 東日本大震災全国緊急防災施策等債償還費平成二十五年度から令和四年度までの各年度において東日本大震災全国緊急防災施策等に要する費用に充てるため発行について同意又は許可を得た地方債の額(1) 平成二十五年度東日本大震災全国緊急防災施策等債ア 全国防災事業債分イ 緊急防災・減災事業債分(2) 平成二十六年度東日本大震災全国緊急防災施策等債ア 全国防災事業債分イ 緊急防災・減災事業債分(3) 平成二十七年度東日本大震災全国緊急防災施策等債ア 全国防災事業債分イ 緊急防災・減災事業債分(4) 平成二十八年度東日本大震災全国緊急防災施策等債緊急防災・減災事業債分(5) 平成二十九年度東日本大震災全国緊急防災施策等債緊急防災・減災事業債分(6) 平成三十年度東日本大震災全国緊急防災施策等債緊急防災・減災事業債分(7) 令和元年度東日本大震災全国緊急防災施策等債緊急防災・減災事業債分(8) 令和二年度東日本大震災全国緊急防災施策等債緊急防災・減災事業債分(9) 令和三年度東日本大震災全国緊急防災施策等債緊急防災・減災事業債分(10) 令和四年度東日本大震災全国緊急防災施策等債緊急防災・減災事業債分
十 国土強靭化施策債償還費令和元年度から令和四年度までの各年度において国土強靭化施策に要する費用に充てるため発行について同意又は許可を得た地方債の額(1) 令和元年度国土強靭化施策債ア 防災・減災・国土強靭化緊急対策事業分(ア) 学校教育施設等整備事業(大規模改造事業等を除く。)に係る経費に充てるため発行について同意又は許可を得たもの(以下「令和元年度都道府県国土強靭化施策債六十・〇%分」という。)(イ) (ア)に掲げる事業以外の事業に係る経費に充てるため発行について同意又は許可を得たもの(以下「令和元年度都道府県国土強靭化施策債五十・〇%分」という。)イ 緊急自然災害防止対策事業分(2) 令和二年度国土強靭化施策債ア 防災・減災・国土強靭化緊急対策事業分(ア) 学校教育施設等整備事業(大規模改造事業等を除く。)に係る経費に充てるため発行について同意又は許可を得たもの(以下「令和二年度都道府県国土強靭化施策債六十・〇%分」という。)(イ) (ア)に掲げる事業以外の事業に係る経費に充てるため発行について同意又は許可を得たもの(以下「令和二年度都道府県国土強靭化施策債五十・〇%分」という。)イ 緊急自然災害防止対策事業分(3) 令和三年度国土強靭化施策債ア 防災・減災・国土強靭化緊急対策事業分(ア) 学校教育施設等整備事業(大規模改造事業等を除く。)に係る経費に充てるため発行について同意又は許可を得たもの(以下「令和三年度都道府県国土強靭化施策債六十・〇%分」という。)(イ) (ア)に掲げる事業以外の事業に係る経費に充てるため発行について同意又は許可を得たもの(以下「令和三年度都道府県国土強靭化施策債五十・〇%分」という。)イ 緊急自然災害防止対策事業分(4) 令和四年度国土強靱化施策債ア 防災・減災・国土強靱化緊急対策事業分(ア) 学校教育施設等整備事業(大規模改造事業等を除く。)に係る経費に充てるため発行について同意又は許可を得たもの(以下「令和四年度都道府県国土強靱化施策債六十・〇%分」という。)(イ) (ア)に掲げる事業以外の事業に係る経費に充てるため発行について同意又は許可を得たもの(以下「令和四年度都道府県国土強靱化施策債五十・〇%分」という。)イ 緊急自然災害防止対策事業分
市町村一 道路橋りよう費道路の面積(1) 路面幅員が六・五メートル以上の市町村道(橋りようを除く。以下この表及び別表第一において同じ。)(2) 路面幅員が四・五メートル以上六・五メートル未満の市町村道(3) 路面幅員が二・五メートル以上四・五メートル未満の市町村道(4) 路面幅員が一・五メートル以上二・五メートル未満の市町村道(5) 市町村道の橋りよう(6) 国道及び道府県道(橋りようを含む。別表第一において同じ。)
 二 港湾費港湾における係留施設の延長都道府県の「港湾費」に同じ。
 三 高等学校費1 教職員数(1) 市町村立の全日制(2) 指定都市立の定時制(3) 指定都市以外の市町村立の定時制(4) 市町村立の通信制
 2 生徒数(1) 市町村立の全日制(別科及び専攻科を除く。以下この表及び別表第一において同じ。)ア 厚生に関する学科のうち衛生看護科に類する学科及び福祉に関する学科(以下「衛生看護科等」という。)イ 農業に関する学科ウ 工業に関する学科及び情報に関する学科エ 水産に関する学科オ 商業に関する学科(理数科に類する学科を含む。以下同じ。)及び家庭に関する学科(以下「商業科等」という。)カ 普通科及びその他の学科でアからオまでに掲げる学科以外の学科(以下「普通科等」という。)(2) 指定都市立の定時制ア 独立校(ア) 普通科等(イ) 商業科等(ウ) 衛生看護科等(エ) 農業に関する学科(オ) 工業に関する学科及び情報に関する学科イ 併設校アに掲げるものに同じ。(3) 指定都市以外の市町村立の定時制(2)に同じ。(4) 市町村立の全日制及び定時制の別科及び専攻科ア 職業科(衛生看護科等、農業に関する学科、工業に関する学科、情報に関する学科及び水産に関する学科に類する学科をいう。別表第一において同じ。)イ 職業科以外の学科
 四 地域振興費面積(1) 第五条第一項の表中二の3の田畑の面積(2) 第五条第一項の表中二の3の宅地の面積(3) 第五条第一項の表中二の3の森林の面積(4) 第五条第一項の表中二の3のその他の面積
 五 災害復旧費災害復旧事業費の財源に充てるため発行について同意又は許可を得た地方債に係る元利償還金(1) 公共災害復旧事業債(2) 単独災害復旧事業債(3) 地盤沈下等対策事業債(4) 緊急治山等事業債(5) 激甚災害対策特別緊急事業債(6) 特殊土壌対策事業債(7) 鉱害復旧事業債(8) 小災害債ア 公共土木施設等小災害債(公共土木施設及び公立学校施設に係るものをいう。以下同じ。)イ 農地等小災害債(農地その他の農林水産業施設に係るものをいう。以下同じ。)
 六 補正予算債償還費1 平成四年度から平成十年度までの各年度において国の補正予算等に係る事業費の財源に充てるため発行を許可された地方債に係る元利償還金(1) 平成四年度補正予算債(2) 平成五年度補正予算債(3) 平成六年度補正予算債(4) 平成七年度補正予算債(5) 平成八年度補正予算債(6) 平成九年度補正予算債(7) 平成十年度補正予算債
  2 平成十六年度から令和四年度までの各年度において国の補正予算等に係る事業費の財源に充てるため発行について同意又は許可を得た地方債の額(1) 平成十六年度補正予算債ア 一般公共事業(災害関連(各種災害関連現年分)事業(新潟県中越地震に係る災害関連地域防災がけ崩れ対策事業に限る。))に係る経費に充てるため発行を許可されたもの(以下「平成十六年度市町村九十五・〇%分」という。)イ 義務教育施設の建設事業(義務教育諸学校施設費国庫負担法(昭和三十三年法律第八十一号)第三条第一項(第三号を除く。)に規定する施設に係るものに限る。)に係る経費に充てるため発行を許可されたもの(以下「平成十六年度市町村六十・〇%分」という。)ウ ア及びイに掲げる事業以外の事業に係る経費に充てるため発行を許可されたもの(以下「平成十六年度市町村五十・〇%分」という。)(2) 平成十七年度補正予算債ア 義務教育施設の建設事業(義務教育諸学校施設費国庫負担法第三条第一項(第三号を除く。)に規定する施設に係るものに限る。)に係る経費に充てるため発行を許可されたもの(以下「平成十七年度市町村六十・〇%分」という。)(ア) 平成十七年度市場公募都市に係るもの(イ) 平成十七年度市場公募都市以外の市町村に係るものイ アに掲げる事業以外の事業に係る経費に充てるため発行を許可されたもの(以下「平成十七年度市町村五十・〇%分」という。)(ア) 平成十七年度市場公募都市に係るもの(イ) 平成十七年度市場公募都市以外の市町村に係るもの(3) 平成十八年度補正予算債ア 義務教育施設の建設事業(義務教育諸学校施設費国庫負担法第三条第一項(第三号を除く。)に規定する施設に係るものに限る。)に係る経費に充てるため発行について同意又は許可を得たもの(以下「平成十八年度市町村六十・〇%分」という。)(ア) 平成十八年度市場公募都市に係るもの(イ) 平成十八年度市場公募都市以外の市町村に係るものイ アに掲げる事業以外の事業に係る経費に充てるため発行について同意又は許可を得たもの(以下「平成十八年度市町村五十・〇%分」という。)(ア) 平成十八年度市場公募都市に係るもの(イ) 平成十八年度市場公募都市以外の市町村に係るもの(4) 平成十九年度補正予算債ア 義務教育施設の建設事業(義務教育諸学校施設費国庫負担法第三条第一項(第三号を除く。)に規定する施設に係るものに限る。)に係る経費に充てるため発行について同意又は許可を得たもの(以下「平成十九年度市町村六十・〇%分」という。)(ア) 平成十九年度市場公募都市に係るもの(イ) 平成十九年度市場公募都市以外の市町村に係るものイ アに掲げる事業以外の事業に係る経費に充てるため発行について同意又は許可を得たもの(以下「平成十九年度市町村五十・〇%分」という。)(ア) 平成十九年度市場公募都市に係るもの(イ) 平成十九年度市場公募都市以外の市町村に係るもの(5) 平成二十年度補正予算債ア 義務教育施設の建設事業(義務教育諸学校施設費国庫負担法第三条第一項(第三号を除く。)に規定する施設に係るものに限る。)に係る経費に充てるため発行について同意又は許可を得たもの(以下「平成二十年度市町村六十・〇%分」という。)(ア) 平成二十年度市場公募都市に係るもの(イ) 平成二十年度市場公募都市以外の市町村に係るものイ アに掲げる事業以外の事業に係る経費に充てるため発行について同意又は許可を得たもの(以下「平成二十年度市町村五十・〇%分」という。)(ア) 平成二十年度市場公募都市に係るもの(イ) 平成二十年度市場公募都市以外の市町村に係るもの(6) 平成二十一年度補正予算債ア 義務教育施設の建設事業(義務教育諸学校施設費国庫負担法第三条第一項(第三号を除く。)に規定する施設に係るものに限る。)に係る経費に充てるため発行について同意又は許可を得たもの(以下「平成二十一年度市町村六十・〇%分」という。)(ア) 平成二十一年度市場公募都市に係るもの(イ) 平成二十一年度市場公募都市以外の市町村に係るものイ アに掲げる事業以外の事業に係る経費に充てるため発行について同意又は許可を得たもの(以下「平成二十一年度市町村五十・〇%分」という。)(ア) 平成二十一年度市場公募都市に係るもの(イ) 平成二十一年度市場公募都市以外の市町村に係るもの(7) 平成二十二年度補正予算債ア 義務教育施設の建設事業(義務教育諸学校施設費国庫負担法第三条第一項(第三号を除く。)に規定する施設に係るものに限る。)に係る経費に充てるため発行について同意又は許可を得たもの(以下「平成二十二年度市町村六十・〇%分」という。)(ア) 平成二十二年度市場公募都市に係るもの(イ) 平成二十二年度市場公募都市以外の市町村に係るものイ 国の経済危機対応・地域活性化予備費の使用に係るもの(以下「平成二十二年度市町村五十・〇%分」という。)(ア) 平成二十二年度市場公募都市に係るもの(イ) 平成二十二年度市場公募都市以外の市町村に係るものウ ア及びイに掲げる事業以外の事業に係る経費に充てるため発行について同意又は許可を得たもの(以下「平成二十二年度市町村四十五・〇%分」という。)(ア) 平成二十二年度市場公募都市に係るもの(イ) 平成二十二年度市場公募都市以外の市町村に係るもの(8) 平成二十三年度補正予算債ア 公共事業等(平成二十三年度一般会計補正予算(第三号)等に係るものに限る。)に係る経費に充てるため発行について同意又は許可を得たもの(以下「平成二十三年度市町村八十・〇%分」という。)(ア) 平成二十三年度市場公募都市に係るもの(イ) 平成二十三年度市場公募都市以外の市町村に係るものイ アに掲げる事業以外の事業に係る経費に充てるため発行について同意又は許可を得たもの(以下「平成二十三年度市町村五十・〇%分」という。)(ア) 平成二十三年度市場公募都市に係るもの(イ) 平成二十三年度市場公募都市以外の市町村に係るもの(9) 平成二十四年度補正予算債ア 義務教育施設の建設事業(義務教育諸学校施設費国庫負担法第三条第一項(第三号を除く。)に規定する施設に係るものに限る。)に係る経費に充てるため発行について同意又は許可を得たもの(以下「平成二十四年度市町村六十・〇%分」という。)(ア) 平成二十四年度市場公募都市に係るもの(イ) 平成二十四年度市場公募都市以外の市町村に係るものイ アに掲げる事業以外の事業に係る経費に充てるため発行について同意又は許可を得たもの(以下「平成二十四年度市町村五十・〇%分」という。)(ア) 平成二十四年度市場公募都市に係るもの(イ) 平成二十四年度市場公募都市以外の市町村に係るもの(10) 平成二十五年度補正予算債ア 義務教育施設の建設事業(義務教育諸学校施設費国庫負担法第三条第一項(第三号を除く。)に規定する施設に係るものに限る。)に係る経費に充てるため発行について同意又は許可を得たもの(以下「平成二十五年度市町村六十・〇%分」という。)(ア) 平成二十五年度市場公募都市に係るもの(イ) 平成二十五年度市場公募都市以外の市町村に係るものイ アに掲げる事業以外の事業に係る経費に充てるため発行について同意又は許可を得たもの(以下「平成二十五年度市町村五十・〇%分」という。)(ア) 平成二十五年度市場公募都市に係るもの(イ) 平成二十五年度市場公募都市以外の市町村に係るもの(11) 平成二十六年度補正予算債ア 義務教育施設の建設事業(義務教育諸学校施設費国庫負担法第三条第一項(第三号を除く。)に規定する施設に係るものに限る。)に係る経費に充てるため発行について同意又は許可を得たもの(以下「平成二十六年度市町村六十・〇%分」という。)(ア) 平成二十六年度市場公募都市に係るもの(イ) 平成二十六年度市場公募都市以外の市町村に係るものイ アに掲げる事業以外の事業に係る経費に充てるため発行について同意又は許可を得たもの(以下「平成二十六年度市町村五十・〇%分」という。)(ア) 平成二十六年度市場公募都市に係るもの(イ) 平成二十六年度市場公募都市以外の市町村に係るもの(12) 平成二十七年度補正予算債ア 義務教育施設の建設事業(義務教育諸学校施設費国庫負担法第三条第一項(第三号を除く。)に規定する施設に係るものに限る。)に係る経費に充てるため発行について同意又は許可を得たもの(以下「平成二十七年度市町村六十・〇%分」という。)(ア) 平成二十七年度市場公募都市に係るもの(イ) 平成二十七年度市場公募都市以外の市町村に係るものイ アに掲げる事業以外の事業に係る経費に充てるため発行について同意又は許可を得たもの(以下「平成二十七年度市町村五十・〇%分」という。)(ア) 平成二十七年度市場公募都市に係るもの(イ) 平成二十七年度市場公募都市以外の市町村に係るもの(13) 平成二十八年補正予算債ア 公共事業等及び一般補助施設整備等事業(平成二十八年度一般会計補正予算(第一号)により創設された一般会計熊本地震復旧等予備費の使用に係るものに限る。)並びに熊本地震による災害の復興事業(再度の災害を防止する事業)に係る経費に充てるため発行について同意又は許可を得たもの(以下「平成二十八年度市町村八十・〇%分」という。)(ア) 平成二十八年度市場公募都市に係るもの(イ) 平成二十八年度市場公募都市以外の市町村に係るものイ 義務教育施設の建設事業(義務教育諸学校施設費国庫負担法第三条第一項(第三号を除く。)に規定する施設に係るものに限る。)に係る経費に充てるため発行について同意又は許可を得たもの(以下「平成二十八年度市町村六十・〇%分」という。)(ア) 平成二十八年度市場公募都市に係るもの(イ) 平成二十八年度市場公募都市以外の市町村に係るものウ ア及びイに掲げる事業以外の事業に係る経費に充てるため発行について同意又は許可を得たもの(以下「平成二十八年度市町村五十・〇%分」という。)(ア) 平成二十八年度市場公募都市に係るもの(イ) 平成二十八年度市場公募都市以外の市町村に係るもの(14) 平成二十九年度補正予算債ア 熊本地震による災害の復興事業(再度の災害を防止する事業)に係る経費に充てるため発行について同意又は許可を得たもの(以下「平成二十九年度市町村八十・〇%分」という。)(ア) 平成二十九年度市場公募都市に係るもの(イ) 平成二十九年度市場公募都市以外の市町村に係るものイ 義務教育施設の建設事業(義務教育諸学校施設費国庫負担法第三条第一項(第三号を除く。)に規定する施設に係るものに限る。)に係る経費に充てるため発行について同意又は許可を得たもの(以下「平成二十九年度市町村六十・〇%分」という。)(ア) 平成二十九年度市場公募都市に係るもの(イ) 平成二十九年度市場公募都市以外の市町村に係るものウ ア及びイに掲げる事業以外の事業に係る経費に充てるため発行について同意又は許可を得たもの(以下「平成二十九年度市町村五十・〇%分」という。)(ア) 平成二十九年度市場公募都市に係るもの(イ) 平成二十九年度市場公募都市以外の市町村に係るもの(15) 平成三十年度補正予算債ア 熊本地震及び平成三十年七月豪雨への対応に伴う投資的経費に充てるため発行について同意又は許可を得たもの(以下「平成三十年度市町村八十・〇%分」という。)(ア) 平成三十年度市場公募都市に係るもの(イ) 平成三十年度市場公募都市以外の市町村に係るものイ 義務教育施設の建設事業(義務教育諸学校施設費国庫負担法第三条第一項(第三号を除く。)に規定する施設に係るものに限る。)に係る経費に充てるため発行について同意又は許可を得たもの(以下「平成三十年度市町村六十・〇%分」という。)(ア) 平成三十年度市場公募都市に係るもの(イ) 平成三十年度市場公募都市以外の市町村に係るものウ ア及びイに掲げる事業以外の事業に係る経費に充てるため発行について同意又は許可を得たもの(以下「平成三十年度市町村五十・〇%分」という。)(ア) 平成三十年度市場公募都市に係るもの(イ) 平成三十年度市場公募都市以外の市町村に係るもの(16) 令和元年度補正予算債ア 公共事業等(令和元年度一般会計の予備費の使用(令和元年十一月八日閣議決定)に係るものに限る。)並びに平成二十八年熊本地震、平成三十年七月豪雨及び令和元年台風第十九号への対応に伴う投資的経費に充てるため発行について同意又は許可を得たもの(以下「令和元年度市町村八十・〇%分」という。)(ア) 令和元年度市場公募都市に係るもの(イ) 令和元年度市場公募都市以外の市町村に係るものイ 義務教育施設の建設事業(義務教育諸学校施設費国庫負担法第三条第一項(第三号を除く。)に規定する施設に係るものに限る。)に係る経費に充てるため発行について同意又は許可を得たもの(以下「令和元年度市町村六十・〇%分」という。)(ア) 令和元年度市場公募都市に係るもの(イ) 令和元年度市場公募都市以外の市町村に係るものウ ア及びイに掲げる事業以外の事業に係る経費に充てるため発行について同意又は許可を得たもの(以下「令和元年度市町村五十・〇%分」という。)(ア) 令和元年度市場公募都市に係るもの(イ) 令和元年度市場公募都市以外の市町村に係るもの(17) 令和二年度補正予算債ア 公共事業等(令和二年度一般会計の予備費の使用(令和二年七月三十一日閣議決定)及び令和二年度一般会計の予備費の使用(令和二年九月十五日閣議決定)に係るものに限る。)及び令和二年七月豪雨への対応に伴う投資的経費に充てるため発行について同意又は許可を得たもの(以下「令和二年度市町村八十・〇%分」という。)(ア) 令和二年度市場公募都市に係るもの(イ) 令和二年度市場公募都市以外の市町村に係るものイ アに掲げる事業以外の公共事業等(被災市街地復興特別事業に係るものに限る。)に係る経費に充てるため発行について同意又は許可を得たもの(以下「令和二年度市町村七十二・〇%分」という。)(ア) 令和二年度市場公募都市に係るもの(イ) 令和二年度市場公募都市以外の市町村に係るものウ 義務教育施設の建設事業(義務教育諸学校施設費国庫負担法第三条第一項(第三号を除く。)に規定する施設に係るものに限る。)に係る経費に充てるため発行について同意又は許可を得たもの(以下「令和二年度市町村六十・〇%分」という。)(ア) 令和二年度市場公募都市に係るもの(イ) 令和二年度市場公募都市以外の市町村に係るものエ ア、イ及びウに掲げる事業以外の事業に係る経費に充てるため発行について同意又は許可を得たもの(以下「令和二年度市町村五十・〇%分」という。)(ア) 令和二年度市場公募都市に係るもの(イ) 令和二年度市場公募都市以外の市町村に係るもの(18) 令和三年度補正予算債ア 義務教育施設の建設事業(義務教育諸学校施設費国庫負担法第三条第一項(第三号を除く。)に規定する施設に係るものに限る。)に係る経費に充てるため発行について同意又は許可を得たもの(以下「令和三年度市町村六十・〇%分」という。)(ア) 令和三年度市場公募都市に係るもの(イ) 令和三年度市場公募都市以外の市町村に係るものイ アに掲げる事業以外の事業に係る経費に充てるため発行について同意又は許可を得たもの(以下「令和三年度市町村五十・〇%分」という。)(ア) 令和三年度市場公募都市に係るもの(イ) 令和三年度市場公募都市以外の市町村に係るもの(19) 令和四年度補正予算債ア 公共事業等(被災市街地復興特別事業に係るものに限る。)に係る経費に充てるため発行について同意又は許可を得たもの(以下「令和四年度市町村七十二・〇%分」という。)(ア) 令和四年度市場公募都市に係るもの(イ) 令和四年度市場公募都市以外の市町村に係るものイ 義務教育施設の建設事業(義務教育諸学校施設費国庫負担法第三条第一項(第三号を除く。)に規定する施設に係るものに限る。)に係る経費に充てるため発行について同意又は許可を得たもの(以下「令和四年度市町村六十・〇%分」という。)(ア) 令和四年度市場公募都市に係るもの(イ) 令和四年度市場公募都市以外の市町村に係るものウ ア及びイに掲げる事業以外の事業に係る経費に充てるため発行について同意又は許可を得たもの(以下「令和四年度市町村五十・〇%分」という。)(ア) 令和四年度市場公募都市に係るもの(イ) 令和四年度市場公募都市以外の市町村に係るもの
 七 地方税減収補塡債償還費地方税の減収補塡のため平成十五年度から及び平成十七年度から令和四年度までの各年度において特別に発行について同意又は許可を得た地方債の額(1) 平成十五年度減収補塡債ア 平成十五年度市場公募都市に係るものイ 平成十五年度市場公募都市以外の市町村に係るもの(2) 平成十七年度減収補塡債ア 平成十七年度市場公募都市に係るものイ 平成十七年度市場公募都市以外の市町村に係るもの(3) 平成十八年度減収補塡債ア 平成十八年度市場公募都市に係るものイ 平成十八年度市場公募都市以外の市町村に係るもの(4) 平成十九年度減収補塡債ア 平成十九年度市場公募都市に係るものイ 平成十九年度市場公募都市以外の市町村に係るもの(5) 平成二十年度減収補塡債ア 平成二十年度市場公募都市に係るものイ 平成二十年度市場公募都市以外の市町村に係るもの(6) 平成二十一年度減収補塡債ア 平成二十一年度市場公募都市に係るものイ 平成二十一年度市場公募都市以外の市町村に係るもの(7) 平成二十二年度減収補塡債ア 平成二十二年度市場公募都市に係るものイ 平成二十二年度市場公募都市以外の市町村に係るもの(8) 平成二十三年度減収補塡債ア 平成二十三年度市場公募都市に係るものイ 平成二十三年度市場公募都市以外の市町村に係るもの(9) 平成二十四年度減収補塡債ア 平成二十四年度市場公募都市に係るものイ 平成二十四年度市場公募都市以外の市町村に係るもの(10) 平成二十五年度減収補塡債ア 平成二十五年度市場公募都市に係るものイ 平成二十五年度市場公募都市以外の市町村に係るもの(11) 平成二十六年度減収補塡債ア 平成二十六年度市場公募都市に係るものイ 平成二十六年度市場公募都市以外の市町村に係るもの(12) 平成二十七年度減収補塡債ア 平成二十七年度市場公募都市に係るものイ 平成二十七年度市場公募都市以外の市町村に係るもの(13) 平成二十八年度減収補塡債ア 平成二十八年度市場公募都市に係るものイ 平成二十八年度市場公募都市以外の市町村に係るもの(14) 平成二十九年度減収補塡債ア 平成二十九年度市場公募都市に係るものイ 平成二十九年度市場公募都市以外の市町村に係るもの(15) 平成三十年度減収補塡債ア 平成三十年度市場公募都市に係るものイ 平成三十年度市場公募都市以外の市町村に係るもの(16) 令和元年度減収補塡債ア 令和元年度市場公募都市に係るものイ 令和元年度市場公募都市以外の市町村に係るもの(17) 令和二年度減収補塡債ア 従来分(ア) 令和二年度市場公募都市に係るもの(イ) 令和二年度市場公募都市以外の市町村に係るものイ 拡大分(ア) 令和二年度市場公募都市に係るもの(イ) 令和二年度市場公募都市以外の市町村に係るもの(18) 令和三年度減収補塡債ア 令和三年度市場公募都市に係るものイ 令和三年度市場公募都市以外の市町村に係るもの(19) 令和四年度減収補塡債ア 令和四年度市場公募都市に係るものイ 令和四年度市場公募都市以外の市町村に係るもの
 八 財源対策債償還費平成十三年度から令和四年度までの各年度の財源対策のため当該各年度において発行について同意又は許可を得た地方債の額(1) 平成十三年度財源対策債義務教育施設の建設事業に係る経費に充てるため発行を許可されたもの(2) 平成十四年度において発行を許可された財源対策債(別表第一において「平成十四年度財源対策債」という。)義務教育施設の建設事業に係る経費に充てるため発行を許可されたもの(3) 平成十五年度財源対策債ア 一般公共事業等に係る経費に充てるため発行を許可されたものイ 義務教育施設の建設事業に係る経費に充てるため発行を許可されたもの(4) 平成十六年度財源対策債ア 一般公共事業等に係る経費に充てるため発行を許可されたものイ 義務教育施設の建設事業に係る経費に充てるため発行を許可されたもの(5) 平成十七年度財源対策債ア 一般公共事業等に係る経費に充てるため発行を許可されたもの(ア) 平成十七年度市場公募都市に係るもの(イ) 平成十七年度市場公募都市以外の市町村に係るものイ 義務教育施設の建設事業に係る経費に充てるため発行を許可されたもの(ア) 平成十七年度市場公募都市に係るもの(イ) 平成十七年度市場公募都市以外の市町村に係るもの(6) 平成十八年度財源対策債ア 一般公共事業等に係る経費に充てるため発行について同意又は許可を得たもの(ア) 平成十八年度市場公募都市に係るもの(イ) 平成十八年度市場公募都市以外の市町村に係るものイ 義務教育施設の建設事業に係る経費に充てるため発行について同意又は許可を得たもの(ア) 平成十八年度市場公募都市に係るもの(イ) 平成十八年度市場公募都市以外の市町村に係るものウ 廃棄物処理施設の建設事業に係る経費に充てるため発行について同意又は許可を得たもの(ア) 平成十八年度市場公募都市に係るもの(イ) 平成十八年度市場公募都市以外の市町村に係るもの(7) 平成十九年度財源対策債ア 一般公共事業等に係る経費に充てるため発行について同意又は許可を得たもの(ア) 平成十九年度市場公募都市に係るもの(イ) 平成十九年度市場公募都市以外の市町村に係るものイ 義務教育施設の建設事業に係る経費に充てるため発行について同意又は許可を得たもの(ア) 平成十九年度市場公募都市に係るもの(イ) 平成十九年度市場公募都市以外の市町村に係るものウ 廃棄物処理施設の建設事業に係る経費に充てるため発行について同意又は許可を得たもの(ア) 平成十九年度市場公募都市に係るもの(イ) 平成十九年度市場公募都市以外の市町村に係るもの(8) 平成二十年度財源対策債ア 一般公共事業等に係る経費に充てるため発行について同意又は許可を得たもの(ア) 平成二十年度市場公募都市に係るもの(イ) 平成二十年度市場公募都市以外の市町村に係るものイ 義務教育施設の建設事業に係る経費に充てるため発行について同意又は許可を得たもの(ア) 平成二十年度市場公募都市に係るもの(イ) 平成二十年度市場公募都市以外の市町村に係るものウ 廃棄物処理施設の建設事業に係る経費に充てるため発行について同意又は許可を得たもの(ア) 平成二十年度市場公募都市に係るもの(イ) 平成二十年度市場公募都市以外の市町村に係るもの(9) 平成二十一年度財源対策債ア 一般公共事業等に係る経費に充てるため発行について同意又は許可を得たもの(ア) 平成二十一年度市場公募都市に係るもの(イ) 平成二十一年度市場公募都市以外の市町村に係るものイ 義務教育施設の建設事業に係る経費に充てるため発行について同意又は許可を得たもの(ア) 平成二十一年度市場公募都市に係るもの(イ) 平成二十一年度市場公募都市以外の市町村に係るものウ 廃棄物処理施設の建設事業に係る経費に充てるため発行について同意又は許可を得たもの(ア) 平成二十一年度市場公募都市に係るもの(イ) 平成二十一年度市場公募都市以外の市町村に係るもの(10) 平成二十二年度財源対策債ア 一般公共事業等に係る経費に充てるため発行について同意又は許可を得たもの(ア) 平成二十二年度市場公募都市に係るもの(イ) 平成二十二年度市場公募都市以外の市町村に係るものイ 義務教育施設の建設事業に係る経費に充てるため発行について同意又は許可を得たもの(ア) 平成二十二年度市場公募都市に係るもの(イ) 平成二十二年度市場公募都市以外の市町村に係るものウ 廃棄物処理施設の建設事業に係る経費に充てるため発行について同意又は許可を得たもの(ア) 平成二十二年度市場公募都市に係るもの(イ) 平成二十二年度市場公募都市以外の市町村に係るもの(11) 平成二十三年度財源対策債ア 公共事業等に係る経費に充てるため発行について同意又は許可を得たもの(ア) 平成二十三年度市場公募都市に係るもの(イ) 平成二十三年度市場公募都市以外の市町村に係るものイ 義務教育施設の建設事業に係る経費に充てるため発行について同意又は許可を得たもの(ア) 平成二十三年度市場公募都市に係るもの(イ) 平成二十三年度市場公募都市以外の市町村に係るものウ 廃棄物処理施設の建設事業に係る経費に充てるため発行について同意又は許可を得たもの(ア) 平成二十三年度市場公募都市に係るもの(イ) 平成二十三年度市場公募都市以外の市町村に係るもの(12) 平成二十四年度財源対策債ア 公共事業等に係る経費に充てるため発行について同意又は許可を得たもの(ア) 平成二十四年度市場公募都市に係るもの(イ) 平成二十四年度市場公募都市以外の市町村に係るものイ 義務教育施設の建設事業に係る経費に充てるため発行について同意又は許可を得たもの(ア) 平成二十四年度市場公募都市に係るもの(イ) 平成二十四年度市場公募都市以外の市町村に係るものウ 廃棄物処理施設の建設事業に係る経費に充てるため発行について同意又は許可を得たもの(ア) 平成二十四年度市場公募都市に係るもの(イ) 平成二十四年度市場公募都市以外の市町村に係るもの(13) 平成二十五年度財源対策債ア 公共事業等に係る経費に充てるため発行について同意又は許可を得たもの(ア) 平成二十五年度市場公募都市に係るもの(イ) 平成二十五年度市場公募都市以外の市町村に係るものイ 義務教育施設の建設事業に係る経費に充てるため発行について同意又は許可を得たもの(ア) 平成二十五年度市場公募都市に係るもの(イ) 平成二十五年度市場公募都市以外の市町村に係るものウ 廃棄物処理施設の建設事業に係る経費に充てるため発行について同意又は許可を得たもの(ア) 平成二十五年度市場公募都市に係るもの(イ) 平成二十五年度市場公募都市以外の市町村に係るもの(14) 平成二十六年度財源対策債ア 公共事業等に係る経費に充てるため発行について同意又は許可を得たもの(ア) 平成二十六年度市場公募都市に係るもの(イ) 平成二十六年度市場公募都市以外の市町村に係るものイ 義務教育施設の建設事業に係る経費に充てるため発行について同意又は許可を得たもの(ア) 平成二十六年度市場公募都市に係るもの(イ) 平成二十六年度市場公募都市以外の市町村に係るものウ 廃棄物処理施設の建設事業に係る経費に充てるため発行について同意又は許可を得たもの(ア) 平成二十六年度市場公募都市に係るもの(イ) 平成二十六年度市場公募都市以外の市町村に係るもの(15) 平成二十七年度財源対策債ア 公共事業等に係る経費に充てるため発行について同意又は許可を得たもの(ア) 平成二十七年度市場公募都市に係るもの(イ) 平成二十七年度市場公募都市以外の市町村に係るものイ 義務教育施設の建設事業に係る経費に充てるため発行について同意又は許可を得たもの(ア) 平成二十七年度市場公募都市に係るもの(イ) 平成二十七年度市場公募都市以外の市町村に係るものウ 廃棄物処理施設の建設事業に係る経費に充てるため発行について同意又は許可を得たもの(ア) 平成二十七年度市場公募都市に係るもの(イ) 平成二十七年度市場公募都市以外の市町村に係るもの(16) 平成二十八年度財源対策債ア 公共事業等に係る経費に充てるため発行について同意又は許可を得たもの(ア) 平成二十八年度市場公募都市に係るもの(イ) 平成二十八年度市場公募都市以外の市町村に係るものイ 義務教育施設の建設事業に係る経費に充てるため発行について同意又は許可を得たもの(ア) 平成二十八年度市場公募都市に係るもの(イ) 平成二十八年度市場公募都市以外の市町村に係るものウ 廃棄物処理施設の建設事業に係る経費に充てるため発行について同意又は許可を得たもの(ア) 平成二十八年度市場公募都市に係るもの(イ) 平成二十八年度市場公募都市以外の市町村に係るもの(17) 平成二十九年度財源対策債ア 公共事業等に係る経費に充てるため発行について同意又は許可を得たもの(ア) 平成二十九年度市場公募都市に係るもの(イ) 平成二十九年度市場公募都市以外の市町村に係るものイ 義務教育施設の建設事業に係る経費に充てるため発行について同意又は許可を得たもの(ア) 平成二十九年度市場公募都市に係るもの(イ) 平成二十九年度市場公募都市以外の市町村に係るものウ 廃棄物処理施設の建設事業に係る経費に充てるため発行について同意又は許可を得たもの(ア) 平成二十九年度市場公募都市に係るもの(イ) 平成二十九年度市場公募都市以外の市町村に係るもの(18) 平成三十年度財源対策債ア 公共事業等に係る経費に充てるため発行について同意又は許可を得たもの(ア) 平成三十年度市場公募都市に係るもの(イ) 平成三十年度市場公募都市以外の市町村に係るものイ 義務教育施設の建設事業に係る経費に充てるため発行について同意又は許可を得たもの(ア) 平成三十年度市場公募都市に係るもの(イ) 平成三十年度市場公募都市以外の市町村に係るものウ 廃棄物処理施設の建設事業に係る経費に充てるため発行について同意又は許可を得たもの(ア) 平成三十年度市場公募都市に係るもの(イ) 平成三十年度市場公募都市以外の市町村に係るもの(19) 令和元年度財源対策債ア 公共事業等に係る経費に充てるため発行について同意又は許可を得たもの(ア) 令和元年度市場公募都市に係るもの(イ) 令和元年度市場公募都市以外の市町村に係るものイ 義務教育施設の建設事業に係る経費に充てるため発行について同意又は許可を得たもの(ア) 令和元年度市場公募都市に係るもの(イ) 令和元年度市場公募都市以外の市町村に係るものウ 廃棄物処理施設の建設事業に係る経費に充てるため発行について同意又は許可を得たもの(ア) 令和元年度市場公募都市に係るもの(イ) 令和元年度市場公募都市以外の市町村に係るもの(20) 令和二年度財源対策債ア 公共事業等に係る経費に充てるため発行について同意又は許可を得たもの(ア) 令和二年度市場公募都市に係るもの(イ) 令和二年度市場公募都市以外の市町村に係るものイ 義務教育施設の建設事業に係る経費に充てるため発行について同意又は許可を得たもの(ア) 令和二年度市場公募都市に係るもの(イ) 令和二年度市場公募都市以外の市町村に係るものウ 廃棄物処理施設の建設事業に係る経費に充てるため発行について同意又は許可を得たもの(ア) 令和二年度市場公募都市に係るもの(イ) 令和二年度市場公募都市以外の市町村に係るもの(21) 令和三年度財源対策債ア 公共事業等に係る経費に充てるため発行について同意又は許可を得たもの(ア) 令和三年度市場公募都市に係るもの(イ) 令和三年度市場公募都市以外の市町村に係るものイ 義務教育施設の建設事業に係る経費に充てるため発行について同意又は許可を得たもの(ア) 令和三年度市場公募都市に係るもの(イ) 令和三年度市場公募都市以外の市町村に係るものウ 廃棄物処理施設の建設事業に係る経費に充てるため発行について同意又は許可を得たもの(ア) 令和三年度市場公募都市に係るもの(イ) 令和三年度市場公募都市以外の市町村に係るもの(22) 令和四年度財源対策債ア 公共事業等に係る経費に充てるため発行について同意又は許可を得たもの(ア) 令和四年度市場公募都市に係るもの(イ) 令和四年度市場公募都市以外の市町村に係るものイ 義務教育施設の建設事業に係る経費に充てるため発行について同意又は許可を得たもの(ア) 令和四年度市場公募都市に係るもの(イ) 令和四年度市場公募都市以外の市町村に係るものウ 廃棄物処理施設の建設事業に係る経費に充てるため発行について同意又は許可を得たもの(ア) 令和四年度市場公募都市に係るもの(イ) 令和四年度市場公募都市以外の市町村に係るもの
 九 減税補塡債償還費個人の市町村民税に係る特別減税等による平成六年度から平成八年度までの各年度及び平成十五年度から平成十八年度までの各年度の減収を補塡するため当該各年度において特別に起こすことができることとされた地方債の額(1) 平成六年度減税補塡債(2) 平成七年度減税補塡債(3) 平成八年度減税補塡債(4) 平成十五年度減税補塡債ア 平成十五年度市場公募都市に係るものイ 平成十五年度市場公募都市以外の市町村に係るもの(5) 平成十六年度減税補塡債ア 平成十六年度市場公募都市に係るものイ 平成十六年度市場公募都市以外の市町村に係るもの(6) 平成十七年度減税補塡債ア 平成十七年度市場公募都市に係るものイ 平成十七年度市場公募都市以外の市町村に係るもの(7) 平成十八年度減税補塡債ア 平成十八年度市場公募都市に係るものイ 平成十八年度市場公募都市以外の市町村に係るもの
 十 臨時財政対策債償還費臨時財政対策のため平成十五年度から令和四年度までの各年度において特別に起こすことができることとされた地方債の額(1) 平成十五年度臨時財政対策債ア 平成十五年度市場公募都市に係るものイ 平成十五年度市場公募都市以外の市町村に係るもの(2) 平成十六年度臨時財政対策債ア 平成十六年度市場公募都市に係るものイ 平成十六年度市場公募都市以外の市町村に係るもの(3) 平成十七年度臨時財政対策債ア 平成十七年度市場公募都市に係るものイ 平成十七年度市場公募都市以外の市町村に係るもの(4) 平成十八年度臨時財政対策債ア 平成十八年度市場公募都市に係るものイ 平成十八年度市場公募都市以外の市町村に係るもの(5) 平成十九年度臨時財政対策債ア 平成十九年度市場公募都市に係るものイ 平成十九年度市場公募都市以外の市町村に係るもの(6) 平成二十年度臨時財政対策債ア 平成二十年度市場公募都市に係るものイ 平成二十年度市場公募都市以外の市町村に係るもの(7) 平成二十一年度臨時財政対策債ア 平成二十一年度市場公募都市に係るものイ 平成二十一年度市場公募都市以外の市町村に係るもの(8) 平成二十二年度臨時財政対策債ア 平成二十二年度市場公募都市に係るものイ 平成二十二年度市場公募都市以外の市町村に係るもの(9) 平成二十三年度臨時財政対策債ア 平成二十三年度市場公募都市に係るものイ 平成二十三年度市場公募都市以外の市町村に係るもの(10) 平成二十四年度臨時財政対策債ア 平成二十四年度市場公募都市に係るものイ 平成二十四年度市場公募都市以外の市町村に係るもの(11) 平成二十五年度臨時財政対策債ア 平成二十五年度市場公募都市に係るものイ 平成二十五年度市場公募都市以外の市町村に係るもの(12) 平成二十六年度臨時財政対策債ア 平成二十六年度市場公募都市に係るものイ 平成二十六年度市場公募都市以外の市町村に係るもの(13) 平成二十七年度臨時財政対策債ア 平成二十七年度市場公募都市に係るものイ 平成二十七年度市場公募都市以外の市町村に係るもの(14) 平成二十八年度臨時財政対策債ア 平成二十八年度市場公募都市に係るものイ 平成二十八年度市場公募都市以外の市町村に係るもの(15) 平成二十九年度臨時財政対策債ア 平成二十九年度市場公募都市に係るものイ 平成二十九年度市場公募都市以外の市町村に係るもの(16) 平成三十年度臨時財政対策債ア 平成三十年度市場公募都市に係るものイ 平成三十年度市場公募都市以外の市町村に係るもの(17) 令和元年度臨時財政対策債ア 令和元年度市場公募都市に係るものイ 令和元年度市場公募都市以外の市町村に係るもの(18) 令和二年度臨時財政対策債ア 令和二年度市場公募都市に係るものイ 令和二年度市場公募都市以外の市町村に係るもの(19) 令和三年度臨時財政対策債ア 令和三年度市場公募都市に係るものイ 令和三年度市場公募都市以外の市町村に係るもの(20) 令和四年度臨時財政対策債ア 令和四年度市場公募都市に係るものイ 令和四年度市場公募都市以外の市町村に係るもの
十一 東日本大震災全国緊急防災施策等債償還費平成二十五年度から令和四年度までの各年度において東日本大震災全国緊急防災施策等に要する費用に充てるため発行について同意又は許可を得た地方債の額(1) 平成二十五年度東日本大震災全国緊急防災施策等債ア 全国防災事業債分(ア) 平成二十五年度市場公募都市に係るもの(イ) 平成二十五年度市場公募都市以外の市町村に係るものイ 緊急防災・減災事業債分(ア) 平成二十五年度市場公募都市に係るもの(イ) 平成二十五年度市場公募都市以外の市町村に係るもの(2) 平成二十六年度東日本大震災全国緊急防災施策等債ア 全国防災事業債分(ア) 平成二十六年度市場公募都市に係るもの(イ) 平成二十六年度市場公募都市以外の市町村に係るものイ 緊急防災・減災事業債分(ア) 平成二十六年度市場公募都市に係るもの(イ) 平成二十六年度市場公募都市以外の市町村に係るもの(3) 平成二十七年度東日本大震災全国緊急防災施策等債ア 全国防災事業債分(ア) 平成二十七年度市場公募都市に係るもの(イ) 平成二十七年度市場公募都市以外の市町村に係るものイ 緊急防災・減災事業債分(ア) 平成二十七年度市場公募都市に係るもの(イ) 平成二十七年度市場公募都市以外の市町村に係るもの(4) 平成二十八年度東日本大震災全国緊急防災施策等債緊急防災・減災事業債分ア 平成二十八年度市場公募都市に係るものイ 平成二十八年度市場公募都市以外の市町村に係るもの(5) 平成二十九年度東日本大震災全国緊急防災施策等債緊急防災・減災事業債分ア 平成二十九年度市場公募都市に係るものイ 平成二十九年度市場公募都市以外の市町村に係るもの(6) 平成三十年度東日本大震災全国緊急防災施策等債緊急防災・減災事業債分ア 平成三十年度市場公募都市に係るものイ 平成三十年度市場公募都市以外の市町村に係るもの(7) 令和元年度東日本大震災全国緊急防災施策等債緊急防災・減災事業債分ア 令和元年度市場公募都市に係るものイ 令和元年度市場公募都市以外の市町村に係るもの(8) 令和二年度東日本大震災全国緊急防災施策等債緊急防災・減災事業債分ア 令和二年度市場公募都市に係るものイ 令和二年度市場公募都市以外の市町村に係るもの(9) 令和三年度東日本大震災全国緊急防災施策等債緊急防災・減災事業債分ア 令和三年度市場公募都市に係るものイ 令和三年度市場公募都市以外の市町村に係るもの(10) 令和四年度東日本大震災全国緊急防災施策等債緊急防災・減災事業債分ア 令和四年度市場公募都市に係るものイ 令和四年度市場公募都市以外の市町村に係るもの
十二 国土強靱化施策債償還費令和元年度から令和四年度までの各年度において国土強靱化施策に要する費用に充てるため発行について同意又は許可を得た地方債の額(1) 令和元年度国土強靱化施策債ア 防災・減災・国土強靭化緊急対策事業分(ア) 学校教育施設等整備事業(大規模改造事業等を除く。)に係る経費に充てるため発行について同意又は許可を得たもの(以下「令和元年度市町村国土強靭化施策債六十・〇%分」という。)(i) 令和元年度市場公募都市に係るもの(ii) 令和元年度市場公募都市以外の市町村に係るもの(イ) (ア)に掲げる事業以外の事業に係る経費に充てるため発行について同意又は許可を得たもの(以下「令和元年度市町村国土強靭化施策債五十・〇%分」という。)(i) 令和元年度市場公募都市に係るもの(ii) 令和元年度市場公募都市以外の市町村に係るものイ 緊急自然災害防止対策事業分(ア) 令和元年度市場公募都市に係るもの(イ) 令和元年度市場公募都市以外の市町村に係るもの(2) 令和二年度国土強靱化施策債ア 防災・減災・国土強靭化緊急対策事業分(ア) 学校教育施設等整備事業(大規模改造事業等を除く。)に係る経費に充てるため発行について同意又は許可を得たもの(以下「令和二年度市町村国土強靭化施策債六十・〇%分」という。)(i) 令和二年度市場公募都市に係るもの(ii) 令和二年度市場公募都市以外の市町村に係るもの(イ) (ア)に掲げる事業以外の事業に係る経費に充てるため発行について同意又は許可を得たもの(以下「令和二年度市町村国土強靭化施策債五十・〇%分」という。)(i) 令和二年度市場公募都市に係るもの(ii) 令和二年度市場公募都市以外の市町村に係るものイ 緊急自然災害防止対策事業分(ア) 令和二年度市場公募都市に係るもの(イ) 令和二年度市場公募都市以外の市町村に係るもの(3) 令和三年度国土強靱化施策債ア 防災・減災・国土強靭化緊急対策事業分(ア) 学校教育施設等整備事業(大規模改造事業等を除く。)に係る経費に充てるため発行について同意又は許可を得たもの(以下「令和三年度市町村国土強靭化債六十・〇%分」という。)(i) 令和三年度市場公募都市に係るもの(ii) 令和三年度市場公募都市以外の市町村に係るもの(イ) (ア)に掲げる事業以外の事業に係る経費に充てるため発行について同意又は許可を得たもの(以下「令和三年度市町村国土強靭化債五十・〇%分」という。)(i) 令和三年度市場公募都市に係るもの(ii) 令和三年度市場公募都市以外の市町村に係るものイ 緊急自然災害防止対策事業分(ア) 令和三年度市場公募都市に係るもの(イ) 令和三年度市場公募都市以外の市町村に係るもの(4) 令和四年度国土強靱化施策債ア 防災・減災・国土強靱化緊急対策事業分(ア) 学校教育施設等整備事業(大規模改造事業等を除く。)に係る経費に充てるため発行について同意又は許可を得たもの(以下「令和四年度市町村国土強靱化債六十・〇%分」という。)(i) 令和四年度市場公募都市に係るもの(ii) 令和四年度市場公募都市以外の市町村に係るもの(イ) (ア)に掲げる事業以外の事業に係る経費に充てるため発行について同意又は許可を得たもの(以下「令和四年度市町村国土強靱化債五十・〇%分」という。)(i) 令和四年度市場公募都市に係るもの(ii) 令和四年度市場公募都市以外の市町村に係るものイ 緊急自然災害防止対策事業分(ア) 令和四年度市場公募都市に係るもの(イ) 令和四年度市場公募都市以外の市町村に係るもの
2「港湾費」の測定単位について種別補正を行なう場合においては、港湾ごとの当該年度の四月一日現在における種別によつて補正するものとする。
3地方行政に要する経費のうち個別算定経費以外のもののうち面積を測定単位とするものに係る種別補正に用いる種別は、次の表に掲げる地方団体の種類及び測定単位ごとにそれぞれ同表の種別の欄に定めるところによる。
地方団体の種類測定単位種別
都道府県面積(1) 第五条第一項の表中二の2の宅地の面積(2) 第五条第一項の表中二の2の耕地の面積(3) 第五条第一項の表中二の2の林野の面積(4) 第五条第一項の表中二の2のその他の面積
市町村面積(1) 第五条第一項の表中二の3の宅地の面積(2) 第五条第一項の表中二の3の田畑の面積(3) 第五条第一項の表中二の3の森林の面積(4) 第五条第一項の表中二の3のその他の面積

(段階補正係数の算定方法)

第八条次の表の都道府県の欄に掲げる都道府県につき経費の種類の欄に掲げる経費に係る測定単位について段階補正を行う場合においては、経費の種類ごとに当該経費に係る測定単位の数値を同表の地域区分の欄に掲げる地域に係るものに区分し、当該区分した数値に別表第二(1)に定める率を乗じて得た数値(表示単位未満の端数があるときは、その端数を四捨五入する。)を合計した数値を用いて段階補正係数を算定するものとする。
都道府県経費の種類地域区分
指定都市及び中核市(地方自治法第二百五十二条の二十二第一項の中核市をいう。以下同じ。)を包括する都道府県その他の教育費のうち人口を測定単位とするもの指定都市の区域
中核市の区域
その他の区域
高齢者保健福祉費のうち六十五歳以上人口を測定単位とするもの指定都市の区域
中核市の区域
その他の区域
指定都市、児童相談所設置中核市(児童福祉法(昭和二十二年法律第百六十四号)第五十九条の四の児童相談所設置市で中核市であるものをいう。以下同じ。)、中核市及び福祉事務所設置町村を包括する都道府県社会福祉費指定都市の区域
児童相談所設置中核市の区域
その他の中核市の区域
福祉事務所設置町村の区域
その他の区域
指定都市、中核市、特別区又は保健所設置市(地域保健法施行令(昭和二十三年政令第七十七号)第一条に定める市(指定都市及び中核市を除く。)をいう。以下同じ。)を包括する都道府県衛生費指定都市の区域
中核市の区域
特別区及び保健所設置市の区域
その他の区域
中小企業支援市(中小企業支援法施行令(昭和三十八年政令第三百三十四号)第二条に定める市をいう。以下同じ。)を包括する都道府県商工行政費中小企業支援市の区域
その他の区域
2市町村の次の各号に掲げる経費について段階補正を行う場合において、段階補正係数が別表第二(2)に定める率を超えるときは、同表に定める率をそれぞれ当該経費に係る段階補正係数とする。
一消防費
二その他の土木費
三その他の教育費のうち人口を測定単位とするもの
四社会福祉費
五保健衛生費
六高齢者保健福祉費のうち六十五歳以上人口を測定単位とするもの
七農業行政費
八商工行政費
九徴税費
十戸籍住民基本台帳費のうち戸籍数を測定単位とするもの
十一戸籍住民基本台帳費のうち世帯数を測定単位とするもの
3市町村の地方行政に要する経費のうち個別算定経費以外のもののうち人口を測定単位とするものについて段階補正を行う場合において、段階補正係数が十五・〇〇〇を超えるときは、十五・〇〇〇とする。

(密度及び密度補正係数の算定方法)

第九条密度補正に用いる密度は、次の表に掲げる地方団体の種類、経費の種類及び測定単位ごとにそれぞれ同表の密度の算定方法の欄に定める方法によつて算定した数とし、同表に掲げるもの以外のものにあつては人口密度(当該地方団体の人口を面積で除して得た数(表示単位未満の端数があるときは、その端数を四捨五入する。)をいう。以下同じ。)によるものとする。
地方団体の種類経費の種類測定単位密度の算定方法
都道府県一 道路橋りよう費道路の面積密度補正に用いる密度は、国土交通省において実施した平成二十七年度全国道路交通情勢調査による調査区間別の十二時間交通量及び道路延長に基づき、総務大臣が算定した道路一キロメートル当たり十二時間平均交通量とする。
 二 その他の土木費人口密度補正Ⅱに用いる密度は、次の算式により算定した数(小数点以下三位未満の端数があるときは、その端数を四捨五入する。)とする。算式
算式の符号A 測定単位の数値B 次の算式によつて算定した額算式
An×(1-(Cn/Bn))
及び
Dn×(1-(Fn/En))
に整数未満の端数があるときは、その端数を四捨五入する。
算式の符号An 平成n年度に建設に着手した第1種公営住宅(公営住宅法の一部を改正する法律(平成8年法律第55号。以下「公営住宅法改正法」という。)の規定による改正前の公営住宅法(昭和26年法律第193号。以下「旧公営住宅法」という。)第2条第3号に規定する第一種公営住宅をいう。以下同じ。)のうち都道府県が管理するもの(以下「平成n年度都道府県営第1種公営住宅」という。)に係る土地取得造成費の100分の3に相当する額として総務大臣が通知する額Bn 平成n年度都道府県営第1種公営住宅の戸数として総務大臣が通知する数Cn 平成n年度都道府県営第1種公営住宅の収入超過者入居戸数として総務大臣が通知する数Dn 平成n年度に建設に着手した第2種公営住宅(旧公営住宅法第2条第4号に規定する第二種公営住宅をいう。以下同じ。)のうち都道府県が管理するもの(以下「平成n年度都道府県営第2種公営住宅」という。)に係る土地取得造成費の100分の4に相当する額として総務大臣が通知する額En 平成n年度都道府県営第2種公営住宅の戸数として総務大臣が通知する数Fn 平成n年度都道府県営第2種公営住宅の収入超過者入居戸数として総務大臣が通知する数C 次の算式によつて、公営住宅法改正法の規定による改正後の公営住宅法(以下「新公営住宅法」という。)第2条第2号に規定する公営住宅(以下「新法公営住宅」という。)、旧公営住宅法に基づき整備された公営住宅(昭和55年度以降管理開始されたものに限り、住宅地区改良法(昭和35年法律第84号)第29条第1項において準用する場合を含む。)、住宅地区改良法第2条第6号に規定する改良住宅、小集落地区等改良事業制度要綱(昭和57年4月5日付け建設省住整発第26号)第2第7項に規定する小集落改良住宅、密集住宅市街地整備促進事業制度要綱(平成6年6月23日付け建設省住市発第46号)第2第11号に規定するコミュニティ住宅、「住宅地区改良事業に準ずる事業の取扱いについて」(昭和49年9月1日付け建設省住整発第91号)に基づき建設または購入された住宅及び改良住宅等管理要領(昭和54年5月11日付け建設省住整発第25号)第2第16号に規定する更新住宅(以下「旧法公営住宅等」という。)並びに特定借上・買取賃貸住宅制度要綱(平成7年4月1日付け建設省住備発第10号)に規定する特定借上・買取賃貸住宅(以下「特定住宅」という。)及び特定目的借上公共賃貸住宅制度要綱(平成6年6月23日付け建設省住建発第50号。以下「特目要綱」という。)に基づく特定目的借上公共賃貸住宅(以下「特目住宅」という。)のそれぞれについて次の算式によつて算定した額の合算額算式
(a-b)×12×1.022×α
(整数未満の端数があるときは、その端数を四捨五入する。)算式の符号a 新法公営住宅にあつては、公営住宅法施行令(昭和26年政令第240号)第3条の規定に基づき算定した近傍同種の家賃の額として国土交通大臣が調査した額、旧法公営住宅等にあつては、旧公営住宅法第12条第1項(住宅地区改良法第29条第1項において準用する場合を含む。)又は改良住宅等管理要領(昭和54年5月11日付建設省住整発第6号)第4第1項の規定に基づき算出する月割額として国土交通大臣が調査した額、特定住宅にあつては、公営住宅法施行令第3条の規定に基づき算定した近傍同種の家賃の額として国土交通大臣が調査した額、特目住宅にあつては、家賃(特目要綱第17第1項ただし書に規定する特定優良賃貸住宅の供給の促進に関する法律施行規則(平成5年建設省令第16号。以下「特定優良賃貸住宅供給促進法施行規則」という。)第20条の規定に準じて算定した額(以下「限度額家賃」という。)又は特目要綱第17第1項ただし書に規定する特定優良賃貸住宅供給促進法施行規則第21条第1項の基準に該当する場合において特定優良賃貸住宅供給促進法施行規則第21条第2項に準じて算定した額(以下「変更限度額家賃」という。)を超える場合には当該限度額家賃又は当該変更限度額家賃)として国土交通大臣が調査した額b 新法公営住宅にあつては、公営住宅法施行令第2条第2項の規定による家賃算定基礎額に、同条第1項第1号から第3号までに掲げる数値を乗じた額(当該額が近傍同種の住宅の家賃の額を超える場合にあつては、近傍同種の住宅の家賃の額)として国土交通大臣が調査した額、旧法公営住宅等にあつては、入居階層に応じての負担能力を勘案して、国土交通省住宅局長が別に定める額、特定住宅にあつては、公営住宅法施行令第2条第2項の規定による家賃算定基礎額に、同条第1項第1号から第3号までに掲げる数値を乗じた額(当該額が近傍同種の住宅の家賃の額を超える場合にあつては、近傍同種の住宅の家賃の額)として国土交通大臣が調査した額、特目住宅にあつては、入居者負担基準額として国土交通大臣が調査した額α 新法公営住宅のうち、災害により滅失した住宅に居住していた低額所得者に賃貸するため借上をした公営住宅にあつては3分の2、激甚災害に対処するための特別の財政援助等に関する法律第22条第1項の規定の適用を受けて建設若しくは買取りをした公営住宅又は同項に規定する政令で定める地域にあつた住宅であつて激甚災害により滅失したものにその災害の当時居住していた低額所得者に転貸するため借上げをした新法公営住宅にあつては3分の2(最初の5年間は4分の3)、その他の公営住宅にあつては2分の1、旧法公営住宅のうち旧第一種公営住宅にあつては2分の1、旧第二種公営住宅にあつては3分の2、特定住宅及び特目住宅のうち阪神・淡路大震災の被災居住者等が入居する管理人住宅以外の住宅にあつては3分の2(最初の5年間は4分の3)、管理人の居住する住宅にあつては3分の1、その他の住宅にあつては2分の1
三 中学校費教職員数密度補正に用いる密度は、次の算式によつて算定した数(小数点以下三位未満の端数があるときは、その端数を四捨五入する。)とする。算式
算式の符号A 測定単位の数値B 次の算式によつて算定した額(整数未満の端数があるときは、その端数を四捨五入する。)算式
36,900×b1×b2
算式の符号b1 学校基本調査規則によつて調査した当該年度の5月1日現在における当該都道府県立の併設型中学校、夜間中学及び中等教育学校の前期課程に在学する生徒の数b2 スクールバス等の数に160.76を乗じて得た数を、符号b1の数値で除して得た数(小数点以下3位未満の端数があるときは、その端数を四捨五入する。)C 次の算式によつて算定した額(整数未満の端数があるときは、その端数を四捨五入する。)算式
1,101,000×c1×(c2+c3)
算式の符号c1 当該年度の5月1日現在における当該都道府県立の併設型中学校、夜間中学及び中等教育学校の前期課程について、公立義務教育諸学校の学級編制及び教職員定数の標準に関する法律第3条第1項及び第2項並びに公立義務教育諸学校の学級編成及び教職員定数の標準に関する法律施行令第1条に規定する学級編成の標準によつて算定した学級数c2 当該都道府県の区域内の市町村の地域手当の地域区分が100分の20地域の市町村にあつては1.023、100分の16地域の市町村にあつては1.019、100分の15地域の市町村にあつては1.017、100分の12地域の市町村にあつては1.014、100分の10地域の市町村にあつては1.012、100分の6地域の市町村にあつては1.007、100分の3地域の市町村にあつては1.003、その他地域の市町村にあつては1.000を当該区域内の地域手当の級地ごとの市町村の人口に乗じて得た数(整数未満の端数があるときは、その端数を四捨五入する。)の合計数を当該都道府県の人口で除して得た率(小数点以下3位未満の端数があるときは、その端数を四捨五入する。)とする。ただし、当該率が1.000に満たないときは、1.000とする。c3 次の算式によつて算定した数算式
α+β+γ
算式の符号α 当該都道府県の区域内の市町村の給与の差による地域区分が1級地の市町村にあつては0.007、2級地の市町村にあつては0.006、3級地の市町村にあつては0.006、4級地の市町村にあつては0.004、その他地域の市町村にあつては0.000を当該区域内の給与の差による地域区分ごとの市町村の人口に乗じて得た数の合計数を当該都道府県の人口で除して得た率(小数点以下3位未満の端数があるときは、その端数を四捨五入する。)とする。β 当該都道府県の区域内の市町村の寒冷の差による別表第4(1)の地域区分が1級地の市町村にあつては0.152、2級地の市町村にあつては0.254、3級地の市町村にあつては0.380、4級地の市町村にあつては0.575、その他地域の市町村にあつては0.000を当該区域内の寒冷の差による地域区分ごとの市町村の人口に乗じて得た数の合計数を当該都道府県の人口で除して得た率(小数点以下3位未満の端数があるときは、その端数を四捨五入する。)とする。γ 当該都道府県の区域内の市町村の積雪の差による別表第4(3)の地域区分が1級地の市町村にあつては0.068、2級地の市町村にあつては0.137、3級地の市町村にあつては0.343、4級地の市町村にあつては0.755、その他地域の市町村にあつては0.000を当該区域内の積雪の差による地域区分ごとの市町村の人口に乗じて得た数の合計数を当該都道府県の人口で除して得た率(小数点以下3位未満の端数があるときは、その端数を四捨五入する。)とする。D 次の算式によつて算定した額(整数未満の端数があるときは、その端数を四捨五入する。)算式
10,532,000×d
算式の符号d 学校基本調査規則によつて調査した当該年度の5月1日現在における当該都道府県立の併設型中学校、夜間中学及び中等教育学校の前期課程の数。ただし、在学生徒を有しない学校の数を除く。
 四 特別支援学校費学級数学校基本調査規則によつて調査したその年の五月一日現在における当該都道府県の区域内の市(指定都市を除く。)町村の設置する特別支援学校の幼稚部に在学する幼児の数に〇・六四〇を乗じて得た数と学校基本調査規則によつて調査したその年の五月一日現在における当該都道府県の区域内の市町村の設置する特別支援学校の幼稚部に在学する幼児の数に〇・〇二〇を乗じて得た数と学校基本調査規則によつて調査したその年の五月一日現在における当該都道府県の区域内の市町村の設置する特別支援学校の小学部及び中学部に在学する児童及び生徒の数に〇・〇二六を乗じて得た数と学校基本調査規則によつて調査したその年の五月一日現在における当該都道府県の区域内の市(指定都市を除く。)町村の設置する特別支援学校の高等部(別科及び専攻科を除く。)に在学する生徒の数に〇・〇〇一を乗じて得た数と学校基本調査規則によつて調査したその年の五月一日現在における当該都道府県の区域内の市町村の設置する特別支援学校の高等部(別科及び専攻科を除く。)に在学する生徒の数に〇・〇三八を乗じて得た数と学校基本調査規則によつて調査したその年の五月一日現在における当該都道府県の区域内の市(指定都市を除く。)町村の設置する特別支援学校の高等部(別科及び専攻科に限る。)に在学する生徒の数に一・八三五を乗じて得た数と学校基本調査規則によつて調査したその年の五月一日現在における当該都道府県の区域内の市町村の設置する特別支援学校の高等部(別科及び専攻科に限る。)に在学する生徒の数に〇・〇四九を乗じて得た数と学校基本調査規則によつて調査したその年の五月一日現在における当該都道府県立の特別支援学校の幼稚部に在学する幼児の数に〇・六八二を乗じて得た数との合計数を測定単位の数値で除して得た数(小数点以下三位未満の端数があるときは、その端数を四捨五入する。)とする。
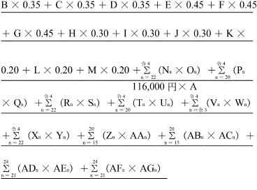
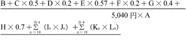
五 その他の教育費人口1 密度補正Ⅱに用いる密度は、次の算式ア、算式イ及び算式ウにより算定した数(小数点以下三位未満の端数があるときは、その端数を四捨五入する。)とする。算式ア
算式アの符号A 測定単位の数値B 当該都道府県内の市町村ごとの新制度移行私立幼稚園在籍人員数及び私立認定こども園在籍人員数の合計数の合計数C 次の算式により算定した率(小数点以下3位未満の端数がある場合は、その端数を四捨五入する。)算式
a/b×12に小数点以下3位未満の端数があるときは、その端数を四捨五入する。
算式の符号a 当該都道府県内の市町村ごとの新制度移行私立幼稚園在籍人員及び私立認定こども園の1号認定子どもに係る前年度費用額の合計額の合計額b 当該都道府県内の市町村ごとの前年度新制度移行私立幼稚園在籍人員数及び前年度私立認定こども園在籍人員数の合計数の合計数算式イ
算式イの符号A 測定単位の数値B 当該都道府県内の市町村ごとの私立幼稚園(新制度移行私立幼稚園を除く。)の在籍人員数の合計数算式ウ
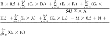
[{B×153.524+C×102.350+D×51.175+E×111.748+F×74.499+G×37.249+H×67.221+I×44.814+J×22.407+(K×47.794+L×31.862+M×15.931)×α+N×80.802+O×53.868+P×26.934+Q×48.481+R×32.321+S×16.160+T×24.241+U×16.160+V×8.080+(W×20.057+X×13.381+Y×6.705)×β}×1.358+{(Z×84.527+AA×56.361+AB×28.181)×γ+(AC×22.923+AD×15.287+AE×7.650)×δ}×1.954]/A
B×153.524、C×102.350、D×51.175、E×111.748、F×74.499、G×37.249、H×67.221、I×44.814、J×22.407、K×47.794、L×31.862、M×15.931、(K×47.794+L×31.862+M×15.931)×α、N×80.802、O×53.868、P×26.934、Q×48.481、R×32.321、S×16.160、T×24.241、U×16.160、V×8.080、W×20.057、X×13.381、Y×6.705、(W×20.057+X×13.381+Y×6.705)×β、{B×153.524+C×102.350+D×51.175+E×111.748+F×74.499+G×37.249+H×67.221+I×44.814+J×22.407+(K×47.794+L×31.862+M×15.931)×α+N×80.802+O×53.868+P×26.934+Q×48.481+R×32.321+S×16.160+T×24.241+U×16.160+V×8.080+(W×20.057+X×13.381+Y×6.705)×β}×1.358、Z×84.527、AA×56.361、AB×28.181、(Z×84.527+AA×56.361+AB×28.181)×γ、AC×22.923、AD×15.287、AE×7.650、(AC×22.923+AD×15.287+AE×7.650)×δ、{(Z×84.527+AA×56.361+AB×28.181)×γ+(AC×22.923+AD×15.287+AE×7.650)×δ}×1.954及び[{B×153.524+C×102.350+D×51.175+E×111.748+F×74.499+G×37.249+H×67.221+I×44.814+J×22.407+(K×47.794+L×31.862+M×15.931)×α+N×80.802+O×53.868+P×26.934+Q×48.481+R×32.321+S×16.160+T×24.241+U×16.160+V×8.080+(W×20.057+X×13.381+Y×6.705)×β}×1.358+{(Z×84.527+AA×56.361+AB×28.181)×γ+(AC×22.923+AD×15.287+AE×7.650)×δ}×1.954]/Aに小数点以下3位未満の端数があるときは、その端数を四捨五入する。
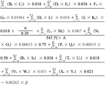
算式ウの符号A 測定単位の数値B 「高等教育の修学支援新制度における授業料等減免対象学生数等に係る調査について」(令和5年4月20日付け文部科学省高等教育局学生支援課高等教育修学支援室事務連絡。以下この号において「授業料等減免対象学生数等調査」という。)に基づいて文部科学省に報告された「都道府県立大学」の「令和4年度授業料減免対象学生数」(以下「都道府県立大学授業料減免対象学生数」という。)のうち「非課税世帯:満額区分」の数(地方独立行政法人法第68条第1項の公立大学法人(以下この号において「公立大学法人」という。)の設置する大学のうち、都道府県及び市町村が同法第6条第3項に規定する設立団体(以下この号において「設立団体」という。)である公立大学法人の設置する大学の授業料減免対象学生数については、当該学生数を当該大学を設置した公立大学法人の設立団体である都道府県知事及び市町村の長が協議して定め、総務大臣が承認した率(協議が成立しないときは、総務大臣が定める率)により按分したものをそれぞれの都道府県立大学の授業料減免対象学生数とする。符号C及び符号Dにおいて同じ。)C 都道府県立大学授業料減免対象学生数のうち「準非課税世帯:2/3区分」の数D 都道府県立大学授業料減免対象学生数のうち「準非課税世帯:1/3区分」の数E 授業料等減免対象学生数等調査に基づいて文部科学省に報告された「都道府県立短期大学」の「令和4年度授業料減免対象学生数」(以下「都道府県立短期大学授業料減免対象学生数」という。)のうち「非課税世帯:満額区分」の数(公立大学法人の設置する短期大学のうち、都道府県及び市町村が設立団体である公立大学法人の設置する短期大学の授業料減免対象学生数については、当該学生数を当該短期大学を設置した公立大学法人の設立団体である都道府県知事及び市町村の長が協議して定め、総務大臣が承認した率(協議が成立しないときは、総務大臣が定める率)により按分したものをそれぞれの都道府県立短期大学の授業料減免対象学生数とする。符号F及び符号Gにおいて同じ。)F 都道府県立短期大学授業料減免対象学生数のうち「準非課税世帯:2/3区分」の数G 都道府県立短期大学授業料減免対象学生数のうち「準非課税世帯:1/3区分」の数H 授業料等減免対象学生数等調査に基づいて文部科学省に報告された「都道府県立高等専門学校」の「令和4年度授業料減免対象学生数」(以下「都道府県立高等専門学校授業料減免対象学生数」という。)のうち「非課税世帯:満額区分」の数(公立大学法人の設置する高等専門学校のうち、都道府県及び市町村が設立団体である公立大学法人の設置する高等専門学校の授業料減免対象学生数については、当該学生数を当該高等専門学校を設置した公立大学法人の設立団体である都道府県知事及び市町村の長が協議して定め、総務大臣が承認した率(協議が成立しないときは、総務大臣が定める率)により按分したものをそれぞれの都道府県立高等専門学校の授業料減免対象学生数とする。符号I及び符号Jにおいて同じ。)I 都道府県立高等専門学校授業料減免対象学生数のうち「準非課税世帯:2/3区分」の数J 都道府県立高等専門学校授業料減免対象学生数のうち「準非課税世帯:1/3区分」の数K 授業料等減免対象学生数等調査に基づいて文部科学省に報告された「都道府県立専門学校」の「令和4年度授業料減免対象学生数」(以下「都道府県立専門学校授業料減免対象学生数」という。)のうち「非課税世帯:満額区分」の数L 都道府県立専門学校授業料減免対象学生数のうち「準非課税世帯:2/3区分」の数M 都道府県立専門学校授業料減免対象学生数のうち「準非課税世帯:1/3区分」の数N 授業料等減免対象学生数等調査に基づいて文部科学省に報告された「都道府県立大学」の「令和4年度入学金減免対象学生数」(以下「都道府県立大学入学金減免対象学生数」という。)のうち「非課税世帯:満額区分」の数(公立大学法人の設置する大学のうち、都道府県及び市町村が設立団体である公立大学法人の設置する大学の入学金減免対象学生数については、当該学生数を当該大学を設置した公立大学法人の設立団体である都道府県知事及び市町村の長が協議して定め、総務大臣が承認した率(協議が成立しないときは、総務大臣が定める率)により按分したものをそれぞれの都道府県立大学の入学金減免対象学生数とする。符号O及び符号Pにおいて同じ。)O 都道府県立大学入学金減免対象学生数のうち「準非課税世帯:2/3区分」の数P 都道府県立大学入学金減免対象学生数のうち「準非課税世帯:1/3区分」の数Q 授業料等減免対象学生数等調査に基づいて文部科学省に報告された「都道府県立短期大学」の「令和4年度入学金減免対象学生数」(以下「都道府県立短期大学入学金減免対象学生数」という。)のうち「非課税世帯:満額区分」の数(公立大学法人の設置する短期大学のうち、都道府県及び市町村が設立団体である公立大学法人の設置する短期大学の入学金減免対象学生数については、当該学生数を当該短期大学を設置した公立大学法人の設立団体である都道府県知事及び市町村の長が協議して定め、総務大臣が承認した率(協議が成立しないときは、総務大臣が定める率)により按分したものをそれぞれの都道府県立短期大学の入学金減免対象学生数とする。符号R及び符号Sにおいて同じ。)R 都道府県立短期大学入学金減免対象学生数のうち「準非課税世帯:2/3区分」の数S 都道府県立短期大学入学金減免対象学生数のうち「準非課税世帯:1/3区分」の数T 授業料等減免対象学生数等調査に基づいて文部科学省に報告された「都道府県立高等専門学校」の「令和4年度入学金減免対象学生数」(以下「都道府県立高等専門学校入学金減免対象学生数」という。)のうち「非課税世帯:満額区分」の数(公立大学法人の設置する高等専門学校のうち、都道府県及び市町村が設立団体である公立大学法人の設置する高等専門学校の入学金減免対象学生数については、当該学生数を当該高等専門学校を設置した公立大学法人の設立団体である都道府県知事及び市町村の長が協議して定め、総務大臣が承認した率(協議が成立しないときは、総務大臣が定める率)により按分したものをそれぞれの都道府県立高等専門学校の入学金減免対象学生数とする。符号U及び符号Vにおいて同じ。)U 都道府県立高等専門学校入学金減免対象学生数のうち「準非課税世帯:2/3区分」の数V 都道府県立高等専門学校入学金減免対象学生数のうち「準非課税世帯:1/3区分」の数W 授業料等減免対象学生数等調査に基づいて文部科学省に報告された「都道府県立専門学校」の「令和4年度入学金減免対象学生数」(以下「都道府県立専門学校入学金減免対象学生数」という。)のうち「非課税世帯:満額区分」の数X 都道府県立専門学校入学金減免対象学生数のうち「準非課税世帯:2/3区分」の数Y 都道府県立専門学校入学金減免対象学生数のうち「準非課税世帯:1/3区分」の数Z 授業料等減免対象学生数等調査に基づいて文部科学省に報告された「私立専門学校」の「令和4年度授業料減免対象学生数」(以下「私立専門学校授業料減免対象学生数」という。)のうち「非課税世帯:満額区分」の数AA 私立専門学校授業料減免対象学生数のうち「準非課税世帯:2/3区分」の数AB 私立専門学校授業料減免対象学生数のうち「準非課税世帯:1/3区分」の数AC 授業料等減免対象学生数等調査に基づいて文部科学省に報告された「私立専門学校」の「令和4年度入学金減免対象学生数」(以下「私立専門学校入学金減免対象学生数」という。)のうち「非課税世帯:満額区分」の数AD 私立専門学校入学金減免対象学生数のうち「準非課税世帯:2/3区分」の数AE 私立専門学校入学金減免対象学生数のうち「準非課税世帯:1/3区分」の数α 次の算式により算定した率(小数点以下3位未満の端数がある場合はその端数を四捨五入し、当該率が1.000を超える場合は1.000とする。)算式
(a×3)/(b×3+c×2+d)/166,800
算式の符号a 授業料等減免対象学生数等調査に基づいて文部科学省に報告された「都道府県立専門学校」の「令和4年度授業料減免額(実績)」b 符号Kに同じ。c 符号Lに同じ。d 符号Mに同じ。β 次の算式により算定した率(小数点以下3位未満の端数がある場合はその端数を四捨五入し、当該率が1.000を超える場合は1.000とする。)算式
(e×3)/(f×3+g×2+h)/70,000
算式の符号e 授業料等減免対象学生数等調査に基づいて文部科学省に報告された「都道府県立専門学校」の「令和4年度入学金減免額(実績)」f 符号Wに同じ。g 符号Xに同じ。h 符号Yに同じ。γ 次の算式により算定した率(小数点以下3位未満の端数がある場合はその端数を四捨五入し、当該率が1.000を超える場合は1.000とする。)算式
(i×3)/(j×3+k×2+l)/590,000
算式の符号i 授業料等減免対象学生数等調査に基づいて文部科学省に報告された「私立専門学校」の「令和4年度授業料減免額(実績)」j 符号Zに同じ。k 符号AAに同じ。l 符号ABに同じ。δ 次の算式により算定した率(小数点以下3位未満の端数がある場合はその端数を四捨五入し、当該率が1.000を超える場合は1.000とする。)算式
(m×3)/(n×3+o×2+p)/160,000
算式の符号m 授業料等減免対象学生数等調査に基づいて文部科学省に報告された「私立専門学校」の「令和4年度入学金減免額(実績)」n 符号ACに同じ。o 符号ADに同じ。p 符号AEに同じ。2 新制度移行私立幼稚園在籍人員数及び私立認定こども園在籍人員数の合計数は、「子どものための教育・保育給付費支弁台帳について」(平成二十七年八月二十一日付け府子本第二百七十一号、二十七初幼教第十九号、雇児保発〇八二一第二号各都道府県子ども・子育て支援新制度担当部(局)長あて内閣府子ども・子育て本部参事官(子ども・子育て支援担当)、文部科学省初等中等教育局幼児教育課長、厚生労働省雇用均等・児童家庭局保育課長通知)に基づき作成された子どものための教育・保育給付費支弁台帳(以下この号において「教育・保育給付支弁台帳」という。)に記載された当該年度の四月一日現在の新制度移行私立幼稚園の在籍人員数及び私立認定こども園に在籍する一号認定子どもの数の合計数とする。以下この表において同じ。3 新制度移行私立幼稚園在籍人員及び私立認定こども園の一号認定子どもに係る前年度費用額の合計額は、教育・保育給付支弁台帳に記載された特定教育・保育、特別利用保育、特別利用教育、特定地域型保育、特別利用地域型保育、特定利用地域型保育及び特例保育に要する費用の額の算定に関する基準等の一部を改正する告示(令和五年内閣府告示第二十九号)による改正前の特定教育・保育、特別利用保育、特別利用教育、特定地域型保育、特別利用地域型保育、特定利用地域型保育及び特例保育に要する費用の額の算定に関する基準等(平成二十七年内閣府告示第四十九号。以下「公定価格基準」という。)に基づき算出された費用の額のうち、令和四年十月の新制度移行私立幼稚園在籍人員及び私立認定こども園に在籍する一号認定子どもに係る額の合計額とする。以下この表において同じ。4 前年度新制度移行私立幼稚園在籍人員数及び前年度私立認定こども園在籍人員数の合計数は、教育・保育給付支弁台帳に記載された令和四年十月一日現在の新制度移行私立幼稚園の在籍人員数及び私立認定こども園に在籍する一号認定子どもの数の合計数とする。以下この表において同じ。5 私立幼稚園(新制度移行私立幼稚園を除く。)在籍人員数は、「子育てのための施設等利用給付支弁台帳について」(令和元年十一月二十二日付け府子本第六百八十四号、元初幼教第十号、子小発一一二二第一号、子保発一一二二第一号、子子発一一二二第一号各都道府県子ども・子育て支援新制度担当部(局)長あて内閣府子ども・子育て本部参事官(子ども・子育て支援担当)、文部科学省初等中等教育局幼児教育課長、厚生労働省子ども家庭局総務課少子化総合対策室長、厚生労働省子ども家庭局保育課長、厚生労働省子ども家庭局子育て支援課長通知)に基づき作成された子育てのための施設等利用給付支弁台帳に記載された当該年度の四月一日現在の私立幼稚園の在籍人員数とする。以下この表において同じ。
 六 生活保護費町村部人口1 密度補正に用いる密度は、次の算式ア及び算式イにより算定した数(小数点以下三位未満の端数があるときは、その端数を四捨五入する。)とする。算式ア
D×0.964
及び
{C-(D×0.964)}×0.983
に整数未満の端数があるときは、その端数を四捨五入する。
算式アの符号A 測定単位の数値B 被生活保護者等の数C 被生活保護者等の実数D 前年度における被生活保護者等の数算式イ
(B×100)/A
算式イの符号A 測定単位の数値B 被生活保護者等のうち生活扶助等を受けた者の数2 被生活保護者等の数は、当該都道府県の区域内の前年度の四月一日から三月三十一日までの間において生活保護法(昭和二十五年法律第百四十四号)の規定によつて生活扶助、住宅扶助、教育扶助、医療扶助、介護扶助、出産扶助、生業扶助及び葬祭扶助を受けた者並びに中国残留邦人等の円滑な帰国の促進並びに永住帰国した中国残留邦人等及び特定配偶者の自立の支援に関する法律(平成六年法律第三十号)の規定によつて生活支援給付、住宅支援給付、医療支援給付、介護支援給付、出産支援給付、生業支援給付及び葬祭支援給付を受けた者の月ごとの実人員のそれぞれの合計数からこの表中市町村の項第七号2に規定する方法によつて算定した当該都道府県の区域内の市(福祉事務所設置町村を含む。以下この号において同じ。)に係る被生活保護者等の数のそれぞれの合計数を控除した数に、別表第二の二に定める当該扶助に係るそれぞれの率を乗じて得た数(表示単位未満の端数があるときは、その端数を四捨五入する。)の合計数とする。3 被生活保護者等の実数は、2に準ずる。この場合において、「市町村の項第七号2」とあるのは「市町村の項第七号3」と、「別表第二の二」とあるのは「別表第二の三」と読み替えるものとする。4 前年度における被生活保護者等の数は、2に準ずる。この場合において、「前年度」とあるのは「前々年度」と、「市町村の項第七号2」とあるのは「市町村の項第七号4」と、「別表第二の二」とあるのは「別表第二の四」と読み替えるものとする。5 被生活保護者等のうち生活扶助等を受けた者の数は、前年度の四月一日から三月三十一日までの間において生活保護法の規定によつて生活扶助を受けた者及び中国残留邦人等の円滑な帰国の促進並びに永住帰国した中国残留邦人等及び特定配偶者の自立の支援に関する法律の規定によつて生活支援給付を受けた者の月ごとの実人員の合計数からこの表中市町村の項第七号5に規定する方法によつて算定した当該都道府県の区域内の市に係る被生活保護者等のうち生活扶助等を受けた者の数を控除した数に、別表第二の二に定める当該扶助に係る率を乗じて得た数(表示単位未満の端数があるときは、その端数を四捨五入する。)とする。
 七 社会福祉費人口1 密度補正に用いる密度は、次の算式ア(1)、算式ア(2)、算式イ、算式ウ、算式エ(1)、算式エ(2)、算式エ(3)、算式オ、算式カ及び算式キにより算定した数(小数点以下三位未満の端数があるときは、その端数を四捨五入する。)とする。算式ア(1)
算式ア(1)の符号A 測定単位の数値B 当該都道府県内の市町村ごとの私立保育所在籍人員数及び私立認定こども園在籍人員数(子ども・子育て支援法第23条第4項に規定する満三歳未満保育認定子ども(以下この表において「満3歳未満保育認定子ども」という。)に係るものに限る。)の合計数α 次の算式によつて算定した率(小数点以下3位未満の端数があるときは、その端数を四捨五入する。)算式
{(a-b)×12×0.25}/cに整数未満の端数があるときは、その端数を四捨五入する。
算式の符号a 当該都道府県内の市町村ごとの前年度私立保育所等費用額(満3歳未満保育認定子どもに係るものに限る。)の合計額b 当該都道府県内の市町村ごとの前年度私立保育所等利用者負担額の合計額c 当該都道府県内の市町村ごとの前年度私立保育所等在籍人員数(満3歳未満保育認定子どもに係るものに限る。)の合計数算式ア(2)
算式ア(2)の符号A 測定単位の数値B 当該都道府県内の市町村ごとの私立保育所在籍人員数及び私立認定こども園在籍人員数(満3歳未満保育認定子どもに係るものを除く。)の合計数α 次の算式によつて算定した率(小数点以下3位未満の端数があるときは、その端数を四捨五入する。)算式
(a×12×0.25)/bに整数未満の端数があるときは、その端数を四捨五入する。
算式の符号a 当該都道府県内の市町村ごとの前年度私立保育所等費用額(満3歳未満保育認定子どもに係るものを除く。)の合計額b 当該都道府県内の市町村ごとの前年度私立保育所等在籍人員数(満3歳未満保育認定子どもに係るものを除く。)の合計数算式イ
[{B×0.780+C×1.463+D×0.976+E×0.976+F×1.463+G×1.463+H×0.976+I×0.976+J×8.780+K×5.854+L×8.780+M×5.854+(N+O+P+Q)×0.488+(R+S+T+U)×0.488+(V+W+X+Y)×2.927}×0.995]/A
B×0.780、C×1.463、D×0.976、E×0.976、F×1.463、G×1.463、H×0.976、I×0.976、J×8.780、K×5.854、L×8.780、M×5.854、(N+O+P+Q)×0.488、(R+S+T+U)×0.488及び(V+W+X+Y)×2.927に整数未満の端数があるときは、その端数を四捨五入する。
算式イの符号A 測定単位の数値B 児童数(3歳未満)((被用者・本則給付分)及び(施設等受給資格者分)の計)C 児童数(3歳未満)(非被用者・本則給付分)D 児童数(3歳~小学校)((被用者・本則給付分のうち第1子及び第2子分)及び(施設等受給資格者分)の計)E 児童数(3歳~小学校)(非被用者・本則給付分のうち第1子及び第2子分)F 児童数(3歳~小学校)(被用者・本則給付分のうち第3子以降分)G 児童数(3歳~小学校)(非被用者・本則給付分のうち第3子以降分)H 児童数(中学校)((被用者・本則給付分)及び(施設等受給資格者分)の計)I 児童数(中学校)(非被用者・本則給付分)J 児童数(3歳未満)(地方公務員・本則給付分)K 児童数(3歳~小学校)(地方公務員・本則給付分のうち第1子及び第2子分)L 児童数(3歳~小学校)(地方公務員・本則給付分のうち第3子以降分)M 児童数(中学校)(地方公務員・本則給付分)N 児童数(3歳未満)(被用者・特例給付分)O 児童数(3歳~小学校)(被用者・特例給付分のうち第1子及び第2子分)P 児童数(3歳~小学校)(被用者・特例給付分のうち第3子以降分)Q 児童数(中学校)(被用者・特例給付分)R 児童数(3歳未満)(非被用者・特例給付分)S 児童数(3歳~小学校)(非被用者・特例給付分のうち第1子及び第2子分)T 児童数(3歳~小学校)(非被用者・特例給付分のうち第3子以降分)U 児童数(中学校)(非被用者・特例給付分)V 児童数(3歳未満)(地方公務員・特例給付分)W 児童数(3歳~小学校)(地方公務員・特例給付分のうち第1子及び第2子分)X 児童数(3歳~小学校)(地方公務員・特例給付分のうち第3子以降分)Y 児童数(中学校)(地方公務員・特例給付分)算式ウ
算式ウの符号A 測定単位の数値B 児童扶養手当支給者数C 町村部人口算式エ(1)
算式エ(1)の符号A 測定単位の数値B 障害福祉サービスのうち居住系サービス利用者数算式エ(2)
算式エ(2)の符号A 測定単位の数値B 障害福祉サービスのうち日中活動系サービス利用者数算式エ(3)
算式エ(3)の符号A 測定単位の数値B 障害福祉サービスのうち訪問系サービス利用者数算式オ
[{B×1.227+C×1.000+(D+J)×0.778+E×1.004+F×1.994+G×0.917+H×0.572+I×0.557}×27.481]/A
B×1.227、C×1.000、(D+J)×0.778、E×1.004、F×1.994、G×0.917、H×0.572及びI×0.557に整数未満の端数があるときは、その端数を四捨五入する。
算式オの符号A 測定単位の数値B 当該都道府県内の市町村ごとの家庭的保育事業に係る子どもの数の合計数C 当該都道府県内の市町村ごとの小規模保育事業A型に係る子どもの数の合計数D 当該都道府県内の市町村ごとの小規模保育事業B型に係る子どもの数の合計数E 当該都道府県内の市町村ごとの小規模保育事業C型に係る子どもの数の合計数F 当該都道府県内の市町村ごとの居宅訪問型保育事業に係る子どもの数の合計数G 当該都道府県内の市町村ごとの小規模型事業所内保育事業A型に係る子どもの数の合計数H 当該都道府県内の市町村ごとの小規模型事業所内保育事業B型に係る子どもの数の合計数I 当該都道府県内の市町村ごとの保育所型事業所内保育事業に係る子どもの数の合計数J 当該都道府県内の市町村ごとの特例保育給付に係る子どもの数の合計数算式カ
算式カの符号A 測定単位の数値B 次の算式により算定した数(整数未満の端数があるときは、その端数を切り上げる。)算式
{a-(b-c)/1,000}/40
{a-(b-c)/1,000}が負数となるときは0とする。
算式の符号a 当該都道府県の児童相談所における虐待相談対応件数b 測定単位の数値c 当該都道府県の区域内の令和4年度における指定都市及び児童相談所設置中核市の人口の合計C 符号Bを6で除して得た数(整数未満の端数があるときは、その端数を四捨五入する。)算式キ
算式キの符号A 測定単位の数値B 当該都道府県内の市町村ごとの子育てのための施設等利用給付に係る給付認定子ども数の合計数α 次の算式によつて算定した率(小数点以下3位未満の端数があるときは、その端数を四捨五入する。)算式
{(a-b)×0.25}/cに整数未満の端数があるときは、その端数を四捨五入する。
算式の符号a 当該都道府県内の市町村ごとの前年度子育てのための施設等利用給付支給額の合計額b 当該都道府県内の市町村ごとの前年度子育てのための施設等利用給付支給額(子ども・子育て支援法第7条第10項第2号に掲げる幼稚園に係るものに限る。)の合計額c 当該都道府県内の市町村ごとの前年度子育てのための施設等利用給付に係る給付認定子ども数の合計数2 私立保育所在籍人員数及び私立認定こども園在籍人員数の合計数は、「子どものための教育・保育給付費支弁台帳について」(平成二十七年八月二十一日付け府子本第二百七十一号、二十七初幼教第十九号、雇児保発〇八二一第二号各都道府県子ども・子育て支援新制度担当部(局)長あて内閣府子ども・子育て本部参事官(子ども・子育て支援担当)、文部科学省初等中等教育局幼児教育課長、厚生労働省雇用均等・児童家庭局保育課長通知)に基づき作成された子どものための教育・保育給付費支弁台帳(以下この号において「教育・保育給付支弁台帳」という。)に記載された当該年度の四月一日現在の私立保育所在籍人員数及び私立認定こども園在籍人員(子ども・子育て支援法第二十条第一項の認定に係る同法第十九条第一項第二号及び第三号に掲げるもの(以下「二・三号認定子ども」という。)に限る。以下この号及びこの表市町村の項第八号において同じ。)数の合計数とする。以下この表において同じ。3 前年度私立保育所等費用額は、前年度の十月分として教育・保育給付支弁台帳に記載された費用の額(子ども・子育て支援法第二十七条第三項第一号及び第二十八条第二項第二号に規定する費用の額の合算額をいう。)のうち、私立保育所在籍人員及び私立認定こども園在籍人員に係る額とする。以下この表において同じ。4 前年度私立保育所等利用者負担額は、前年度の十月分として教育・保育給付支弁台帳に記載された子ども・子育て支援法施行令(平成二十六年政令第二百十三号)第四条から第六条までに定める利用者負担額のうち、私立保育所在籍人員及び私立認定こども園在籍人員に係る額とする。以下この表において同じ。5 前年度私立保育所等在籍人員数は、前年度の十月分として教育・保育給付支弁台帳に記載された私立保育所在籍人員数及び私立認定こども園在籍人員数の合計数とする。以下この表において同じ。6 児童数(3歳未満)((被用者・本則給付分)及び(施設等受給資格者分)の計)は、「令和四年度児童手当・特例給付支給状況報告について」(令和五年二月二十七日付け内閣府子ども・子育て本部児童手当管理室事務連絡)に基づいて内閣府に報告された支給状況報告(以下「児童手当支給状況報告」という。)(被用者・非被用者分)における様式1第1表(1)中区分「支給対象児童数」の「0歳から3歳未満」の「本年2月末現在全体」の数に同報告における様式2第1表中区分「支給対象児童数」の「0歳から3歳未満」の「計」の数を加えて得た数の管内市町村の計とする。7 児童数(3歳未満)(非被用者・本則給付分)は、児童手当支給状況報告(被用者・非被用者分)における様式1第2表(1)中区分「支給対象児童数」の「0歳から3歳未満」の「本年2月末現在全体」の数の管内市町村の計とする。8 児童数(3歳~小学校)((被用者・本則給付分のうち第1子及び第2子分)及び(施設等受給資格者分)の計)は、児童手当支給状況報告(被用者・非被用者分)における様式1第1表(1)中区分「支給対象児童数」の「3歳以上小学校修了前」の「本年2月末現在全体」の数から同表(1)中区分「支給対象児童数」の「3歳以上小学校修了前」の「うち第3子以降」の「本年2月末現在全体」の数を控除した数に同報告における様式2第1表中区分「支給対象児童数」の「3歳以上小学校修了前」の「計」の数を加えて得た数の管内市町村の計とする。9 児童数(3歳~小学校)(非被用者・本則給付分のうち第1子及び第2子分)は、児童手当支給状況報告(被用者・非被用者分)における様式1第2表(1)中区分「支給対象児童数」の「3歳以上小学校修了前」の「本年2月末現在全体」の数から同表(1)中区分「支給対象児童数」の「3歳以上小学校修了前」の「うち第3子以降」の「本年2月末現在全体」の数を控除した数の管内市町村の計とする。10 児童数(3歳~小学校)(被用者・本則給付分のうち第3子以降分)は、児童手当支給状況報告(被用者・非被用者分)における様式1第1表(1)中区分「支給対象児童数」の「3歳以上小学校修了前」の「うち第3子以降」の「本年2月末現在全体」の数の管内市町村の計とする。11 児童数(3歳~小学校)(非被用者・本則給付分のうち第3子以降分)は、児童手当支給状況報告(被用者・非被用者分)における様式1第2表(1)中区分「支給対象児童数」の「3歳以上小学校修了前」の「うち第3子以降」の「本年2月末現在全体」の数の管内市町村の計とする。12 児童数(中学校)((被用者・本則給付分)及び(施設等受給資格者分)の計)は、児童手当支給状況報告(被用者・非被用者分)における様式1第1表(1)中区分「支給対象児童数」の「小学校修了後中学校修了前」の「本年2月末現在全体」の数に同報告書における様式2第1表中区分「支給対象児童数」の「小学校修了後中学校修了前」の「計」の数を加えて得た数の管内市町村の計とする。13 児童数(中学校)(非被用者・本則給付分)は、児童手当支給状況報告(被用者・非被用者分)における様式1第2表(1)中区分「支給対象児童数」の「小学校修了後中学校修了前」の「本年2月末現在全体」の数の管内市町村の計とする。14 児童数(3歳未満)(地方公務員・本則給付分)は、児童手当支給状況報告(地方公務員分)の都道府県分における第1表(1)中区分「支給対象児童数」の「0歳から3歳未満」の「本年2月末現在全体」の数とする。15 児童数(3歳~小学校)(地方公務員・本則給付分のうち第1子及び第2子分)は、児童手当支給状況報告(地方公務員分)の都道府県分における第1表(1)中区分「支給対象児童数」の「3歳以上小学校修了前」の「本年2月末現在全体」の数から同表(1)中区分「支給対象児童数」の「3歳以上小学校修了前」の「うち第3子以降」の「本年2月末現在全体」の数を控除した数とする。16 児童数(3歳~小学校)(地方公務員・本則給付分のうち第3子以降分)は、児童手当支給状況報告(地方公務員分)の都道府県分における第1表(1)中区分「支給対象児童数」の「3歳以上小学校修了前」の「うち第3子以降」の「本年2月末現在全体」の数とする。17 児童数(中学校)(地方公務員・本則給付分)は、児童手当支給状況報告(地方公務員分)の都道府県分における第1表(1)中区分「支給対象児童数」の「小学校修了後中学校修了前」の「本年2月末現在全体」の数とする。18 児童数(3歳未満)(被用者・特例給付分)は、児童手当支給状況報告(被用者・非被用者分)における様式1第1表(2)中区分「支給対象児童数」の「0歳から3歳未満」の「本年2月末現在全体」の数の管内市町村の計とする。19 児童数(3歳~小学校)(被用者・特例給付分のうち第1子及び第2子分)は、児童手当支給状況報告(被用者・非被用者分)における様式1第1表(2)中区分「支給対象児童数」の「3歳以上小学校修了前」の「本年2月末現在全体」の数から同表(2)中区分「支給対象児童数」の「3歳以上小学校修了前」の「うち第3子以降」の「本年2月末現在全体」の数を控除した数の管内市町村の計とする。20 児童数(3歳~小学校)(被用者・特例給付分のうち第3子以降分)は、児童手当支給状況報告(被用者・非被用者分)における様式1第1表(2)中区分「支給対象児童数」の「3歳以上小学校修了前」の「うち第3子以降」の「本年2月末現在全体」の数の管内市町村の計とする。21 児童数(中学校)(被用者・特例給付分)は、児童手当支給状況報告(被用者・非被用者分)における様式1第1表(2)中区分「支給対象児童数」の「小学校修了後中学校修了前」の「本年2月末現在全体」の数の管内市町村の計とする。22 児童数(3歳未満)(非被用者・特例給付分)は、児童手当支給状況報告(被用者・非被用者分)における様式1第2表(2)中区分「支給対象児童数」の「0歳から3歳未満」の「本年2月末現在全体」の管内市町村の計とする。23 児童数(3歳~小学校)(非被用者・特例給付分のうち第1子及び第2子分)は、児童手当支給状況報告(被用者・非被用者分)における様式1第2表(2)中区分「支給対象児童数」の「3歳以上小学校修了前」の「本年2月末現在全体」の数から同表(2)中区分「支給対象児童数」の「3歳以上小学校修了前」の「うち第3子以降」の「本年2月末現在全体」の数を控除した数の管内市町村の計とする。24 児童数(3歳~小学校)(非被用者・特例給付分のうち第3子以降分)は、児童手当支給状況報告(被用者・非被用者分)における様式1第2表(2)中区分「支給対象児童数」の「3歳以上小学校修了前」の「うち第3子以降」の「本年2月末現在全体」の数の管内市町村の計とする。25 児童数(中学校)(非被用者・特例給付分)は、児童手当支給状況報告(被用者・非被用者分)における様式1第2表(2)中区分「支給対象児童数」の「小学校修了後中学校修了前」の「本年2月末現在全体」の数の管内市町村の計とする。26 児童数(3歳未満)(地方公務員・特例給付分)は、児童手当支給状況報告(地方公務員分)の都道府県分における第1表(2)中区分「支給対象児童数」の「0歳から3歳未満」の「本年2月末現在全体」の数とする。27 児童数(3歳~小学校)(地方公務員・特例給付分のうち第1子及び第2子分)は、児童手当支給状況報告(地方公務員分)の都道府県分における第1表(2)中区分「支給対象児童数」の「3歳以上小学校修了前」の「本年2月末現在全体」の数から同表(2)中区分「支給対象児童数」の「3歳以上小学校修了前」の「うち第3子以降」の「本年2月末現在全体」の数を控除した数とする。28 児童数(3歳~小学校)(地方公務員・特例給付分のうち第3子以降分)は、児童手当支給状況報告(地方公務員分)の都道府県分における第1表(2)中区分「支給対象児童数」の「3歳以上小学校修了前」の「うち第3子以降」の「本年2月末現在全体」の数とする。29 児童数(中学校)(地方公務員・特例給付分)は、児童手当支給状況報告(地方公務員分)の都道府県分における第1表(2)中区分「支給対象児童数」の「小学校修了後中学校修了前」の「本年2月末現在全体」の数とする。30 児童扶養手当支給者数は、令和三年度実施事業として地方厚生局(地方厚生支局を含む。以下この表市町村の項第八号において同じ。)に報告された児童扶養手当給付費国庫負担金交付要綱様式第9号付表2中「支出済額(A列)」の延月人数の「全部支給者」、「一部停止者」、「13条の2」、「13条の3」及び「13条の2かつ13条の3」の数の合計数とする。31 町村部人口は、当該都道府県の人口のうち町村(福祉事務所設置町村を除く。)に係る人口とする。32 障害福祉サービスのうち居住系サービス利用者数は、令和四年十月分として厚生労働省が通知した「市町村単位におけるサービス利用状況」(以下「障害福祉サービス利用状況」という。)における当該都道府県の「施設入所支援」の「都道府県合計」、「共同生活援助(介護サービス包括型・外部サービス利用型・日中サービス支援型)」の「都道府県合計」及び「自立生活援助」の「都道府県合計」を合算した数とする。33 障害福祉サービスのうち日中活動系サービス利用者数は、障害福祉サービス利用状況における当該都道府県の「療養介護」の「都道府県合計」、「生活介護」の「都道府県合計」、「短期入所(ショートステイ)」の「都道府県合計」、「自立訓練(機能訓練・生活訓練)」の「都道府県合計」、「宿泊型自立訓練」の「都道府県合計」、「就労移行支援」の「都道府県合計」、「就労継続支援(A型・B型)」の「都道府県合計」、「就労定着支援」の「都道府県合計」、「児童発達支援」の「都道府県合計」及び「放課後等デイサービス」の「都道府県合計」を合算した数とする。34 障害福祉サービスのうち訪問系サービス利用者数は、障害福祉サービス利用状況における当該都道府県の「居宅介護」の「都道府県合計」、「重度訪問介護」の「都道府県合計」、「行動援護」の「都道府県合計」、「重度障害者等包括支援」の「都道府県合計」及び「同行援護」の「都道府県合計」を合算した数とする。35 家庭的保育事業に係る子どもの数は、教育・保育給付支弁台帳に記載されたその年の四月一日現在の家庭的保育事業に係る子どもの数とする。以下この表において同じ。36 小規模保育事業A型に係る子どもの数は、教育・保育給付支弁台帳に記載されたその年の四月一日現在の小規模保育事業A型に係る子どもの数とする。以下この表において同じ。37 小規模保育事業B型に係る子どもの数は、教育・保育給付支弁台帳に記載されたその年の四月一日現在の小規模保育事業B型に係る子どもの数とする。以下この表において同じ。38 小規模保育事業C型に係る子どもの数は、教育・保育給付支弁台帳に記載されたその年の四月一日現在の小規模保育事業C型に係る子どもの数とする。以下この表において同じ。39 居宅訪問型保育事業に係る子どもの数は、教育・保育給付支弁台帳に記載されたその年の四月一日現在の居宅訪問型保育事業に係る子どもの数とする。以下この表において同じ。40 小規模型事業所内保育事業A型に係る子どもの数は、教育・保育給付支弁台帳に記載されたその年の四月一日現在の小規模型事業所内保育事業A型に係る子どもの数とする。以下この表において同じ。41 小規模型事業所内保育事業B型に係る子どもの数は、教育・保育給付支弁台帳に記載されたその年の四月一日現在の小規模型事業所内保育事業B型に係る子どもの数とする。以下この表において同じ。42 保育所型事業所内保育事業に係る子どもの数は、教育・保育給付支弁台帳に記載されたその年の四月一日現在の保育所型事業所内保育事業に係る子どもの数とする。以下この表において同じ。43 特例保育給付事業に係る子どもの数は、教育・保育給付支弁台帳に記載されたその年の四月一日現在の特例保育給付事業に係る子どもの数とする。以下この表において同じ。44 児童相談所における虐待相談対応件数は、前年度の四月分として福祉行政報告例によつて厚生労働省に報告された「第四十九 児童相談所における養護相談の理由別対応件数」のうち「(2)虐待相談の相談種別・経路」の「(33)計」列の「(10)計」行の数とする。第十条第十八項において同じ。45 子育てのための施設等利用給付に係る給付認定子ども数は、「子育てのための施設等利用給付支弁台帳について」(令和元年十一月二十二日付け府子本第六百八十四号、元初幼教第十号、元少発一一二二第一号、元保発一一二二第一号、元子発一一二二第一号各都道府県子ども・子育て支援新制度担当部(局)長あて内閣府子ども・子育て本部参事官(子ども・子育て支援担当)、文部科学省初等中等教育局幼児教育課長、厚生労働省子ども家庭局総務課少子化総合対策室長、厚生労働省子ども家庭局保育課長、厚生労働省子ども家庭局子育て支援課長通知)に基づき作成された子育てのための施設等利用給付支弁台帳(以下「施設等利用給付支弁台帳」という。)に記載された当該年度の四月分の施設等利用給付認定子ども(子ども・子育て支援法第三十条の八第一項に規定するものをいう。以下この表において同じ。)数とする。以下この表において同じ。46 前年度子育てのための施設等利用給付支給額は、前年度分として施設等利用給付支弁台帳に記載された子ども・子育て支援法施行令第十五条の六に定める施設等利用費の支給額とする。以下この表において同じ。47 前年度子育てのための施設等利用給付に係る給付認定子ども数は、前年度分として施設等利用給付支弁台帳に記載された施設等利用給付認定子ども数とする。以下この表において同じ。
 八 衛生費 人口 1 密度補正Ⅱに用いる密度は、次の算式ア及び算式イにより算定した数(小数点以下三位未満の端数があるときは、その端数を四捨五入する。)とする。算式ア
算式アの符号A 測定単位の数値B1 都道府県立病院病床数B2 都道府県立病院特例病床数C1 病院事業に充てるため平成4年度から平成13年度までに発行を許可された地方債(平成14年度に許可を受けた平成13年度以前に基本設計等に着手した事業に係るもの(以下「平成13年度以前からの継続事業」という。)を含む。)の元利償還金の額に3分の2を乗じて得た額及び災害拠点病院の施設整備に充てるため平成13年度に発行を許可された地方債(平成13年度以前からの継続事業を含む。)の元利償還金に3分の1を乗じて得た額の合算額(千円未満の端数があるときは、その端数を四捨五入する。)C2 病院事業に充てるため平成14年度に発行を許可された地方債(平成13年度以前からの継続事業を除く。)の元利償還金の額に3分の2を乗じて得た額及び災害拠点病院の施設整備に充てるため平成14年度に発行を許可された地方債(平成13年度以前からの継続事業を除く。)の元利償還金に3分の1を乗じて得た額の合算額(千円未満の端数があるときは、その端数を四捨五入する。)Dn 病院事業(医療施設整備事業)に充てるため平成n年度に発行について同意又は許可を得た地方債(平成13年度以前に基本設計等に着手した事業に限る。)の額に3分の2を乗じて得た額及び災害拠点病院の施設整備(医療施設整備事業)に充てるため平成n年度に発行について同意又は許可を得た地方債(平成13年度以前に基本設計等に着手した事業に限る。)の額に3分の1を乗じて得た額の合算額(千円未満の端数があるときは、その端数を四捨五入する。)E15=0.032E16=0.033E17=0.033E18=0.032E19=0.032E20=0.03185E21=0.03066E22=0.03008E23=0.02958E24=0.02973Fn 病院事業(医療施設整備事業)に充てるため平成n年度に発行について同意又は許可を得た地方債(平成14年度に基本設計等に着手した事業に限る。)の額に3分の2を乗じて得た額及び災害拠点病院の施設整備(医療施設整備事業)に充てるため平成n年度に発行について同意又は許可を得た地方債(平成14年度に基本設計等に着手した事業に限る。)の額に3分の1を乗じて得た額の合算額(千円未満の端数があるときは、その端数を四捨五入する。)G15=0.024G16=0.024G17=0.025G18=0.024G19=0.024G20=0.02389G21=0.02300G22=0.02256G23=0.02219G24=0.02230Hn 病院事業(医療施設整備事業)に充てるためn年度に発行について同意又は許可を得た地方債(平成15年度以降に基本設計等に着手した事業に限り、符号H'nに係るものを除く。)の額に2分の1を乗じて得た額及び災害拠点病院の施設整備(医療施設整備事業)に充てるためn年度に発行について同意又は許可を得た地方債(平成15年度以降に基本設計等に着手した事業に限り、符号H2n及び符号H2'nに係るものを除く。)の額に2分の1を乗じて得た額の合算額(千円未満の端数があるときは、その端数を四捨五入する。)I15=0.024I16=0.024I17=0.025I18=0.024I19=0.024I20=0.02389I21=0.02300I22=0.02256I23=0.02219I24=0.02230I25=0.022I26=0.022I27=0.023I28=0.0231I29=0.0233I30=0.01150I令元=0.01083I令2=0.00191I令3=0.00304I令4=0.00503H'n 病院事業(医療施設整備事業・特別分)に充てるためn年度に発行について同意又は許可を得た地方債の額に3分の2を乗じて得た額(千円未満の端数があるときは、その端数を四捨五入する。)I'27=0.027I'28=0.0277I'29=0.0279I'30=0.01380I'令元=0.01299I'令2=0.00229I'令3=0.00365I'令4=0.00603H2n 災害拠点病院の施設整備(医療施設整備事業)に充てるためn年度に発行について同意又は許可を得た地方債の額(符号H2'nに係るものを除く。ただし、令和3年度以前に発行について同意又は許可を得た地方債にあつては、当該額に2分の1を乗じて得た額(千円未満の端数があるときは、その端数を四捨五入する。)とする。)I221=0.02555I222=0.02758I223=0.02465I224=0.02725I225=0.027I226=0.027I227=0.023I228=0.0231I229=0.0233I230=0.01150I2令元=0.01083I2令2=0.00191I2令3=0.00547I2令4=0.00704H2'n 災害拠点病院の施設整備(医療施設整備事業・特別分)に充てるためn年度に発行について同意又は許可を得た地方債の額に3分の1を乗じて得た額(千円未満の端数があるときは、その端数を四捨五入する。)I2'27=0.014I2'28=0.0138I2'29=0.0140I2'30=0.00690I2'令元=0.00650I2'令2=0.00115I2'令3=0.00547Jn 病院事業(機械器具整備事業)に充てるためn年度に発行について同意又は許可を得た地方債(平成15年度以降に基本設計等に着手した事業に限り、符号Lnに係るものを除く。)の額に2分の1を乗じて得た額及び災害拠点病院の施設整備(機械器具整備事業)に充てるためn年度に発行について同意又は許可を得た地方債(平成15年度以降に基本設計等に着手した事業に限り、符号Nn及び符号N'nに係るものを除く。)の額に2分の1を乗じて得た額の合算額(千円未満の端数があるときは、その端数を四捨五入する。)K27=0.057K28=0.0565K29=0.0563K30=0.05558K令元=0.05647K令2=0.05567K令3=0.05622K令4=0.00214Ln 病院事業(機械器具整備事業・特別分)に充てるためn年度に発行について同意又は許可を得た地方債の額に3分の2を乗じて得た額(千円未満の端数があるときは、その端数を四捨五入する。)M27=0.069M28=0.0678M29=0.0675M30=0.06670M令元=0.06776M令2=0.06680M令3=0.06746M令4=0.00256Nn 災害拠点病院の機械器具整備事業に充てるためn年度に発行について同意又は許可を得た地方債の額(符号N'nに係るものを除く。ただし、令和3年度以前に発行について同意又は許可を得た地方債にあつては、当該額に2分の1を乗じて得た額(千円未満の端数があるときは、その端数を四捨五入する。)とする。)O27=0.057O28=0.0565O29=0.0563O30=0.05558O令元=0.05647O令2=0.05567O令3=0.10120O令4=0.00299N'n 災害拠点病院の機械器具整備事業(特別分)に充てるためn年度に発行について同意又は許可を得た地方債の額に3分の1を乗じて得た額(千円未満の端数があるときは、その端数を四捨五入する。)O'27=0.034O'28=0.0339O'29=0.0338O'30=0.03335O'令元=0.03388O'令2=0.03340O'令3=0.10120算式イ
算式イの符号A 測定単位の数値B 都道府県立大学附属病院病床数C 都道府県立リハビリ病院病床数D 都道府県立大学附属病院の建設又は改良に要する経費に充てるため平成5年度から平成14年度までに発行を許可された地方債(用地、職員宿舎、看護師宿舎及び大学の用に供する研究・研修部門を除く。)の元利償還金の額(千円未満の端数があるときは、その端数を四捨五入する。)En 都道府県立大学附属病院事業(医療施設整備事業)に充てるため平成n年度に発行について同意又は許可を得た地方債(平成13年度以前に基本設計等に着手した事業に限る。また、用地、職員宿舎、看護師宿舎及び大学の用に供する研究・研修部門を除く。)の額(千円未満の端数があるときは、その端数を四捨五入する。)F15=0.022F16=0.022F17=0.022F18=0.021F19=0.021F20=0.02124F21=0.02044F22=0.02006F23=0.01972F24=0.01982Gn 都道府県立大学附属病院事業(医療施設整備事業)に充てるため平成n年度に発行について同意又は許可を得た地方債(平成14年度に基本設計等に着手した事業に限る。また、用地、職員宿舎、看護師宿舎及び大学の用に供する研究・研修部門を除く。)の額(千円未満の端数があるときは、その端数を四捨五入する。)H15=0.016H16=0.016H17=0.017H18=0.016H19=0.016H20=0.01593H21=0.01533H22=0.01504H23=0.01479H24=0.01487In 都道府県立大学附属病院事業(医療施設整備事業)に充てるためn年度に発行について同意又は許可を得た地方債(平成15年度以降に基本設計等に着手した事業に限る。また、用地、職員宿舎、看護師宿舎及び大学の用に供する研究・研修部門を除く。)の額(千円未満の端数があるときは、その端数を四捨五入する。)J15=0.012J16=0.012J17=0.012J18=0.012J19=0.012J20=0.01195J21=0.01150J22=0.01128J23=0.01109J24=0.01115J25=0.011J26=0.012J27=0.010J28=0.0104J29=0.0105J30=0.00518J令元=0.00487J令2=0.00086J令3=0.00137J令4=0.00226Kn 都道府県立大学附属病院事業(機械器具整備事業)に充てるためn年度に発行について同意又は許可を得た地方債(平成15年度以降に基本設計等に着手した事業に限る。また、用地、職員宿舎、看護師宿舎及び大学の用に供する研究・研修部門を除く。)の額(千円未満の端数があるときは、その端数を四捨五入する。)L27=0.026L28=0.0254L29=0.0253L30=0.02501L令元=0.02541L令2=0.02505L令3=0.02530L令4=0.00096Mn 病院事業一般会計出資債(医療施設整備事業)に充てるためn年度に発行について同意又は許可を得た地方債の額(千円未満の端数があるときは、その端数を四捨五入する。)N20=0.02655N21=0.02555N22=0.02507N23=0.02465N24=0.02478N25=0.025N26=0.025N27=0.023N28=0.0231N29=0.0233N30=0.01150N令元=0.01083N令2=0.00191N令3=0.00304On 病院事業一般会計出資債(機械器具整備事業)に充てるためn年度に発行について同意又は許可を得た地方債の額(千円未満の端数があるときは、その端数を四捨五入する。)P27=0.057P28=0.0565P29=0.0563P30=0.05558P令元=0.05647P令2=0.05567P令3=0.05622Q1 救急告示病院数Q2 救急告示等病床数R 上水道水源開発元利償還金S 独立行政法人水資源機構負担金T 上水道広域化対策元利償還金U 上水道一般会計出資債元利償還金(平成10年度以前発行許可分)Vn n年度に発行について同意又は許可を得た上水道水源開発施設事業出資債、上水道広域化施設整備事業出資債、高度浄水施設整備事業出資債、老朽管更新事業出資債、上水道未普及地域解消事業出資債及び上水道災害・安全対策事業出資債の額(千円未満の端数があるときは、その端数を四捨五入する。)W11=0.027W12=0.026W13=0.027W14=0.022W15=0.024W16=0.024W17=0.025W18=0.024W19=0.024W20=0.02389W21=0.02300W22=0.02256W23=0.02219W24=0.02230W25=0.022W26=0.022W27=0.020W28=0.0207W29=0.0209W30=0.01035W令元=0.00974W令2=0.00172W令3=0.00274W令4=0.00503V'n n年度に発行について同意又は許可を得た広域化推進事業出資債の額(千円未満に端数があるときは、その端数を四捨五入する。)W'令元=0.01299W'令2=0.00229W'令3=0.00365W'令4=0.00603X 令和4年度に発行について同意又は許可を得た病院事業債(脱炭素化事業)に係る地方債に相当する額(千円未満の端数があるときは、その端数を四捨五入する。)Y=0.00302Z 令和4年度に発行について同意又は許可を得た上水道一般会計出資債(脱炭素化事業)に係る地方債に相当する額(千円未満の端数があるときは、その端数を四捨五入する。)AA=0.00302α 当該都道府県の財政力指数(当該都道府県に係る基準財政収入額(錯誤に係る額として加減した額を除く。)を基準財政需要額(錯誤に係る額として加減した額を除く。)で除して得た数値(小数点以下2位未満の端数があるときは、その端数を四捨五入する。)で当該年度前3年度内の各年度に係るものを合算して得たものを3で除して得た数値(小数点以下2位未満の端数があるときは、その端数を四捨五入する。)をいう。)に-0.50を乗じて得た数(小数点以下3位未満の端数があるときは、その端数を四捨五入する。)と0.70との合計数とする。ただし、当該合計数が0.300に満たないときは0.300とし、0.500を超えるときは0.500とする。X2 令和4年度に発行について同意又は許可を得た病院事業債(脱炭素化事業・残余分)に係る地方債に相当する額に2分の1を乗じて得た額(千円未満の端数があるときは、その端数を四捨五入する。)Y2=0.00503X2' 令和4年度に発行について同意又は許可を得た病院事業債(脱炭素化事業・特別分・残余分)に係る地方債に相当する額に3分の2を乗じて得た額(千円未満の端数があるときは、その端数を四捨五入する。)Y2'=0.00603Z 令和4年度に発行について同意又は許可を得た上水道及び簡易水道事業債脱炭素化事業分に係る地方債に相当する額(千円未満の端数があるときは、その端数を四捨五入する。)AA=0.00302AB 精神病床数AC 救命救急センター数2 都道府県立病院病床数は、前年の七月一日現在における当該都道府県立の医療法(昭和二十三年法律第二百五号)第一条の五第一項に規定する病院(地方公営企業法(昭和二十七年法律第二百九十二号)第二条第二項の財務規定等の適用があるもの又は当該都道府県が地方独立行政法人法第六条第三項に規定する設立団体である同法第八十一条の公営企業型地方独立行政法人(以下この表において「都道府県公営企業型地方独立行政法人」という。)の経営するものに限る。以下この表において「都道府県立病院」という。)の結核病床、精神病床及び感染症病床の許可病床数(「病院事業債に係る元利償還金等について(照会)」(令和四年十一月一日付け総財準第百三十三号。以下この表において「元利償還金等調査」という。)において報告された「病床機能報告制度において報告した病床数等に関する調」の表頭「許可病床数」の「結核」、「精神」及び「感染症」の欄の数をいい、前年の七月一日現在において休診している病院の病床及び病床利用率が令和元年七月二日から令和四年七月一日までの間継続して零である病床の種別に属する病床(感染症病床を除く。)の数を除く。以下この表において同じ。)並びに前年度における一般病床及び療養病床の施設全体の最大使用病床数(元利償還金等調査において報告された「病床機能報告制度において報告した病床数等に関する調」の表頭「施設全体の最大使用病床数」の「一般」及び「療養」の欄の数をいう。以下この表において同じ。)を合算した数に、都道府県立病院ごとに次の算式により算定した数を合算した数を加えた数とし、都道府県立病院特例病床数は、六年前の三月三十一日から一年前の三月三十一日までの間の病床数の減少数として総務大臣が調査した数とする。この場合において、都道府県及び市町村が組織する組合立の病院(都道府県及び市町村が地方独立行政法人法第六条第三項に規定する設立団体である同法第八十一条の公営企業型地方独立行政法人の経営する病院を含む。)の病床数は、当該病床数を当該組合を構成する都道府県の知事及び市町村の長が協議して定め、総務大臣が承認した率(協議が成立しないときは、総務大臣が定める率)により按分したものをそれぞれの都道府県立及び市町村立の病院の病床数(都道府県知事の申告がある場合には、当該申告に基づき総務大臣が指定した都道府県立又は市町村立の病院の総務大臣が調査した病床数)とみなす。算式
(A-B)×0.3+(B-C)×0.6+(C-D)×0.9
(A-B)、(B-C)又は(C-D)が負数となるときはそれぞれ0とし、CがAよりも小さくないときは(A-B)は0とし、DがA、B又はCのいずれよりも小さくないときは(A-B)、(B-C)及び(C-D)は0とし、C≦D≦Bのときは(B-C)は(B-D)とし、B≦C≦D≦A又はC≦B≦D≦Aのときは(A-B)は(A-D)とし、B≦D≦C≦A又はD≦B≦C≦Aのときは(A-B)は(A-C)とし、(A-B)×0.3、(B-C)×0.6及び(C-D)×0.9に小数点以下の端数があるときは、その端数を四捨五入する。
算式の符号A 4年前の7月1日現在における一般病床及び療養病床の稼働病床数(元利償還金等調査において報告された「病床機能報告制度において報告した病床数等に関する調」の表頭「稼働病床数」の「一般」及び「療養」の欄の数をいう。以下この表において同じ。)B 3年前の7月1日現在における一般病床及び療養病床の稼働病床数(ただし、当該都道府県立病院が医療法第1条の5第2項に規定する診療所に転換した場合は、当該診療所の病床数)C 前々年度における一般病床及び療養病床の施設全体の最大使用病床数(ただし、当該都道府県立病院が医療法第1条の5第2項に規定する診療所に転換した場合は、当該診療所の病床数)D 前年度における一般病床及び療養病床の施設全体の最大使用病床数(ただし、当該都道府県立病院が医療法第1条の5第2項に規定する診療所に転換した場合は、当該診療所の病床数)3 都道府県立大学附属病院病床数は、前年の七月一日現在における当該都道府県立の大学に附属する医療法第一条の五第一項に規定する病院(以下この表において「都道府県立大学附属病院」という。)の結核病床、精神病床及び感染症病床の許可病床数並びに前年度における一般病床及び療養病床の施設全体の最大使用病床数を合算した数に、都道府県立大学附属病院ごとに次の算式により算定した数を合算した数を加えた数とする。算式
(A-B)×0.3+(B-C)×0.6+(C-D)×0.9
(A-B)、(B-C)又は(C-D)が負数となるときはそれぞれ0とし、CがAよりも小さくないときは(A-B)は0とし、DがA、B又はCのいずれよりも小さくないときは(A-B)、(B-C)及び(C-D)は0とし、C≦D≦Bのときは(B-C)は(B-D)とし、B≦C≦D≦A又はC≦B≦D≦Aのときは(A-B)は(A-D)とし、B≦D≦C≦A又はD≦B≦C≦Aのときは(A-B)は(A-C)とし、(A-B)×0.3、(B-C)×0.6及び(C-D)×0.9に小数点以下の端数があるときは、その端数を四捨五入する。
算式の符号A 4年前の7月1日現在における一般病床及び療養病床の稼働病床数B 3年前の7月1日現在における一般病床及び療養病床の稼働病床数C 前々年度における一般病床及び療養病床の施設全体の最大使用病床数D 前年度における一般病床及び療養病床の施設全体の最大使用病床数4 都道府県立リハビリ病院病床数は、前年の七月一日現在における当該都道府県立のリハビリ病院(医療法第一条の五第一項に規定する病院のうちその病床が主として同法第七条第二項第五号に規定する一般病床である病院で主として理学療法又は作業療法を行う病院をいい、2に規定する都道府県立病院を除く。以下この表において「都道府県立リハビリ病院」という。)の結核病床、精神病床及び感染症病床の許可病床数並びに前年度における一般病床及び療養病床の施設全体の最大使用病床数を合算した数に、都道府県立リハビリ病院ごとに次の算式により算定した数を合算した数を加えた数とする。算式
(A-B)×0.3+(B-C)×0.6+(C-D)×0.9
(A-B)、(B-C)又は(C-D)が負数となるときはそれぞれ0とし、CがAよりも小さくないときは(A-B)は0とし、DがA、B又はCのいずれよりも小さくないときは(A-B)、(B-C)及び(C-D)は0とし、C≦D≦Bのときは(B-C)は(B-D)とし、B≦C≦D≦A又はC≦B≦D≦Aのときは(A-B)は(A-D)とし、B≦D≦C≦A又はD≦B≦C≦Aのときは(A-B)は(A-C)とし、(A-B)×0.3、(B-C)×0.6及び(C-D)×0.9に小数点以下の端数があるときは、その端数を四捨五入する。
算式の符号A 4年前の7月1日現在における一般病床及び療養病床の稼働病床数B 3年前の7月1日現在における一般病床及び療養病床の稼働病床数C 前々年度における一般病床及び療養病床の施設全体の最大使用病床数D 前年度における一般病床及び療養病床の施設全体の最大使用病床数5 都道府県立病院事業債元利償還金は、「令和四年度の地方公営企業繰出金について(通知)」(令和四年四月一日付け総財公第六十号。以下この表において「令和四年度繰出基準」という。)に該当するもののうち医療法第一条の五第一項に規定する病院及び同条第二項に規定する診療所の建設又は改良に要する経費に充てるため平成四年度から平成十四年度までの各年度において発行を許可された地方債(当該年度の六月一日以降に借り入れた地方債を除く。)の当該年度における元利償還金(千円未満の端数があるときは、その端数を四捨五入する。)に三分の二を乗じて得た額(千円未満の端数があるときは、その端数を四捨五入する。)並びに令和四年度繰出基準に該当するもののうち災害拠点病院が災害時における救急医療のために行う施設(通常の診療に必要な施設を上回る施設)の整備に要する経費に充てるため平成十三年度及び平成十四年度に発行を許可された地方債(当該年度の六月一日以降に借り入れた地方債を除く。)の当該年度における元利償還金(千円未満の端数があるときは、その端数を四捨五入する。)に三分の一を乗じて得た額(千円未満の端数があるときは、その端数を四捨五入する。)の合算額とする。この場合において、地方団体が組織する組合に係る当該元利償還金は、当該元利償還金を当該組合を構成する地方団体の長が協議して定め、総務大臣が承認した率(協議が成立しないときは、総務大臣が定める率)により按分したものをそれぞれの地方団体の元利償還金とみなす。6 平成十五年度から令和四年度までの各年度分の都道府県立病院事業債同意等額は、令和四年度繰出基準に該当するもののうち医療法第一条の五第一項に規定する病院及び同条第二項に規定する診療所の建設又は改良に要する経費に充てるため平成十五年度から令和四年度までの各年度において発行について同意又は許可を得た地方債(電気事業者による再生可能エネルギー電気の調達に関する特別措置法(平成二十三年法律第百八号)第二条第三項に規定する再生可能エネルギー発電設備(以下「再生可能エネルギー発電設備」という。)の設置に係る経費に充てるため発行について同意又は許可を得た地方債及び平成二十八年度から令和四年度までの各年度において発行について同意又は許可を得た地方債のうち当該都道府県の定める地域医療構想との整合性に係る当該都道府県の意見に基づき適当と認められないものとして総務大臣が通知したものを除く。)の額に相当する額(千円未満の端数があるときは、その端数を四捨五入する。)に三分の二(平成十三年度以前からの継続事業、平成十四年度からの継続事業及び特別分(「公立病院に係る財政措置の取扱いについて」(平成二十七年四月十日付け総財準第六十一号)第1 3(1)の再編・ネットワーク化に係る公立病院の施設・設備の整備をいう。以下この6において同じ。)に係る事業以外の事業にあつては二分の一)を乗じて得た額(千円未満の端数があるときは、その端数を四捨五入する。)、令和四年度繰出基準に該当するもののうち災害拠点病院が災害時における救急医療のために行う施設(通常の診療に必要な施設を上回る施設)整備に要する経費に充てるため平成十五年度から令和四年度までの各年度において発行について同意又は許可を得た地方債(再生可能エネルギー発電設備の設置に係る経費に充てるため発行について同意又は許可を得た地方債及び平成二十八年度から令和四年度までの各年度において発行について同意又は許可を得た地方債のうち当該都道府県の定める地域医療構想との整合性に係る当該都道府県の意見に基づき適当と認められないものとして総務大臣が通知したものを除く。)の額に相当する額(千円未満の端数があるときは、その端数を四捨五入する。)に三分の一(平成十三年度以前からの継続事業及び平成十四年度からの継続事業以外の事業にあつては二分の一)を乗じて得た額(千円未満の端数があるときは、その端数を四捨五入する。)並びに令和四年度繰出基準に該当するもののうち災害時医療施設(「災害時の医療確保に必要な公立病院の施設整備に係る財政措置の取扱いについて」(平成二十一年四月一日付け総財経第七十号)において定める対象医療施設であつて、通常の診療に必要な施設を上回るものをいう。)の整備に要する経費に充てるため平成二十一年度から令和四年度までの各年度において発行について同意又は許可を得た地方債(再生可能エネルギー発電設備の設置に係る経費に充てるため発行について同意又は許可を得た地方債及び平成二十八年度から令和四年度までの各年度において発行について同意又は許可を得た地方債のうち当該都道府県の定める地域医療構想との整合性に係る当該都道府県の意見に基づき適当と認められないものとして総務大臣が通知したものを除く。)の額に相当する額(千円未満の端数があるときは、その端数を四捨五入する。なお、令和三年度以前に発行について同意又は許可を得た地方債にあつては、当該額に二分の一(特別分に係る事業にあつては三分の一)を乗じて得た額(千円未満の端数があるときは、その端数を四捨五入する。)とする。)の合算額(医療施設整備事業分のうち、平成二十一年度から平成二十五年度までの各年度に同意又は許可を得た地方債については建築単価が一平方メートルあたり三十万円を上回る額、平成二十六年度から令和二年度までの各年度に同意又は許可を得た地方債については建築単価が一平方メートルあたり三十六万円を上回る額、令和三年度に同意又は許可を得た地方債については建築単価が一平方メートルあたり四十万円を上回る額、令和四年度に同意又は許可を得た地方債については建築単価が一平方メートルあたり四十七万円を上回る額を除く。)とする。この場合において、地方団体が組織する組合に係る当該地方債の同意等額は、当該同意等額を当該組合を構成する地方団体の長が協議して定め、総務大臣が承認した率(協議が成立しないときは、総務大臣が定める率)により按分したものをそれぞれの地方団体の同意等額とみなす。
   7 都道府県立大学附属病院事業債元利償還金は、「地方公営企業に対する繰出金等の調査について(照会)」(令和四年八月三日付け総財公第百六号、総財営第六十五号、総財準第九十一号。以下この表において「繰出金等について」という。)によつて報告のあつた当該都道府県立の大学に附属する医療法第一条の五第一項に規定する病院の建設又は改良に要する経費に充てるため平成五年度から平成十四年度までの各年度において発行を許可された地方債(用地、職員宿舎、看護師宿舎及び大学の用に供する研究・研修部門に係るもの並びに当該年度の六月一日以降に借り入れた地方債を除く。)の当該年度における元利償還金(千円未満の端数があるときは、その端数を四捨五入する。)とする。8 平成十五年度から令和四年度までの各年度分の都道府県立大学附属病院事業債同意等額は、「繰出金等について」によつて報告のあつた当該都道府県立の大学に附属する医療法第一条の五第一項に規定する病院の建設又は改良に要する経費に充てるため平成十五年度から令和四年度までの各年度において発行について同意又は許可を得た地方債(用地、職員宿舎、看護師宿舎、大学の用に供する研究・研修部門及び再生可能エネルギー発電設備の設置に係るもの並びに当該年度の六月一日以降に借り入れた地方債を除く。)の額に相当する額(医療施設整備事業分のうち、平成二十一年度から平成二十五年度までの各年度において同意又は許可を得た地方債については建築単価が一平方メートル当たり三十万円を上回る額、平成二十六年度から令和二年度までの各年度において同意又は許可を得た地方債については建築単価が一平方メートル当たり三十六万円を上回る額、令和三年度に同意又は許可を得た地方債については建築単価が一平方メートルあたり四十万円を上回る額、令和四年度に同意又は許可を得た地方債については建築単価が一平方メートルあたり四十七万円を上回る額を除き、千円未満の端数があるときは、その端数を四捨五入する。)とする。9 都道府県病院事業一般会計出資債同意等額は、令和三年度繰出基準に該当するもののうち医療法第三十一条に規定する公的医療機関の再編等に伴う建設又は改良に要する経費であつて通常の建設又は改良に要する部分を超えるものに充てるため平成二十年度から令和三年度までの各年度において発行について同意又は許可を得た地方債(再生可能エネルギー発電設備の設置に係る経費に充てるため発行について同意又は許可を得た地方債を除く。)の額に相当する額(千円未満の端数があるときは、その端数を四捨五入する。)とする。この場合において、地方団体が組織する組合に係る当該地方債の同意等額は、当該同意等額を当該組合を構成する地方団体の長が協議して定め、総務大臣が承認した率(協議が成立しないときは、総務大臣が定める率)により按分したものをそれぞれの地方団体の同意等額とみなす。10 救急告示病院数は、前年の七月一日における救急病院等を定める省令(昭和三十九年厚生省令第八号)第二条第一項の規定により告示された病院(以下この表において「救急告示病院」という。)で都道府県の経営する病院(都道府県公営企業型地方独立行政法人の経営するものを含む。)の数とする。この場合において、都道府県及び市町村が組織する組合立の救急告示病院(都道府県及び市町村が地方独立行政法人法第六条第三項に規定する設立団体である同法第八十一条の公営企業型地方独立行政法人の経営する救急告示病院を含む。)は、当該組合を構成する都道府県の知事及び市町村の長が協議して定め、総務大臣が承認したいずれかの都道府県及び市町村の経営する救急告示病院とみなす。11 救急告示等病床数は、前年の七月一日における救急告示病院の救急病院等を定める省令第一条第一項第四号の病床の数(以下この表において「救急告示病院病床数」という。)又は「救急医療対策事業実施要綱」(昭和五十二年七月六日付け医発第六百九十二号)「第3 救命救急センター」4(1)の専用病床の数(以下この表において「救命救急センター病床数」という。)(その数が三十を超える場合にあつては、三十)を合算した数とする。この場合において、都道府県及び市町村が組織する組合立の救急告示病院(都道府県及び市町村が地方独立行政法人法第六条第三項に規定する設立団体である同法第八十一条の公営企業型地方独立行政法人の経営する救急告示病院を含む。)の救急告示等病床数は、当該病床数を当該組合を構成する都道府県の知事及び市町村の長が協議して定め、総務大臣が承認した率(協議が成立しないときは、総務大臣が定める率)により按分したものをそれぞれの都道府県及び市町村の救急告示等病床数(都道府県知事の申告がある場合には、当該申告に基づき総務大臣が指定した都道府県又は市町村の救急告示病院の総務大臣が調査した救急告示等病床数)とみなす。
   12 上水道水源開発元利償還金は、国庫の補助金を受けて施行する上水道水源開発施設整備事業に係る経費に充てるため昭和四十二年度から平成元年度までの各年度において発行を許可された地方債の許可額のうち国庫の補助金の額の算定の基礎となつた額の三十分の七(昭和五十五年度以前の年度において発行を許可された地方債に係る事業及び繰出基準に基づき一般会計から出資が行われることとされた事業以外の事業にあつては、三分の一)に相当する額に係る当該年度における元利償還金(建設仮勘定に係るものを除く。千円未満の端数があるときは、その端数を四捨五入する。)とする。この場合において、地方団体が組織する組合に係る当該元利償還金は、当該元利償還金を当該組合を構成する地方団体の長が協議して定め総務大臣が承認した率(協議が成立しないときは、総務大臣が定める率)により按分したものをそれぞれの地方団体の元利償還金とみなす。13 独立行政法人水資源機構負担金は、独立行政法人水資源機構法(平成十四年法律第百八十二号)第二十五条の規定により当該年度中に当該都道府県が支払う割賦負担金(建設仮勘定に係るものを除く。)に三分の一を乗じて得た額(千円未満の端数があるときは、その端数を四捨五入する。)とする。この場合において、地方団体が組織する組合に係る当該負担金は、当該負担金を当該組合を構成する地方団体の長が協議して定め総務大臣が承認した率(協議が成立しないときは、総務大臣が定める率)により按分したものをそれぞれの地方団体の負担金とみなす。14 上水道広域化対策元利償還金は、国庫の補助金を受けて施行する上水道広域化施設整備事業に係る経費に充てるため昭和四十二年度から平成元年度までの各年度において発行を許可された地方債の許可額のうち国庫の補助金の額の算定の基礎となつた額(超過率の適用のあるものにあつては、当該額にそれぞれの超過率を乗じて得た額とする。)の三十分の七(昭和五十五年度以前の年度において発行を許可された地方債に係る事業及び繰出基準に基づき一般会計から出資が行われることとされた事業以外の事業にあつては、三分の一)に相当する額に係る当該年度における元利償還金(建設仮勘定に係るものを除く。千円未満の端数があるときは、その端数を四捨五入する。)とする。この場合において、地方団体が組織する組合に係る当該元利償還金は、当該元利償還金を当該組合を構成する地方団体の長が協議して定め総務大臣が承認した率(協議が成立しないときは、総務大臣が定める率)により按分したものをそれぞれの地方団体の元利償還金とみなす。
   15 上水道一般会計出資債元利償還金は、国庫の補助金を受けて施行する上水道水源開発施設整備事業、上水道広域化施設整備事業、高度浄水施設整備事業、老朽管更新事業、上水道未普及地域解消事業及び上水道災害・安全対策事業(以下この表において「上水道施設整備等事業」という。)に要する経費のうち、一般会計が上水道事業特別会計に出資する財源に充てるため平成十年度以前に発行を許可された地方債の当該年度における元利償還金(千円未満の端数があるときは、その端数を四捨五入する。)とする。この場合において、地方団体が組織する組合に係る当該元利償還金は、当該元利償還金を当該組合を構成する地方団体の長が協議して定め、総務大臣が承認した率(協議が成立しないときは、総務大臣が定める率)により按分したものをそれぞれの地方団体の元利償還金とみなす。16 平成十一年度から令和四年度までの各年度分の都道府県上水道一般会計出資債同意等額は、国庫の補助を受けて施行する上水道施設整備等事業に要する経費のうち、一般会計が上水道事業特別会計に出資する財源に充てるため平成十一年度から令和四年度までの各年度において発行について同意又は許可を得た地方債(再生可能エネルギー発電設備の設置に係る経費に充てるため発行について同意又は許可を得た地方債及び上水道一般会計出資債(脱炭素化事業)に係る地方債を除く。)の額に相当する額(千円未満の端数があるときは、その端数を四捨五入する。)とする。この場合において、地方団体が組織する組合に係る当該地方債の同意等額は、当該同意等額を当該組合を構成する地方団体の長が協議して定め、総務大臣が承認した率(協議が成立しないときは、総務大臣が定める率)により按分したものをそれぞれの地方団体の同意等額とみなす。17 広域化推進事業(「「水道広域化推進プラン」の策定について」(平成三十一年一月二十五日付け総財営第八十五号、生食発第〇一二五第四号)により策定した「水道広域化推進プラン」に基づき広域化のために実施する地方単独事業及び国庫の補助金(生活基盤施設耐震化等交付金のうち、広域化事業、運営基盤強化等事業及び水道施設共同化事業に限る。)を受けて施行する事業をいう。以下同じ。)に係る令和元年度から令和四年度までの各年度分の都道府県上水道一般会計出資債同意等額は、広域化推進事業に要する経費のうち、一般会計が上水道事業特別会計に出資する財源に充てるため令和元年度から令和四年度までの各年度において発行について同意又は許可を得た地方債(再生可能エネルギー発電設備の設置に係る経費に充てるため発行について同意又は許可を得た地方債及び上水道一般会計出資債(脱炭素化事業)に係る地方債を除く。)の額に相当する額(千円未満の端数があるときは、その端数を四捨五入する。)とする。この場合において、地方団体が組織する組合に係る当該地方債の同意等額は、当該同意等額を当該組合を構成する地方団体の長が協議して定め、総務大臣が承認した率(協議が成立しないときは、総務大臣が定める率)により按分したものをそれぞれの地方団体の同意等額とみなす。18 精神病床数は、前年の七月一日現在における都道府県立病院、都道府県立大学附属病院及び都道府県立リハビリ病院の精神病床の許可病床を合算した数とする。19 救命救急センター数は、前年の七月一日現在における「救急医療対策事業実施要綱」「第3 救命救急センター」に該当する都道府県立の救命救急センター数を合算した数とする。この場合において、都道府県及び市町村が組織する組合立の救命救急センター(都道府県及び市町村が地方独立行政法人法第六条第三項に規定する設立団体である同法第八十一条の公営企業型地方独立行政法人の経営する救命救急センターを含む。)は、当該組合を構成する都道府県の知事及び市町村の長が協議して定め、総務大臣が承認したいずれかの都道府県及び市町村の経営する救命救急センターとみなす。
   20 密度補正Ⅲに用いる密度は、次の算式ウ、算式エ、算式オ及び算式カにより算定した数(小数点以下三位未満の端数があるときは、その端数を四捨五入する。)とする。算式ウ
[{(1/6)+(5/6)×α}×B×0.778+{(1/6)+(5/6)×β}×C×0.532]/A
算式ウの符号A 測定単位の数値B 7(6)割軽減保険料軽減者数の当該都道府県内の市町村ごとの数の合計数に1.75を乗じて得た数、5(4)割軽減保険料軽減者数の当該都道府県内の市町村ごとの数の合計数に1.25を乗じて得た数及び2割軽減保険料軽減者数の当該都道府県内の市町村ごとの数の合計数に0.50を乗じて得た数を合算した数(整数未満の端数があるときは、その端数を四捨五入する。)C 7(6)割軽減保険料軽減世帯数の当該都道府県内の市町村ごとの数の合計数に1.75を乗じて得た数、5(4)割軽減保険料軽減世帯数の当該都道府県内の市町村ごとの数の合計数に1.25を乗じて得た数及び2割軽減保険料軽減世帯数の当該都道府県内の市町村ごとの数の合計数に0.50を乗じて得た数を合算した数(整数未満の端数があるときは、その端数を四捨五入する。)α 次の算式によつて算定した率(小数点以下3位未満の端数があるときは、その端数を四捨五入する。)算式
に整数未満の端数があるときは、その端数を四捨五入する。
算式の符号a 減額した被保険者均等割額計の当該都道府県内の市町村ごとの数の合計数b 符号Bに同じ。β 次の算式によつて算定した率(小数点以下3位未満の端数があるときは、その端数を四捨五入する。)算式
に整数未満の端数があるときは、その端数を四捨五入する。
算式の符号c 減額した世帯別平等割額計の当該都道府県内の市町村ごとの数の合計数d 符号Cに同じ。算式エ
算式エの符号A 測定単位の数値B 7(6)割軽減保険料軽減者数の当該都道府県内の市町村ごとの数の合計数、5(4)割軽減保険料軽減者数の当該都道府県内の市町村ごとの数の合計数に0.93を乗じて得た数及び2割軽減保険料軽減者数の当該都道府県内の市町村ごとの数の合計数に0.87を乗じて得た数を合算した数(整数未満の端数があるときは、その端数を四捨五入する。)算式オ
算式オの符号A 測定単位の数値B 一般被保険者数の当該都道府県内の市町村ごとの数の合計数算式カ
算式カの符号A 測定単位の数値B 「令和3年度国民健康保険療養給付費等負担金等の事業実績報告について」(令和4年5月20日付け保国発第0520第1号。以下この表において「令和3年度事業実績報告」という。)に定める「都道府県様式第1 令和3年度国民健康保険療養給付費等負担金等実績額調書」中「2.療養給付費等負担金の額に関する調」「新国庫補助対象給付費[23]」欄の数値から「都道府県様式第9(その1) 令和3年度療養給付費負担金対象費用額算出表(都道府県(全体分))」中「保険基盤安定繰入金の1/2[33]」欄の数値及び「都道府県様式第6―B 令和3年度療養給付費等負担金対象費用額内訳表(都道府県分)」中「6.本年度退職被保険者等に係る額」「調整対象基準額」「本年度退職被保険者等に係る額[52]」欄の数値の合算値を控除し「都道府県様式第6―B 令和2年度療養給付費等負担金対象費用額内訳表(都道府県分)」中「7.前期高齢者に係る額」のうち、「②前期高齢者納付金」「合計[61]」欄の数値から「①前期高齢者交付金」「合計[58]」欄の数値を控除した数値を加えた数値に「都道府県様式第10 令和3年度国民健康保険療養給付費等負担金算出表」中「2.負担金内訳」のうち、「(2)老人保健医療費拠出金にかかる分」「負担金の基礎となる額」「合計[18]」欄の数値、「(3)後期高齢者支援金にかかる分」「負担金の基礎となる額」「合計[24]」欄の数値及び「(4)介護納付金にかかる分」「負担金の基礎となる額」「合計[30]」欄の数値の合算値を加えた数値α 0.9964417921 七(六)割軽減保険料軽減者数は、前年度の市町村税課税状況等の調(国民健康保険税関係)(以下この表において「市町村税課税状況調(国保関係)」という。)の「第2表 n―2年度国民健康保険税(料)の実績等に関する調」の「(その3減額対象となつた世帯数等)」の表側「基礎課税(賦課)」のうち、表頭「減額した世帯数等(世帯、人)」(以下21及び22において「減額した世帯数等」という。)の「所得区分1」の「被保険者数」の欄の数とし、五(四)割軽減保険料軽減者数は、減額した世帯数等の「所得区分2」の「被保険者数」の欄の数とし、二割軽減保険料軽減者数は、減額した世帯数等の「所得区分3」の「被保険者数」の欄の数とする。以下この表において同じ。22 七(六)割軽減保険料軽減世帯数は、減額した世帯数等の「所得区分1」の「世帯数」の欄の数とし、五(四)割軽減保険料軽減世帯数は、減額した世帯数等の「所得区分2」の「世帯数」の欄の数とし、二割軽減保険料軽減世帯数は、減額した世帯数等の「所得区分3」の「世帯数」の欄の数とする。以下この表において同じ。23 減額した被保険者均等割額計は、市町村税課税状況調(国保関係)の「第2表 n―2年度国民健康保険税(料)の実績等に関する調」の「(その3減額対象となつた世帯数等)」の表側「基礎課税(賦課)」のうち、表頭「減額した均等割額(千円)」の「計」の欄の数とする。以下この表において同じ。24 減額した世帯別平等割額計は、市町村税課税状況調(国保関係)の「第2表 n―2年度国民健康保険税(料)の実績等に関する調」の「(その3減額対象となつた世帯数等)」の表側「基礎課税(賦課)」のうち、表頭「減額した平等割額(千円)」の「計」の欄の数とする。以下この表において同じ。25 一般被保険者数は、市町村税課税状況調(国保関係)の「第1表 n―2年度国民健康保険の加入者の状況に関する調」の「(その1 基礎課税(賦課)額に係る分)」の表中「被保険者数(F)」の欄の数とする。以下この表において同じ。
 九 高齢者保健福祉費六十五歳以上人口1 密度補正に用いる密度は、次の算式ア及び算式イにより算定した数(小数点以下三位未満の端数があるときは、その端数を四捨五入する。)とする。算式ア
(B×4.132+C×10.281)/A
算式の符号A 測定単位の数値B 居宅介護サービス等受給者数C 施設介護サービス受給者数算式イ
B×0.065/A
算式の符号A 測定単位の数値B 所得段階別第1号被保険者数における、第1段階被保険者数に1.00を乗じて得た数、第2段階被保険者数に1.25を乗じて得た数及び第3段階被保険者数に0.25を乗じて得た数(それぞれについて整数未満の端数があるときは、その端数を四捨五入する。)を合算した数2 居宅介護サービス等受給者数は、当該都道府県の区域内の市町村において、「介護保険事業状況報告について」(平成十二年五月十七日付け老発第四百八十七号厚生省老人保健福祉局長通知。以下「介護保険事業状況報告(月報)」という。)によつて令和五年二月分として厚生労働省に報告された「一般状況(11)居宅介護(介護予防)サービス受給者数」の表側「総数」、表頭「合計」の欄の数値及び「一般状況(12)地域密着型(介護予防)サービス受給者数」の表側「総数」、表頭「合計」の欄の数値の合計数を合算した数とする。3 施設介護サービス受給者数は、当該都道府県の区域内の市町村において、介護保険事業状況報告(月報)によつて令和五年二月分として厚生労働省に報告された「一般状況(13)施設介護サービス受給者数」の表側「総数」、表頭「合計」の欄の数値の合計数とする。4 第一段階被保険者数は、当該都道府県の区域内の市町村において、「介護保険事業状況報告について(年報)」(平成十四年一月二十三日付け老発第〇一二三〇〇二号厚生労働省老健局長通知。以下「介護保険事業状況報告(年報)」という。)によつて令和二年度分として厚生労働省に報告された「一般状況(4)所得段階別第1号被保険者数(当年度末現在)」の「ア 第1段階」の表側「第1段階」、表頭「年度末現在被保険者数」の欄の数値の合計数、第二段階被保険者数は、「イ 第2段階」の表側「第2段階」、表頭「年度末現在被保険者数」の欄の数値の合計数、第三段階被保険者数は、「ウ 第3段階」の表側「第3段階」、表頭「年度末現在被保険者数」の欄の数値の合計数とする。
七十五歳以上人口1 密度補正に用いる密度は、次の算式により算定した数(小数点以下三位未満の端数があるときは、その端数を四捨五入する。)とする。算式
(B×0.199)/A
算式の符号A 測定単位の数値B 2割軽減被保険者数に0.4を乗じて得た数、5割軽減被保険者数に1.0を乗じて得た数及び7割軽減被保険者数に1.4を乗じて得た数(それぞれについて整数未満の端数があるときは、その端数を四捨五入する。)を合算した数2 二割軽減被保険者数は、厚生労働省「令和4年度後期高齢者医療制度被保険者実態調査」(以下「高齢者医療実態調査」という。)によつて調査した「第5表 都道府県別、保険料賦課状況」における副題「均等割2割軽減被保険者数」の表頭「被保険者数」の各都道府県における数値、五割軽減被保険者数は、副題「均等割5割軽減被保険者数」の表頭「被保険者数」の各都道府県における数値及び七割軽減被保険者数は、副題「均等割7割軽減被保険者数」の表頭「被保険者数」の各都道府県における数値とする。
 十 農業行政費農家数1 密度補正Ⅰに用いる密度は、作付延べ面積に一〇〇を乗じて得た数を測定単位の数値で除して得た数(表示単位未満の端数があるときは、その端数を四捨五入する。)とする。2 作付延べ面積は、作物統計調査規則(昭和四十六年農林省令第四十号)によつて調査した前々年産農作物の作付延べ面積とし、表示単位はヘクタールとする。3 密度補正Ⅱに用いる密度は、次の算式により算定した数(小数点以下三位未満の端数があるときは、その端数を四捨五入する。)とする。算式
(0.0388×B+0.0112×C+10.1060×D)/A
算式の符号A 測定単位の数値B 基幹的農業従事者数C 耕地面積D 市町村数4 基幹的農業従事者数は、農林業センサス規則によつて調査した令和二年二月一日現在における基幹的農業従事者数の数とする。5 耕地面積は、農林業センサス規則によつて調査した令和二年二月一日現在における耕地面積とする。6 市町村数は、令和四年二月一日現在における市町村数とする。7 密度補正Ⅲに用いる密度は、次の算式により算定した数(小数点以下四位未満の端数があるときは、その端数を四捨五入する。)とする。算式
(0.0527×α+0.0336×β+0.0047×γ)/A
算式の符号A 測定単位の数値α 田の面積β 畑の面積γ 牧草専用地の面積8 田及び牧草専用地の面積は、農林業センサス規則によつて調査した令和二年二月一日現在における田及び牧草専用地の面積とする。9 畑の面積は、農林業センサス規則によつて調査した令和二年二月一日現在における畑の面積から、牧草専用地の面積を除いた面積に、樹園地の面積を加えた面積とする。10 密度補正Ⅳに用いる密度は、次の算式により算定した数(小数点以下四位未満の端数があるときは、その端数を四捨五入する。)とする。算式
(0.0770×B+0.0422×C+0.0384×D)/A
算式の符号A 測定単位の数値B 中山間地域における田の面積C 中山間地域における畑の面積D 中山間地域における牧草専用地の面積11 中山間地域における田及び牧草専用地の面積は、農林業センサス規則によって調査した令和二年二月一日現在における中間農業地域及び山間農業地域の田及び牧草専用地の面積とする。12 中山間地域における畑の面積は、農林業センサス規則によつて調査した令和二年二月一日現在における中間農業地域及び山間農業地域の畑の面積から、中山間地域における牧草専用地の面積を除いた面積に、中間農業地域及び山間農業地域の樹園地の面積を加えた面積とする。13 田、畑及び牧草専用地に係る表示単位は、ヘクタールとする。
十一 林野行政費公有以外の林野の面積1 密度補正に用いる密度は、次の算式により算定した数(小数点以下三位未満の端数があるときは、その端数を四捨五入する。)とする。算式
(B×427+C×19,719+D×14)/(5,230×A)
算式の符号A 測定単位の数値B 都道府県の森林環境譲与税の譲与の基準となる私有林人工林面積C 都道府県の森林環境譲与税の譲与の基準となる林業従業者数D 都道府県の森林環境譲与税の譲与の基準となる人口2 都道府県の森林環境譲与税の譲与の基準となる私有林人工林面積(第二十九条の四において「都道府県譲与基準面積」という。)は、当該都道府県の区域内の各市町村に係る施行後の森林環境税及び森林環境譲与税に関する法律(平成三十一年法律第三号。以下「森林環境税法」という。)第二十八条第一項に規定する私有林人工林の面積(以下この表において「私有林人工林面積」という。)を森林環境税及び森林環境譲与税に関する法律施行規則(平成三十一年総務省令第四十号。以下「森林環境税法施行規則」という。)第一条の二の規定により補正した数を合算した数として総務大臣が調査した数とする。3 都道府県の森林環境譲与税の譲与の基準となる林業従業者数(第二十九条の四において「都道府県譲与基準従業者数」という。)は、森林環境税法第二十九条及び森林環境税法施行規則第二条第二項に規定する各都道府県において林業に就業する者の数とする。ただし、森林環境税法施行規則附則第四条第二項の規定の適用を受ける都道府県については、当該規定による数とする。4 都道府県の森林環境譲与税の譲与の基準となる人口(第二十九条の四において「都道府県譲与基準人口」という。)は、森林環境税法施行規則第三条に規定する各都道府県の人口とする。ただし、森林環境税法施行規則附則第五条第二項の規定の適用を受ける都道府県については、当該規定による人口とする。
 十二 地域振興費人口密度補正Ⅰに用いる密度は、日本国とアメリカ合衆国との間の相互協力及び安全保障条約第六条に基づく施設及び区域並びに日本国における合衆国軍隊の地位に関する協定(以下この表において「地位協定」という。)第一条に規定する合衆国軍隊の構成員、軍属及び家族で当該都道府県に居住する者の数として総務大臣が通知した数に五五・二四九を乗じて得た数と地位協定第二条第一項の施設及び区域に係る土地の面積として総務大臣が通知した数に三、一三〇・八を乗じて得た数と自衛隊法(昭和二十九年法律第百六十五号)第二条第一項に規定する自衛隊の用に供する土地の面積として総務大臣が通知した数に三六八・三を乗じて得た数との合計数を当該都道府県の人口で除して得た数(小数点以下三位未満の端数があるときは、その端数を四捨五入する。)とする。
市町村一 消防費人口1 密度補正Ⅱに用いる密度は、次の算式により算定した数(小数点以下三位未満の端数があるときは、その端数を四捨五入する。)とする。算式
(B×668)/A
算式の符号A 測定単位の数値B 当該市町村における石油コンビナート等災害防止法(昭和50年法律第84号)第2条第2号に規定する石油コンビナート等特別防災区域(以下この表において「特別防災区域」という。)の石油の貯蔵・取扱量を100で除して得た数(小数点以下2位未満の端数があるときは、その端数を四捨五入する。)と当該特別防災区域の高圧ガスの処理量を200で除して得た数(小数点以下2位未満の端数があるときは、その端数を四捨五入する。)との合計数(以下「区域指定指数」という。)に別表第一のAに定める当該区域指定指数の段階に応ずる率を乗じて得た数(小数点以下3位未満の端数があるときは、その端数を四捨五入する。)と同表のBに定める当該区域指定指数の段階に応ずる数値との合計数2 石油の貯蔵・取扱量及び高圧ガスの処理量は、その年の一月一日現在において消防庁長官が調査した数値とし、表示単位は石油の貯蔵・取扱量にあつては千キロリツトル、高圧ガスの処理量にあつては十万立方メートルとする。3 密度補正Ⅲに用いる密度は、次の算式により算定した数(小数点以下三位未満の端数があるときは、その端数を四捨五入する。)とする。算式
58.886×Bが28,148×A×C×D/100,000に2を乗じて得た数を超える場合は58.886×Bを28,148×A×C×D/100,000×2とし、58.886×Bが28,148×A×C×D/100,000に0.5を乗じて得た数を下回る場合は58.886×Bを28,148×A×C×D/100,000×0.5とし、C×Dに小数点以下3位未満の端数がある場合はその端数を四捨五入し、58.886×B、28,148×A×C×D/100,000、11.6×A及び28,148×A×C×D/100,000×0.5に整数未満の端数がある場合はその端数を四捨五入する。
算式の符号A 測定単位の数値B 当該市町村の標準額支払団員数C 段階補正係数D 密度補正Ⅰ係数4 標準額支払団員数は、「令和五年度標準額支払団員数の調査について(照会)」(令和五年三月十日付け消防地第百八十四号消防庁地域防災室通知)に基づいて消防庁に報告された「標準額支払団員数(人)」の数とする。第四十九条第三項第三号において同じ。
 二 下水道費人口1 密度補正に用いる密度は、次の算式により算定した数(小数点以下三位未満の端数があるときは、その端数を四捨五入する。)とする。算式
(B×5.46+C×10.97+D×15.61+E×22.48+F×23.73+G×20.19+H×22.04+I×24.01+J×31.38+K×15.06+L×28.87+M×23.53+N×18.20+O×26.04)/A
算式の符号A 測定単位の数値B 公共下水道に係る排水人口C 農業集落排水施設に係る排水人口(うち汚水に係るもの)D 漁業集落排水施設に係る排水人口(うち汚水に係るもの)E 林業集落排水施設に係る排水人口(うち汚水に係るもの)F 簡易排水処理施設に係る排水人口(うち汚水に係るもの)G 小規模集合排水処理施設に係る排水人口(うち汚水に係るもの)H 合併処理浄化槽に係る処理人口(うち特定地域生活排水処理施設に係るもの)I 合併処理浄化槽に係る処理人口(うち個別排水処理施設に係るもの)J 公共下水道に係る排水面積K 農業集落排水施設に係る排水面積(うち汚水に係るもの)L 漁業集落排水施設に係る排水面積(うち汚水に係るもの)M 林業集落排水施設に係る排水面積(うち汚水に係るもの)N 簡易排水処理施設に係る排水面積(うち汚水に係るもの)O 小規模集合排水処理施設に係る排水面積(うち汚水に係るもの)
   2 公共下水道に係る排水人口、農業集落排水施設に係る排水人口(うち汚水に係るもの)、漁業集落排水施設に係る排水人口(うち汚水に係るもの)、林業集落排水施設に係る排水人口(うち汚水に係るもの)、簡易排水処理施設に係る排水人口(うち汚水に係るもの)、小規模集合排水処理施設に係る排水人口(うち汚水に係るもの)、合併処理浄化槽に係る処理人口(うち特定地域生活排水処理施設に係るもの)、合併処理浄化槽に係る処理人口(うち個別排水処理施設に係るもの)、公共下水道に係る排水面積、農業集落排水施設に係る排水面積(うち汚水に係るもの)、漁業集落排水施設に係る排水面積(うち汚水に係るもの)、林業集落排水施設に係る排水面積(うち汚水に係るもの)、簡易排水処理施設に係る排水面積(うち汚水に係るもの)及び小規模集合排水処理施設に係る排水面積(うち汚水に係るもの)は、それぞれ前年の三月三十一日現在における市町村公共施設状況調による公共下水道に係る現在排水人口、農業集落排水施設に係る現在排水人口(うち汚水に係るもの)、漁業集落排水施設に係る現在排水人口(うち汚水に係るもの)、林業集落排水施設に係る現在排水人口(うち汚水に係るもの)、簡易排水処理施設に係る現在排水人口(うち汚水に係るもの)、小規模集合排水処理施設に係る現在排水人口(うち汚水に係るもの)、合併処理浄化槽処理人口(うち特定地域生活排水処理施設に係るもの)、合併処理浄化槽処理人口(うち個別排水処理施設に係るもの)、公共下水道に係る現在排水区域面積、農業集落排水施設に係る現在排水区域面積(うち汚水に係るもの)、漁業集落排水施設に係る現在排水区域面積(うち汚水に係るもの)、林業集落排水施設に係る現在排水区域面積(うち汚水に係るもの)、簡易排水処理施設に係る現在排水区域面積(うち汚水に係るもの)及び小規模集合排水処理施設に係る現在排水区域面積(うち汚水に係るもの)(公共下水道に係る排水面積、農業集落排水施設に係る排水面積(うち汚水に係るもの)、漁業集落排水施設に係る排水面積(うち汚水に係るもの)、林業集落排水施設に係る排水面積(うち汚水に係るもの)、簡易排水処理施設に係る排水面積(うち汚水に係るもの)及び小規模集合排水処理施設に係る排水面積(うち汚水に係るもの)の表示単位はそれぞれ平方メートルとし、表示単位未満の端数があるときは、その端数を四捨五入する。)とする。
 三 その他の土木費人口密度補正に用いる密度は、次の算式により算定した数(小数点以下三位未満の端数があるときは、その端数を四捨五入する。)とする。算式
算式の符号A 測定単位の数値B 次の算式によつて算定した額算式
An×(1-(Cn/Bn))
及び
Dn×(1-(Fn/En))
に整数未満の端数があるときは、その端数を四捨五入する。
算式の符号An 平成n年度に建設に着手した第1種公営住宅のうち市町村が管理するもの(以下「平成n年度市町村営第1種公営住宅」という。)に係る土地取得造成費の100分の3に相当する額として総務大臣が通知する額Bn 平成n年度市町村営第1種公営住宅の戸数として総務大臣が通知する数Cn 平成n年度市町村営第1種公営住宅の収入超過者入居戸数として総務大臣が通知する数Dn 平成n年度に建設に着手した第2種公営住宅のうち市町村が管理するもの(以下「平成n年度市町村営第2種公営住宅」という。)に係る土地取得造成費の100分の4に相当する額として総務大臣が通知する額En 平成n年度市町村営第2種公営住宅の戸数として総務大臣が通知する数Fn 平成n年度市町村営第2種公営住宅の収入超過者入居戸数として総務大臣が通知する数C 次の算式によつて新法公営住宅、旧法公営住宅等、特定住宅、特目住宅のそれぞれに算定した額の合算額算式
(a-b)×12×1.022×α
(整数未満の端数があるときは、その端数を四捨五入する。)算式の符号a 新法公営住宅にあつては、公営住宅法施行令第3条の規定に基づき算定した近傍同種の家賃の額として国土交通大臣が調査した額、旧法公営住宅等にあつては、旧公営住宅法第12条第1項(住宅地区改良法第29条第1項において準用する場合を含む。)又は改良住宅等管理要領(昭和54年5月11日付建設省住整発第6号)第4第1項の規定に基づき算出する月割額として国土交通大臣が調査した額、特定住宅にあつては、公営住宅法施行令第3条の規定に基づき算定した近傍同種の家賃の額として国土交通大臣が調査した額、特目住宅にあつては、家賃(限度額家賃又は変更限度額家賃を超える場合には当該限度額家賃又は当該変更限度額家賃)として国土交通大臣が調査した額b 新法公営住宅にあつては、公営住宅法施行令第2条第2項の規定による家賃算定基礎額に、同条第1項第1号から第3号までに掲げる数値を乗じた額(当該額が近傍同種の住宅の家賃の額を超える場合にあつては、近傍同種の住宅の家賃の額)として国土交通大臣が調査した額、旧法公営住宅等にあつては、入居階層に応じての負担能力を勘案して、国土交通省住宅局長が別に定める額、特定住宅にあつては、公営住宅法施行令第2条第2項の規定による家賃算定基礎額に、同条第1項第1号から第3号までに掲げる数値を乗じた額(当該額が近傍同種の住宅の家賃の額を超える場合にあつては、近傍同種の住宅の家賃の額)として国土交通大臣が調査した額、特目住宅にあつては、入居者負担基準額として国土交通大臣が調査した額α 新法公営住宅にあつては、災害により滅失した住宅に居住していた低額所得者に賃貸するため借上をした公営住宅は3分の2、激甚災害に対処するための特別の財政援助等に関する法律第22条第1項の規定の適用を受けて建設若しくは買取りをした公営住宅又は同項に規定する政令で定める地域にあつた住宅であつて激甚災害により滅失したものにその災害の当時居住していた低額所得者に転貸するため借上げをした新法公営住宅にあつては3分の2(最初の5年間は4分の3)、その他の新法公営住宅にあつては2分の1、旧法公営住宅にあつては、旧第一種公営住宅にあつては2分の1、旧第二種公営住宅にあつては3分の2、特定住宅及び特目住宅にあつては、阪神・淡路大震災の被災居住者等が入居する管理人住宅以外の住宅にあつては3分の2(最初の5年間は4分の3)、管理人の居住する住宅にあつては3分の1、その他の住宅にあつては2分の1
 四 小学校費児童数1 密度補正Ⅰに用いる密度は、スクールバス等の数に一二九・五二を乗じて得た数を当該市町村の測定単位の数値で除して得た数(小数点以下三位未満の端数があるときは、その端数を四捨五入する。)とする。2 スクールバス等の数は、都道府県知事が調査した児童の通学の用に供するため当該年度において当該市町村が運行しているスクールバス及びスクールボート(当該市町村が児童の通学の用に供するため他の者に運行を委託したものを含み、特別支援学校の児童の通学の用に供するためのものを除く。)の合計数とする。この場合において、二以上の市町村が共同で所有し、又は設置したスクールバス等(市町村が組織する組合立の小学校又は義務教育学校の前期課程に係るものを除く。)は、当該スクールバス等の定置場所在地の市町村が所有したものとみなす。3 市町村が組織する組合立の小学校又は義務教育学校の前期課程があるときは、当該学校に係る児童の数、スクールバス等の数は、当該学校の所在する市町村の数値とみなして、1及び2の規定を適用する。4 密度補正Ⅱに用いる密度は、次の算式により算定した数(小数点以下三位未満の端数があるときは、その端数を四捨五入する。)とする。算式
算式の符号A 測定単位の数値B 当該市町村における「被保護者調査」によつて厚生労働省に報告された令和4年7月31日現在の「第5表教育扶助受給人員」のうち小学校及び義務教育学校の前期課程に係る数C 当該市町村における「令和3年度学校給食実施状況等調査」によつて文部科学省に報告された小学校及び義務教育学校の前期課程の完全給食実施校に在籍する児童数、補食給食実施校に在籍する児童数及びミルク給食実施校に在籍する児童数を合算した数
 五 中学校費生徒数前号に準ずる。この場合において、「一二九・五二」とあるのは「一四〇・二四」と、「児童」とあるのは「生徒」と、「小学校又は義務教育学校の前期課程」とあるのは「中学校、義務教育学校の後期課程又は中等教育学校の前期課程」と、「45,800」とあるのは「42,300」と、「453」とあるのは「1,226」と、「135,811」とあるのは「182,914」と、「670」とあるのは「722」と、「小学校及び義務教育学校の前期課程」とあるのは「中学校、義務教育学校の後期課程及び中等教育学校の前期課程」と、「児童数」とあるのは「生徒数」と読み替えるものとする。
六 その他の教育費人口1 密度補正Ⅱに用いる密度は、次の算式ア、算式イ、算式ウ及び算式エにより算定した数(小数点以下三位未満の端数があるときは、その端数を四捨五入する。)とする。算式ア
(B×658+C×256+D×292+E×37+F×76+G×139+H×155+I×63+J×105+K×119+L×8+M×81+N×95+O×122)/A
算式アの符号A 測定単位の数値B 学校基本調査規則によつて調査したその年の5月1日現在における当該市町村立大学(当該市町村が地方独立行政法人法第6条第3項に規定する設立団体(以下この号において「設立団体」という。)である同法第68条第1項の公立大学法人(以下この号において「公立大学法人」という。)の設置する大学を含む。以下この号において同じ。)の医学部(医学科に限り、医学に関する単科大学を含む。以下この号において同じ。)に在学する学生(大学院に在学する学生を含む。)の数(公立大学法人の設置する大学のうち、都道府県及び市町村が設立団体である公立大学法人の設置する大学の学科、専攻科及び大学院に在学する学生の数については、当該学生の数を当該大学を設置した公立大学法人の設立団体である都道府県知事及び市町村の長が協議して定め、総務大臣が承認した率(協議が成立しないときは、総務大臣が定める率)により按分したものをそれぞれの市町村立の大学の学部、専攻科及び大学院に在学する学生の数とし、大学の開設(学部及び学科の開設を除く。)をした場合においては、開設初年度目にあつては当該開設した大学の学生数に2.0を、開設2年度目にあつては1.5を、開設3年度目にあつては1.25をそれぞれ乗じて得た数(整数未満の端数があるときは、その端数を四捨五入する。)とする。符号Cから符号Gまでにおいて同じ。)C 学校基本調査規則によつて調査したその年の5月1日現在における当該市町村立大学の理科系学部(理学部、工学部、農学部及び水産学部をいい、理学、工学、農学及び水産学に関する単科大学を含む。)に在学する学生数D 学校基本調査規則によつて調査したその年の5月1日現在における当該市町村立大学の保健系学部(医学部を除き、薬学及び看護学(衛生学を含む。)に関する単科大学を含む。)に在学する学生数E 学校基本調査規則によつて調査したその年の5月1日現在における当該市町村立大学の社会科学系学部(社会科学に関する単科大学を含む。)に在学する学生数F 学校基本調査規則によつて調査したその年の5月1日現在における当該市町村立大学の人文科学系学部(人文科学に関する単科大学を含む。)に在学する学生数G 学校基本調査規則によつて調査したその年の5月1日現在における当該市町村立大学の家政系学部及び芸術系学部(家政及び芸術に関する単科大学を含む。)に在学する学生数H 学校基本調査規則によつて調査したその年の5月1日現在における当該市町村立短期大学(当該市町村が設立団体である公立大学法人の設置する短期大学を含む。以下この号において同じ。)の理学系学科、工学系学科、農学系学科及び保健系学科に在学する学生数(3年制短期大学の開設(学科の開設を除く。)をした場合においては、開設初年度目にあつては当該学生数に3.0を、開設2年度目にあつては当該学生数に1.5をそれぞれ乗じて得た数とし、2年制短期大学の開設(学科の開設を除く。)をした場合においては、開設初年度目にあつては当該学生数に2.0を乗じて得た数とする。符号I及び符号Jにおいて同じ。)I 学校基本調査規則によつて調査したその年の5月1日現在における当該市町村立短期大学の文科系学科(家政系学科及び芸術系学科を除く。)に在学する学生数J 学校基本調査規則によつて調査したその年の5月1日現在における当該市町村立短期大学の家政系学科及び芸術系学科に在学する学生数K 学校基本調査規則によつて調査したその年の5月1日現在における当該市町村立高等専門学校(当該市町村が設立団体である公立大学法人の設置する高等専門学校を含む。)に在学する学生数L 学校基本調査規則によつて調査したその年の5月1日現在における当該市町村立の特別支援学校(市町村が組織する組合立の特別支援学校は、当該特別支援学校の所在する市町村立の特別支援学校とみなす。以下この表において同じ。)の幼稚部に在学する幼児の数M 学校基本調査規則によつて調査したその年の5月1日現在における当該市町村立の特別支援学校の小学部及び中学部に在学する児童及び生徒の数N 学校基本調査規則によつて調査したその年の5月1日現在における当該市町村立の特別支援学校の高等部(別科及び専攻科を除く。)に在学する生徒の数O 学校基本調査規則によつて調査したその年の5月1日現在における当該市町村立の特別支援学校の高等部(別科及び専攻科に限る。)に在学する生徒の数算式イ
算式イの符号A 測定単位の数値B 市町村立の認定こども園に在籍する1号認定子どもの数(追加分)C 次の算式によつて算定した率(小数点以下3位未満の端数があるときは、その端数を四捨五入する。)算式
α×β×γ+δ
ただし、第11条の2第4項の算式の符号Aが0の場合は1.000とする。算式の符号α 第11条の2第4項の算式の符号Aの率と同じ率β 第11条の2第4項の算式の符号Bの率と同じ率γ 第11条の2第4項の算式の符号Cの率と同じ率δ 第11条の2第4項の算式の符号Dの率と同じ率算式ウ
算式ウの符号A 測定単位の数値B 私立幼稚園(新制度移行私立幼稚園を除く。)在籍人員数算式エ
{B×93.835+C×62.557+D×31.278+E×68.301+F×45.534+G×22.767+H×41.086+I×27.391+J×13.695+(K×29.212+L×19.475+M×9.737)×α+N×49.387+O×32.925+P×16.462+Q×29.632+R×19.755+S×9.877+T×14.816+U×9.877+V×4.939+(W×12.259+X×8.179+Y×4.098)×β}×1.195/A
B×93.835、C×62.557、D×31.278、E×68.301、F×45.534、G×22.767、H×41.086、I×27.391、J×13.695、K×29.212、L×19.475、M×9.737、(K×29.212+L×19.475+M×9.737)×α、N×49.387、O×32.925、P×16.462、Q×29.632、R×19.755、S×9.877、T×14.816、U×9.877、V×4.939、W×12.259、X×8.179、Y×4.098、(W×12.259+X×8.179+Y×4.098)×β、{B×93.835+C×62.557+D×31.278+E×68.301+F×45.534+G×22.767+H×41.086+I×27.391+J×13.695+(K×29.212+L×19.475+M×9.737)×α+N×49.387+O×32.925+P×16.462+Q×29.632+R×19.755+S×9.877+T×14.816+U×9.877+V×4.939+(W×12.259+X×8.179+Y×4.098)×β}×1.195及び{B×93.835+C×62.557+D×31.278+E×68.301+F×45.534+G×22.767+H×41.086+I×27.391+J×13.695+(K×29.212+L×19.475+M×9.737)×α+N×49.387+O×32.925+P×16.462+Q×29.632+R×19.755+S×9.877+T×14.816+U×9.877+V×4.939+(W×12.259+X×8.179+Y×4.098)×β}×1.195/Aに小数点以下3位未満の端数があるときは、その端数を四捨五入する。
算式エの符号A 測定単位の数値B 「高等教育の修学支援新制度における授業料等減免対象学生数等に係る調査について」(令和5年4月20日付け文部科学省高等教育局学生支援課高等教育修学支援室事務連絡。以下この号において「授業料等減免対象学生数等調査」という。)に基づいて文部科学省に報告された「市町村立大学」の「令和4年度授業料減免対象学生数」(以下「市町村立大学授業料減免対象学生数」という。)のうち「非課税世帯:満額区分」の数(公立大学法人の設置する大学のうち、都道府県及び市町村が設立団体である公立大学法人の設置する大学の授業料減免対象学生数については、当該学生数を当該大学を設置した公立大学法人の設立団体である都道府県知事及び市町村の長が協議して定め、総務大臣が承認した率(協議が成立しないときは、総務大臣が定める率)により按分したものをそれぞれの市町村立大学の授業料減免対象学生数とする。符号C及び符号Dにおいて同じ。)C 市町村立大学授業料減免対象学生数のうち「準非課税世帯:2/3区分」の数D 市町村立大学授業料減免対象学生数のうち「準非課税世帯:1/3区分」の数E 授業料等減免対象学生数等調査に基づいて文部科学省に報告された「市町村立短期大学」の「令和4年度授業料減免対象学生数」(以下「市町村立短期大学授業料減免対象学生数」という。)のうち「非課税世帯:満額区分」の数(公立大学法人の設置する短期大学のうち、都道府県及び市町村が設立団体である公立大学法人の設置する短期大学の授業料減免対象学生数については、当該学生数を当該短期大学を設置した公立大学法人の設立団体である都道府県知事及び市町村の長が協議して定め、総務大臣が承認した率(協議が成立しないときは、総務大臣が定める率)により按分したものをそれぞれの市町村立短期大学の授業料減免対象学生数とする。符号F及び符号Gにおいて同じ。)F 市町村立短期大学授業料減免対象学生数のうち「準非課税世帯:2/3区分」の数G 市町村立短期大学授業料減免対象学生数のうち「準非課税世帯:1/3区分」の数H 授業料等減免対象学生数等調査に基づいて文部科学省に報告された「市町村立高等専門学校」の「令和4年度授業料減免対象学生数」(以下「市町村立高等専門学校授業料減免対象学生数」という。)のうち「非課税世帯:満額区分」の数(公立大学法人の設置する高等専門学校のうち、都道府県及び市町村が設立団体である公立大学法人の設置する高等専門学校の授業料減免対象学生数については、当該学生数を当該高等専門学校を設置した公立大学法人の設立団体である都道府県知事及び市町村の長が協議して定め、総務大臣が承認した率(協議が成立しないときは、総務大臣が定める率)により按分したものをそれぞれの市町村立高等専門学校の授業料減免対象学生数とする。符号I及び符号Jにおいて同じ。)I 市町村立高等専門学校授業料減免対象学生数のうち「準非課税世帯:2/3区分」の数J 市町村立高等専門学校授業料減免対象学生数のうち「準非課税世帯:1/3区分」の数K 授業料等減免対象学生数等調査に基づいて文部科学省に報告された「市町村立専門学校」の「令和4年度授業料減免対象学生数」(以下「市町村立専門学校授業料減免対象学生数」という。)のうち「非課税世帯:満額区分」の数L 市町村立専門学校授業料減免対象学生数のうち「準非課税世帯:2/3区分」の数M 市町村立専門学校授業料減免対象学生数のうち「準非課税世帯:1/3区分」の数N 授業料等減免対象学生数等調査に基づいて文部科学省に報告された「市町村立大学」の「令和4年度入学金減免対象学生数」(以下「市町村立大学入学金減免対象学生数」という。)のうち「非課税世帯:満額区分」の数(公立大学法人の設置する大学のうち、都道府県及び市町村が設立団体である公立大学法人の設置する大学の入学金減免対象学生数については、当該学生数を当該大学を設置した公立大学法人の設立団体である都道府県知事及び市町村の長が協議して定め、総務大臣が承認した率(協議が成立しないときは、総務大臣が定める率)により按分したものをそれぞれの市町村立大学の入学金減免対象学生数とする。符号O及び符号Pにおいて同じ。)O 市町村立大学入学金減免対象学生数のうち「準非課税世帯:2/3区分」の数P 市町村立大学入学金減免対象学生数のうち「準非課税世帯:1/3区分」の数Q 授業料等減免対象学生数等調査に基づいて文部科学省に報告された「市町村立短期大学」の「令和4年度入学金減免対象学生数」(以下「市町村立短期大学入学金減免対象学生数」という。)のうち「非課税世帯:満額区分」の数(公立大学法人の設置する短期大学のうち、都道府県及び市町村が設立団体である公立大学法人の設置する短期大学の入学金減免対象学生数については、当該学生数を当該短期大学を設置した公立大学法人の設立団体である都道府県知事及び市町村の長が協議して定め、総務大臣が承認した率(協議が成立しないときは、総務大臣が定める率)により按分したものをそれぞれの市町村立短期大学の入学金減免対象学生数とする。符号R及び符号Sにおいて同じ。)R 市町村立短期大学入学金減免対象学生数のうち「準非課税世帯:2/3区分」の数S 市町村立短期大学入学金減免対象学生数のうち「準非課税世帯:1/3区分」の数T 授業料等減免対象学生数等調査に基づいて文部科学省に報告された「市町村立高等専門学校」の「令和4年度入学金減免対象学生数」(以下「市町村立高等専門学校入学金減免対象学生数」という。)のうち「非課税世帯:満額区分」の数(公立大学法人の設置する高等専門学校のうち、都道府県及び市町村が設立団体である公立大学法人の設置する高等専門学校の入学金減免対象学生数については、当該学生数を当該高等専門学校を設置した公立大学法人の設立団体である都道府県知事及び市町村の長が協議して定め、総務大臣が承認した率(協議が成立しないときは、総務大臣が定める率)により按分したものをそれぞれの市町村立高等専門学校の入学金減免対象学生数とする。符号U及び符号Vにおいて同じ。)U 市町村立高等専門学校入学金減免対象学生数のうち「準非課税世帯:2/3区分」の数V 市町村立高等専門学校入学金減免対象学生数のうち「準非課税世帯:1/3区分」の数W 授業料等減免対象学生数等調査に基づいて文部科学省に報告された「市町村立専門学校」の「令和4年度入学金減免対象学生数」(以下「市町村立専門学校入学金減免対象学生数」という。)のうち「非課税世帯:満額区分」の数X 市町村立専門学校入学金減免対象学生数のうち「準非課税世帯:2/3区分」の数Y 市町村立専門学校入学金減免対象学生数のうち「準非課税世帯:1/3区分」の数α 次の算式により算定した率(小数点以下3位未満の端数がある場合はその端数を四捨五入し、当該率が1.000を超える場合は1.000とする。)算式
(a×3)/(b×3+c×2+d)/166,800
算式の符号a 授業料等減免対象学生数等調査に基づいて文部科学省に報告された「市町村立専門学校」の「令和4年度授業料減免額(実績)」b 符号Kに同じ。c 符号Lに同じ。d 符号Mに同じ。β 次の算式により算定した率(小数点以下3位未満の端数がある場合はその端数を四捨五入し、当該率が1.000を超える場合は1.000とする。)算式
(e×3)/(f×3+g×2+h)/70,000
算式の符号e 授業料等減免対象学生数等調査に基づいて文部科学省に報告された「市町村立専門学校」の「令和4年度入学金減免額(実績)」f 符号Wに同じ。g 符号Xに同じ。h 符号Yに同じ。2 密度補正Ⅲに用いる密度は、次の算式により算定した数(小数点以下三位未満の端数があるときは、その端数を四捨五入する。)とする。算式
算式の符号A 測定単位の数値B 新制度移行私立幼稚園在籍人員数及び私立認定こども園在籍人員数の合計数C 次の算式によつて算定した率(小数点以下3位未満の端数があるときは、その端数を四捨五入し、b=0のときは、1.000とする。)算式
a/b×12に小数点以下3位未満の端数があるときは、その端数を四捨五入する。
算式の符号a 市町村ごとの新制度移行私立幼稚園在籍人員及び私立認定こども園の1号認定子どもに係る前年度費用額の合計額b 市町村ごとの前年度新制度移行私立幼稚園在籍人員数及び前年度私立認定こども園在籍人員数の合計数3 市町村立の認定こども園に在籍する一号認定子どもの数(追加分)は、「子ども・子育て支援新制度における園児数等に係る調査について」(令和五年四月十七日付けこども家庭庁成育局保育政策課事務連絡。以下「園児数等調査」という。)に基づいてこども家庭庁に報告された「調査票一 認定こども園の機能部分に係る状況について」の「保育所型認定こども園(令和五年四月一日現在)」及び「地方裁量型認定こども園(令和五年四月一日現在)」の「認定区分 一号」の「利用児童数 合計」の数の合計とする。
 七 生活保護費市部人口1 密度補正に用いる密度は、次の算式ア及び算式イにより算定した数(小数点以下三位未満の端数があるときは、その端数を四捨五入する。)とする。算式ア
D×0.964
及び
{C-(D×0.964)}×0.983
に整数未満の端数があるときは、その端数を四捨五入する。
算式アの符号A 測定単位の数値B 被生活保護者等の数C 被生活保護者等の実数D 前年度における被生活保護者等の数算式イ
(B×100)/A
算式イの符号A 測定単位の数値B 被生活保護者等のうち生活扶助等を受けた者の数2 被生活保護者等の数は、前年度の四月一日から三月三十一日までの間において生活保護法の規定によつて当該市(福祉事務所設置町村を含む。以下この号において同じ。)から生活扶助、住宅扶助、教育扶助、医療扶助、介護扶助、出産扶助、生業扶助及び葬祭扶助を受けた者並びに中国残留邦人等の円滑な帰国の促進並びに永住帰国した中国残留邦人等及び特定配偶者の自立の支援に関する法律の規定によつて当該市から生活支援給付、住宅支援給付、医療支援給付、介護支援給付、出産支援給付、生業支援給付及び葬祭支援給付を受けた者で、当該市がその経費を負担したものの月ごとの実人員のそれぞれの合計数(生活扶助に係る実人員の合計数にあつては、当該実人員の合計数が、前々年度の四月一日から三月三十一日までの間において生活保護法の規定により当該市から生活扶助を受けた者で当該市がその経費を負担したものの月ごとの実人員の合計数に〇・九を乗じて得た数に満たないときは、当該〇・九を乗じて得た数とする。この場合において、表示単位未満の端数があるときは、その端数を四捨五入する。)に、別表第二の二に定める当該扶助に係るそれぞれの率を乗じて得た数(表示単位未満の端数があるときは、その端数を四捨五入する。)の合計数とする。この場合において、前年度の四月二日から当該年度の四月一日までの間において町村(福祉事務所設置町村を除く。以下この号において同じ。)が市となり、又は市の区域の変更があつた場合における当該市の数値は、当該市が前年度中において当該年度の四月一日における区域をもつて存在していたものと仮定して算定した数値とし、前年度の四月二日から当該年度の四月一日までの間において指定都市又は中核市以外の市が指定都市又は中核市となつた場合における当該市の数値は、当該市が前年度中において指定都市又は中核市であつたと仮定して算定した数値とする。3 被生活保護者等の実数は、2に準ずる。この場合において、「別表第二の二」とあるのは「別表第二の三」と読み替えるものとする。4 前年度における被生活保護者等の数は、2に準ずる。この場合において、「前年度の四月一日」とあるのは「前々年度の四月一日」と、「当該実人員の合計数が、前々年度」とあるのは「前年度の密度の算定において前々々年度」と、「得た数に満たないときは、当該〇・九を乗じて得た数とする。この場合において表示単位未満の端数があるときは、その端数を四捨五入する。」とあるのは、「得た数を前々年度の四月一日から三月三十一日までの間における生活扶助者数として用いた場合にあつては、当該用いた数とする。」と、「別表第二の二」とあるのは「別表第二の四」と、「前年度中」とあるのは「前々年度中」と読み替えるものとする。5 被生活保護者等のうち生活扶助等を受けた者の数は、前年度の四月一日から三月三十一日までの間において生活保護法の規定によつて生活扶助を受けた者及び中国残留邦人等の円滑な帰国の促進並びに永住帰国した中国残留邦人等及び特定配偶者の自立の支援に関する法律の規定によつて生活支援給付を受けた者の月ごとの実人員の合計数に、別表第二の二に定める当該扶助に係る率を乗じて得た数(表示単位未満の端数があるときは、その端数を四捨五入する。)とする。ただし、前年度の四月二日から当該年度の四月一日までの間において町村が市となり、又は市の区域の変更があつた場合における当該市の数値は、当該市が前年度中において当該年度の四月一日における区域をもつて存在していたものと仮定して算出した数値とし、前年度の四月二日から当該年度の四月一日までの間において指定都市又は中核市以外の市が指定都市又は中核市となつた場合における当該市の数値は、当該市が前年度中において指定都市又は中核市であつたと仮定して算定した数値とする。
 八 社会福祉費人口1 密度補正に用いる密度は、次の算式ア(1)、算式ア(2)、算式イ(1)、算式イ(2)、算式ウ、算式エ、算式オ、算式カ(1)、算式カ(2)、算式カ(3)、算式キ及び算式クにより算定した数(小数点以下三位未満の端数があるときは、その端数を四捨五入する。)とする。算式ア(1)
算式ア(1)の符号A 測定単位の数値B 公立の保育施設在籍人員数のうち0歳児数及び1・2歳児数の合計数α 次の算式によつて算定した率(小数点以下3位未満の端数があるときは、その端数を四捨五入し、公立保育所在籍人員数、公立幼保連携型認定こども園在籍人員数及び公立認定こども園在籍人員数(追加分)のうち0歳児数及び1・2歳児数の合計数が0の場合は1.000とする。)算式
算式の符号a 地域区分が100分の20地域の市町村にあつては1.103、100分の16地域の市町村にあつては1.074、100分の15地域の市町村にあつては1.066、100分の12地域の市町村にあつては1.044、100分の10地域の市町村にあつては1.029、100分の6地域の市町村にあつては1.000、100分の3地域の市町村にあつては0.978、その他地域の市町村にあつては0.956とする。b 次の算式によつて算定した率(小数点以下3位未満の端数があるときは、その端数を四捨五入する。)算式
w/v×1.697+x/v×1.000
w/v、x/v及びw/v×1.697に小数点以下3位未満の端数があるときは、その端数を四捨五入する。
算式の符号v 公立の保育施設在籍人員数のうち0歳児数及び1・2歳児数の合計数w 公立の保育施設在籍人員数のうち0歳児数x 公立の保育施設在籍人員数のうち1・2歳児数c 次の算式によつて算定した率(小数点以下3位未満の端数があるときは、その端数を四捨五入する。)算式
yi×ziに整数未満の端数があるときは、その端数を四捨五入する。
算式の符号x 公立保育所在籍人員数、公立幼保連携型認定こども園在籍人員数及び公立認定こども園在籍人員数(追加分)の合計数(以下「公立保育施設在籍人員数(基礎分)」という。)yi 公立保育施設在籍人員数(基礎分)のうち2・3号認定子どもに係る利用定員がi人(iは1以上n以下の整数)の施設に在籍する人員数zi1≦i≦10のとき 3.77411≦i≦20のとき 2.25821≦i≦30のとき 1.68231≦i≦40のとき 1.44841≦i≦50のとき 1.38551≦i≦60のとき 1.27061≦i≦70のとき 1.19071≦i≦80のとき 1.13081≦i≦90のとき 1.08391≦i≦100のとき 1.000101≦i≦110のとき 0.974111≦i≦120のとき 0.951121≦i≦130のとき 0.933131≦i≦140のとき 0.917141≦i≦160のとき 0.904161≦i≦170のとき 0.892171≦iのとき 0.882n 利用定員の最大値d 冷暖房費加算区分が1級地の市町村にあつては0.010、2級地の市町村にあつては0.008、3級地の市町村にあつては0.008、4級地の市町村にあつては0.006、その他地域の市町村にあつては-0.001とする。e 次の算式によつて算定した率(小数点以下3位未満の端数があるときは、その端数を四捨五入する。)算式
yi×ziに整数未満の端数があるときは、その端数を四捨五入する。ただし、x=0かつ符号B>0の場合は1.000とする。
算式の符号x 前年度公立保育施設在籍人員数(基礎分)のうち3号認定子ども数y1 前年度公立保育施設在籍人員数(基礎分)のうち子ども・子育て支援法第20条第4項に規定する教育・保育給付認定保護者(子ども・子育て支援法施行令第4条第2項第1号に規定する短時間認定保護者を除く。以下この表において「教育・保育給付認定保護者(標準時間)」という。)が子ども・子育て支援法施行令第4条第2項第7号の区分に該当し、かつ、同令第14条各号に該当しない3号認定子ども数y2 前年度公立保育施設在籍人員数(基礎分)のうち教育・保育給付認定保護者(標準時間)が子ども・子育て支援法施行令第4条第2項第7号ただし書の区分に該当する特定教育・保育給付認定保護者(以下この表において「特定教育・保育給付認定保護者」という。)であつて、かつ、同令第14条各号に該当しない3号認定子ども数y3 前年度公立保育施設在籍人員数(基礎分)のうち教育・保育給付認定保護者(標準時間)が子ども・子育て支援法施行令第4条第2項第7号の区分に該当し、かつ、同令第14条第1号に該当する3号認定子ども数y4 前年度公立保育施設在籍人員数(基礎分)のうち教育・保育給付認定保護者(標準時間)が子ども・子育て支援法施行令第4条第2項第5号の区分に該当し、かつ、同令第13条第1項各号及び第14条各号に該当しない3号認定子ども数y5 前年度公立保育施設在籍人員数(基礎分)のうち教育・保育給付認定保護者(標準時間)が子ども・子育て支援法施行令第4条第2項第6号の区分に該当する特定教育・保育給付認定保護者であって、かつ、同令第14条各号に該当しない3号認定子ども数y6 前年度公立保育施設在籍人員数(基礎分)のうち教育・保育給付認定保護者(標準時間)が子ども・子育て支援法施行令第4条第2項第5号の区分に該当し、かつ、同令第13条第1項第1号又は第14条第1号に該当する3号認定子ども数y7 前年度公立保育施設在籍人員数(基礎分)のうち教育・保育給付認定保護者(標準時間)が子ども・子育て支援法施行令第4条第2項第4号の区分に該当し、かつ、同令第13条第1項各号に該当しない3号認定子ども数y8 前年度公立保育施設在籍人員数(基礎分)のうち教育・保育給付認定保護者(標準時間)が子ども・子育て支援法施行令第4条第2項第4号の区分に該当し、かつ、同令第13条第1項第1号に該当する3号認定子ども数y9 前年度公立保育施設在籍人員数(基礎分)のうち教育・保育給付認定保護者(標準時間)が子ども・子育て支援法施行令第4条第2項第3号の区分に該当し、かつ、同令第13条第1項各号に該当しない3号認定子ども数y10 前年度公立保育施設在籍人員数(基礎分)のうち教育・保育給付認定保護者(標準時間)が子ども・子育て支援法施行令第4条第2項第3号の区分に該当し、かつ、同令第13条第1項第1号に該当する3号認定子ども数y11 前年度公立保育施設在籍人員数(基礎分)のうち教育・保育給付認定保護者(標準時間)が子ども・子育て支援法施行令第4条第2項第2号の区分に該当し、かつ、同令第13条第1項各号に該当しない3号認定子ども数y12 前年度公立保育施設在籍人員数(基礎分)のうち教育・保育給付認定保護者(標準時間)が子ども・子育て支援法施行令第4条第2項第2号の区分に該当し、かつ、同令第13条第1項第1号に該当する3号認定子ども数y13 前年度公立保育施設在籍人員数(基礎分)のうち教育・保育給付認定保護者(標準時間)が子ども・子育て支援法施行令第4条第2項第1号の区分に該当し、かつ、同令第13条第1項各号に該当しない3号認定子ども数y14 前年度公立保育施設在籍人員数(基礎分)のうち教育・保育給付認定保護者(標準時間)が子ども・子育て支援法施行令第4条第2項第1号の区分に該当し、かつ、同令第13条第1項第1号に該当する3号認定子ども数y15 前年度公立保育施設在籍人員数(基礎分)のうち子ども・子育て支援法第20条第4項に規定する教育・保育給付認定保護者(子ども・子育て支援法施行令第4条第2項第1号に規定する短時間認定保護者に限る。以下この表において「教育・保育給付認定保護者(短時間)」という。)が子ども・子育て支援法施行令第4条第2項第7号の区分に該当し、かつ、同令第14条各号に該当しない3号認定子ども数y16 前年度公立保育施設在籍人員数(基礎分)のうち教育・保育給付認定保護者(短時間)が子ども・子育て支援法施行令第4条第2項第7号ただし書の区分に該当する特定教育・保育給付認定保護者(以下この表において「特定教育・保育給付認定保護者」という。)であつて、かつ、同令第14条各号に該当しない3号認定子ども数y17 前年度公立保育施設在籍人員数(基礎分)のうち教育・保育給付認定保護者(短時間)が子ども・子育て支援法施行令第4条第2項第7号の区分に該当し、かつ、同令第14条各号に該当する3号認定子ども数y18 前年度公立保育施設在籍人員数(基礎分)のうち教育・保育給付認定保護者(短時間)が子ども・子育て支援法施行令第4条第2項第5号の区分に該当し、かつ、同令第13条第1項各号及び第14条各号に該当しない3号認定子ども数y19 前年度公立保育施設在籍人員数(基礎分)のうち教育・保育給付認定保護者(短時間)が子ども・子育て支援法施行令第4条第2項第6号の区分に該当する特定教育・保育給付認定保護者であつて、かつ、同令第14条各号に該当しない3号認定子ども数y20 前年度公立保育施設在籍人員数(基礎分)のうち教育・保育給付認定保護者(短時間)が子ども・子育て支援法施行令第4条第2項第5号の区分に該当し、かつ、同令第13条第1項第1号又は第14条第1号に該当する3号認定子ども数y21 前年度公立保育施設在籍人員数(基礎分)のうち教育・保育給付認定保護者(短時間)が子ども・子育て支援法施行令第4条第2項第4号の区分に該当し、かつ、同令第13条第1項各号に該当しない3号認定子ども数y22 前年度公立保育施設在籍人員数(基礎分)のうち教育・保育給付認定保護者(短時間)が子ども・子育て支援法施行令第4条第2項第4号の区分に該当し、かつ、同令第13条第1項第1号に該当する3号認定子ども数y23 前年度公立保育施設在籍人員数(基礎分)のうち教育・保育給付認定保護者(短時間)が子ども・子育て支援法施行令第4条第2項第3号の区分に該当し、かつ、同令第13条第1項各号に該当しない3号認定子ども数y24 前年度公立保育施設在籍人員数(基礎分)のうち教育・保育給付認定保護者(短時間)が子ども・子育て支援法施行令第4条第2項第3号の区分に該当し、かつ、同令第13条第1項第1号に該当する3号認定子ども数y25 前年度公立保育施設在籍人員数(基礎分)のうち教育・保育給付認定保護者(短時間)が子ども・子育て支援法施行令第4条第2項第2号の区分に該当し、かつ、同令第13条第1項各号に該当しない3号認定子ども数y26 前年度公立保育施設在籍人員数(基礎分)のうち教育・保育給付認定保護者(短時間)が子ども・子育て支援法施行令第4条第2項第2号の区分に該当し、かつ、同令第13条第1項第1号に該当する3号認定子ども数y27 前年度公立保育施設在籍人員数(基礎分)のうち教育・保育給付認定保護者(短時間)が子ども・子育て支援法施行令第4条第2項第1号の区分に該当し、かつ、同令第13条第1項各号に該当しない3号認定子ども数y28 前年度公立保育施設在籍人員数(基礎分)のうち教育・保育給付認定保護者(短時間)が子ども・子育て支援法施行令第4条第2項第1号の区分に該当し、かつ、同令第13条第1項第1号に該当する3号認定子ども数z1 19.5z2 9z3 9.75z4 30z5 9z6 15z7 44.5z8 22.25z9 61z10 30.5z11 80z12 40z13 104z14 52z15 19.3z16 9z17 9.65z18 29.6z19 9z20 14.8z21 43.9z22 21.95z23 60.1z24 30.05z25 78.8z26 39.4z27 102.4z28 51.2算式ア(2)
算式ア(2)の符号A 測定単位の数値B 公立の保育施設在籍人員数のうち3歳児数及び4歳以上児数の合計数α 次の算式によつて算定した率(小数点以下3位未満の端数があるときは、その端数を四捨五入し、公立保育所在籍人員数、公立幼保連携型認定こども園在籍人員数及び公立認定こども園在籍人員数(追加分)のうち3歳児数及び4歳以上児数の合計数が0の場合は1.000とする。)算式
算式の符号a 算式ア(1)の符号αの算式の符号aに同じ。b 次の算式によつて算定した率(小数点以下3位未満の端数があるときは、その端数を四捨五入する。)算式
w/v×1.193+x/v×1.000
w/v、x/v及びw/v×1.193に小数点以下3位未満の端数があるときは、その端数を四捨五入する。
算式の符号v 公立の保育施設在籍人員数のうち3歳児数及び4歳以上児数の合計数w 公立の保育施設在籍人員数のうち3歳児数x 公立の保育施設在籍人員数のうち4歳以上児数c 算式ア(1)の符号αの算式の符号cに同じ。d 冷暖房費加算区分が1級地の市町村にあつては0.026、2級地の市町村にあつては0.023、3級地の市町村にあつては0.023、4級地の市町村にあつては0.017、その他地域の市町村にあつては-0.003とする。算式イ(1)
算式イ(1)の符号A 測定単位の数値B 私立保育所在籍人員数及び私立認定こども園在籍人員数(満3歳未満保育認定子どもに係るものに限る。)の合計数α 次の算式によつて算定した率(小数点以下3位未満の端数があるときは、その端数を四捨五入し、c=0のときは、1.000とする。)算式
{(a-b)×12×0.25}/cに整数未満の端数があるときは、その端数を四捨五入する。
算式の符号a 前年度私立保育所等費用額(満3歳未満保育認定子どもに係るものに限る。)b 前年度私立保育所等利用者負担額c 前年度私立保育所等在籍人員数(満3歳未満保育認定子どもに係るものに限る。)算式イ(2)
算式イ(2)の符号A 測定単位の数値B 私立保育所在籍人員数及び私立認定こども園在籍人員数(満3歳未満保育認定子どもに係るものを除く。)の合計数α 次の算式によつて算定した率(小数点以下3位未満の端数があるときは、その端数を四捨五入し、b=0のときは、1.000とする。)算式
(a×12×0.25)/bに整数未満の端数があるときは、その端数を四捨五入する。
算式の符号a 前年度私立保育所等費用額(満3歳未満保育認定子どもに係るものを除く。)b 前年度私立保育所等在籍人員数(満3歳未満保育認定子どもに係るものを除く。)算式ウ
算式ウの符号A 測定単位の数値B 保育所及び幼保連携型認定こども園における障害児受入人員数(ただし、障害児保育のための加配職員数に2を乗じた数(以下この表において「加配対象受入障害児数」という。)を上回る場合は、加配対象受入障害児数)C 公立の幼稚園型認定こども園及び公立の地方裁量型認定こども園並びに特別利用保育等に係る障害児受入人員数算式エ
[{B×0.565+C×1.060+D×0.707+E×0.707+F×1.060+G×1.060+H×0.707+I×0.707+J×6.360+K×4.240+L×6.360+M×4.240+(N+O+P+Q)×0.353+(R+S+T+U)×0.353+(V+W+X+Y)×2.120}×0.995]/A
B×0.565、C×1.060、D×0.707、E×0.707、F×1.060、G×1.060、H×0.707、I×0.707、J×6.360、K×4.240、L×6.360、M×4.240、(N+O+P+Q)×0.353、(R+S+T+U)×0.353及び(V+W+X+Y)×2.120に整数未満の端数があるときは、その端数を四捨五入する。
算式エの符号A 測定単位の数値B 児童数(3歳未満)((被用者・本則給付分)及び(施設等受給資格者分)の計)C 児童数(3歳未満)(非被用者・本則給付分)D 児童数(3歳~小学校)((被用者・本則給付分のうち第1子及び第2子分)及び(施設等受給資格者分)の計)E 児童数(3歳~小学校)(非被用者・本則給付分のうち第1子及び第2子分)F 児童数(3歳~小学校)(被用者・本則給付分のうち第3子以降分)G 児童数(3歳~小学校)(非被用者・本則給付分のうち第3子以降分)H 児童数(中学校)((被用者・本則給付分)及び(施設等受給資格者分)の計)I 児童数(中学校)(非被用者・本則給付分)J 児童数(3歳未満)(地方公務員・本則給付分)(市町村が組織する組合に係る児童数は、当該児童数を当該組合を構成する市町村の長が協議して定め、総務大臣が承認した率(協議が成立しないときは、総務大臣が定める率)により按分したものをそれぞれの市町村の児童数とする。符号Kから符号M及び符号Vから符号Yにおいて同じ。)K 児童数(3歳~小学校)(地方公務員・本則給付分のうち第1子及び第2子分)L 児童数(3歳~小学校)(地方公務員・本則給付分のうち第3子以降分)M 児童数(中学校)(地方公務員・本則給付分)N 児童数(3歳未満)(被用者・特例給付分)O 児童数(3歳~小学校)(被用者・特例給付分のうち第1子及び第2子分)P 児童数(3歳~小学校)(被用者・特例給付分のうち第3子以降分)Q 児童数(中学校)(被用者・特例給付分)R 児童数(3歳未満)(非被用者・特例給付分)S 児童数(3歳~小学校)(非被用者・特例給付分のうち第1子及び第2子分)T 児童数(3歳~小学校)(非被用者・特例給付分のうち第3子以降分)U 児童数(中学校)(非被用者・特例給付分)V 児童数(3歳未満)(地方公務員・特例給付分)W 児童数(3歳~小学校)(地方公務員・特例給付分のうち第1子及び第2子分)X 児童数(3歳~小学校)(地方公務員・特例給付分のうち第3子以降分)Y 児童数(中学校)(地方公務員・特例給付分算式オ
算式オの符号A 測定単位の数値B 児童扶養手当支給者数算式カ(1)
算式カ(1)の符号A 測定単位の数値B 障害福祉サービスのうち居住系サービス利用者数算式カ(2)
算式カ(2)の符号A 測定単位の数値B 障害福祉サービスのうち日中活動系サービス利用者数算式カ(3)
算式カ(3)の符号A 測定単位の数値B 障害福祉サービスのうち訪問系サービス利用者数算式キ
[{B×1.227+C×1.000+(D+J)×0.778+E×1.004+F×1.994+G×0.917+H×0.572+I×0.557}×19.907]/A
B×1.227、C×1.000、(D+J)×0.778、E×1.004、F×1.994、G×0.917、H×0.572及びI×0.557に整数未満の端数があるときは、その端数を四捨五入する。
算式キの符号A 測定単位の数値B 家庭的保育事業に係る子どもの数C 小規模保育事業A型に係る子どもの数D 小規模保育事業B型に係る子どもの数E 小規模保育事業C型に係る子どもの数F 居宅訪問型保育事業に係る子どもの数G 小規模型事業所内保育事業A型に係る子どもの数H 小規模型事業所内保育事業B型に係る子どもの数I 保育所型事業所内保育事業に係る子どもの数J 特例保育給付に係る子どもの数算式ク
算式クの符号A 測定単位の数値B 子育てのための施設等利用給付に係る給付認定子ども数α 次の算式によつて算定した率(小数点以下3位未満の端数があるときは、その端数を四捨五入する。)算式
{(a-b)×0.25}/cに整数未満の端数があるときは、その端数を四捨五入する。
算式の符号a 前年度子育てのための施設等利用給付支給額b 前年度子育てのための施設等利用給付支給額(子ども・子育て支援法第7条第10項第2号に掲げる幼稚園に係るものに限る。)c 前年度子育てのための施設等利用給付に係る給付認定子ども数2 公立の保育施設在籍人員数は、条例により設置された公立の保育施設のうち、年間を通して開設されているもの(地方公共団体が、その職員の乳幼児を保育するために自ら設置する施設を除く。)に係る入所人員数として次に掲げる数を合算した数とする。(1) 公立保育所在籍人員数 その年の四月分として福祉行政報告例によつて厚生労働省に報告された「第五十四 保育所・在所者」の「初日入所人員年齢階層」の「0歳」、「1・2歳」、「3歳」及び「4歳以上」の基礎となつた児童数のうち市町村長が都道府県立の保育所以外の公立保育所(その年の五月一日現在において幼稚園であるものを除く。)へ入所させた児童数を合算した数(2) 公立幼保連携型認定こども園在籍人員数 その年の四月分として福祉行政報告例によつて厚生労働省に報告された「第五十四の二 幼保連携型認定こども園・在所者」の「初日入所人員年齢階層」の「0歳」、「1・2歳」、「3歳」及び「4歳以上」の基礎となつた児童数のうち市町村長が都道府県立の幼保連携型認定こども園以外の幼保連携型認定こども園(その年の五月一日現在において幼稚園であるものを除く。)へ入所させた児童数を合算した数(3) 公立認定こども園在籍人員数(追加分) 園児数等調査に基づいてこども家庭庁に報告された「調査票1 認定こども園の機能部分に係る状況について」の「幼稚園型認定こども園(令和五年四月一日現在)」及び「地方裁量型認定こども園(令和五年四月一日現在)」の「認定区分 2・3号」の「利用児童数 合計」の数(4) 特別利用保育等に係る子どもの数 園児数等調査に基づいてこども家庭庁に報告された「調査票2 保育所の状況(1号認定)について」の「保育所(令和五年四月一日現在)」の「設置主体 公立」の「利用児童数 合計」の数(5) (1)から(4)までに掲げる数及び都道府県の項第七号35から43までに規定する子どもの数以外の公立保育施設に係る令和五年四月一日時点の「0歳」、「1・2歳」、「3歳」及び「4歳以上」の入所人員数として総務大臣が調査した数を合算した数3 保育所及び幼保連携型認定こども園における障害児受入人員数は、その年の四月分として福祉行政報告例によつて厚生労働省に報告された「第五十四 保育所・在所者」の「初日在籍」の「障害児受入人員」の「公立」及び「私立」の合計数の基礎となつた児童数のうち市町村長が都道府県立の保育所以外の保育所(その年の五月一日現在において幼稚園であるものを除く。)へ入所させた児童数並びに「第五十四の二 幼保連携型認定こども園・在所者」の「初日在籍」の「障害児受入人員」の「公立」及び「私立」の合計数の基礎となつた児童数のうち市町村長が都道府県立の幼保連携型認定こども園以外の幼保連携型認定こども園(その年の五月一日現在において幼稚園であるものを除く。)へ入所させた児童数の合計数とする。4 障害児保育のための加配職員数は、その年の四月分として福祉行政報告例によつて厚生労働省に報告された「第五十四 保育所・在所者」の「障害児保育のための加配職員数」の「公立」及び「私立」の合計数並びに「第五十四の二 幼保連携型認定こども園・在所者」の「障害児保育のための加配職員数」の「公立」及び「私立」の合計数の合算した数とする。5 公立の幼稚園型認定こども園及び公立の地方裁量型認定こども園並びに特別利用保育等に係る障害児受入人員数は、園児数等調査に基づいてこども家庭庁に報告された「調査票1 認定こども園の機能部分に係る状況について」の「幼稚園型認定こども園(令和五年四月一日現在)」及び「地方裁量型認定こども園(令和五年四月一日現在)」の「認定区分 2・3号」の「利用児童数 合計のうち障害児数」の数並びに「調査票2 保育所の状況(1号認定)について」の「保育所(令和五年四月一日現在)」の「設置主体 公立」及び「設置主体 私立」の「利用児童数 合計のうち障害児数」の数の合計数とする。6 児童数(3歳未満)((被用者・本則給付分)及び(施設等受給資格者分)の計)は、児童手当支給状況報告(被用者・非被用者分)における様式1第1表(1)中区分「支給対象児童数」の「0歳から3歳未満」の「本年2月末現在全体」の数に同報告における様式2第1表中区分「支給対象児童数」の「0歳から3歳未満」の「計」の数を加えて得た数とする。7 児童数(3歳未満)(非被用者・本則給付分)は、児童手当支給状況報告(被用者・非被用者分)における様式1第2表(1)中区分「支給対象児童数」の「0歳から3歳未満」の「本年2月末現在全体」の数とする。8 児童数(3歳~小学校)((被用者・本則給付分のうち第1子及び第2子分)及び(施設等受給資格者分)の計)は、児童手当支給状況報告(被用者・非被用者分)における様式1第1表(1)中区分「支給対象児童数」の「3歳以上小学校修了前」の「本年2月末現在全体」の数から同表(1)中区分「支給対象児童数」の「3歳以上小学校修了前」の「うち第3子以降」の「本年2月末現在全体」の数を控除した数に同報告における様式2第1表中区分「支給対象児童数」の「3歳以上小学校修了前」の「計」の数を加えて得た数とする。9 児童数(3歳~小学校)(非被用者・本則給付分のうち第1子及び第2子分)は、児童手当支給状況報告(被用者・非被用者分)における様式1第2表(1)中区分「支給対象児童数」の「3歳以上小学校修了前」の「本年2月末現在全体」の数から同表(1)中区分「支給対象児童数」の「3歳以上小学校修了前」の「うち第3子以降」の「本年2月末現在全体」の数を控除した数とする。10 児童数(3歳~小学校)(被用者・本則給付分のうち第3子以降分)は、児童手当支給状況報告(被用者・非被用者分)における様式1第1表(1)中区分「支給対象児童数」の「3歳以上小学校修了前」の「うち第3子以降」の「本年2月末現在全体」の数とする。11 児童数(3歳~小学校)(非被用者・本則給付分のうち第3子以降分)は、児童手当支給状況報告(被用者・非被用者分)における様式1第2表(1)中区分「支給対象児童数」の「3歳以上小学校修了前」の「うち第3子以降」の「本年2月末現在全体」の数とする。12 児童数(中学校)((被用者・本則給付分)及び(施設等受給資格者分)の計)は、児童手当支給状況報告(被用者・非被用者分)における様式1第1表(1)中区分「支給対象児童数」の「小学校修了後中学校修了前」の「本年2月末現在全体」の数に同報告書における様式2第1表中区分「支給対象児童数」の「小学校修了後中学校修了前」の「計」の数を加えて得た数とする。13 児童数(中学校)(非被用者・本則給付分)は、児童手当支給状況報告(被用者・非被用者分)における様式1第2表(1)中区分「支給対象児童数」の「小学校修了後中学校修了前」の「本年2月末現在全体」の数とする。14 児童数(3歳未満)(地方公務員・本則給付分)は、児童手当支給状況報告(地方公務員分)の市町村分における第1表(1)中区分「支給対象児童数」の「0歳から3歳未満」の「本年2月末現在全体」の数とする。15 児童数(3歳~小学校)(地方公務員・本則給付分のうち第1子及び第2子分)は、児童手当支給状況報告(地方公務員分)の市町村分における第1表(1)中区分「支給対象児童数」の「3歳以上小学校修了前」の「本年2月末現在全体」の数から同表(1)中区分「支給対象児童数」の「3歳以上小学校修了前」の「うち第3子以降」の「本年2月末現在全体」の数を控除した数とする。16 児童数(3歳~小学校)(地方公務員・本則給付分のうち第3子以降分)は、児童手当支給状況報告(地方公務員分)の市町村分における第1表(1)中区分「支給対象児童数」の「3歳以上小学校修了前」の「うち第3子以降」の「本年2月末現在全体」の数とする。17 児童数(中学校)(地方公務員・本則給付分)は、児童手当支給状況報告(地方公務員分)の市町村分における第1表(1)中区分「支給対象児童数」の「小学校修了後中学校修了前」の「本年2月末現在全体」の数とする。18 児童数(3歳未満)(被用者・特例給付分)は、児童手当支給状況報告(被用者・非被用者分)における様式1第1表(2)中区分「支給対象児童数」の「0歳から3歳未満」の「本年2月末現在全体」の数とする。19 児童数(3歳~小学校)(被用者・特例給付分のうち第1子及び第2子分)は、児童手当支給状況報告(被用者・非被用者分)における様式1第1表(2)中区分「支給対象児童数」の「3歳以上小学校修了前」の「本年2月末現在全体」の数から同表(2)中区分「支給対象児童数」の「3歳以上小学校修了前」の「うち第3子以降」の「本年2月末現在全体」の数を控除した数とする。20 児童数(3歳~小学校)(被用者・特例給付分のうち第3子以降分)は、児童手当支給状況報告(被用者・非被用者分)における様式1第1表(2)中区分「支給対象児童数」の「3歳以上小学校修了前」の「うち第3子以降」の「本年2月末現在全体」の数とする。21 児童数(中学校)(被用者・特例給付分)は、児童手当支給状況報告(被用者・非被用者分)における様式1第1表(2)中区分「支給対象児童数」の「小学校修了後中学校修了前」の「本年2月末現在全体」の数とする。22 児童数(3歳未満)(非被用者・特例給付分)は、児童手当支給状況報告(被用者・非被用者分)における様式1第2表(2)中区分「支給対象児童数」の「0歳から3歳未満」の「本年2月末現在全体」の数とする。23 児童数(3歳~小学校)(非被用者・特例給付分のうち第1子及び第2子分)は、児童手当支給状況報告(被用者・非被用者分)における様式1第2表(2)中区分「支給対象児童数」の「3歳以上小学校修了前」の「本年2月末現在全体」の数から同表(2)中区分「支給対象児童数」の「3歳以上小学校修了前」の「うち第3子以降」の「本年2月末現在全体」の数を控除した数とする。24 児童数(3歳~小学校)(非被用者・特例給付分のうち第3子以降分)は、児童手当支給状況報告(被用者・非被用者分)における様式1第2表(2)中区分「支給対象児童数」の「3歳以上小学校修了前」の「うち第3子以降」の「本年2月末現在全体」の数とする。25 児童数(中学校)(非被用者・特例給付分)は、児童手当支給状況報告(被用者・非被用者分)における様式1第2表(2)中区分「支給対象児童数」の「小学校修了後中学校修了前」の「本年2月末現在全体」の数とする。26 児童数(3歳未満)(地方公務員・特例給付分)は、児童手当支給状況報告(地方公務員分)の市町村分における第1表(2)中区分「支給対象児童数」の「0歳から3歳未満」の「本年2月末現在全体」の数とする。27 児童数(3歳~小学校)(地方公務員・特例給付分のうち第1子及び第2子分)は、児童手当支給状況報告(地方公務員分)の市町村分における第1表(2)中区分「支給対象児童数」の「3歳以上小学校修了前」の「本年2月末現在全体」の数から同表(2)中区分「支給対象児童数」の「3歳以上小学校修了前」の「うち第3子以降」の「本年2月末現在全体」の数を控除した数とする。28 児童数(3歳~小学校)(地方公務員・特例給付分のうち第3子以降分)は、児童手当支給状況報告(地方公務員分)の市町村分における第1表(2)中区分「支給対象児童数」の「3歳以上小学校修了前」の「うち第3子以降」の「本年2月末現在全体」の数とする。29 児童数(中学校)(地方公務員・特例給付分)は、児童手当支給状況報告(地方公務員分)の市町村分における第1表(2)中区分「支給対象児童数」の「小学校修了後中学校修了前」の「本年2月末現在全体」の数とする。30 児童扶養手当支給者数は、令和三年度実施事業として地方厚生局に報告された児童扶養手当給付費国庫負担金交付要綱様式第8号付表2中「支出済額(A列)」の延月人数の「全部支給者」、「一部停止者」、「13条の2」、「13条の3」及び「13条の2かつ13条の3」の数の合計数とする。31 障害福祉サービスのうち居住系サービス利用者数は、障害福祉サービス利用状況における「施設入所支援」、「共同生活援助(介護サービス包括型・外部サービス利用型・日中サービス支援型)」及び「自立生活援助」を合算した数とする。32 障害福祉サービスのうち日中活動系サービス利用者数は、障害福祉サービス利用状況における「療養介護」、「生活介護」、「短期入所(ショートステイ)」、「自立訓練(機能訓練・生活訓練)」、「宿泊型自立訓練」、「就労移行支援」、「就労継続支援(A型・B型)」、「就労定着支援」、「児童発達支援」及び「放課後等デイサービス」を合算した数とする。33 障害福祉サービスのうち訪問系サービス利用者数は、障害福祉サービス利用状況における「居宅介護」、「重度訪問介護」、「行動援護」、「重度障害者等包括支援」及び「同行援護」を合算した数とする。
九 保健衛生費人口1 密度補正Ⅰに用いる密度は、次の算式アにより算定した数(小数点以下四位未満の端数があるときは、その端数を四捨五入する。)とする。算式ア
算式の符号A 測定単位の数値B1 診療所の数B2 診療所病床数C 高料金対策簡易水道資本費D 高料金対策簡易水道有収水量E 簡易水道等給水人口F 簡易水道事業債元利償還金Gn 簡易水道事業債同意等額H12=0.049H13=0.052H14=0.045H15=0.053H16=0.043H17ア 平成17年度市場公募都市に係るもの 0.050イ 平成17年度市場公募都市以外の市町村に係るもの 0.040H18ア 平成18年度市場公募都市に係るもの 0.049イ 平成18年度市場公募都市以外の市町村に係るもの 0.038H19ア 平成19年度市場公募都市に係るもの 0.049イ 平成19年度市場公募都市以外の市町村に係るもの 0.036H20ア 平成20年度市場公募都市に係るもの 0.04977イ 平成20年度市場公募都市以外の市町村に係るもの 0.057H21ア 平成21年度市場公募都市に係るもの 0.04834イ 平成21年度市場公募都市以外の市町村に係るもの 0.055H22ア 平成22年度市場公募都市に係るもの 0.04701イ 平成22年度市場公募都市以外の市町村に係るもの 0.054H23=0.000H24=0.000H25=0.000H26=0.000H27ア 平成27年度市場公募都市に係るもの 0.073イ 平成27年度市場公募都市以外の市町村に係るもの 0.073H28ア 平成28年度市場公募都市に係るもの 0.0720イ 平成28年度市場公募都市以外の市町村に係るもの 0.0720H29ア 平成29年度市場公募都市に係るもの 0.0721イ 平成29年度市場公募都市以外の市町村に係るもの 0.0721H30ア 平成30年度市場公募都市に係るもの 0.07235イ 平成30年度市場公募都市以外の市町村に係るもの 0.07221H令元ア 令和元年度市場公募都市に係るもの 0.07200イ 令和元年度市場公募都市以外の市町村に係るもの 0.07204H令2ア 令和2年度市場公募都市に係るもの 0.00095イ 令和2年度市場公募都市以外の市町村に係るもの 0.00101H令3ア 令和3年度市場公募都市に係るもの 0.00115イ 令和3年度市場公募都市以外の市町村に係るもの 0.00143H令4ア 令和4年度市場公募都市に係るもの 0.00326イ 令和4年度市場公募都市以外の市町村に係るもの 0.00375I1 市町村立等病院病床数I2 市町村立等病院特例病床数J1 市町村立大学附属病院病床数J2 市町村立リハビリ病院病床数K1 病院事業債に係る元利償還金(令和4年度繰出基準第5、1、(2)に該当する事業のうち、平成3年度から平成13年度までに発行を許可された病院事業債(平成14年度に許可を受けた平成13年度以前に基本設計等に着手した事業に係るもの(以下「平成13年度以前からの継続事業」という。)を含み、介護老人保健施設に係るものを除く。)の元利償還金に3分の2を乗じて得た額及び災害拠点病院の施設整備に充てるため平成13年度に発行を許可された地方債(平成13年度以前からの継続事業を含む。)の元利償還金に3分の1を乗じて得た額の合算額)K2 病院事業債に係る元利償還金(令和4年度繰出基準第5、1、(2)に該当する事業のうち、平成14年度に発行を許可された病院事業債(平成13年度以前からの継続事業及び介護老人保健施設に係るものを除く。)の元利償還金に3分の2を乗じて得た額及び災害拠点病院の施設整備に充てるため平成14年度に発行を許可された地方債(平成13年度以前からの継続事業を含む。)の元利償還金に3分の1を乗じて得た額の合算額)Ln 病院事業(医療施設整備事業)に充てるため平成n年度に発行について同意又は許可を得た地方債(平成13年度以前に基本設計等に着手した事業に限る。)の額に3分の2を乗じて得た額及び災害拠点病院の施設整備(医療施設整備事業)に充てるため平成n年度に発行について同意又は許可を得た地方債(平成13年度以前に基本設計等に着手した事業に限る。)の額に3分の1を乗じて得た額の合算額M15=0.032M16=0.026M17ア 平成17年度市場公募都市に係るもの 0.030イ 平成17年度市場公募都市以外の市町村に係るもの 0.024M18ア 平成18年度市場公募都市に係るもの 0.029イ 平成18年度市場公募都市以外の市町村に係るもの 0.023M19ア 平成19年度市場公募都市に係るもの 0.029イ 平成19年度市場公募都市以外の市町村に係るもの 0.022M20ア 平成20年度市場公募都市に係るもの 0.02986イ 平成20年度市場公募都市以外の市町村に係るもの 0.034M21ア 平成21年度市場公募都市に係るもの 0.02900イ 平成21年度市場公募都市以外の市町村に係るもの 0.033M22ア 平成22年度市場公募都市に係るもの 0.02821イ 平成22年度市場公募都市以外の市町村に係るもの 0.033M23ア 平成23年度市場公募都市に係るもの 0.02814イ 平成23年度市場公募都市以外の市町村に係るもの 0.032M24ア 平成24年度市場公募都市に係るもの 0.02815イ 平成24年度市場公募都市以外の市町村に係るもの 0.032Nn 病院事業(医療施設整備事業)に充てるため平成n年度に発行について同意又は許可を得た地方債(平成14年度に基本設計等に着手した事業に限る。)の額に3分の2を乗じて得た額及び災害拠点病院の施設整備(医療施設整備事業)に充てるため平成n年度に発行について同意又は許可を得た地方債(平成14年度に基本設計等に着手した事業に限る。)の額に3分の1を乗じて得た額の合算額O15=0.024O16=0.019O17ア 平成17年度市場公募都市に係るもの 0.023イ 平成17年度市場公募都市以外の市町村に係るもの 0.018O18ア 平成18年度市場公募都市に係るもの 0.022イ 平成18年度市場公募都市以外の市町村に係るもの 0.017O19ア 平成19年度市場公募都市に係るもの 0.022イ 平成19年度市場公募都市以外の市町村に係るもの 0.016O20ア 平成20年度市場公募都市に係るもの 0.02240イ 平成20年度市場公募都市以外の市町村に係るもの 0.026O21ア 平成21年度市場公募都市に係るもの 0.02175イ 平成21年度市場公募都市以外の市町村に係るもの 0.025O22ア 平成22年度市場公募都市に係るもの 0.02115イ 平成22年度市場公募都市以外の市町村に係るもの 0.024O23ア 平成23年度市場公募都市に係るもの 0.02111イ 平成23年度市場公募都市以外の市町村に係るもの 0.024O24ア 平成24年度市場公募都市に係るもの 0.02111イ 平成24年度市場公募都市以外の市町村に係るもの 0.024Pn 病院事業(医療施設整備事業)に充てるためn年度に発行について同意又は許可を得た地方債(平成15年度以降に基本設計等に着手した事業に限り、符号P'nに係るものを除く。)の額に2分の1を乗じて得た額及び災害拠点病院の施設整備(医療施設整備事業)に充てるためn年度に発行について同意又は許可を得た地方債(平成15年度以降に発行について同意又は許可を得た地方債(平成15年度に基本設計等に着手した事業に限り、符号P2n及び符号P2'nに係るものを除く。)の額に2分の1を乗じて得た額の合算額Q15=0.024Q16=0.019Q17ア 平成17年度市場公募都市に係るもの 0.023イ 平成17年度市場公募都市以外の市町村に係るもの 0.018Q18ア 平成18年度市場公募都市に係るもの 0.022イ 平成18年度市場公募都市以外の市町村に係るもの 0.017Q19ア 平成19年度市場公募都市に係るもの 0.022イ 平成19年度市場公募都市以外の市町村に係るもの 0.016Q20ア 平成20年度市場公募都市に係るもの 0.02240イ 平成20年度市場公募都市以外の市町村に係るもの 0.026Q21ア 平成21年度市場公募都市に係るもの 0.02175イ 平成21年度市場公募都市以外の市町村に係るもの 0.025Q22ア 平成22年度市場公募都市に係るもの 0.02115イ 平成22年度市場公募都市以外の市町村に係るもの 0.024Q23ア 平成23年度市場公募都市に係るもの 0.02111イ 平成23年度市場公募都市以外の市町村に係るもの 0.024Q24ア 平成24年度市場公募都市に係るもの 0.02111イ 平成24年度市場公募都市以外の市町村に係るもの 0.024Q25ア 平成25年度市場公募都市に係るもの 0.021イ 平成25年度市場公募都市以外の市町村に係るもの 0.024Q26ア 平成26年度市場公募都市に係るもの 0.021イ 平成26年度市場公募都市以外の市町村に係るもの 0.023Q27ア 平成27年度市場公募都市に係るもの 0.021イ 平成27年度市場公募都市以外の市町村に係るもの 0.024Q28ア 平成28年度市場公募都市に係るもの 0.0214イ 平成28年度市場公募都市以外の市町村に係るもの 0.0245Q29ア 平成29年度市場公募都市に係るもの 0.0214イ 平成29年度市場公募都市以外の市町村に係るもの 0.0248Q30ア 平成30年度市場公募都市に係るもの 0.00971イ 平成30年度市場公募都市以外の市町村に係るもの 0.01298Q令元ア 令和元年度市場公募都市に係るもの 0.00896イ 令和元年度市場公募都市以外の市町村に係るもの 0.01225Q令2ア 令和2年度市場公募都市に係るもの 0.00190イ 令和2年度市場公募都市以外の市町村に係るもの 0.00192Q令3ア 令和3年度市場公募都市に係るもの 0.00300イ 令和3年度市場公募都市以外の市町村に係るもの 0.00308Q令4ア 令和4年度市場公募都市に係るもの 0.00495イ 令和4年度市場公募都市以外の市町村に係るもの 0.00511P'n 病院事業(医療施設整備事業・特別分)に充てるためn年度に発行について同意又は許可を得た地方債の額に3分の2を乗じて得た額Q'27ア 平成27年度市場公募都市に係るもの 0.026イ 平成27年度市場公募都市以外の市町村に係るもの 0.029Q'28ア 平成28年度市場公募都市に係るもの 0.0256イ 平成28年度市場公募都市以外の市町村に係るもの 0.0293Q'29ア 平成29年度市場公募都市に係るもの 0.0256イ 平成29年度市場公募都市以外の市町村に係るもの 0.0297Q'30ア 平成30年度市場公募都市に係るもの 0.01165イ 平成30年度市場公募都市以外の市町村に係るもの 0.01558Q'令元ア 令和元年度市場公募都市に係るもの 0.01075イ 令和元度市場公募都市以外の市町村に係るもの 0.01470Q'令2ア 令和2年度市場公募都市に係るもの 0.00227イ 令和2年度市場公募都市以外の市町村に係るもの 0.00230Q'令3ア 令和3年度市場公募都市に係るもの 0.00360イ 令和3年度市場公募都市以外の市町村に係るもの 0.00369Q'令4ア 令和4年度市場公募都市に係るもの 0.00594イ 令和4年度市場公募都市以外の市町村に係るもの 0.00613P2n 災害拠点病院の施設整備(医療施設整備事業)に充てるためn年度に発行について同意又は許可を得た地方債の額(符号P2'nに係るものを除く。)に2分の1を乗じて得た額Q221ア 平成21年度市場公募都市に係るもの 0.02417イ 平成21年度市場公募都市以外の市町村に係るもの 0.030Q222ア 平成22年度市場公募都市に係るもの 0.02586イ 平成22年度市場公募都市以外の市町村に係るもの 0.030Q223ア 平成23年度市場公募都市に係るもの 0.02345イ 平成23年度市場公募都市以外の市町村に係るもの 0.029Q224ア 平成24年度市場公募都市に係るもの 0.02580イ 平成24年度市場公募都市以外の市町村に係るもの 0.029Q225ア 平成25年度市場公募都市に係るもの 0.026イ 平成25年度市場公募都市以外の市町村に係るもの 0.029Q226ア 平成26年度市場公募都市に係るもの 0.026イ 平成26年度市場公募都市以外の市町村に係るもの 0.028Q227ア 平成27年度市場公募都市に係るもの 0.021イ 平成27年度市場公募都市以外の市町村に係るもの 0.024Q228ア 平成28年度市場公募都市に係るもの 0.0214イ 平成28年度市場公募都市以外の市町村に係るもの 0.0245Q229ア 平成29年度市場公募都市に係るもの 0.0214イ 平成29年度市場公募都市以外の市町村に係るもの 0.0248Q230ア 平成30年度市場公募都市に係るもの 0.00970イ 平成30年度市場公募都市以外の市町村に係るもの 0.01298Q2令元ア 令和元年度市場公募都市に係るもの 0.00896イ 令和元年度市場公募都市以外の市町村に係るもの 0.01225Q2令2ア 令和2年度市場公募都市に係るもの 0.00190イ 令和2年度市場公募都市以外の市町村に係るもの 0.00192Q2令3ア 令和3年度市場公募都市に係るもの 0.00540イ 令和3年度市場公募都市以外の市町村に係るもの 0.00554Q2令4ア 令和4年度市場公募都市に係るもの 0.00693イ 令和4年度市場公募都市以外の市町村に係るもの 0.00715P2'n 災害拠点病院の施設整備(医療施設整備事業・特別分)に充てるためn年度に発行について同意又は許可を得た地方債の額に3分の1を乗じて得た額Q2'27ア 平成27年度市場公募都市に係るもの 0.013イ 平成27年度市場公募都市以外の市町村に係るもの 0.014Q2'28ア 平成28年度市場公募都市に係るもの 0.0128イ 平成28年度市場公募都市以外の市町村に係るもの 0.0147Q2'29ア 平成29年度市場公募都市に係るもの 0.0128イ 平成29年度市場公募都市以外の市町村に係るもの 0.0149Q2'30ア 平成30年度市場公募都市に係るもの 0.00582イ 平成30年度市場公募都市以外の市町村に係るもの 0.00779Q2'令元ア 令和元年度市場公募都市に係るもの 0.00538イ 令和元年度市場公募都市以外の市町村に係るもの 0.00735Q2'令2ア 令和2年度市場公募都市に係るもの 0.00114イ 令和2年度市場公募都市以外の市町村に係るもの 0.00115Q2'令3ア 令和3年度市場公募都市に係るもの 0.00540イ 令和3年度市場公募都市以外の市町村に係るもの 0.00554R PFI事業により行われる病院事業(医療施設整備事業)に充てるため平成18年度に発行について同意又は許可を得た地方債の額Sア 平成18年度市場公募都市に係るもの 0.051イ 平成18年度市場公募都市以外の市町村に係るもの 0.038Tn 病院事業(機械器具整備事業)に充てるためn年度に発行について同意又は許可を得た地方債(平成15年度以降に基本設計等に着手した事業に限り、符号T'nに係るものを除く。)の額に2分の1を乗じて得た額及び災害拠点病院の施設整備(機械器具整備事業)に充てるためn年度に発行について同意又は許可を得た地方債(平成15年度以降に基本設計等に着手した事業に限り、符号T2n及び符号T2'nに係るものを除く。)の額に2分の1を乗じて得た額の合算額U27ア 平成27年度市場公募都市に係るもの 0.056イ 平成27年度市場公募都市以外の市町村に係るもの 0.058U28ア 平成28年度市場公募都市に係るもの 0.0556イ 平成28年度市場公募都市以外の市町村に係るもの 0.0586U29ア 平成29年度市場公募都市に係るもの 0.0556イ 平成29年度市場公募都市以外の市町村に係るもの 0.0583U30ア 平成30年度市場公募都市に係るもの 0.05558イ 平成30年度市場公募都市以外の市町村に係るもの 0.05558U令元ア 令和元年度市場公募都市に係るもの 0.05557イ 令和元年度市場公募都市以外の市町村に係るもの 0.05919U令2ア 令和2年度市場公募都市に係るもの 0.05564イ 令和2年度市場公募都市以外の市町村に係るもの 0.05903U令3ア 令和3年度市場公募都市に係るもの 0.05609イ 令和3年度市場公募都市以外の市町村に係るもの 0.04196U令4ア 令和4年度市場公募都市に係るもの 0.00175イ 令和4年度市場公募都市以外の市町村に係るもの 0.00190T'n 病院事業(機械器具整備事業・特別分)に充てるためn年度に発行について同意又は許可を得た地方債の額に3分の2を乗じて得た額U'27ア 平成27年度市場公募都市に係るもの 0.067イ 平成27年度市場公募都市以外の市町村に係るもの 0.070U'28ア 平成28年度市場公募都市に係るもの 0.0667イ 平成28年度市場公募都市以外の市町村に係るもの 0.0703U'29ア 平成29年度市場公募都市に係るもの 0.0667イ 平成29年度市場公募都市以外の市町村に係るもの 0.0699U'30ア 平成30年度市場公募都市に係るもの 0.06670イ 平成30年度市場公募都市以外の市町村に係るもの 0.06670U'令元ア 令和元年度市場公募都市に係るもの 0.06668イ 令和元年度市場公募都市以外の市町村に係るもの 0.07102U'令2ア 令和2年度市場公募都市に係るもの 0.06676イ 令和2年度市場公募都市以外の市町村に係るもの 0.07084U'令3ア 令和3年度市場公募都市に係るもの 0.06730イ 令和3年度市場公募都市以外の市町村に係るもの 0.05035U'令4ア 令和4年度市場公募都市に係るもの 0.00210イ 令和4年度市場公募都市以外の市町村に係るもの 0.00228T2n 災害拠点病院の機械器具整備に充てるためn年度に発行について同意又は許可を得た地方債の額(符号T2'nに係るものを除く。)に2分の1を乗じて得た額U227ア 平成27年度市場公募都市に係るもの 0.056イ 平成27年度市場公募都市以外の市町村に係るもの 0.058U228ア 平成28年度市場公募都市に係るもの 0.0556イ 平成28年度市場公募都市以外の市町村に係るもの 0.0586U229ア 平成29年度市場公募都市に係るもの 0.0556イ 平成29年度市場公募都市以外の市町村に係るもの 0.0583U230ア 平成30年度市場公募都市に係るもの 0.05558イ 平成30年度市場公募都市以外の市町村に係るもの 0.05558U2令元ア 令和元年度市場公募都市に係るもの 0.05557イ 令和元年度市場公募都市以外の市町村に係るもの 0.05919U2令2ア 令和2年度市場公募都市に係るもの 0.05564イ 令和2年度市場公募都市以外の市町村に係るもの 0.05903U2令3ア 令和3年度市場公募都市に係るもの 0.10095イ 令和3年度市場公募都市以外の市町村に係るもの 0.07553U2令4ア 令和4年度市場公募都市に係るもの 0.00245イ 令和4年度市場公募都市以外の市町村に係るもの 0.00266T2'n 災害拠点病院の機械器具整備(特別分)に充てるためn年度に発行について同意又は許可を得た地方債の額に3分の1を乗じて得た額U2'27ア 平成27年度市場公募都市に係るもの 0.034イ 平成27年度市場公募都市以外の市町村に係るもの 0.035U2'28ア 平成28年度市場公募都市に係るもの 0.0334イ 平成28年度市場公募都市以外の市町村に係るもの 0.0352U2'29ア 平成29年度市場公募都市に係るもの 0.0334イ 平成29年度市場公募都市以外の市町村に係るもの 0.0350U2'30ア 平成30年度市場公募都市に係るもの 0.03335イ 平成30年度市場公募都市以外の市町村に係るもの 0.03335U2'令元ア 令和元年度市場公募都市に係るもの 0.03334イ 令和元年度市場公募都市以外の市町村に係るもの 0.03551U2'令2ア 令和2年度市場公募都市に係るもの 0.03338イ 令和2年度市場公募都市以外の市町村に係るもの 0.03542U2'令3ア 令和3年度市場公募都市に係るもの 0.10095イ 令和3年度市場公募都市以外の市町村に係るもの 0.07553V 市町村立大学附属病院の建設又は改良に要する経費に充てるため平成5年度から平成14年度までに発行を許可された地方債(用地、職員宿舎及び大学の用に供する研究・研修部門を除く。)の元利償還金(「繰出金等について」によつて報告されたもの)Wn 市町村立大学附属病院事業(医療施設整備事業)に充てるため平成n年度に発行について同意又は許可を得た地方債(平成13年度以前に基本設計等に着手した事業に限る。また、用地、職員宿舎、看護師宿舎及び大学の用に供する研究・研修部門を除く。)の額X15=0.021X16=0.017X17ア 平成17年度市場公募都市に係るもの 0.020イ 平成17年度市場公募都市以外の市町村に係るもの 0.016X18ア 平成18年度市場公募都市に係るもの 0.020イ 平成18年度市場公募都市以外の市町村に係るもの 0.015X19ア 平成19年度市場公募都市に係るもの 0.020イ 平成19年度市場公募都市以外の市町村に係るもの 0.015X20ア 平成20年度市場公募都市に係るもの 0.01991イ 平成20年度市場公募都市以外の市町村に係るもの 0.023X21ア 平成21年度市場公募都市に係るもの 0.01934イ 平成21年度市場公募都市以外の市町村に係るもの 0.022X22ア 平成22年度市場公募都市に係るもの 0.01880イ 平成22年度市場公募都市以外の市町村に係るもの 0.022X23ア 平成23年度市場公募都市に係るもの 0.01876イ 平成23年度市場公募都市以外の市町村に係るもの 0.021X24ア 平成24年度市場公募都市に係るもの 0.01876イ 平成24年度市場公募都市以外の市町村に係るもの 0.021Yn 市町村立大学附属病院事業(医療施設整備事業)に充てるため平成n年度に発行について同意又は許可を得た地方債(平成14年度に基本設計等に着手した事業に限る。また、用地、職員宿舎、看護師宿舎及び大学の用に供する研究・研修部門を除く。)の額Z15=0.016Z16=0.013Z17ア 平成17年度市場公募都市に係るもの 0.015イ 平成17年度市場公募都市以外の市町村に係るもの 0.012Z18ア 平成18年度市場公募都市に係るもの 0.015イ 平成18年度市場公募都市以外の市町村に係るもの 0.011Z19ア 平成19年度市場公募都市に係るもの 0.015イ 平成19年度市場公募都市以外の市町村に係るもの 0.011Z20ア 平成20年度市場公募都市に係るもの 0.01493イ 平成20年度市場公募都市以外の市町村に係るもの 0.017Z21ア 平成21年度市場公募都市に係るもの 0.01450イ 平成21年度市場公募都市以外の市町村に係るもの 0.017Z22ア 平成22年度市場公募都市に係るもの 0.01410イ 平成22年度市場公募都市以外の市町村に係るもの 0.016Z23ア 平成23年度市場公募都市に係るもの 0.01407イ 平成23年度市場公募都市以外の市町村に係るもの 0.016Z24ア 平成24年度市場公募都市に係るもの 0.01407イ 平成24年度市場公募都市以外の市町村に係るもの 0.016AAn 市町村立大学附属病院事業(医療施設整備事業)に充てるためn年度に発行について同意又は許可を得た地方債(平成15年度以降に基本設計等に着手した事業に限る。また、用地、職員宿舎、看護師宿舎及び大学の用に供する研究・研修部門を除く。)の額AB15=0.012AB16=0.010AB17ア 平成17年度市場公募都市に係るもの 0.011イ 平成17年度市場公募都市以外の市町村に係るもの 0.009AB18ア 平成18年度市場公募都市に係るもの 0.011イ 平成18年度市場公募都市以外の市町村に係るもの 0.009AB19ア 平成19年度市場公募都市に係るもの 0.011イ 平成19年度市場公募都市以外の市町村に係るもの 0.008AB20ア 平成20年度市場公募都市に係るもの 0.01120イ 平成20年度市場公募都市以外の市町村に係るもの 0.013AB21ア 平成21年度市場公募都市に係るもの 0.01088イ 平成21年度市場公募都市以外の市町村に係るもの 0.012AB22ア 平成22年度市場公募都市に係るもの 0.01058イ 平成22年度市場公募都市以外の市町村に係るもの 0.012AB23ア 平成23年度市場公募都市に係るもの 0.01039イ 平成23年度市場公募都市以外の市町村に係るもの 0.012AB24ア 平成24年度市場公募都市に係るもの 0.01055イ 平成24年度市場公募都市以外の市町村に係るもの 0.012AB25ア 平成25年度市場公募都市に係るもの 0.011イ 平成25年度市場公募都市以外の市町村に係るもの 0.012AB26ア 平成26年度市場公募都市に係るもの 0.010イ 平成26年度市場公募都市以外の市町村に係るもの 0.012AB27ア 平成27年度市場公募都市に係るもの 0.010イ 平成27年度市場公募都市以外の市町村に係るもの 0.011AB28ア 平成28年度市場公募都市に係るもの 0.0096イ 平成28年度市場公募都市以外の市町村に係るもの 0.0110AB29ア 平成29年度市場公募都市に係るもの 0.0096イ 平成29年度市場公募都市以外の市町村に係るもの 0.0111AB30ア 平成30年度市場公募都市に係るもの 0.00437イ 平成30年度市場公募都市以外の市町村に係るもの 0.00584AB令元ア 令和元年度市場公募都市に係るもの 0.00403イ 令和元年度市場公募都市以外の市町村に係るもの 0.00551AB令2ア 令和2年度市場公募都市に係るもの 0.00085イ 令和2年度市場公募都市以外の市町村に係るもの 0.00086AB令3ア 令和3年度市場公募都市に係るもの 0.00135イ 令和3年度市場公募都市以外の市町村に係るもの 0.00138AB令4ア 令和4年度市場公募都市に係るもの 0.00223イ 令和4年度市場公募都市以外の市町村に係るもの 0.00230ACn 市町村立大学附属病院事業(機械器具整備事業)に充てるためn年度に発行について同意又は許可を得た地方債(平成15年度以降に基本設計等に着手した事業に限る。また、用地、職員宿舎、看護師宿舎及び大学の用に供する研究・研修部門を除く。)の額AD27ア 平成27年度市場公募都市に係るもの 0.025イ 平成27年度市場公募都市以外の市町村に係るもの 0.026AD28ア 平成28年度市場公募都市に係るもの 0.0250イ 平成28年度市場公募都市以外の市町村に係るもの 0.0264AD29ア 平成29年度市場公募都市に係るもの 0.0250イ 平成29年度市場公募都市以外の市町村に係るもの 0.0262AD30ア 平成30年度市場公募都市に係るもの 0.02501イ 平成30年度市場公募都市以外の市町村に係るもの 0.02501AD令元ア 令和元年度市場公募都市に係るもの 0.02500イ 令和元年度市場公募都市以外の市町村に係るもの 0.02663AD令2ア 令和2年度市場公募都市に係るもの 0.02504イ 令和2年度市場公募都市以外の市町村に係るもの 0.02656AD令3ア 令和3年度市場公募都市に係るもの 0.02524イ 令和3年度市場公募都市以外の市町村に係るもの 0.01888AD令4ア 令和4年度市場公募都市に係るもの 0.00079イ 令和4年度市場公募都市以外の市町村に係るもの 0.00086AEn 病院事業一般会計出資債(医療施設整備事業)に充てるためn年度に発行について同意又は許可を得た地方債の額AF20ア 平成20年度市場公募都市に係るもの 0.02489イ 平成20年度市場公募都市以外の市町村に係るもの 0.029AF21ア 平成21年度市場公募都市に係るもの 0.02417イ 平成21年度市場公募都市以外の市町村に係るもの 0.028AF22ア 平成22年度市場公募都市に係るもの 0.02351イ 平成22年度市場公募都市以外の市町村に係るもの 0.027AF23ア 平成23年度市場公募都市に係るもの 0.02345イ 平成23年度市場公募都市以外の市町村に係るもの 0.027AF24ア 平成24年度市場公募都市に係るもの 0.02346イ 平成24年度市場公募都市以外の市町村に係るもの 0.026AF25ア 平成25年度市場公募都市に係るもの 0.024イ 平成25年度市場公募都市以外の市町村に係るもの 0.026AF26ア 平成26年度市場公募都市に係るもの 0.023イ 平成26年度市場公募都市以外の市町村に係るもの 0.026AF27ア 平成27年度市場公募都市に係るもの 0.021イ 平成27年度市場公募都市以外の市町村に係るもの 0.024AF28ア 平成28年度市場公募都市に係るもの 0.0214イ 平成28年度市場公募都市以外の市町村に係るもの 0.0245AF29ア 平成29年度市場公募都市に係るもの 0.0214イ 平成29年度市場公募都市以外の市町村に係るもの 0.0248AF30ア 平成30年度市場公募都市に係るもの 0.00971イ 平成30年度市場公募都市以外の市町村に係るもの 0.01298AF令元ア 令和元年度市場公募都市に係るもの 0.00896イ 令和元年度市場公募都市以外の市町村に係るもの 0.01225AF令2ア 令和2年度市場公募都市に係るもの 0.00190イ 令和2年度市場公募都市以外の市町村に係るもの 0.00192AF令3ア 令和3年度市場公募都市に係るもの 0.00300イ 令和3年度市場公募都市以外の市町村に係るもの 0.00308AGn 病院事業一般会計出資債(機械器具整備事業)に充てるためn年度に発行について同意又は許可を得た地方債の額AH27ア 平成27年度市場公募都市に係るもの 0.056イ 平成27年度市場公募都市以外の市町村に係るもの 0.058AH28ア 平成28年度市場公募都市に係るもの 0.0556イ 平成28年度市場公募都市以外の市町村に係るもの 0.0586AH29ア 平成29年度市場公募都市に係るもの 0.0556イ 平成29年度市場公募都市以外の市町村に係るもの 0.0583AH30ア 平成30年度市場公募都市に係るもの 0.05558イ 平成30年度市場公募都市以外の市町村に係るもの 0.05558AH令元ア 令和元年度市場公募都市に係るもの 0.05557イ 令和元年度市場公募都市以外の市町村に係るもの 0.05919AH令2ア 令和2年度市場公募都市に係るもの 0.05564イ 令和2年度市場公募都市以外の市町村に係るもの 0.05903AH令3ア 令和3年度市場公募都市に係るもの 0.05609イ 令和3年度市場公募都市以外の市町村に係るもの 0.04196AI1 救急告示病院数AI2 救急告示等病床数AJ 上水道の高料金対策に係る繰出基準額AK 上水道水源開発元利償還金AL 独立行政法人水資源機構負担金AM 上水道広域化対策元利償還金AN 上水道一般会計出資債元利償還金(平成11年度以前)AOn n年度における市町村上水道一般会計出資債同意等額(符号AO'nに係るものを除く。)AP12=0.026AP13=0.027AP14=0.022AP15=0.024AP16=0.019AP17ア 平成17年度市場公募都市に係るもの 0.023イ 平成17年度市場公募都市以外の市町村に係るもの 0.018AP18ア 平成18年度市場公募都市に係るもの 0.022イ 平成18年度市場公募都市以外の市町村に係るもの 0.017AP19ア 平成19年度市場公募都市に係るもの 0.022イ 平成19年度市場公募都市以外の市町村に係るもの 0.016AP20ア 平成20年度市場公募都市に係るもの 0.02240イ 平成20年度市場公募都市以外の市町村に係るもの 0.026AP21ア 平成21年度市場公募都市に係るもの 0.02175イ 平成21年度市場公募都市以外の市町村に係るもの 0.025AP22ア 平成22年度市場公募都市に係るもの 0.02115イ 平成22年度市場公募都市以外の市町村に係るもの 0.024AP23ア 平成23年度市場公募都市に係るもの 0.02111イ 平成23年度市場公募都市以外の市町村に係るもの 0.024AP24ア 平成24年度市場公募都市に係るもの 0.02111イ 平成24年度市場公募都市以外の市町村に係るもの 0.024AP25ア 平成25年度市場公募都市に係るもの 0.021イ 平成25年度市場公募都市以外の市町村に係るもの 0.024AP26ア 平成26年度市場公募都市に係るもの 0.021イ 平成26年度市場公募都市以外の市町村に係るもの 0.023AP27ア 平成27年度市場公募都市に係るもの 0.019イ 平成27年度市場公募都市以外の市町村に係るもの 0.022AP28ア 平成28年度市場公募都市に係るもの 0.0192イ 平成28年度市場公募都市以外の市町村に係るもの 0.0220AP29ア 平成29年度市場公募都市に係るもの 0.0192イ 平成29年度市場公募都市以外の市町村に係るもの 0.0223AP30ア 平成30年度市場公募都市に係るもの 0.00874イ 平成30年度市場公募都市以外の市町村に係るもの 0.01168AP令元ア 令和元年度市場公募都市に係るもの 0.00806イ 令和元年度市場公募都市以外の市町村に係るもの 0.01103AP令2ア 令和2年度市場公募都市に係るもの 0.00171イ 令和2年度市場公募都市以外の市町村に係るもの 0.00173AP令3ア 令和3年度市場公募都市に係るもの 0.00270イ 令和3年度市場公募都市以外の市町村に係るもの 0.00277AP令4ア 令和4年度市場公募都市に係るもの 0.00495イ 令和4年度市場公募都市以外の市町村に係るもの 0.00511AO'n n年度における広域化推進事業に係る市町村上水道一般会計出資債同意等額AP'令元ア 令和元年度市場公募都市に係るもの 0.01075イ 令和元年度市場公募都市以外の市町村に係るもの 0.01470AP'令2ア 令和2年度市場公募都市に係るもの 0.00227イ 令和2年度市場公募都市以外の市町村に係るもの 0.00230AP'令3ア 令和3年度市場公募都市に係るもの 0.00360イ 令和3年度市場公募都市以外の市町村に係るもの 0.00369AP'令4ア 令和4年度市場公募都市に係るもの 0.00594イ 令和4年度市場公募都市以外の市町村に係るもの 0.00613AQ 市町村立看護師等養成所生徒数AR 令和4年度に発行について同意又は許可を得た病院事業債(脱炭素化事業)に係る地方債に相当する額(千円未満の端数があるときは、その端数を四捨五入する。)ASア 令和4年度市場公募都市に係るもの 0.00297イ 令和4年度市場公募都市以外の市町村に係るもの 0.00307AT 令和4年度に発行について同意又は許可を得た上水道及び簡易水道一般会計出資債(脱炭素化事業)に係る地方債に相当する額(千円未満の端数があるときは、その端数を四捨五入する。)AUア 令和4年度市場公募都市に係るもの 0.00297イ 令和4年度市場公募都市以外の市町村に係るもの 0.00307α 当該市町村の財政力指数(当該市町村に係る基準財政収入額(錯誤に係る額として加減した額を除く。)を基準財政需要額(錯誤に係る額として加減した額を除く。)で除して得た数値(小数点以下2位未満の端数があるときは、その端数を四捨五入する。)で当該年度前3年度内の各年度に係るものを合算して得たものを3で除して得た数値(小数点以下2位未満の端数があるときは、その端数を四捨五入する。)をいい、当該年度の4月1日以前3年の間に市町村の廃置分合又は境界変更によつてその区域に異動のあつた市町村については、当該市町村が当該年度の4月1日現在の区域をもつて存在していたものとみなして算定し、これらの額の分別の方法については、第49条及び第50条の規定を準用する。)に-0.50を乗じて得た数(小数点以下3位未満の端数があるときは、その端数を四捨五入する。)と0.70との合計数とする。ただし当該合計数が、0.300に満たないときは0.300とし、0.500を超えるときは0.500とする。AR2 令和4年度に発行について同意又は許可を得た病院事業債(脱炭素化事業・残余分)に係る地方債に相当する額に2分の1を乗じて得た額(千円未満の端数があるときは、その端数を四捨五入する。)AS2ア 令和4年度市場公募都市に係るもの 0.00495イ 令和4年度市場公募都市以外の市町村に係るもの 0.00511AR2' 令和4年度に発行について同意又は許可を得た病院事業債(脱炭素化事業・特別分・残余分)に係る地方債に相当する額に3分の2を乗じて得た額(千円未満の端数があるときは、その端数を四捨五入する。)AS2'ア 令和4年度市場公募都市に係るもの 0.00594イ 令和4年度市場公募都市以外の市町村に係るもの 0.00613
   2 診療所の数は、前年の四月一日現在における当該市町村立の医療法第一条の五第二項に規定する診療所(市町村が組織する組合立の診療所は、当該診療所の所在する市町村立の診療所(当該市町村が当該組合を構成する市町村以外の市町村である場合で総務大臣が承認する場合には、当該組合を構成する市町村のうち都道府県知事が指定する市町村立の診療所)とみなす。)のうち同日現在において休診しているものを除いたもの(以下「市町村立診療所」という。)の数として都道府県知事の申告に基づき総務大臣が調査した数とする。3 診療所病床数は、前年度における医療法第三十条の十三第一項の規定により都道府県知事に報告した市町村立診療所の病床数(以下この表において「診療所最大使用病床数」という。)に、市町村立診療所ごとに次の算式により算定した数を合算した数を加えた数とする。算式
(A-B)×0.3+(B-C)×0.6+(C-D)×0.9
(A-B)、(B-C)又は(C-D)が負数となるときはそれぞれ0とし、CがAよりも小さくないときは(A-B)は0とし、DがA、B又はCのいずれよりも小さくないときは(A-B)、(B-C)及び(C-D)は0とし、C≦D≦Bのときは(B-C)は(B-D)とし、B≦C≦D≦A又はC≦B≦D≦Aのときは(A-B)は(A-D)とし、B≦D≦C≦A又はD≦B≦C≦Aのときは(A-B)は(A-C)とし、(A-B)×0.3、(B-C)×0.6及び(C-D)×0.9に小数点以下の端数があるときは、その端数を四捨五入する。
算式の符号A 4年前の7月1日現在における診療所稼働病床数(診療所病床数は、医療法第三十条の十三第一項の規定により都道府県知事に報告した市町村立診療所の病床数(以下この表において「診療所稼働病床数」という。)B 3年前の7月1日現在における診療所稼働病床数C 前々年度における診療所最大使用病床数D 前年度における診療所最大使用病床数4 簡易水道等給水人口は、前年の三月三十一日現在における市町村公共施設状況調による当該市町村又は当該市町村の組織する組合が経営する簡易水道事業の施設及び飲料水供給施設に係る給水人口に次の算式により算定した数を加えた数とする。算式
A+B×0.9+C×0.7+D×0.5+E×0.3+F×0.1
算式の符号A 「統合水道に係る旧簡易水道区域の給水人口について」(令和4年10月25日付け総財営第69号)において報告された5年前の4月1日から1年前の3月31日までの間に簡易水道事業を統合し有することとなつた統合水道に係る旧簡易水道区域における給水人口B 「統合水道に係る旧簡易水道区域の給水人口について」において報告された6年前の4月1日から5年前の3月31日までの間に簡易水道事業を統合し有することとなつた統合水道に係る旧簡易水道区域における給水人口C 「統合水道に係る旧簡易水道区域の給水人口について」において報告された7年前の4月1日から6年前の3月31日までの間に簡易水道事業を統合し有することとなつた統合水道に係る旧簡易水道区域における給水人口D 「統合水道に係る旧簡易水道区域の給水人口について」において報告された8年前の4月1日から7年前の3月31日までの間に簡易水道事業を統合し有することとなつた統合水道に係る旧簡易水道区域における給水人口E 「統合水道に係る旧簡易水道区域の給水人口について」において報告された9年前の4月1日から8年前の3月31日までの間に簡易水道事業を統合し有することとなつた統合水道に係る旧簡易水道区域における給水人口F 「統合水道に係る旧簡易水道区域の給水人口について」において報告された10年前の4月1日から9年前の3月31日までの間に簡易水道事業を統合し有することとなつた統合水道に係る旧簡易水道区域における給水人口
   5 簡易水道事業債元利償還金は、簡易水道整備事業費(簡易水道未普及解消緊急対策事業費を含む。)の財源に充てるため平成三年度から平成十一年度までの各年度において発行を許可された地方債(当該年度の六月一日以降に借り入れた地方債を除く。)の当該年度における元利償還金(千円未満の端数があるときは、その端数を四捨五入する。)に四分の一を乗じて得た額(千円未満の端数があるときは、その端数を四捨五入する。)に簡易水道未普及解消緊急対策事業費の財源に充てるため平成十一年度以前に発行を許可された地方債(当該年度の六月一日以降に借り入れた地方債を除く。)の当該年度における元利償還金(千円未満の端数があるときは、その端数を四捨五入する。)に六分の一を乗じて得た額(千円未満の端数があるときは、その端数を四捨五入する。)を加えた額とする。この場合において、市町村が組織する組合に係る当該元利償還金は、当該元利償還金を当該組合を構成する市町村の長が協議して定め総務大臣が承認した率(協議が成立しないときは、総務大臣が定める率)により按分したものをそれぞれの市町村の元利償還金とみなす。6 平成十二年度から令和四年度までの各年度分の簡易水道事業債同意等額は、簡易水道整備事業費(簡易水道未普及解消緊急対策事業費を含む。)の財源に充てるため平成十二年度及び平成十三年度に発行を許可された地方債の額に相当する額に四分の一を乗じて得た額並びに平成十四年度から平成二十二年度までの各年度に発行について同意又は許可を得た地方債の額に相当する額に四十分の九を乗じて得た額(千円未満の端数があるときは、その端数を四捨五入する。)に簡易水道未普及解消緊急対策事業費の財源に充てるため平成十二年度に発行を許可された地方債の額に相当する額に六分の一を乗じて得た額(千円未満の端数があるときは、その端数を四捨五入する。)並びに簡易水道事業に係る地方公営企業法の財務規定等の適用に要する経費に充てるため平成二十七年度から令和二年度までの各年度において発行について同意又は許可を得た地方債の額に相当する額に二分の一を乗じて得た額並びに令和三年度及び令和四年度において発行について同意又は許可を得た地方債の額に相当する額に二十分の十一を乗じて得た額を加えた額とする。この場合において、市町村が組織する組合に係る当該地方債の同意等額は、当該同意等額を当該組合を構成する地方団体の長が協議して定め、総務大臣が承認した率(協議が成立しないときは、総務大臣が定める率)により按分したものをそれぞれの地方団体の同意等額とみなす。7 高料金対策簡易水道資本費は、次の(1)及び(2)の規定の全てに該当する簡易水道事業(「公営企業の経営に当たっての留意事項について」(平成二十六年八月二十九日付け総財公第百七号、総財営第七十三号、総財準第八十三号)に基づく「「経営戦略」策定の定義」を満たす経営戦略(以下「経営戦略」という。)を策定した事業であり、かつ、国勢調査令によつて調査した平成二十二年十月一日現在における人口が三万人以上の市町村(構成市町村の人口合計が三万人以上の地方自治法第二百八十四条第一項に規定する一部事務組合及び広域連合を含む。)が行う事業にあつては、地方公営企業法第二条第三項の規定により同法の規定の全部又は一部を適用している事業として総務大臣が調査した事業に限る。以下「高料金対策簡易水道事業」という。)について総務大臣が調査した前々年度の三月三十一日現在の当該簡易水道事業の有収水量一立方メートル当たりの資本費の額とする。(1) 総務大臣が調査した当該簡易水道事業の有収水量一立方メートル当たりの資本費の額が一五三円以上であること。(2) 総務大臣が調査した当該簡易水道事業の有収水量一立方メートル当たりの供給単価が一八一円以上であること。8 高料金対策簡易水道有収水量は、高料金対策簡易水道事業について総務大臣が調査した前々年度の三月三十一日現在の当該高料金対策簡易水道事業の有収水量とする。
   9 市町村立等病院病床数は、前年の七月一日現在における当該市町村立の医療法第一条の五第一項に規定する病院(地方公営企業法第二条第二項の財務規定等の適用があるもの又は当該市町村若しくは当該市町村が構成団体である一部事務組合が地方独立行政法人法第六条第三項に規定する設立団体である同法第八十一条の公営企業型地方独立行政法人(以下この表において「市町村公営企業型地方独立行政法人」という。)の経営するものに限る。以下この表において「市町村立病院」という。)の結核病床、精神病床及び感染症病床の許可病床数並びに前年の四月一日現在における一般病床及び療養病床の施設全体の最大使用病床数を合算した数に、市町村立病院ごとに次の算式により算定した数を合算した数を加えた数とし、市町村立等病院特例病床数は、六年前の三月三十一日から一年前の三月三十一日までの間の病床数の減少数として総務大臣が調査した数とする。この場合において、市町村が組織する組合立の病院(都道府県、市町村及び一部事務組合が地方独立行政法人法第六条第三項に規定する設立団体である同法第八十一条の公営企業型地方独立行政法人の経営する病院を含む。)の病床数は、当該病床数を当該組合を構成する市町村の長が協議して定め、総務大臣が承認した率(協議が成立しないときは、総務大臣が定める率)により按分したものをそれぞれの市町村立の病院の病床数(総務大臣が承認する場合には、当該組合を構成する市町村のうち都道府県知事が指定する市町村立の病院の病床数)とみなし、都道府県及び市町村が組織する組合立の病院(都道府県、市町村及び一部事務組合が地方独立行政法人法第六条第三項に規定する設立団体である同法第八十一条の公営企業型地方独立行政法人の経営する病院を含む。)の病床数は、当該病床数を当該組合を構成する都道府県の知事及び市町村の長が協議して定め、総務大臣が承認した率(協議が成立しないときは、総務大臣が定める率)により按分したものをそれぞれの都道府県立及び市町村立の病院の病床数(都道府県知事の申告がある場合には、当該申告に基づき総務大臣が指定した都道府県立又は市町村立の病院の総務大臣が調査した病床数)とみなす。算式
(A-B)×0.3+(B-C)×0.6+(C-D)×0.9
(A-B)、(B-C)又は(C-D)が負数となるときはそれぞれ0とし、CがAよりも小さくないときは(A-B)は0とし、DがA、B又はCのいずれよりも小さくないときは(A-B)、(B-C)及び(C-D)は0とし、C≦D≦Bのときは(B-C)は(B-D)とし、B≦C≦D≦A又はC≦B≦D≦Aのときは(A-B)は(A-D)とし、B≦D≦C≦A又はD≦B≦C≦Aのときは(A-B)は(A-C)とし、(A-B)×0.3、(B-C)×0.6及び(C-D)×0.9に小数点以下の端数があるときは、その端数を四捨五入する。
算式の符号A 4年前の7月1日現在における一般病床及び療養病床の稼働病床数B 3年前の7月1日現在における一般病床及び療養病床の稼働病床数(ただし、当該市町村立病院が医療法第1条の5第2項に規定する診療所に転換した場合は、当該診療所の病床数)C 前々年度における一般病床及び療養病床の施設全体の最大使用病床数(ただし、当該市町村立病院が医療法第1条の5第2項に規定する診療所に転換した場合は、当該診療所の病床数)D 前年度における一般病床及び療養病床の施設全体の最大使用病床数(ただし、当該市町村立病院が医療法第1条の5第2項に規定する診療所に転換した場合は、当該診療所の病床数)10 市町村立大学附属病院病床数は、前年の七月一日現在における当該市町村立の大学に附属する医療法第一条の五第一項に規定する病院(以下この表において「市町村立大学附属病院」という。)の結核病床、精神病床及び感染症病床の許可病床数並びに前年度における一般病床及び療養病床の施設全体の最大使用病床数を合算した数に、市町村立大学附属病院ごとに次の算式により算定した数を合算した数を加えた数とする。算式
(A-B)×0.3+(B-C)×0.6+(C-D)×0.9
(A-B)、(B-C)又は(C-D)が負数となるときはそれぞれ0とし、CがAよりも小さくないときは(A-B)は0とし、DがA、B又はCのいずれよりも小さくないときは(A-B)、(B-C)及び(C-D)は0とし、C≦D≦Bのときは(B-C)は(B-D)とし、B≦C≦D≦A又はC≦B≦D≦Aのときは(A-B)は(A-D)とし、B≦D≦C≦A又はD≦B≦C≦Aのときは(A-B)は(A-C)とし、(A-B)×0.3、(B-C)×0.6及び(C-D)×0.9に小数点以下の端数があるときは、その端数を四捨五入する。
算式の符号A 4年前の7月1日現在における一般病床及び療養病床の稼働病床数B 3年前の7月1日現在における一般病床及び療養病床の稼働病床数C 前々年度における一般病床及び療養病床の施設全体の最大使用病床数D 前年度における一般病床及び療養病床の施設全体の最大使用病床数11 市町村立リハビリ病院病床数は、前年の七月一日現在における当該市町村立のリハビリ病院(医療法第一条の五第一項に規定する病院のうちその病床が主として同法第七条第二項第五号に規定する一般病床である病院で主として理学療法又は作業療法を行う病院をいい、市町村立病院を除く。以下この表において「市町村立リハビリ病院」という。)の結核病床、精神病床及び感染症病床の許可病床数並びに前年度における一般病床及び療養病床の施設全体の最大使用病床数を合算した数に、市町村立リハビリ病院ごとに次の算式により算定した数を合算した数を加えた数とする。算式
(A-B)×0.3+(B-C)×0.6+(C-D)×0.9
(A-B)、(B-C)又は(C-D)が負数となるときはそれぞれ0とし、CがAよりも小さくないときは(A-B)は0とし、DがA、B又はCのいずれよりも小さくないときは(A-B)、(B-C)及び(C-D)は0とし、C≦D≦Bのときは(B-C)は(B-D)とし、B≦C≦D≦A又はC≦B≦D≦Aのときは(A-B)は(A-D)とし、B≦D≦C≦A又はD≦B≦C≦Aのときは(A-B)は(A-C)とし、(A-B)×0.3、(B-C)×0.6及び(C-D)×0.9に小数点以下の端数があるときは、その端数を四捨五入する。
算式の符号A 4年前の7月1日現在における一般病床及び療養病床の稼働病床数B 3年前の7月1日現在における一般病床及び療養病床の稼働病床数C 前々年度における一般病床及び療養病床の施設全体の最大使用病床数D 前年度における一般病床及び療養病床の施設全体の最大使用病床数12 市町村立等病院事業債元利償還金は、令和三年度繰出基準に該当するもののうち医療法第一条の五第一項に規定する病院及び同条第二項に規定する診療所の建設又は改良に要する経費(当該経費に充てることができる病院事業の経営に伴う収入の額を超える部分に限る。)に充てるため平成三年度から平成十四年度までの各年度において発行を許可された地方債(当該年度の六月一日以降に借り入れた地方債を除く。)の当該年度における元利償還金(千円未満の端数があるときは、その端数を四捨五入する。)に三分の二を乗じて得た額(千円未満の端数があるときは、その端数を四捨五入する。)並びに令和四年度繰出基準に該当するもののうち災害拠点病院が災害時における救急医療のために行う施設(通常の診療に必要な施設を上回る施設)の整備に要する経費に充てるため平成十三年度及び平成十四年度に発行を許可された地方債(当該年度の六月一日以降に借り入れた地方債を除く。)の当該年度における元利償還金(千円未満の端数があるときは、その端数を四捨五入する。)に三分の一を乗じて得た額(千円未満の端数があるときは、その端数を四捨五入する。)の合算額とする。この場合において、地方団体が組織する組合に係る当該元利償還金は、当該元利償還金を当該組合を構成する地方団体の長が協議して定め、総務大臣が承認した率(協議が成立しないときは総務大臣が定める率)により按分したものをそれぞれの地方団体の元利償還金とみなす。13 平成十五年度から令和四年度までの各年度分の市町村立等病院事業債同意等額は、令和四年度繰出基準に該当するもののうち医療法第一条の五第一項に規定する病院及び同条第二項に規定する診療所の建設又は改良に要する経費に充てるため平成十五年度から令和四年度までの各年度において発行について同意又は許可を得た地方債(再生可能エネルギー発電設備の設置に係る経費に充てるため発行について同意又は許可を得た地方債及び平成二十八年度から令和三年度までの各年度において発行について同意又は許可を得た地方債のうち当該都道府県の定める地域医療構想との整合性に係る当該都道府県の意見に基づき適当と認められないものとして総務大臣が通知したものを除く。)の額に相当する額(千円未満の端数があるときは、その端数を四捨五入する。)に三分の二(平成十三年度以前からの継続事業、平成十四年度からの継続事業及び特別分(「公立病院に係る財政措置の取扱いについて」(平成二十七年四月十日付け総財準第六十一号)第1 3(1)の再編・ネットワーク化に係る公立病院の施設・設備の整備をいう。以下この13において同じ。)に係る事業以外の事業にあつては二分の一)を乗じて得た額(千円未満の端数があるときは、その端数を四捨五入する。)、令和四年度繰出基準に該当するもののうち災害拠点病院が災害時における救急医療のために行う施設(通常の診療に必要な施設を上回る施設)整備に要する経費に充てるため平成十五年度から令和四年度までの各年度において発行について同意又は許可を得た地方債(再生可能エネルギー発電設備の設置に係る経費に充てるため発行について同意又は許可を得た地方債及び平成二十八年度から令和四年度までの各年度において発行について同意又は許可を得た地方債のうち当該都道府県の定める地域医療構想との整合性に係る当該都道府県の意見に基づき適当と認められないものとして総務大臣が通知したものを除く。)の額に相当する額(千円未満の端数があるときは、その端数を四捨五入する。)に三分の一(平成十三年度以前からの継続事業及び平成十四年度からの継続事業以外の事業にあつては二分の一)を乗じて得た額(千円未満の端数があるときは、その端数を四捨五入する。)若しくは令和四年度繰出基準に該当するもののうち災害時医療施設(「災害時の医療確保に必要な公立病院の施設整備に係る財政措置の取扱いについて」(平成二十一年四月一日付け総財経第七十号)において定める対象医療施設であつて、通常の診療に必要な施設を上回るものをいう。)の整備に要する経費に充てるため平成二十一年度から令和四年度までの各年度において発行について同意又は許可を得た地方債(再生可能エネルギー発電設備の設置に係る経費に充てるため発行について同意又は許可を得た地方債及び平成二十八年度から令和四年度までの各年度において発行について同意又は許可を得た地方債のうち当該都道府県の定める地域医療構想との整合性に係る当該都道府県の意見に基づき適当と認められないものとして総務大臣が通知したものを除く。)の額に相当する額(千円未満の端数があるときは、その端数を四捨五入する。なお、令和三年度以前に発行について同意又は許可を得た地方債にあつては、当該額に二分の一(特別分に係る事業にあつては三分の一)を乗じて得た額(千円未満の端数があるときは、その端数を四捨五入する。)とする。)の合算額(医療施設整備事業分のうち、平成二十一年度から平成二十五年度までに同意又は許可を得た地方債については建築単価が一平方メートルあたり三十万円を上回る額を、平成二十六年度から令和二年度までの各年度に同意又は許可を得た地方債については建築単価が一平方メートルあたり三十六万円を上回る額、令和三年度に同意又は許可を得た地方債については建築単価が一平方メートルあたり四十万円を上回る額、令和四年度に同意又は許可を得た地方債については建築単価が一平方メートルあたり四十七万円を上回る額を除く。)とする。この場合において、地方団体が組織する組合に係る当該地方債の同意等額は、当該同意等額を当該組合を構成する地方団体の長が協議して定め、総務大臣が承認した率(協議が成立しないときは、総務大臣が定める率)により按分したものをそれぞれの地方団体の同意等額とみなす。14 市町村立大学附属病院事業債元利償還金は、「繰出金等について」によつて報告のあつた当該市町村立の大学に附属する医療法第一条の五第一項に規定する病院の建設又は改良に要する経費に充てるため平成五年度から平成十四年度までの各年度において発行を許可された地方債(用地、職員宿舎、看護師宿舎及び大学の用に供する研究・研修部門に係るもの並びに当該年度の六月一日以降に借り入れた地方債を除く。)の当該年度における元利償還金(千円未満の端数があるときは、その端数を四捨五入する。)とする。
   15 平成十五年度から令和四年度までの各年度分の市町村立大学附属病院事業債同意等額は、「繰出金等について」によつて報告のあつた当該市町村立の大学に附属する医療法第一条の五第一項に規定する病院の建設又は改良に要する経費に充てるため平成十五年度から令和三年度までの各年度において発行について同意又は許可を得た地方債(用地、職員宿舎、看護師宿舎、大学の用に供する研究・研修部門及び再生可能エネルギー発電設備の設置に係るもの並びに当該年度の六月一日以降に借り入れた地方債を除く。)の額に相当する額(医療施設整備事業分のうち、平成二十一年度から平成二十五年度までに同意又は許可を得た地方債については建築単価が一平方メートル当たり三十万円を上回る額、平成二十六年度から令和二年度までの各年度に同意又は許可を得た地方債については建築単価が一平方メートル当たり三十六万円を上回る額、令和三年度に同意又は許可を得た地方債については建築単価が一平方メートルあたり四十万円を上回る額、令和四年度に同意又は許可を得た地方債については建築単価が一平方メートルあたり四十七万円を上回る額を除き、千円未満の端数があるときは、その端数を四捨五入する。)とする。16 病院事業一般会計出資債同意等額は、令和三年度繰出基準に該当するもののうち医療法第三十一条に規定する公的医療機関の再編等に伴う建設又は改良に要する経費であつて通常の建設又は改良に要する部分を超えるものに充てるため平成二十年度から令和三年度までの各年度において発行について同意又は許可を得た地方債(再生可能エネルギー発電設備の設置に係る経費に充てるため発行について同意又は許可を得た地方債を除く。)の額に相当する額(千円未満の端数があるときは、その端数を四捨五入する。)とする。この場合において、地方団体が組織する組合に係る当該地方債の同意等額は、当該同意等額を当該組合を構成する地方団体の長が協議して定め、総務大臣が承認した率(協議が成立しないときは、総務大臣が定める率)により按分したものをそれぞれの地方団体の同意等額とみなす。17 救急告示病院数は、前年の七月一日における救急病院等を定める省令第二条第一項の規定により告示された市町村の経営する病院(市町村公営企業型地方独立行政法人の経営するものを含む。)の数とする。この場合において、市町村が組織する組合立の救急告示病院(都道府県及び市町村が地方独立行政法人法第六条第三項に規定する設立団体である同法第八十一条の公営企業型地方独立行政法人の経営する病院を含む。)は、当該組合を構成するいずれかの市町村の経営する救急告示病院とみなし、都道府県及び市町村が組織する組合立の救急告示病院(都道府県及び市町村が同法第六条第三項に規定する設立団体である同法第八十一条の公営企業型地方独立行政法人の経営する救急告示病院を含む。)は、当該組合を構成する都道府県の知事及び市町村の長が協議して定め、総務大臣が承認したいずれかの都道府県及び市町村の経営する救急告示病院とみなす。18 救急告示等病床数は、前年の七月一日における17に規定する病院の救急告示病院病床数又は救命救急センター病床数(その数が三十を超える場合にあつては、三十)を合算した数とする。この場合において、市町村が組織する組合立の救急告示病院(都道府県及び市町村が地方独立行政法人法第六条第三項に規定する設立団体である同法第八十一条の公営企業型地方独立行政法人の経営する救急告示病院を含む。)の救急告示等病床数は、当該病床数を当該組合を構成する市町村の長が協議して定め、総務大臣が承認した率(協議が成立しないときは、総務大臣が定める率)により按分したものをそれぞれの市町村立の救急告示等病床数(総務大臣が承認する場合には、当該組合を構成する市町村のうち都道府県知事が指定する市町村立の救急告示等病床数)とみなし、都道府県及び市町村が組織する組合立の救急告示病院(都道府県及び市町村が同法第六条第三項に規定する設立団体である同法第八十一条の公営企業型地方独立行政法人の経営する救急告示病院を含む。)の救急告示等病床数は、当該病床数を当該組合を構成する都道府県の知事及び市町村の長が協議して定め、総務大臣が承認した率(協議が成立しないときは、総務大臣が定める率)により按分したものをそれぞれの都道府県及び市町村の救急告示等病床数(都道府県知事の申告がある場合には、当該申告に基づき総務大臣が指定した都道府県又は市町村の救急告示病院の総務大臣が調査した救急告示等病床数)とみなす。19 上水道の高料金対策に係る繰出基準額は、「令和五年度の地方公営企業繰出金について(通知)」(令和五年四月三日付け総財公第二十八号)第1、6(2)イ(ア)に該当する繰出基準額として次の算式により得られる額として総務大臣が調査した額(千円未満の端数があるときは、その端数を四捨五入する。)とする。算式
(A-148)×B
算式の符号A 次の(1)から(3)までの規定の全てに該当する高料金対策上水道事業(経営戦略を策定した事業として総務大臣が調査した事業に限る。以下「高料金対策上水道事業」という。)について総務大臣が調査した前々年度の3月31日現在の当該高料金対策上水道事業の有収水量1立方メートル当たりの資本費(1) 総務大臣が調査した当該上水道事業の有収水量1立方メートル当たりの資本費の額が148円以上であること。(2) 総務大臣が調査した当該上水道事業の有収水量1立方メートル当たりの給水原価が244円以上であること。(3) 総務大臣が調査した当該上水道事業(東日本大震災に対処するための特別の財政援助及び助成に関する法律(平成23年法律第40号)第2条第2項に規定する特定被災地方公共団体のうち浪江町及び特定被災地方公共団体が加入する地方自治法第284条第1項に規定する一部事務組合又は広域連合のうち双葉地方水道企業団が実施する上水道事業を除く。)の有収水量1立方メートル当たりの供給単価が181円以上であること。B 高料金対策上水道事業について総務大臣が調査した前々年度の3月31日現在の当該高料金対策上水道事業の有収水量20 上水道水源開発元利償還金は、国庫の補助金を受けて施行する上水道水源開発施設整備事業に係る経費に充てるため昭和四十二年度から平成元年度までの各年度において発行を許可された地方債の許可額のうち国庫の補助金の額の算定の基礎となつた額の三十分の七(昭和五十五年度以前の年度において発行を許可された地方債に係る事業及び繰出基準に基づき一般会計から出資が行われることとされた事業以外の事業にあつては、三分の一)に相当する額に係る当該年度における元利償還金(建設仮勘定に係るものを除く。千円未満の端数があるときは、その端数を四捨五入する。)とする。この場合において、地方団体が組織する組合に係る当該元利償還金は、当該元利償還金を当該組合を構成する地方団体の長が協議して定め、総務大臣が承認した率(協議が成立しないときは、総務大臣が定める率)により按分したものをそれぞれの地方団体の元利償還金とみなす。
   21 独立行政法人水資源機構負担金は、独立行政法人水資源機構法第二十五条の規定により当該年度中に当該市町村が支払う割賦負担金の額(建設仮勘定に係るものを除く。)に三分の一を乗じて得た額(千円未満の端数があるときは、その端数を四捨五入する。)とする。この場合において、地方団体が組織する組合に係る当該負担金は、当該負担金を当該組合を構成する地方団体の長が協議して定め、総務大臣が承認した率(協議が成立しないときは、総務大臣が定める率)により按分したものをそれぞれの地方団体の負担金とみなす。22 上水道広域化対策元利償還金は、国庫の補助金を受けて施行する上水道広域化施設整備事業に係る経費に充てるため昭和四十二年度から平成元年度までの各年度において発行を許可された地方債の許可額のうち国庫の補助金の額の算定の基礎となつた額(超過率の適用のあるものにあつては、当該額にそれぞれの超過率を乗じて得た額とする。)の三十分の七(昭和五十五年度以前の年度において発行を許可された地方債に係る事業及び繰出基準に基づき一般会計から出資が行われることとされた事業以外の事業にあつては、三分の一)に相当する額に係る当該年度における元利償還金(建設仮勘定に係るものを除く。千円未満の端数があるときは、その端数を四捨五入する。)とする。この場合において、地方団体が組織する組合に係る当該元利償還金は、当該元利償還金を当該組合を構成する地方団体の長が協議して定め、総務大臣が承認した率(協議が成立しないときは、総務大臣が定める率)により按分したものをそれぞれの地方団体の元利償還金とみなす。23 上水道一般会計出資債元利償還金は、国庫の補助金を受けて施行する上水道施設整備等事業に要する経費のうち、一般会計が上水道事業特別会計に出資する財源に充てるため平成十一年度以前に発行を許可された地方債(当該年度の六月一日以降に借り入れた地方債を除く。)の当該年度における元利償還金(千円未満の端数があるときは、その端数を四捨五入する。)とする。この場合において、地方団体が組織する組合に係る当該元利償還金は、当該元利償還金を当該組合を構成する地方団体の長が協議して定め、総務大臣が承認した率(協議が成立しないときは、総務大臣が定める率)により按分したものをそれぞれの地方団体の元利償還金とみなす。24 平成十二年度から令和四年度までの各年度分の市町村上水道一般会計出資債同意等額は、国庫の補助金を受けて施行する上水道施設整備等事業に要する経費のうち、一般会計が上水道事業特別会計に出資する財源に充てるため平成十二年度から令和四年度までの各年度において発行について同意又は許可を得た地方債(再生可能エネルギー発電設備の設置に係る経費に充てるため発行について同意又は許可を得た地方債を除く。)の額に相当する額(千円未満の端数があるときは、その端数を四捨五入する。)とする。この場合において、地方団体が組織する組合に係る当該地方債の同意等額は、当該同意等額を当該組合を構成する地方団体の長が協議して定め、総務大臣が承認した率(協議が成立しないときは、総務大臣が定める率)により按分したものをそれぞれの地方団体の同意等額とみなす。25 広域化推進事業に係る令和元年度から令和四年度までの各年度分の市町村上水道一般会計出資債同意等額は、広域化推進事業に要する経費のうち、一般会計が上水道事業特別会計に出資する財源に充てるため令和元年度から令和四年度までの各年度において発行について同意又は許可を得た地方債(再生可能エネルギー発電設備の設置に係る経費に充てるため発行について同意又は許可を得た地方債を除く。)の額に相当する額(千円未満の端数があるときは、その端数を四捨五入する。)とする。この場合において、地方団体が組織する組合に係る当該地方債の同意等額は、当該同意等額を当該組合を構成する地方団体の長が協議して定め、総務大臣が承認した率(協議が成立しないときは、総務大臣が定める率)により按分したものをそれぞれの地方団体の同意等額とみなす。26 市町村立看護師等養成所生徒数は、「繰出金等について」によつて報告された当該市町村立看護師養成所及び准看護師養成所の前年の四月一日現在の生徒数と保健師助産師看護師学校養成所指定規則(昭和二十六年文部省・厚生省令第一号)により都道府県知事が指定した当該市町村立保健師養成所及び助産師養成所の前年の四月一日現在の生徒数の合計数とする。
   27 密度補正Ⅱに用いる密度は、次の算式イ、算式ウ、算式エ及び算式オにより算定した数(小数点以下三位未満の端数があるときは、その端数を四捨五入する。)とする。算式イ
1/A×{(0.5+0.5×α)×B×0.467+(0.5+0.5×β)×C×0.319}
算式イの符号A 測定単位の数値B 7(6)割軽減保険料軽減者数に1.75を乗じて得た数、5(4)割軽減保険料軽減者数に1.25を乗じて得た数及び2割軽減保険料軽減者数に0.5を乗じて得た数を合算した数(整数未満の端数があるときは、その端数を四捨五入する。)C 7(6)割軽減保険料軽減世帯数に1.75を乗じて得た数、5(4)割軽減保険料軽減世帯数に1.25を乗じて得た数及び2割軽減保険料軽減世帯数に0.5を乗じて得た数を合算した数(整数未満の端数があるときは、その端数を四捨五入する。)α 次の算式によつて算定した率(小数点以下3位未満の端数があるときは、その端数を四捨五入する。)算式
に整数未満の端数があるときは、その端数を四捨五入する。
算式の符号a 減額した被保険者均等割額計b 符号Bに同じ。β 次の算式によつて算定した率(小数点以下3位未満の端数があるときは、その端数を四捨五入する。)算式
に整数未満の端数があるときは、その端数を四捨五入する。
算式の符号c 減額した世帯別平等割額計d 符号Cに同じ。算式ウ
算式ウの符号A 測定単位の数値B 7(6)割軽減保険料軽減者数、5(4)割軽減保険料軽減者数に0.93を乗じて得た数及び2割軽減保険料軽減者数に0.87を乗じて得た数を合算した数(整数未満の端数があるときは、その端数を四捨五入する。)算式エ
算式エの符号A 測定単位の数値B 一般被保険者数算式オ
算式オの符号A 測定単位の数値B 次の算式により算定した数(小数点以下3位未満の端数があるときは、その端数を四捨五入する。)算式
算式の符号α 算式イの符号αに同じ。B' 算式イの符号Bに同じ。β 算式イの符号βに同じ。C' 算式イの符号Cに同じ。C 次の算式により算定した数算式
γが0.61以上のとき γ/0.61
γが0.56以上0.61未満のとき 
γが0.56未満のとき 0算式の符号
γ=保険料軽減世帯数計/一般被保険者世帯等数
D 国民健康保険実態調査により厚生労働大臣に報告した前年度の9月30日現在の当該団体の国民健康保険一般被保険者数(以下この号において「前年度9月30日現在一般被保険者数」という。)のうち60歳以上75歳未満の者の数E 次の算式によつて算定した数(小数点以下3位未満の端数があるときは、その端数を四捨五入する。)算式
0.54≦(a/b)のとき
 
(a/b)<0.43のとき 0
算式の符号a 符号Dに同じ。b 前年度9月30日現在一般被保険者数28 市町村が組織する組合が国民健康保険を行うときは、当該組合に係る七(六)割軽減保険料軽減者数、五(四)割軽減保険料軽減者数、二割軽減保険料軽減者数、七(六)割軽減保険料軽減世帯数、五(四)割軽減保険料軽減世帯数、二割軽減保険料軽減世帯数、減額した被保険者均等割額計及び減額した世帯別平等割額計を当該組合を構成する市町村ごとに分別して26の規定を適用する。
   29 一般被保険者世帯等数は、市町村税課税状況調(国保関係)の「第1表 n―2年度国民健康保険の加入者の状況に関する調」の「(その1基礎課税(賦課)額に係る分」の「被保険者世帯等数」の「計(C)」の欄の数とする。
 十 高齢者保健福祉費六十五歳以上人口1 密度補正に用いる密度は、次の算式ア、算式イ、算式ウ及び算式エにより算定した数(小数点以下三位未満の端数があるときは、その端数を四捨五入する。)とする。算式ア
(B×10)/A
算式アの符号A 測定単位の数値B 養護老人ホーム被措置者数算式イ
算式イの符号A 測定単位の数値B 居宅介護サービス等受給者数C 施設介護サービス受給者数算式ウ
(B×63.556+C×80.460+D×126.722)/A
算式ウの符号A 測定単位の数値B 年間平均利用者数が5人以下である生活支援ハウス施設数C 年間平均利用者数が6人以上10人以下である生活支援ハウス施設数D 年間平均利用者数が11人以上である生活支援ハウス施設数算式エ
B×0.052/A
算式エの符号A 測定単位の数値B 所得段階別第1号被保険者数における、第1段階被保険者数に1.00を乗じて得た数、第2段階被保険者数に1.25を乗じて得た数及び第3段階被保険者数に0.25を乗じて得た数(それぞれについて整数未満の端数があるときは、その端数を四捨五入する。)を合算した数
   2 養護老人ホーム被措置者数は、当該年度の四月一日現在において老人福祉法(昭和三十八年法律第百三十三号)の規定によつて養護老人ホームに入所措置されている者として福祉行政報告例によつて厚生労働省に報告された「第三十三 養護老人ホームの措置人数」のうち当該市町村がその経費を負担したものの実人員数に〇・八四〇〇を乗じて得た数(整数未満の端数があるときは、その端数を四捨五入する。)の合計数とする。3 居宅介護サービス等受給者数は、当該市町村において、介護保険事業状況報告によつて令和五年二月分として厚生労働省に報告された「一般状況(11)居宅介護(介護予防)サービス受給者数」の表側「総数」、表頭「合計」の欄の数値(以下「居宅介護サービス受給者数」という。)及び「一般状況(12)地域密着型(介護予防)サービス受給者数」の表側「総数」、表頭「合計」の欄の数値(以下「地域密着型サービス受給者数」という。)の合計数とする。4 施設介護サービス受給者数は、当該市町村において、介護保険事業状況報告によつて令和五年二月分として厚生労働省に報告された「一般状況(13)施設介護サービス受給者数」の表側「総数」、表頭「合計」の欄の数値とする。5 生活支援ハウス施設数は、当該年度の四月一日現在において、介護保険法(平成九年法律第百二十三号)第八条第七項に規定する通所介護を行うこと又は同条第八項に規定する通所リハビリテーションを行うことが可能な施設に併設又は隣接される居住施設のうち、原則として、六十歳以上の者のうち、一人暮らしの者、夫婦のみの世帯に属する者又は家族による援助を受けることが困難な者であつて、高齢等のため独立して生活することについて困難であると市町村長が認めるもの(以下この号において「利用者」という。)の居住の用に供され、次の各号に掲げる要件を満たす施設(ただし、地方団体が組織する組合が利用者を決定する施設は当該施設の所在する市町村が運営する施設とみなす。)として総務大臣が通知した数とする。一 次の各号に掲げる事業を実施すること。(一) 利用者に対する各種相談、助言及び緊急時の対応(二) 利用者の虚弱化等に伴い、保健医療サービス及び福祉サービスを必要とする場合における利用手続きの援助(三) 利用者と地域住民との交流を図るための各種事業の実施及び交流のための場の提供二 利用者に対するサービス内容を市町村(地方団体が組織する組合を含む。)が決定すること。三 当該年度の四月一日現在において、当該施設の運営に係る条例、規則又は要綱が施行されていること。6 年間平均利用者数は、前年度における施設の延べ利用者数を施設の運営日数で除して得た数(整数未満の端数があるときは、その端数を四捨五入する。)とする。7 第一段階被保険者数は、当該都道府県の区域内の市町村において介護保険事業状況報告(年報)によつて令和二年度分として厚生労働省に報告された「一般状況(4)所得段階別第1号被保険者数(当年度末現在)」の「ア 第1段階」の表側「第1段階」、表頭「年度末現在被保険者数」の欄の数値、第二段階被保険者数は、「イ 第2段階」の表側「第2段階」、表頭「年度末現在被保険者数」の欄の数値、第三段階被保険者数は、「ウ 第3段階」の表側「第3段階」、表頭「年度末現在被保険者数」の欄の数値とする。8 市町村が組織する組合が介護保険を行うときは、当該組合に係る居宅介護サービス受給者数、地域密着型サービス受給者数、施設介護サービス受給者数、第一段階被保険者数、第二段階被保険者数及び第三段階被保険者数を当該組合を構成する市町村ごとに分別して3、4及び7の規定を準用する。
七十五歳以上人口1 密度補正に用いる密度は、次の算式により算定した数(小数点以下三位未満の端数があるときは、その端数を四捨五入する。)とする。算式
(B×0.076)/A
算式の符号A 測定単位の数値B 2割軽減被保険者数に0.4を乗じて得た数、5割軽減被保険者数に1.0を乗じて得た数及び7割軽減被保険者数に1.4を乗じて得た数(それぞれについて整数未満の端数があるときは、その端数を四捨五入する。)を合算した数2 二割軽減被保険者数は、高齢者医療実態調査によつて調査した表「令和4年度市区町村別データ」における表頭「2割軽減」、各市町村に該当する表側部分の数値、五割軽減被保険者数は、表頭「5割軽減」、各市町村に該当する表側部分の数値及び七割軽減被保険者数は、表頭「7割軽減」、各市町村に該当する表側部分の数値とする。
 十一 清掃費人口1 密度補正Ⅱに用いる密度は、入湯税納税義務者数に〇・〇〇三を乗じて得た数(整数未満の端数があるときは、その端数を四捨五入する。)を当該市町村の測定単位の数値で除して得た数(小数点以下三位未満の端数があるときは、その端数を四捨五入する。)とする。2 入湯税納税義務者数は、令和二年度の市町村税課税状況等の調(以下「市町村税課税状況調」という。)による令和元年度の入湯客数とする。
 十二 農業行政費農家数1 密度補正Ⅰに用いる密度は、次の算式により算定した数(小数点以下四位未満の端数があるときは、その端数を四捨五入する。)とする。算式
(0.0675×α+0.0431×β+0.0061×γ)/A
算式の符号A 測定単位の数値α 田の面積β 畑の面積γ 牧草専用地の面積2 田及び牧草専用地の面積は、農林業センサス規則によつて調査した令和二年二月一日現在における田及び牧草専用地の面積とする。3 畑の面積は、農林業センサス規則によつて調査した令和二年二月一日現在における畑の面積から、牧草専用地の面積を除いた面積に、樹園地の面積を加えた面積とする。4 密度補正Ⅱに用いる密度は、次の算式により算定した数(小数点以下三位未満の端数があるときは、その端数を四捨五入する。)とする。算式
算式の符号A 測定単位の数値α 農道延長5 農道延長は、前年度の八月一日現在において、「農道台帳について」(平成二年三月二十二日付け2構改D第四十六号)に基づき作成された土地改良法に基づく土地改良事業、独立行政法人森林総合研究所法(平成十一年法律第百九十八号)に基づく森林総合研究所事業(同法附則第十一条第一項の規定に基づく事業、独立行政法人緑資源機構法を廃止する法律(平成二十年法律第八号)による廃止前の独立行政法人緑資源機構法(平成十四年法律第百三十号)附則第八条第一項の規定に基づく事業、同法附則第十条の規定による廃止前の緑資源公団法(昭和三十一年法律第八十五号)附則第十三条第一項の規定に基づく事業、森林開発公団法の一部を改正する法律(平成十一年法律第七十号)附則第八条の規定による廃止前の農用地整備公団法(昭和四十九年法律第四十三号)第十九条第一項及び附則第十九条第一項の規定に基づく事業並びに農用地開発公団法の一部を改正する法律(昭和六十三年法律第四十四号)による改正前の農用地開発公団法第十九条の規定に基づく事業を含む。)又はふるさと農道緊急整備事業(「ふるさと農道緊急整備事業について」(平成五年一月二十日付け5構改D第三十二号、自治調第一号)によつて採択された事業をいう。以下同じ。)により造成された道路(以下この条において農道という。)に係る台帳に記載されている農道のうち、幅員が全区間において四メートル以上であり、かつ、当該農道の起点及び終点が道路法第二条第一項に規定する道路又は農道台帳に記載されている農道で幅員が全区間において四メートル以上であるものと接続しているもので市町村が管理しているもの(市町村有で市町村が農道として管理している農道、国有で土地改良法第九十四条の六の規定に基づき市町村が管理している農道、都道府県有で同法第九十四条の十の規定に基づき市町村が管理している農道及び土地改良区有で同法第九十六条の四の規定に基づき土地改良区から申し出のあつた農道で農道管理委託協定書が締結されている等委託関係が明らかなものをいう。)の延長とする。
 十三 林野水産行政費林業及び水産業の従業者数1 密度補正Ⅰに用いる密度は、次の算式により算定した数(小数点以下三位未満の端数があるときは、その端数を四捨五入する。)とする。算式
(B×0.048)/A
算式の符号A 測定単位の数値B 市町村又は財産区の所有する森林の面積2 市町村又は財産区の所有する森林の面積は、農林業センサス規則によつて調査した令和二年二月一日現在における市町村の所有する森林の面積と財産区の所有する森林の面積との合計数とする。3 密度補正Ⅱに用いる密度は、次の算式により算定した数(小数点以下三位未満の端数があるときは、その端数を四捨五入する。)とする。算式
算式の符号A 測定単位の数値B 公有及び私有の林野面積4 公有及び私有の林野面積は、農林業センサス規則によつて調査した令和二年二月一日現在における民有林野の面積とする。5 密度補正Ⅲに用いる密度は次の算式により算定した数(小数点以下三位未満の端数があるときは、その端数を四捨五入する。)とする。算式
(B×3,132+C×144,606+D×105)/(471,000×A)
算式の符号A 測定単位の数値B 次の算式により算定した数(整数未満の端数があるときは、その端数を四捨五入する。以下「市町村譲与基準面積」という。)算式
a×b
算式の符号a 私有林人工林面積b 森林環境税法施行規則第1条の2の表上欄に掲げる市町村の区分ごとに、それぞれ同表下欄に掲げる率C 市町村の森林環境譲与税の譲与の基準となる林業従業者数D 市町村の森林環境譲与税の譲与の基準となる人口6 市町村の森林環境譲与税の譲与の基準となる林業従業者数(以下「市町村譲与基準従業者数」という。)は、森林環境税法第二十八条第一項及び森林環境税法施行規則第二条第一項に規定する各市町村において林業に就業する者の数とする。ただし、森林環境税法施行規則附則第四条第一項の規定の適用を受ける市町村については、当該規定による数とする。7 市町村の森林環境譲与税の譲与の基準となる人口(以下「市町村譲与基準人口」という。)は、森林環境税法第二十八条第一項及び森林環境税法施行規則第三条に規定する各市町村の人口とする。ただし、森林環境税法施行規則附則第五条第一項の規定の適用を受ける市町村については、当該規定による人口とする。
 十四 地域振興費人口1 密度補正Ⅰに用いる密度は、次の算式によつて算定した数を当該市町村の人口で除して得た数(小数点以下三位未満の端数があるときは、その端数を四捨五入する。)とする。算式
A×38.506+(B×3,563.2+C×459.8)×α
算式の符号A 地位協定第1条に規定する合衆国軍隊の構成員、軍属及び家族で当該市町村に居住するものの数として総務大臣が通知した数B 地位協定第2条第1項に規定する施設及び区域に係る土地の面積として総務大臣が通知した数C 自衛隊法第2条第1項に規定する自衛隊の用に供する土地の面積として総務大臣が通知した数α BとCとの合計数を第5条第1項の表第2号1の面積で除して得た数(小数点以下3位未満の端数があるときは、その端数を四捨五入する。)が0.300未満の場合は1.0、0.300以上0.400未満の場合は1.1、0.400以上0.500未満の場合は1.2、0.500以上0.600未満の場合は1.3、0.600以上0.700未満の場合は1.5、0.700以上0.800未満の場合は2.0、0.800以上の場合は3.02 密度補正Ⅲに用いる密度は、次の算式により算定した数(小数点以下三位未満の端数があるときは、その端数を四捨五入する。)とする。算式
算式の符号A 測定単位の数値B 当該市町村が語学指導等を行う外国青年招致事業の実施のため採用した外国青年の数並びに外国自治体との自治体間交流及び外国自治体等との各種分野における交流に基づいて招致した外国籍職員の数の合計数として総務大臣が調査した数
2前項の規定によつて密度補正に用いる密度を算定する場合において、地方団体の廃置分合又は境界変更があり、かつ、当該密度の算定の基礎となる数値(測定単位の数値であるものを除く。)が、当該地方団体が当該年度の四月一日現在における区域(以下この項において「算定期日における区域」という。)と異なる区域をもつて存在する日若しくは当該地方団体が存在しない日又はこれらの日を含む期間(以下この項において「調査日等」と総称する。)における数値によることとされているときは、特別の定めがある場合のほか、当該地方団体の当該数値は、当該地方団体が調査日等において算定期日における区域をもつて存在していたものと仮定してそれぞれの規定により算定した数値とする。ただし、総務大臣が当該境界変更に係る区域の面積及び人口が著しく少ないこと等特別の事情があると認めるときは、本文の規定を適用しないことができる。
3「下水道費」及び「特別支援学校費」に係る密度補正係数は、それぞれ当該測定単位に係る密度に一を加えた率とする。
4「消防費」の密度補正Ⅰ係数は、人口密度に別表第一に定めるそれぞれの率を乗じて得た数の合計数を当該率を乗ずる前の人口密度で除して得た率とし、密度補正Ⅱ係数は、当該測定単位に係る密度補正Ⅱの密度に一を加えた率とし、密度補正Ⅲ係数は、当該測定単位に係る密度補正Ⅲの密度に一を加えた率とする。
5都道府県の「その他の土木費」に係る密度補正Ⅰ係数は、人口密度に別表第一に定めるそれぞれの率を乗じて得た数の合計数を当該率を乗じる前の人口密度で除して得た率とし、密度補正Ⅱ係数は、当該測定単位に係る密度から〇・〇八〇を控除した数に一を加えた率とする。
6市町村の「その他の土木費」に係る密度補正係数は、当該測定単位に係る密度から〇・〇七七を控除した数に一を加えた率とする。
7市町村の「小学校費」の密度補正係数は、当該測定単位に係る密度補正Ⅰの密度及び当該測定単位に係る密度補正Ⅱの密度から〇・〇五〇を控除して得た率とを合算した率に一を加えた率とする。
8市町村の「中学校費」の密度補正係数は、当該測定単位に係る密度補正Ⅰの密度及び当該測定単位に係る密度補正Ⅱの密度から〇・〇九八を控除して得た率とを合算した率に一を加えた率とする。
9都道府県の「その他の教育費」に係る密度補正Ⅰ係数は、人口密度に別表第一に定めるそれぞれの率を乗じて得た数の合計数を当該率を乗ずる前の人口密度で除して得た率とし、密度補正Ⅱ係数は、当該測定単位に係る算式アに係る密度補正Ⅱの密度から〇・三〇七を控除した数、当該測定単位に係る算式イに係る密度補正Ⅱの密度から〇・〇八四を控除した数及び当該測定単位に係る算式ウに係る密度補正Ⅱの密度から〇・〇九一を控除した数を合算した率に一を加えた率とする。
10市町村の「その他の教育費」に係る密度補正Ⅰ係数は、人口密度に別表第一に定めるそれぞれの率を乗じて得た数の合計数を当該率を乗ずる前の人口密度で除して得た率とし、密度補正Ⅱ係数は、当該測定単位に係る算式アに係る密度補正Ⅱの密度、当該測定単位に係る算式イに係る密度補正Ⅱの密度、当該測定単位に係る算式ウに係る密度補正Ⅱの密度から〇・〇五一を控除した数及び当該測定単位に係る算式エに係る密度補正Ⅱの密度から〇・〇〇八を控除した数を合算した率に一を加えた率とし、密度補正Ⅲ係数は、当該測定単位に係る算式に係る密度補正Ⅲの密度から〇・一八八を控除した数に一を加えた率とし、密度補正Ⅳ係数は、人口密度に別表第一に定めるそれぞれの率を乗じて得た数の合計数を当該率を乗ずる前の人口密度で除して得た率とする。
11都道府県の「生活保護費」に係る密度補正係数は、当該測定単位に係る算式アに係る密度補正の密度に別表第二の五に定めるそれぞれの率を乗じて得た率(小数点以下三位未満の端数があるときは、その端数を四捨五入する。)から四・九六七を控除した数に〇・一五五を乗じて得た率(小数点以下三位未満の端数があるときは、その端数を四捨五入する。)に算式イに係る密度補正の密度から一・四六一を控除した数に〇・〇六九を乗じて得た率(小数点以下三位未満の端数があるときは、その端数を四捨五入する。)を加えた率に一を加えた率とする。
12市町村の「生活保護費」に係る密度補正係数は、当該測定単位に係る算式アに係る密度補正の密度に別表第一に定めるそれぞれの率を乗じて得た率(小数点以下三位未満の端数があるときは、その端数を四捨五入する。)から四・九六六を控除した数に〇・一五五を乗じて得た率(小数点以下三位未満の端数があるときは、その端数を四捨五入する。)に算式イに係る密度補正の密度から一・四六一を控除した数に〇・〇八四を乗じて得た率(小数点以下三位未満の端数があるときは、その端数を四捨五入する。)を加えた率に一を加えた率とする。
13都道府県の「社会福祉費」に係る密度補正係数は、当該測定単位に係る算式ア(1)に係る密度補正の密度から〇・一一九を控除した数、当該測定単位に係る算式ア(2)に係る密度補正の密度から〇・〇八二を控除した数、当該測定単位に係る算式イに係る密度補正の密度から〇・一三三を控除した数、当該測定単位に係る算式ウに係る密度補正の密度から〇・〇一五を控除した数、当該測定単位に係る算式エ(1)に係る密度補正の密度から〇・〇五八を控除した数、算式エ(2)に係る密度補正の密度から〇・二五三を控除した数、算式エ(3)に係る密度補正の密度から〇・〇四一を控除した数、算式オに係る密度補正の密度から〇・〇二〇を控除した数、算式カに係る密度補正の密度から〇・〇〇五を控除した数及び算式キに係る密度補正の密度から〇・〇〇六を控除した数を合算した率に一を加えた率とする。
14市町村の「社会福祉費」に係る密度補正係数は、当該測定単位に係る算式ア(1)に係る密度補正の密度から〇・一七八を控除した数に〇・五五四を乗じて得た数(小数点以下三位未満の端数があるときは、その端数を四捨五入する。)、当該測定単位に係る算式ア(2)に係る密度補正の密度から〇・三五三を控除した数に〇・二五四を乗じて得た数(小数点以下三位未満の端数があるときは、その端数を四捨五入する。)、当該測定単位に係る算式イ(1)に係る密度補正の密度から〇・六二二を控除した数に〇・一三九を乗じて得た数(小数点以下三位未満の端数があるときは、その端数を四捨五入する。)、当該測定単位に係る算式イ(2)に係る密度補正の密度から〇・九四二を控除した数に〇・〇六三を乗じて得た数(小数点以下三位未満の端数があるときは、その端数を四捨五入する。)、当該測定単位に係る算式ウに係る密度補正の密度から〇・〇四七を控除した数に〇・五五三を乗じて得た数(小数点以下三位未満の端数があるときは、その端数を四捨五入する。)、当該測定単位に係る算式エに係る密度補正の密度から〇・〇九六を控除した数、当該測定単位に係る算式オに係る密度補正の密度から市(福祉事務所設置町村を含む。)にあつては〇・〇四五を控除した数、当該測定単位に係る算式カ(1)に係る密度補正の密度から〇・〇四二を控除した数、算式カ(2)に係る密度補正の密度から〇・一八三を控除した数、算式カ(3)に係る密度補正の密度から〇・〇三〇を控除した数、算式キに係る密度補正の密度から〇・〇一五を控除した数及び算式クに係る密度補正の密度から〇・三九五を控除した数に〇・〇一一を乗じて得た数(小数点以下三位未満の端数があるときは、その端数を四捨五入する。)を合算した率に一を加えた率とする。
15「衛生費」に係る密度補正Ⅰ係数は、当該都道府県の人口(指定都市、中核市、特別区及び保健所設置市(以下この項において「保健所設置市等」という。)を包括する都道府県にあつては、当該都道府県の人口から保健所設置市等の区域に係る人口を控除した数)を当該都道府県の面積(保健所設置市等を包括する都道府県にあつては、当該都道府県の面積から保健所設置市等の区域に係る面積を控除した数)で除して得た数(表示単位未満の端数があるときは、その端数を四捨五入する。以下この項及び別表第一において「保健所設置市等以外の区域に係る人口密度」という。)に別表第一に定めるそれぞれの率を乗じて得た数の合計数を当該率を乗ずる前の保健所設置市等以外の区域に係る人口密度で除して得た率とし、密度補正Ⅱ係数は、当該測定単位に係る算式アに係る密度補正の密度から〇・〇四六を控除した数に算式イに係る密度補正の密度を合計した数に一を加えた率とし、密度補正Ⅲ係数は、当該測定単位に係る算式ウに係る密度補正Ⅲの密度から〇・一六九を控除して得た数、当該測定単位に係る算式エに係る密度補正Ⅲの密度から〇・〇三五を控除した数、当該測定単位に係る算式オに係る密度補正Ⅲの密度から〇・〇五三を控除した数及び当該測定単位に係る算式カに係る密度補正Ⅲの密度から〇・三一一を控除した数とを合算した率に一を加えた率とする。
16「保健衛生費」に係る密度補正Ⅰ係数は、当該測定単位に係る算式アに係る密度補正の密度から〇・〇〇四九を控除して得た数(小数点以下三位未満の端数があるときは、その端数を四捨五入する。)に一を加えた率とし、密度補正Ⅱ係数は、当該測定単位に係る算式イに係る密度補正Ⅱの密度から〇・一〇一を控除した数、当該測定単位に係る算式ウに係る密度補正Ⅱの密度から〇・〇六四を控除した数、当該測定単位に係る算式エに係る密度補正Ⅱの密度から〇・〇九四を控除した数及び当該測定単位に係る算式オに係る密度補正Ⅱの密度とを合算した率に一を加えた率とする。
17都道府県の「高齢者保健福祉費」のうち、六十五歳以上人口を測定単位とするものに係る密度補正係数は、当該測定単位に係る算式アに係る密度補正の密度から〇・八七〇を控除した数及び当該測定単位に係る算式イに係る密度補正の密度から〇・〇一九を控除した数とを合算した率に一を加えた率とし、七十五歳以上人口を測定単位とするものに係る密度補正係数は、当該測定単位に係る算式に係る密度補正の密度から〇・一五三を控除した率に一を加えた率とする。
18市町村の「高齢者保健福祉費」のうち、六十五歳以上人口を測定単位とするものに係る密度補正係数は、当該測定単位に係る算式アに係る密度補正の密度から〇・〇一二を控除した数に、四・〇四二を乗じて得た数(小数点以下三位未満の端数があるときは、その端数を四捨五入する。)、当該測定単位に係る算式イに係る密度補正の密度から〇・六六〇を控除した数、当該測定単位に係る算式ウに係る密度補正の数及び当該測定単位に係る算式エに係る密度補正の密度から〇・〇一六を控除した数とを合算した率に一を加えた率とし、七十五歳以上人口を測定単位とするものに係る密度補正係数は、当該測定単位に係る算式に係る密度補正の密度から〇・〇五八を控除した率に一を加えた率とする。
19「清掃費」の密度補正Ⅰ係数は、人口密度に別表第一に定めるそれぞれの率を乗じて得た数の合計数を当該率を乗ずる前の人口密度で除して得た率とし、密度補正Ⅱ係数は、当該測定単位に係る密度補正Ⅱの密度に一を加えた率とする。
20都道府県の「農業行政費」に係る密度補正Ⅱ係数は、当該測定単位に係る密度補正Ⅱの密度から〇・〇五七五を控除して得た率(小数点以下三位未満の端数があるときは、その端数を四捨五入する。)に一を加えた率とし、密度補正Ⅲ係数は、当該測定単位に係る密度補正Ⅲの密度から〇・〇七二六を控除して得た率(小数点以下三位未満の端数があるときは、その端数を四捨五入する。)に一を加えた率とし、密度補正Ⅳ係数は、当該測定単位に係る密度補正Ⅳの密度から〇・〇四〇〇を控除して得た率(小数点以下三位未満の端数があるときは、その端数を四捨五入する。)に一を加えた率とする。
21市町村の「農業行政費」に係る密度補正Ⅰ係数は、当該測定単位に係る密度補正Ⅰの密度から〇・〇九三三を控除して得た率(小数点以下三位未満の端数があるときは、その端数を四捨五入する。)に一を加えた率とし、密度補正Ⅱ係数は、当該測定単位に係る密度補正Ⅱの密度に一を加えた率とする。
22都道府県の「林野行政費」に係る密度補正係数は、当該測定単位に係る密度補正の密度から〇・七四九を控除して得た率(小数点以下三位未満の端数があるときは、その端数を四捨五入する。)に一を加えた率とする。
23市町村の「林野水産行政費」に係る密度補正Ⅰ係数は、当該測定単位に係る密度補正Ⅰの密度から〇・一〇一に当該年度の普通態容補正Ⅰ係数、普通態容補正Ⅱ係数、経常態容補正係数及び寒冷補正係数を乗じて得た数(小数点以下三位未満の端数があるときは、その端数を四捨五入する。)を控除した数に〇・四を乗じて得た率(小数点以下三位未満の端数があるときは、その端数を四捨五入する。)に一を加えた率とし、密度補正Ⅱ係数は、当該測定単位に係る密度補正Ⅱの密度から〇・〇五一に当該年度の普通態容補正Ⅰ係数、普通態容補正Ⅱ係数、経常態容補正係数及び寒冷補正係数を乗じて得た数(小数点以下三位未満の端数があるときは、その端数を四捨五入する。)を控除した数に一を加えた率とし、密度補正Ⅲ係数は、当該測定単位に係る密度補正Ⅲの密度から〇・三六一に当該年度の普通態容補正Ⅰ係数、普通態容補正Ⅱ係数、経常態容補正係数及び寒冷補正係数を乗じて得た数(小数点以下三位未満の端数があるときは、その端数を四捨五入する。)を控除した数に一を加えた率とする。
24市町村の「徴税費」に係る密度補正係数は、人口密度に別表第一に定めるそれぞれの率を乗じて得た数の合計数を当該率を乗ずる前の人口密度で除して得た率とする。
25「戸籍住民基本台帳費」に係る密度補正係数は、人口密度に別表第一に定めるそれぞれの率を乗じて得た数の合計数を当該率を乗ずる前の人口密度で除して得た率とする。
26都道府県の「地域振興費」に係る密度補正Ⅰ係数は、当該測定単位に係る密度補正Ⅰの密度に一を加えた率とする。
27市町村の「地域振興費」のうち人口を測定単位とするものに係る密度補正Ⅰ係数及び密度補正Ⅲ係数は、当該測定単位に係る密度補正Ⅰ係数の密度及び密度補正Ⅲ係数の密度に一を加えた率とし、密度補正Ⅱ係数は、人口密度に別表第一に定めるそれぞれの率を乗じて得た数の合計数を当該率を乗ずる前の人口密度で除して得た率とする。

(普通態容補正係数の算定方法)

第十条都道府県の「道路橋りよう費」のうち道路の面積を測定単位とするものに係る普通態容補正係数は、当該都道府県庁の所在する市の地域手当の級地に係る別表第一に定める率とする。
2都道府県の「小学校費」、「中学校費」及び「高等学校費」のうち教職員数を測定単位とするものの普通態容補正係数は、当該都道府県の区域内の市(「小学校費」及び「中学校費」にあつては、指定都市を除く。以下この項において同じ。)町村の地域手当の級地につき別表第一に定める率を当該区域内の当該地域手当の級地ごとの市町村の人口に乗じて得た数(整数未満の端数があるときは、その端数を四捨五入する。)の合計数を当該都道府県の人口(「小学校費」及び「中学校費」にあつては、当該都道府県の区域内の指定都市の人口を除く。)で除して得た率(小数点以下三位未満の端数があるときは、その端数を四捨五入する。)(「中学校費」にあつては当該率に第一号の規定により算定した率を乗じて得た率(小数点以下三位未満の端数があるときは、その端数を四捨五入する。)とし、「高等学校費」のうち教職員数を測定単位とするものにあつては当該率に第二号の規定により算定した率を乗じて得た率(小数点以下三位未満の端数があるときは、その端数を四捨五入する。)とする。)とする。ただし、当該率が一・〇〇〇に満たないときは、一・〇〇〇とする。
一次の算式により算定した率(小数点以下三位未満の端数があるときは、その端数を四捨五入する。)
算式
B/A+1
算式の符号
A 測定単位の数値
B 当該年度の5月1日現在における当該都道府県の設置する中学校(特定公立国際教育学校等(国家戦略特別区域法(平成25年法律第107号)第12条の3第3項第3号に規定する特定公立国際教育学校等をいう。以下同じ。)に該当するものに限る。)及び中等教育学校(特定公立国際教育学校等に該当するものに限る。次号において同じ。)の前期課程について、公立義務教育諸学校の学級編制及び教職員定数の標準に関する法律第6条の2及び第8条の2の規定の例により算定した教職員の総数の標準となる数と同法第3条第1項及び第4条第2項並びに公立義務教育諸学校の学級編制及び教職員定数の標準に関する法律施行令第1条に規定する学級編制の標準により編制した場合における学級数を基礎として同法第7条第1項、第8条及び第9条の規定の例により算定した教職員の総数の標準となる数とを合算した数として文部科学大臣が調査した数
二次の算式により算定した率(小数点以下三位未満の端数があるときは、その端数を四捨五入する。)
算式
B/A+1
算式の符号
A 測定単位の数値
B 当該年度の5月1日現在における当該都道府県の設置する高等学校(特定公立国際教育学校等に該当するものに限る。)及び中等教育学校の後期課程について、公立高等学校の適正配置及び教職員定数の標準等に関する法律第8条、第9条第1項、第10条から第12条まで並びに第22条第1号及び第2号(公立高等学校の適正配置及び教職員定数の標準等に関する法律施行令第2条第2項の表の一の項(普通教育に関する科目及び専門教育に関する科目を生徒の選択によることを旨として総合的に履修させる学科を除く。)に限る。)の規定の例により算定した教職員の総数の標準となる数として文部科学大臣が調査した数
3都道府県の「その他の教育費」のうち人口を測定単位とするものに係る普通態容補正係数は、当該都道府県の区域内の指定都市、中核市及びその他の市町村の区域に係る人口に別表第一に定めるそれぞれの率を乗じて得た数(整数未満の端数があるときは、その端数を四捨五入する。)を合算して得た数を当該都道府県の人口で除して得た率(小数点以下三位未満の端数があるときは、その端数を四捨五入する。)とする。
4都道府県の「社会福祉費」に係る普通態容補正係数は、当該都道府県の区域内の指定都市、児童相談所設置中核市、その他の中核市、福祉事務所設置町村並びに指定都市、児童相談所設置中核市、その他の中核市及び福祉事務所設置町村以外の市町村の区域に係る人口に別表第一に定めるそれぞれの率を乗じて得た数(整数未満の端数があるときは、その端数を四捨五入する。)を合算して得た数を当該都道府県の人口で除して得た率(小数点以下三位未満の端数があるときは、その端数を四捨五入する。)とする。
5都道府県の「衛生費」に係る普通態容補正係数は、当該都道府県の区域内の指定都市、中核市、特別区及び保健所設置市並びにその他の市町村の区域に係る人口に別表第一に定めるそれぞれの率を乗じて得た数(整数未満の端数があるときは、その端数を四捨五入する。)を合算して得た数を当該都道府県の人口で除して得た率(小数点以下三位未満の端数があるときは、その端数を四捨五入する。)とする。
6都道府県の「高齢者保健福祉費」のうち六十五歳以上人口を測定単位とするものに係る普通態容補正係数は、当該都道府県の区域内の指定都市、中核市及びその他の市町村の区域に係る人口に別表第一に定めるそれぞれの率を乗じて得た数(整数未満の端数があるときは、その端数を四捨五入する。)を合算して得た数を当該都道府県の人口で除して得た率(小数点以下三位未満の端数があるときは、その端数を四捨五入する。)とする。
7都道府県の「商工行政費」に係る普通態容補正係数は、当該都道府県の区域内の中小企業支援市及び中小企業支援市の区域以外の区域に係る人口に別表第一に定めるそれぞれの率を乗じて得た数(整数未満の端数があるときは、その端数を四捨五入する。)を合算して得た数を当該都道府県の人口で除して得た率(小数点以下三位未満の端数があるときは、その端数を四捨五入する。)とする。
8都道府県の「地域振興費」に係る普通態容補正Ⅰ係数は、当該都道府県の区域内の市町村の地域手当の級地につき別表第一のAに定める率を当該区域内の当該地域手当の級地ごとの市町村の人口に乗じて得た数(整数未満の端数があるときは、その端数を四捨五入する。)の合計数を当該都道府県の人口で除して得た率(小数点以下三位未満の端数があるときは、その端数を四捨五入する。)並びに当該都道府県庁の所在する市の地域手当の級地に係る別表第一のBに定める率に一、七〇〇、〇〇〇を当該都道府県の人口で除して得た数(小数点以下三位未満の端数があるときは、その端数を四捨五入する。)及び当該都道府県の面積を六、五〇〇で除して得た数(小数点以下三位未満の端数があるときは、その端数を四捨五入する。)(四・〇〇〇を超えるときは、四・〇〇〇とする。)を乗じて得た率(小数点以下三位未満の端数があるときは、その端数を四捨五入する。)を合算した率に、当該都道府県の人口密度が五、〇〇〇人以上のものにあつては当該人口密度を一、〇〇〇で除して得た数に一・二〇九を乗じて得た率(小数点以下五位未満の端数があるときは、その端数を四捨五入する。)から六・三二一九八を控除して得た率を、その他の都道府県にあつては一・〇〇を乗じて得た率とする。ただし、当該率が一・〇〇〇に満たないときは、一・〇〇〇とする。
9都道府県の「地域振興費」のうち人口を測定単位とするものに係る普通態容補正Ⅱ係数は、次の各号に定めるところにより算出した率を合算して得た率とする。
一当該都道府県の区域内の各市町村について次の算式Ⅰによつて算定した指数(小数点以下二位未満の端数があるときは、その端数を四捨五入する。)につき別表第一に定める乗率Aを当該区域内の指数ごとの市町村の人口に乗じて得た数値(整数未満の端数があるときは、その端数を四捨五入する。)を合算した数値を当該都道府県の区域内の市町村の人口を合計した数で除して得た率(小数点以下三位未満の端数があるときは、その端数を四捨五入する。)に次の算式Ⅱによつて算定した率を乗じて得た率(小数点以下三位未満の端数があるときは、その端数を四捨五入する。)
算式Ⅰ
(A×4+B×8+C×12+D×16+E×20+F×25+G)/H
算式Ⅰの符号
A へき地教育振興法施行規則(昭和34年文部省令第21号)第3条第2項又は第3項の規定に基づき指定されたへき地学校に準ずる小学校及び中学校並びに中等教育学校の前期課程に在勤する教職員の数
B 当該市町村立の1級の小学校若しくは中学校又は中等教育学校の前期課程に在勤する教職員の数
C 当該市町村立の2級の小学校若しくは中学校又は中等教育学校の前期課程に在勤する教職員の数
D 当該市町村立の3級の小学校若しくは中学校又は中等教育学校の前期課程に在勤する教職員の数
E 当該市町村立の4級の小学校若しくは中学校又は中等教育学校の前期課程に在勤する教職員の数
F 当該市町村立の5級の小学校若しくは中学校又は中等教育学校の前期課程に在勤する教職員の数
G 当該市町村立の無級の小学校若しくは中学校又は中等教育学校の前期課程に在勤する教職員の数
H 当該市町村立の小学校若しくは中学校又は中等教育学校の前期課程に在勤する教職員の合計数
算式Ⅱ
{(A-B)×0.5}/B+1
{(A-B)×0.5}/Bに小数点以下3位未満の端数があるときは、その端数を四捨五入する。
算式Ⅱの符号
A 算式Ⅰによつて算定した指数が4以上の市町村の国勢調査令によつて調査した平成27年10月1日現在における人口を合算した数
B 算式Ⅰによつて算定した指数が4以上の市町村の国勢調査令によつて調査した令和2年10月1日現在における人口を合算した数
二当該都道府県の区域内の各市町村について前号の算式Ⅰによつて算定した指数(小数点以下二位未満の端数があるときは、その端数を四捨五入する。)につき別表第一に定める乗数Bを当該区域内の指数ごとの市町村の人口(五〇、〇〇〇人を超える場合にあつては、五〇、〇〇〇人とする。以下この号において同じ。)に乗じて得た数値を合算した数値を当該都道府県の人口に〇・五四三を乗じて得た数で除して得た率(小数点以下三位未満の端数があるときは、その端数を四捨五入する。)に次の算式によつて算定した率を乗じて得た率(小数点以下三位未満の端数があるときは、その端数を四捨五入する。)
算式
{(A-B)×0.5}/B+1
{(A-B)×0.5}/Bに小数点以下3位未満の端数があるときは、その端数を四捨五入する。
算式の符号
A 当該都道府県内の区域内の各市町村(離島振興法(昭和28年法律第72号)、奄美群島振興開発特別措置法(昭和29年法律第189号。以下「奄美振興法」という。)若しくは小笠原諸島振興開発特別措置法(昭和44年法律第79号)の適用を受ける市町村又は沖縄振興特別措置法(平成14年法律第14号)第3条第3号に規定する離島に係る市町村に限る。以下この号において同じ。)の国勢調査令によつて調査した平成27年10月1日現在における人口を合算した数
B 当該都道府県内の区域内の各市町村の国勢調査令によつて調査した令和2年10月1日現在における人口を合算した数
10前項第一号の算式Ⅰの符号において、級別は、へき地教育振興法(昭和二十九年法律第百四十三号)第五条の二の規定によつて条例で指定された令和四年四月一日現在における級別によるものとする。ただし、へき地教育振興法施行規則に規定する基準を満たすものに限る。
11第九項第一号の算式Ⅰの符号において、教職員数は、学校基本調査規則によつて調査した令和四年五月一日現在における教職員数で市町村立学校職員給与負担法(昭和二十三年法律第百三十五号)第一条の規定によつて都道府県が給与を負担する者に係る数とする。
12第九項第一号の算式Ⅰの符号において、市町村が組織する組合立の学校に在勤する教職員の数は、当該組合を組織する市町村に居住する児童数又は生徒数で按分し、当該按分した数(整数未満の端数があるときは、その端数を四捨五入する。)を関係市町村の教職員数とする。この場合において、級別は、当該学校の級別による。
13市町村の経費に係る普通態容補正係数(「その他教育費」及び「社会福祉費」にあつては、普通態容補正Ⅰ係数)は、次項から第二十二項までに定めるもののほか、第一号及び第二号の規定により算定した率を合算した率(「地域振興費」に係る普通態容補正係数にあつては当該合算した率に一を加えた率)とする。ただし、次項から第二十二項までの規定による率又は当該合算した率が一・〇〇〇に満たないときは、一・〇〇〇(「社会福祉費」に係る町村の普通態容補正Ⅰ係数にあつては、〇・九一六に満たないときは、〇・九一六)とする。
一当該市町村の評点(次条第一項第一号の規定により算定した市町村の種地に係る点数の合計数をいう。以下同じ。)に別表第一(種地)のAに定める率を乗じて得た率と同表第一(種地)のBに定める率とを合算した率(同表の注において別に定められた率がある場合にあつては、当該定められた率とする。)
二当該市町村の地域手当の級地につき別表第一(給与差等)に定める率
14「下水道費」に係る人口集中地区人口を有しない市町村の普通態容補正係数については、前項ただし書の規定は適用しない。
15市町村の「港湾費」、「小学校費」及び「中学校費」に係る普通態容補正係数並びに「高等学校費」のうち教職員数を測定単位とするもの、「農業行政費」及び「林野水産行政費」に係る普通態容補正Ⅰ係数は、当該市町村の地域手当の級地につき、別表第一(給与差等)に定める率とする。
16市町村の「高等学校費」のうち教職員数を測定単位とするものに係る普通態容補正Ⅱ係数は、次の算式により算定した率(小数点以下三位未満の端数があるときは、その端数を四捨五入する。)とする。
算式
B/A+1
算式の符号
A 測定単位の数値
B 当該年度の5月1日現在における当該指定都市の設置する高等学校(特定公立国際教育学校等に該当するものに限る。)及び中等教育学校(特定公立国際教育学校等に該当するものに限る。)の後期課程について、公立高等学校の適正配置及び教職員定数の標準等に関する法律第8条、第9条第1項、第10条から第12条まで並びに第22条第1号及び第2号(公立高等学校の適正配置及び教職員定数の標準等に関する法律施行令第2条第2項の表の一の項(普通教育に関する科目及び専門教育に関する科目を生徒の選択によることを旨として総合的に履修させる学科を除く。)に限る。)の規定の例により算定した教職員の総数の標準となる数として文部科学大臣が調査した数
17市町村の「その他の教育費」のうち人口を測定単位とするものに係る普通態容補正Ⅱ係数は、次の算式により算定した率(小数点以下三位未満の端数があるときは、その端数を四捨五入する。)とする。
算式
5,710円×Aに千円未満の端数があるときは、その端数を四捨五入する。
算式の符号
A 測定単位の数値
B 次の算式によつて算定した額
算式
6,325千円×b1×{(b2×b3)+b4}
(b2×b3)に小数点以下3位未満の端数があるときは、その端数を四捨五入し、b1×{(b2×b3)+b4}に整数未満の端数があるときは、その端数を四捨五入する。
算式の符号
b1 当該年度の5月1日現在における当該指定都市の設置する小学校及び義務教育学校の前期課程について、公立義務教育諸学校の学級編制及び教職員定数の標準に関する法律第3条第1項及び第4条第2項並びに公立義務教育諸学校の学級編制及び教職員定数の標準に関する法律施行令第1条に規定する学級編制の標準により編制した場合における学級数を基礎として同法第6条の規定によつて算定した教職員の総数の標準となる数として総務大臣が調査した数
b2 当該指定都市の地域手当の級地につき別表第一(給与差等)に定める普通態容補正Ⅱの率
b3 次の算式によつて算定した率(小数点以下3位未満の端数があるときは、その端数を四捨五入する。)
算式
(α-1)×0.895+1
算式の符号
α 前年度の5月1日現在において、当該指定都市の設置する小学校、中学校、義務教育学校又は中等教育学校の前期課程(以下この項において「当該指定都市立の小中学校等」という。)について義務教育費国庫負担法第2条ただし書及び第3条ただし書の規定に基づき教職員の給与及び報酬等に要する経費の国庫負担額の最高限度を定める政令(平成16年政令第157号。以下「限度政令」という。)第2条第2項に規定する指定都市算定総額から同条第2項第5号に規定する給料の調整額等のうち地域手当及び寒冷地手当として算定した額の総額を除いて得た額を当該指定都市立の小中学校等における限度政令第1条第13号、第15号及び第17号に掲げる数の合算数で除して得た額を12で除して得た額(円未満の端数があるときは、その端数を四捨五入する。)を前年度の5月1日現在において、全国の市町村立の小学校、中学校、義務教育学校若しくは中等教育学校の前期課程又は都道府県立の併設型中学校若しくは中等教育学校の前期課程(以下この項において「全国の小中学校等」という。)について限度政令第2条第1項に規定する都道府県算定総額から同条第1項第5号に規定する地域手当及び寒冷地手当として算定した額の総額を除いて得た額と限度政令第2条第2項に規定する指定都市算定総額から同条第2項第5号に規定する給料の調整額等のうち地域手当及び寒冷地手当として算定した額の総額を除いて得た額との合算額を全国の小中学校等における限度政令第1条第5号、第7号、第9号、第13号、第15号及び第17号に掲げる数の合算数で除して得た額を12で除して得た額(円未満の端数があるときは、その端数を四捨五入する。)で除して得た数(小数点以下3位未満の端数があるときは、その端数を四捨五入する。)
b4 札幌市にあつては0.009、その他の指定都市にあつては0.000
C 次の算式によつて算定した額
算式
6,210千円×c1×{(c2×c3)+c4}
(c2×c3)に小数点以下3位未満の端数があるときは、その端数を四捨五入し、c1×{(c2×c3)+c4}に整数未満の端数があるときは、その端数を四捨五入する。
算式の符号
c1 当該年度の5月1日現在における当該指定都市の設置する中学校、義務教育学校の後期課程及び中等教育学校の前期課程について、公立義務教育諸学校の学級編制及び教職員定数の標準に関する法律第3条第1項及び第4条第2項並びに公立義務教育諸学校の学級編制及び教職員定数の標準に関する法律施行令第1条に規定する学級編制の標準により編制した場合における学級数を基礎として同法第6条の規定によつて算定した教職員の総数の標準となる数として総務大臣が調査した数並びに当該年度の5月1日現在における当該指定都市の設置する中学校(特定公立国際教育学校等に該当するものに限る。)及び中等教育学校(特定公立国際教育学校等に該当するものに限る。)の前期課程について、同法第6条の2及び第8条の2の規定の例により算定した教職員の総数の標準となる数と同法第3条第1項及び第4条第2項並びに同令第1条に規定する学級編制の標準により編制した場合における学級数を基礎として同法第7条第1項、第8条及び第9条の規定の例により算定した教職員の総数の標準となる数とを合算した数として文部科学大臣が調査した数の合計数
c2 当該指定都市の地域手当の級地につき別表第一(給与差等)に定める普通態容補正Ⅱの率
c3 次の算式によつて算定した率(小数点以下3位未満の端数があるときは、その端数を四捨五入する。)
算式
(β-1)×0.895+1
算式の符号
β 符号b3の算式の符号αに同じ。
c4 札幌市にあつては0.010、その他の指定都市にあつては0.000
D 次の算式によつて算定した額
算式
5,880千円×(d1+d2)×[{d1×(d3×d4)+(d2×1.23)×d3}/(d1+d2)+d5]
d1×(d3×d4)、(d2×1.23)、(d2×1.23)×d3又は(d1+d2)×[{d1×(d3×d4)+(d2×1.23)×d3}/(d1+d2)+d5]に整数未満の端数があるときは、その端数を四捨五入し、(d3×d4)又は{d1×(d3×d4)+(d2×1.23)×d3}/(d1+d2)に小数点以下3位未満の端数があるときは、その端数を四捨五入する。
算式の符号
d1 当該年度の5月1日現在における当該指定都市の設置する特別支援学校の小学部及び中学部について、公立義務教育諸学校の学級編制及び教職員定数の標準に関する法律第3条第1項及び第4条第2項並びに公立義務教育諸学校の学級編制及び教職員定数の標準に関する法律施行令第1条に規定する学級編制の標準により編制した場合における学級数を基礎として同法第10条の規定によつて算定した教職員の総数の標準となる数として総務大臣が調査した数
d2 当該年度の5月1日現在における当該指定都市の設置する特別支援学校の高等部について、公立高等学校の適正配置及び教職員定数の標準等に関する法律第15条の規定によつて算定した教職員の総数の標準となる数として総務大臣が調査した数
d3 当該指定都市の地域手当の級地につき別表第一(給与差等)に定める普通態容補正Ⅱの率
d4 次の算式によつて算定した率(小数点以下3位未満の端数があるときは、その端数を四捨五入する。)
算式
(γ-1)×0.430+1
算式の符号
γ 前年度の5月1日現在において、当該指定都市の設置する特別支援学校の小学部及び中学部について限度政令第2条第2項に規定する指定都市算定総額から同条第2項第5号に規定する給料の調整額等のうち地域手当及び寒冷地手当として算定した額の総額を除いて得た額を当該指定都市の設置する特別支援学校の小学部及び中学部における限度政令第1条第19号に掲げる数で除して得た額を12で除して得た額(円未満の端数があるときは、その端数を四捨五入する。)を前年度の5月1日現在において、全国の公立の特別支援学校の小学部及び中学部について限度政令第2条第1項に規定する都道府県算定総額から同条第1項第5号に規定する地域手当及び寒冷地手当として算定した額の総額を除いて得た額と限度政令第2条第2項に規定する指定都市算定総額から同条第2項第5号に規定する給料の調整額等のうち地域手当及び寒冷地手当として算定した額の総額を除いて得た額との合算額を全国の公立の特別支援学校の小学部及び中学部における限度政令第1条第11号及び第19号に掲げる数の合算数で除して得た額を12で除して得た額(円未満の端数があるときは、その端数を四捨五入する。)で除して得た数(小数点以下3位未満の端数があるときは、その端数を四捨五入する。)
d5 札幌市にあつては0.010、その他の指定都市にあつては0.000
E 次の算式によつて算定した額
算式
1,384千円×e1+4,006千円×e2
算式の符号
e1 学校基本調査規則によつて調査したその年の5月1日現在における当該指定都市の設置する特別支援学校の幼稚部に在学する幼児の数
e2 学校基本調査規則によつて調査したその年の5月1日現在における当該指定都市の設置する特別支援学校の高等部(別科及び専攻科に限る。)に在学する生徒の数
18市町村の「社会福祉費」に係る普通態容補正Ⅱ係数は、次の算式により算定した率(小数点以下三位未満の端数があるときは、その端数を四捨五入する。)とする。
算式
(B×188.693+C×103.534)/A
算式の符号
A 測定単位の数値
B 次の算式により算定した数(整数未満の端数があるときは、その端数を切り上げる。)
算式
(a-b/1,000)/40
(a-b/1,000)が負数となるときは0とする。
算式の符号
a 当該市町村の児童相談所における虐待相談対応件数
b 測定単位の数値
C 前記Bを6で除して得た数(整数未満の端数があるときは、その端数を四捨五入する。)
19市町村の「農業行政費」及び「林野水産行政費」に係る普通態容補正Ⅱ係数は、当該市町村について次条第一項第二号又は第三号の規定によつて定められる級地に係る別表第一に定めるそれぞれの普通態容補正Ⅱの率とする。
20市町村の「地域振興費」のうち人口を測定単位とするものに係る普通態容補正Ⅰ係数は、当該市町村の評点に別表第一のAに定める率を乗じて得た率と同表のBに定める率を合算した率(小数点以下三位未満の端数があるときは、その端数を四捨五入する。)に次の算式により算定した率(小数点以下三位未満の端数があるときは、その端数を四捨五入する。)を加えた率とする。
算式
(α/1.74)×(1/A)×(1/0.7953)×(1/B)
α/1.74に整数未満の端数があるときは、その端数を四捨五入し、(α/1.74)×(1/A)、(α/1.74)×(1/A)×(1/0.7953)又は(α/1.74)×(1/A)×(1/0.7953)×(1/B)に小数点以下3位未満の端数があるときは、その端数を四捨五入する。
算式の符号
A 測定単位の数値
B 当該市町村の段階補正係数
α 次の算式によつて算定した数(連携中枢都市圏構想推進要綱(平成28年4月1日付け総行市第31号)第9の規定に基づき、連携中枢拠点都市とみなされる二つの市にあつては、それぞれの市の人口によつて按分した数とする(整数未満の端数があるときは、その端数を四捨五入する。)。)
算式
a×0.131+100,000
a×0.131
に整数未満の端数があるときは、その端数を四捨五入し、aが0のときは0とする。
算式の符号
a 当該団体における連携中枢都市圏構想推進要綱第6(1)の連携中枢都市圏の圏域人口(第49条において「連携中枢都市圏人口」という。)として総務大臣が調査した数
21市町村の「地域振興費」のうち人口を測定単位とするものに係る普通態容補正Ⅱ係数は、当該市町村の評点に別表第一のAに定める率を乗じて得た率と同表のBに定める率を合算した率(小数点以下三位未満の端数があるときは、その端数を四捨五入する。)とする。
22市町村の「地域振興費」のうち人口を測定単位とするものに係る普通態容補正Ⅲ係数は、次条第一項第四号(一)に掲げる市町村(以下この項において「隔遠地市町村」という。)について次の算式により算定した率(小数点以下三位未満の端数があるときは、その端数を四捨五入する。)に一を加えた率とする。
算式
A×(B/C)×[{(D-C)/C}×0.5+1]+E+{(F×70+G×650)/(C×1.74)}
B/Cが7.50を超えるときは7.50とし、
D-C
が負数となるときは0とし、
(D-C)/C
、
{(D-C)/C}×0.5
又は
(F×70+G×650)/(C×1.74)
に小数点以下3位未満の端数があるときは、その端数を四捨五入する。
算式の符号
A 当該隔遠地市町村について、本土及び離島の区分ごとに次条第1項第4号(二)の規定により定められる級地に係る別表第1に定める級地による補正率
B 当該隔遠地市町村の人口に、別表第1に定める普通態容補正Ⅲの人口段階ごとのそれぞれの級地による補正率を乗じて得た数の合計数
C 当該隔遠地市町村の人口
D 当該隔遠地市町村の国勢調査令によつて調査した平成27年10月1日現在における人口(以下「平成27年人口」という。)
E 当該隔遠地市町村について、本土及び離島の区分ごとに次条第1項第4号(二)の規定により定められる級地に係る別表第1に定める級地による補正率イ
F 当該市町村の区域に属する島しよのうち、当該市町村の事務所(支所及び出張所を除く。)が所在しない島しよ(当該事務所と陸路続きのものを除く。)の人口(以下「島しよ人口」という。)
G 当該市町村の区域に属する島しよの数として総務大臣が通知した数

(普通態容補正に用いる地域区分)

第十一条法第十三条第八項の規定による市町村の種類の区分は、次の各号に定めるところによる。
一行政の質及び量の差による種地に係る地域区分
(一)、(二)及び(三)に定めるところにより、市町村をⅠの地域(一種地から十種地まで)及びⅡの地域(一種地から十種地まで)に区分する。
(一)次の(1)、(2)、(3)及び(4)に定めるところによつて算定した点数の合計数が九五〇点以上となるものをⅠの地域十種地、九〇〇点以上九五〇点未満となるものをⅠの地域九種地、八五〇点以上九〇〇点未満となるものをⅠの地域八種地、七五〇点以上八五〇点未満となるものをⅠの地域七種地、六五〇点以上七五〇点未満となるものをⅠの地域六種地、五五〇点以上六五〇点未満となるものをⅠの地域五種地、四五〇点以上五五〇点未満となるものをⅠの地域四種地、三五〇点以上四五〇点未満となるものをⅠの地域三種地、二〇〇点以上三五〇点未満となるものをⅠの地域二種地、二〇〇点未満となるもののうち市及び国勢調査令によつて調査した令和二年十月一日現在における人口集中地区人口(以下「令和二年人口集中地区人口」という。)を有する町村をⅠの地域一種地とする。
(1)令和二年人口集中地区人口に係る点数
次の表のAの区分欄の各区分に対応する算式欄の算式によつて算定した数(整数未満の端数があるときはその端数を四捨五入し、当該数が七五に満たないときは当該数を七五とし、当該数が六〇〇を超えるときは当該数を六〇〇とする。)
Aの区分算式
3,000以上25,000未満
(A/1,000)×6.9333+4.67
25,000以上50,000未満
(A/1,000)×2.40+118
50,000以上100,000未満
(A/1,000)×1.38+169
100,000以上400,000未満
(A/1,000)×0.43+264
400,000以上900,000未満
(A/1,000)×0.208+352.8
900,000以上
(A/1,000)×0.0286+514.26
A/1,000
に整数未満の端数があるときは、その端数を四捨五入する。
算式の符号A 各市町村の令和2年人口集中地区人口に、当該令和2年人口集中地区人口を各市町村の国勢調査令によつて調査した令和2年10月1日現在における人口(以下「令和2年人口」という。)で除して得た率(小数点以下2位未満の端数があるときは、その端数を四捨五入する。)が0.80未満となる市町村にあつては1.00を、当該率が0.80以上1.00未満となる市町村にあつては1.05を、当該率が1.00となる市町村にあつては1.10をそれぞれ乗じて得た数(整数未満の端数があるときは、その端数を四捨五入する。)
(2)経済構造に係る点数
次の表のBの区分欄の各区分に対応する算式欄の算式によつて算定した数(整数未満の端数があるときはその端数を四捨五入し、当該数が負数となるときは当該数を零とする。)
Bの区分算式
96未満
B×0.98-49.00
96以上
B×1.25-75.00
算式の符号B 経済構造(国勢調査令によつて調査した令和2年10月1日現在における第二次産業就業者数(産業分類別就業者数のうちC鉱業、採石業、砂利採取業、D建設業及びE製造業の数の合計数をいう。)及び第三次産業就業者数(産業分類別就業者数のうちF電気・ガス・熱供給・水道業、G情報通信業、H運輸業、郵便業、I卸売業、小売業、J金融業、保険業、K不動産業、物品賃貸業、L学術研究、専門・技術サービス業、M宿泊業、飲食サービス業、N生活関連サービス業、娯楽業、O教育、学習支援業、P医療、福祉、Q複合サービス事業、Rサービス業(他に分類されないもの)、S公務(他に分類されるものを除く)及びT分類不能の産業の数の合計数をいう。)の合計数を国勢調査令によつて調査した令和2年10月1日現在における第一次産業就業者数(産業分類別就業者数のうちA農業、林業及びB漁業の数の合計数をいう。)、第二次産業就業者数及び第三次産業就業者数の合計数で除して得た数をいう。以下同じ。)に100を乗じて得た数(小数点以下1位未満の端数があるときは、その端数を四捨五入する。)
(3)宅地平均価格指数に係る点数
次の表のCの区分欄の各区分に対応する算式欄の算式によつて算定した数(当該数が五〇を超えるときは、当該数を五〇とする。)
Cの区分算式
100未満
C×0.280
100以上200未満
C×0.070+21
200以上300未満
C×0.090+17
300以上
C×0.040+32
算定の過程に整数未満の端数があるときは、その端数を四捨五入する。算式の符号C 宅地平均価格指数(全宅地の平均価格(令和4年度分の固定資産税に係る概要調書に記載されている宅地の決定価格の総額を宅地の総地積で除して得た数(整数未満の端数があるときは、その端数を四捨五入する。)をいう。以下同じ。)を38,513円で除して得た率に100を乗じて得た数(整数未満の端数があるときは、その端数を四捨五入する。)に、同調書に記載されている宅地の評価総地積が10平方キロメートル以上の市町村で、商工住宅地区の宅地の平均価格(同調書に記載されている商業地区、工業地区及び住宅地区の宅地の決定価格の合計数をこれらの地区の地積の合計数で除して得た数(整数未満の端数があるときは、その端数を四捨五入する。)をいう。以下同じ。)を全宅地の平均価格で除して得た数(小数点以下1位未満の端数があるときは、その端数を四捨五入する。)が1.5以上2.0未満となるものにあつては1.25を、当該除して得た数が2.00以上となるものにあつては1.50を、その他の市町村にあつては1.00をそれぞれ乗じて得た数(整数未満の端数があるときは、その端数を四捨五入する。)をいう。以下同じ。)
(4)昼間流入人口に係る点数
次の表のDの区分欄の各区分に対応する算式欄の算式によつて算定した数(整数未満の端数があるときはその端数を四捨五入し、当該数が負数となるときは当該数を零とし、当該数が三〇〇を超えるときは当該数を三〇〇とする。)
Dの区分算式
1,000人以上6,000人未満
(D/1,000)×17.00+48.00-E
6,000人以上11,000人未満
(D/1,000)×8.00+102.00-E
11,000人以上55,000人未満
(D/1,000)×0.91+179.99-E
55,000人以上110,000人未満
(D/1,000)×0.27+215.15-E
110,000人以上220,000人未満
(D/1,000)×0.23+219.70-E
220,000人以上
(D/1,000)×0.06+256.80-E
D/1,000
に整数未満の端数があるときは、その端数を四捨五入する。
算式の符号D 昼間流入人口(国勢調査令によつて調査され、令和2年国勢調査報告に掲げられた「男女、年齢(5歳階級)、常住地又は従業地・通学地別人口及び昼夜間人口比率」中「常住地又は従業地・通学地」のうち「県内他市町村に常住」の「総数」と「他県に常住」の「総数」との合計数をいう。)の数E 令和2年人口から昼間流出人口(国勢調査令によつて調査され、令和2年国勢調査報告に掲げられた「男女、年齢(5歳階級)、常住地又は従業地・通学地別人口及び昼夜間人口比率」中「常住地又は従業地・通学地」のうち「県内他市町村で従業・通学」の「総数」と「他県で従業・通学」の「総数」との合計数をいう。以下同じ。)を控除し昼間流入人口を加えた数を令和2年人口で除して得た率(小数点以下2位未満の端数があるときは、その端数を四捨五入する。)が1.00未満の市町村にあつては、1.00から当該率を控除した率に167を乗じて得た数(整数未満の端数があるときは、その端数を四捨五入する。)とし、その他の市町村にあつては0とする。
(二)次の(1)、(2)、(3)及び(4)に定めるところによつて算定した点数の合計数が九五〇点以上となるものをⅡの地域十種地、九〇〇点以上九五〇点未満となるものをⅡの地域九種地、八五〇点以上九〇〇点未満となるものをⅡの地域八種地、八〇〇点以上八五〇点未満となるものをⅡの地域七種地、七五〇点以上八〇〇点未満となるものをⅡの地域六種地、七〇〇点以上七五〇点未満となるものをⅡの地域五種地、六〇〇点以上七〇〇点未満となるものをⅡの地域四種地、五〇〇点以上六〇〇点未満となるものをⅡの地域三種地、三五〇点以上五〇〇点未満となるものをⅡの地域二種地、三五〇点未満となるものをⅡの地域一種地とする。
(1)Ⅰの地域からの距離に係る点数
次の表のAの区分欄の各区分に対応する算式欄の算式によつて算定した数(当該数が負数となるときは、当該数を零とする。)
Aの区分算式
200点以上350点未満
30-(B×10-200)×0.35
350点以上650点未満
A×0.0667+7-(B×10-200)×0.35-(B×10-400)×0.70
650点以上950点未満
A×0.6-340-(B×10-200)×0.35-(B×10-400)×0.70
950点以上990点未満
A×1.4-1,100-(B×10-200)×0.35-(B×10-400)×0.70
990点以上
A×1.4-1,100-(B×10-250)×0.42-(B×10-500)×0.79
算定の過程に整数未満の端数があるときはその端数を四捨五入し、
(B×10-200)
、
(B×10-400)
、
(B×10-250)
又は
(B×10-500)
が負数となるときはそれぞれ0とし、
(B×10-200)
が200を超えるときは
(B×10-200)
を200とし、
(B×10-250)
が250を超えるときは
(B×10-250)
を250とする。
算式の符号A Ⅰの地域の点数B 市町村役場の所在地(町村役場が他の市町村の区域内に所在する場合には、当該町村役場は当該町村の区域のうち地方税法第411条の規定により令和4年度分の固定資産税に係る固定資産課税台帳に登録された宅地の3.3平方メートル当たりの価格が最高である地点に所在するものとみなす。以下この表において同じ。)とⅠの地域の市町村の役場(特別区にあつては山手線の駅とし、大阪市にあつては大阪環状線の駅とする。)の所在地との最短距離(最も経済的な通常の経路及び方法により旅行する場合における鉄道(定期バスを含む。)、水路及び陸路による実距離とする。ただし、陸路のみにより旅行する場合にあつては実距離から1キロメートル(当該実距離が1キロメートル未満であるときは、当該実距離)を控除した距離を実距離とみなし、その他の場合にあつては市町村役場の所在地及びⅠの地域の市町村役場の所在地を起点とする陸路区間の実距離からそれぞれ0.5キロメートル(当該実距離が0.5キロメートル未満であるときは、当該実距離)を控除した距離を当該陸路区間の実距離とみなす。区間ごとの実距離に0.1キロメートル未満の端数があるときは、その端数を切り捨てる。)
(2)昼間流出人口比率に係る点数
次の表の昼間流出人口区分欄ごとのCの区分欄の各区分に対応する算式欄の算式によつて算定した数(当該数が負数となるときは当該数を零とし、当該数は、昼間流出人口が一、一〇〇人未満の市町村にあつては二〇〇点、昼間流出人口が一、一〇〇人以上四一、〇〇〇人未満の市町村にあつては二五〇点、昼間流出人口が四一、〇〇〇人以上の市町村にあつては三〇〇点をもつてそれぞれ上限とする。)
昼間流出人口区分Cの区分算式
41,000人未満12未満
C×18.2-118
12以上23未満
C×6.4+23
23以上34未満
C×4.5+67
34以上
C×1.4+172
41,000人以上83,000人未満12未満
C×21.8-142
12以上23未満
C×10.0
23以上34未満
C×2.7+168
34以上
C×1.8+199
83,000人以上12未満
C×21.8-142
12以上23未満
C×14.5-54
23以上34未満
C×1.8+239
34以上300
算定の過程に整数未満の端数があるときは、その端数を四捨五入する。算式の符号C 昼間流出人口比率(昼間流出人口を令和2年人口で除して得た率に100を乗じて得た数(整数未満の端数があるときは、その端数を四捨五入する。))
(3)経済構造に係る点数
次の表のDの区分欄の各区分に対応する算式欄の算式によつて算定した数(整数未満の端数があるときはその端数を四捨五入し、当該数が負数となるときは当該数を零とする。)
Dの区分算式
70未満
D×5.25-262.50
70以上96未満
D×3.19-118.30
96以上
D×3.00-100.00
算式の符号D 経済構造に100を乗じて得た数(小数点以下1位未満の端数があるときは、その端数を四捨五入する。)
(4)宅地平均価格指数に係る点数
次の表のEの区分欄の各区分に対応する算式欄の算式によつて算定した数(当該数が二〇〇を超えるときは、当該数を二〇〇とする。)
Eの区分算式
10未満
E×5.50
10以上110未満
E×0.85+46
110以上220未満
E×0.27+110
220以上330未満
E×0.23+119
330以上
E×0.07+172
算定の過程に整数未満の端数があるときは、その端数を四捨五入する。算式の符号E 宅地平均価格指数
(三)(一)に定めるところによりⅠの地域に該当することとなる市町村にあつては、市町村の普通態容補正係数を算定する場合における市町村の種類の区分は、該当するⅠの地域又はⅡの地域の種地のうち当該市町村の長が選択する種地とする。ただし、当該市町村以外の市町村について(二)の(1)に定めるところにより点数を算定する場合には、当該市町村の長がⅡの地域の種地を選択したときも当該市町村をⅠの地域とみなすことができる。
二農業行政の質及び量の差による級地に係る地域区分
次の(一)及び(二)に定めるところによつて算定した点数の合計数が五〇〇点以上となる市町村について一級地から五級地までに区分し、当該市町村につき、当該合計数が九〇〇点以上となるものを五級地、八〇〇点以上九〇〇点未満となるものを四級地、七〇〇点以上八〇〇点未満となるものを三級地、六〇〇点以上七〇〇点未満となるものを二級地、五〇〇点以上六〇〇点未満となるものを一級地とする。
(一)農業就業者数比率(国勢調査令によつて調査した令和二年十月一日現在における産業分類別就業者数(以下「令和二年産業分類別就業者数」という。)のうちA農業、林業のうち農業に係る就業者数を令和二年産業分類別就業者数の総数で除して得た率(一パーセント未満の端数があるときは、その端数を四捨五入する。)をいう。)
五五パーセント以上の市町村七〇〇点
三五パーセント以上五五パーセント未満の市町村
三五パーセント五〇〇点
三五パーセントを超え五四パーセントまで
一パーセントにつき一〇点
三五パーセント未満の市町村
〇パーセント三二五点
〇パーセントを超え三四パーセントまで
一パーセントにつき五点
(二)耕地比率(令和二年度分の固定資産税に係る概要調書に記載されている田畑の面積に牧場の面積に〇・一を乗じて得た面積を加えた面積を田畑の面積に牧場の面積に〇・一を乗じて得た面積を加えた面積と宅地の面積との合計数で除して得た率(一パーセント未満の端数があるときは、その端数を四捨五入する。)をいう。)
八五パーセント以上の市町村三〇〇点
七〇パーセント以上八五パーセント未満の市町村
七〇パーセント一五〇点
七〇パーセントを超え八四パーセントまで
一パーセントにつき一〇点
四五パーセント以上七〇パーセント未満の市町村
四五パーセント二五点
四五パーセントを超え六九パーセントまで
一パーセントにつき五点
二〇パーセント以上四五パーセント未満の市町村
二〇パーセント〇点
二〇パーセントを超え四四パーセントまで
一パーセントにつき一点
二〇パーセント未満の市町村〇点
三林野行政等の質及び量の差による級地に係る地域区分
次の(一)及び(二)に定めるところによつて算定した点数の合計数が五〇〇点以上となる市町村について一級地から五級地までに区分し、当該市町村につき、当該合計数が、九〇〇点以上となるものを五級地、八〇〇点以上九〇〇点未満となるものを四級地、七〇〇点以上八〇〇点未満となるものを三級地、六〇〇点以上七〇〇点未満となるものを二級地、五〇〇点以上六〇〇点未満となるものを一級地とする。
(一)林業等就業者数比率(令和二年産業分類別就業者数のうちA農業、林業のうち林業及びB漁業の就業者数の合計数を令和二年産業分類別就業者数の総数で除して得た率(一パーセント未満の端数があるときは、その端数を四捨五入する。)をいう。)
二〇パーセント以上の市町村七〇〇点
二〇パーセント未満の市町村
〇パーセント四〇〇点
〇パーセントを超え一九パーセントまで
一パーセントにつき一五点
(二)林野面積比率(農林業センサス規則によつて調査した令和二年二月一日現在における「林野面積」の「合計」の面積(以下「林野面積の総数」という。)を面積(第五条第一項の表中二1の面積をいう。)で除して得た率(一パーセント未満の端数があるときは、その端数を四捨五入する。)をいう。)
八〇パーセント以上の市町村三〇〇点
六〇パーセント以上八〇パーセント未満の市町村
六〇パーセント二〇〇点
六〇パーセントを超え七九パーセントまで
一パーセントにつき五点
四〇パーセント以上六〇パーセント未満の市町村
四〇パーセント一四〇点
四〇パーセントを超え五九パーセントまで
一パーセントにつき三点
四〇パーセント未満の市町村
〇パーセント六〇点
〇パーセントを超え三九パーセントまで
一パーセントにつき二点
四行政の質及び量の差による隔遠地の級地に係る地域区分
次の(一)に掲げる市町村について、次の(二)による級地により区分する。
(一)級地区分を行う市町村
(1)当該市町村役場の所在地(町村役場が他の市町村の区域内に所在する場合には、当該町村役場は当該町村の区域のうち地方税法第四百十一条の規定により平成十九年度分の固定資産課税台帳に登録された宅地の三・三平方メートル当たりの価格が最高である地点にあるものとみなす。)から当該市町村を包括する都道府県の都道府県庁の所在地(以下「県庁所在地」という。)までの距離(最も経済的な経路又は方法により旅行する場合の距離とする。この場合において、距離は、鉄道によることができる区間にあつては鉄道事業法(昭和六十一年法律第九十二号)第十三条に規定する鉄道運送事業者の調に係る鉄道旅客貨物運賃算出表に掲げる路程とし、鉄道によることができない区間にあつては水路については海上保安庁の調に係る距離表による路程の、陸路については実距離のそれぞれ二倍として計算し、一キロメートル未満の端数があるときは、その端数を四捨五入する。以下この号において同じ。)が二〇〇キロメートル以上の市町村
(2)(1)に掲げる市町村以外の市町村で当該市町村の職員が県庁所在地において開かれる一日の会議に出席するために通常二泊三日の旅行を要するものとして総務大臣が指定した市町村
(二)級地区分の方法
(一)に掲げる市町村は、一級地から六級地までに区分し、当該各市町村につき、次に掲げる市町村役場の所在地と県庁所在地との距離、市町村役場の所在地と支庁所在地との距離及び離島事情ごとに次に定めるところによつて算定した点数(一点未満の端数があるときは、その端数を四捨五入する。)の合計数が、八〇〇点以上となるものを六級地、六〇〇点以上八〇〇点未満となるものを五級地、四〇〇点以上六〇〇点未満となるものを四級地、二〇〇点以上四〇〇点未満となるものを三級地、一〇〇点以上二〇〇点未満となるものを二級地、一〇〇点未満となるものを一級地とする。
(1)市町村役場の所在地と県庁所在地との距離
(一)の(1)に掲げる市町村
一、〇〇〇キロメートル以上の市町村
一、〇〇〇キロメートルまで六八〇点
一、〇〇〇キロメートルを超えるもの
一〇キロメートル(一〇キロメートル未満の端数があるときは、その端数を切り捨てる。以下この号において同じ。)につき四点
八〇〇キロメートル以上一、〇〇〇キロメートル未満の市町村
八〇〇キロメートルまで五三〇点
八〇〇キロメートルを超え九九九キロメートルまで
一〇キロメートルにつき四点
六〇〇キロメートル以上八〇〇キロメートル未満の市町村
六〇〇キロメートルまで四〇〇点
六〇〇キロメートルを超え七九九キロメートルまで
一〇キロメートルにつき四点
四〇〇キロメートル以上六〇〇キロメートル未満の市町村
四〇〇キロメートルまで二二〇点
四〇〇キロメートルを超え五九九キロメートルまで
一〇キロメートルにつき四点
二〇〇キロメートル以上四〇〇キロメートル未満の市町村
二〇〇キロメートルまで一〇〇点
二〇〇キロメートルを超え三九九キロメートルまで
一〇キロメートルにつき四点
(一)の(2)に掲げる市町村八〇点
(2)市町村役場の所在地と支庁所在地との距離(市町村役場の所在地と当該市町村を包括する都道府県の直近の支庁若しくは地方事務所又はこれらに類するもの(これらの事務所がない場合には、当該市町村を包括する都道府県の県庁所在地とする。)との距離をいう。)
四〇〇キロメートル以上の市町村二一〇点
二七〇キロメートル以上四〇〇キロメートル未満の市町村一八〇点
二〇〇キロメートル以上二七〇キロメートル未満の市町村一二〇点
一三〇キロメートル以上二〇〇キロメートル未満の市町村九〇点
七〇キロメートル以上一三〇キロメートル未満の市町村三〇点
(3)離島事情(離島に係る市町村((一)に掲げる市町村のうちその区域の一部又は全部につき離島振興法、奄美振興法又は小笠原諸島振興開発特別措置法の適用を受ける市町村(当該市町村役場が当該市町村の区域内でこれらの法律の適用を受けない地域にある市町村を除く。)をいう。)について、平成十九年四月一日現在において当該市町村の区域内に所在する辺地(辺地に係る公共的施設の総合整備のための財政上の特別措置等に関する法律第二条第一項の辺地をいう。以下この号において同じ。)ごとに総務大臣が調査した同日現在の住民基本台帳登載人口を基礎として次の算式によつて算定した点数をいう。)
算式
(A×80+B×120+C×180+D×280+E×340+F×400+G×40)/H
算式の符号
A 当該市町村役場の所在地から当該辺地までの距離等について、辺地に係る公共的施設の総合整備のための財政上の特別措置等に関する法律施行規則(昭和37年自治省令第14号)別表第1の要素7及び別表第2の要素3の例によつて算定した点数の合計点数(以下「交通要素点数」という。)が25点以上50点未満の辺地に係る住民基本台帳登載人口
B 交通要素点数が50点以上75点未満の辺地に係る住民基本台帳登載人口
C 交通要素点数が75点以上100点未満の辺地に係る住民基本台帳登載人口
D 交通要素点数が100点以上125点未満の辺地に係る住民基本台帳登載人口
E 交通要素点数が125点以上150点未満の辺地に係る住民基本台帳登載人口
F 交通要素点数が150点以上の辺地に係る住民基本台帳登載人口
G 当該市町村の住民基本台帳登載人口からA、B、C、D、E及びFの数を控除した数
H 当該市町村の住民基本台帳登載人口
五法令に基づく行政権能等の差による地域区分
「都市計画費」にあつては指定都市、中核市、施行時特例市(地方自治法の一部を改正する法律(平成二十六年法律第四十二号)附則第二条の施行時特例市をいう。以下同じ。)及びその他の市町村、市町村の「その他の土木費」にあつては特別区、宅地造成等規制指定都市(宅地造成及び特定盛土等規制法(昭和三十六年法律第百九十一号)第十条の規定に基づき指定された宅地造成等工事規制区域を包括する指定都市をいう。以下同じ。)、その他の指定都市、宅地造成等規制中核市(宅地造成及び特定盛土等規制法第十条の規定に基づき指定された宅地造成等工事規制区域を包括する中核市をいう。以下同じ。)、その他の中核市、施行時特例市、別表第三の三に掲げる建築主事設置市(建築基準法(昭和二十五年法律第二百一号)第四条第一項又は第二項の規定に基づき建築主事を置く市(特別区、指定都市、中核市及び施行時特例市を除く。)をいう。以下同じ。)、同表に掲げる建築基準法第九十七条の二の規定により建築主事を置く市町村(以下「限定特定行政庁設置市町村」という。)及びその他の市町村、都道府県の「その他の教育費」のうち人口を測定単位とするものにあつては指定都市、中核市及びその他の市町村、市町村の「その他の教育費」のうち人口を測定単位とするものにあつては指定都市、中核市及びその他の市町村、市町村の「生活保護費」にあつては指定都市、中核市及びその他の市(福祉事務所設置町村を含む。)、都道府県の「社会福祉費」にあつては指定都市、児童相談所設置中核市、その他の中核市、福祉事務所設置町村並びに指定都市、児童相談所設置中核市、その他の中核市及び福祉事務所設置町村以外の市町村、市町村の「社会福祉費」にあつては指定都市、児童相談所設置中核市、その他の中核市、指定都市、児童相談所設置中核市及びその他の中核市以外の市(福祉事務所設置町村を含む。)並びにその他の町村、「衛生費」及び「保健衛生費」にあつては特別区及び保健所設置市、指定都市、中核市並びにその他の市町村、都道府県の「高齢者保健福祉費」のうち六十五歳以上人口を測定単位とするものにあつては指定都市、中核市及びその他の市町村、市町村の「高齢者保健福祉費」のうち六十五歳以上人口を測定単位とするものにあつては指定都市、中核市及びその他の市町村、市町村の「商工行政費」にあつては中小企業支援市、計量法施行令(平成五年政令第三百二十九号)第四条に規定する市のうち中小企業支援市以外のもの(以下「計量市」という。)及びその他の市町村とする。
六地域手当の級地による地域区分
別表第三の四の級地欄に掲げる級地に応じた市町村とする。
2前項第一号(一)の(2)若しくは(4)又は(二)の(2)若しくは(3)の場合において、令和二年十月二日以後において市町村の廃置分合又は境界変更があつた場合においては、廃置分合により一の市町村の区域がそのまま他の市町村の区域となつたときは、当該廃置分合後の市町村の産業分類別就業者数、昼間流入人口又は昼間流出人口は、関係市町村の産業分類別就業者数、昼間流入人口又は昼間流出人口を合計した数(ただし、昼間流入人口又は昼間流出人口は、関係市町村間の昼間流入人口又は昼間流出人口を除く。)とし、廃置分合により一の市町村の区域が分割されたとき、又は境界変更が行われたときは、当該廃置分合又は境界変更後の関係市町村の産業分類別就業者数、昼間流入人口又は昼間流出人口は、当該廃置分合前の市町村若しくは当該境界変更により区域を減ずる前の市町村の産業分類別就業者数、昼間流入人口又は昼間流出人口を当該廃置分合に係る区域若しくは境界変更により減ずる区域及びその区域を除いた区域の別にその居住地によつて分別し、若しくはこれらの区域の人口によつて按分した産業分類別就業者数、昼間流入人口又は昼間流出人口(表示単位未満の端数があるときは、その端数を四捨五入する。)とし、又は当該分別し、若しくは按分した産業分類別就業者数、昼間流入人口又は昼間流出人口を境界変更に係る区域が属することとなつた市町村の産業分類別就業者数、昼間流入人口又は昼間流出人口に加えた数とする。
3第一項第一号(一)の(3)又は(二)の(4)の場合において、令和四年一月二日以後において市町村の廃置分合又は境界変更があつた場合においては、当該廃置分合又は境界変更後の市町村の宅地平均価格指数は、当該廃置分合又は境界変更後の市町村が同年一月一日現在において廃置分合又は境界変更後の区域をもつて存在していたものと仮定して総務大臣が定める指数とする。
4第一項第二号(一)及び第三号(一)の場合において、令和二年十月二日以後において市町村の廃置分合又は境界変更があつた場合における関係市町村の令和二年産業分類別就業者数については、第二項の規定を準用する。
5第一項第二号(二)の場合において、令和二年度分の固定資産税に係る概要調書を作成した後において市町村の廃置分合又は境界変更があつた場合における関係市町村の田畑、牧場及び宅地の面積については、第五条第二項第二号の規定を準用する。
6第一項第三号(二)の場合において、令和二年二月一日以後において市町村の廃置分合又は境界変更があつた場合における関係市町村の林野面積の総数については、第五条第二項第二号の規定を準用する。

(経常態容補正係数の算定方法)

第十一条の二都道府県の「小学校費」及び「中学校費」に係る経常態容補正係数は、それぞれ次の算式によつて算定した率とする。
算式
(A-1)×α+1
算式の符号
A 前年度の5月1日現在において、当該都道府県の区域内の市(指定都市を除く。)町村の設置する小学校、中学校、義務教育学校若しくは中等教育学校の前期課程又は当該都道府県立の併設型中学校若しくは中等教育学校の前期課程(以下この項において「当該都道府県の区域内の小中学校等」という。)について限度政令第2条第1項に規定する都道府県算定総額を当該都道府県の区域内の小中学校等における限度政令第1条第5号、第7号及び第9号に掲げる数の合算数で除して得た額を12で除して得た額(円未満の端数があるときは、その端数金額を四捨五入する。)を前年度の5月1日現在において、全国の市町村立の小学校、中学校、義務教育学校若しくは中等教育学校の前期課程又は都道府県立の併設型中学校若しくは中等教育学校の前期課程(以下この項において「全国の小中学校等」という。)について限度政令第2条第1項に規定する都道府県算定総額から同条第1項第5号に規定する地域手当及び寒冷地手当として算定した額の総額を除いて得た額と限度政令第2条第2項に規定する指定都市算定総額から同条第2項第5号に規定する給料の調整額等のうち地域手当及び寒冷地手当として算定した額の総額を除いて得た額との合算額を全国の小中学校等における限度政令第1条第5号、第7号、第9号、第13号、第15号及び第17号に掲げる数の合算数で除して得た額を12で除して得た額(円未満の端数があるときは、その端数金額を四捨五入する。)で除して得た数(小数点以下3位未満の端数があるときは、その端数を四捨五入する。)とする。
α 「小学校費」にあつては0.168、「中学校費」にあつては0.168
2「特別支援学校費」のうち教職員数を測定単位とするものに係る経常態容補正係数は、次の算式によつて算定した率(小数点以下三位未満の端数があるときは、その端数を四捨五入する。)とする。
算式
[A×{(C-1)×0.107+D}+{(B×1.24)×D}]/(A+B)
(C-1)×0.107
に小数点以下3位未満の端数があるときは、その端数を四捨五入し、
A×{(C-1)×0.107+D}
、
(B×1.24)
又は
{(B×1.24)×D}
に整数未満の端数があるときは、その端数を四捨五入する。
算式の符号
A 当該年度の5月1日現在における当該都道府県又は当該都道府県の区域内の市(指定都市を除く。)町村の設置する特別支援学校の小学部及び中学部について、公立義務教育諸学校の学級編制及び教職員定数の標準に関する法律第3条第1項及び第3項並びに公立義務教育諸学校の学級編制及び教職員定数の標準に関する法律施行令第1条に規定する学級編制の標準により編制した場合における学級数を基礎として同法第10条の規定により算定した教職員定数の標準となる数として総務大臣が調査した数
B 測定単位の数値からAに掲げる数を控除した数
C 前年度の5月1日現在において、当該都道府県又は当該都道府県の区域内の市(指定都市を除く。)町村の設置する特別支援学校の小学部及び中学部について限度政令第2条第1項に規定する都道府県算定総額を当該都道府県又は当該都道府県の区域内の市(指定都市を除く。)町村の設置する特別支援学校の小学部及び中学部における限度政令第1条第11号に掲げる数で除して得た額を12で除して得た額(円未満の端数があるときは、その端数金額を四捨五入する。)を前年度の5月1日現在において、全国の公立の特別支援学校の小学部及び中学部について限度政令第2条第1項に規定する都道府県算定総額から同条第1項第5号に規定する地域手当及び寒冷地手当として算定した額の総額を除いて得た額と限度政令第2条第2項に規定する指定都市算定総額から同条第2項第5号に規定する給料の調整額等のうち地域手当及び寒冷地手当として算定した額の総額を除いて得た額との合算額を全国の公立の特別支援学校の小学部及び中学部における限度政令第1条第11号及び第19号に掲げる数の合算数で除して得た額を12で除して得た額(円未満の端数があるときは、その端数金額を四捨五入する。)で除して得た数(小数点以下3位未満の端数があるときは、その端数を四捨五入する。)
D 当該都道府県の区域内の市(指定都市を除く。)町村の地域手当の級地(当該級地に係る地域区分は、第11条第1項第1号並びに第2項及び第3項の規定の例による。)につき別表第一に定める率を当該区域内の当該地域手当の級地ごとの市(指定都市を除く。)町村の人口に乗じて得た数(整数未満の端数があるときは、その端数を四捨五入する。)の合計数を当該都道府県の人口(当該都道府県の区域内の指定都市の人口を除く。)で除して得た率(小数点以下3位未満の端数があるときは、その端数を四捨五入し、当該率が1.000に満たないときは、1.000とする。)
3市町村の「消防費」に係る経常態容補正係数は、次の算式によつて算定した率(小数点以下三位未満の端数があるときは、その端数を四捨五入する。)とする。
算式
B/(A×11.6)
算式の符号
A 測定単位の数値
B 合併関係市町村(旧市町村の合併の特例に関する法律(昭和40年法律第6号。以下「合併特例法」という。)第2条第3項又は市町村の合併の特例に関する法律(平成16年法律第59号。以下「合併新法」という。)第2条第3項の市町村をいう。以下同じ。)(新市町村の市町村役場が所在する合併関係市町村を除く。)ごとに次の算式によつて算定した額の合算額(整数未満の端数があるときは、その端数を四捨五入する。)
算式
15.7×a×b-8.26×a×c
bが1.270を超えるときは1.270とする。
cが2.805を超えるときは2.805とする。
算式の符号
a 合併関係市町村の人口
b 当該合併関係市町村の人口に別表第1(2)に定める経常態容補正の合併関係市町村の人口段階による補正率のAに定める率を乗じて得た率(整数未満の端数があるときは、その端数を四捨五入する。)と同表のBに定める率とを合算した率を合併関係市町村の人口で除して得た率(小数点以下3位未満の端数があるときは、その端数を四捨五入する。)
c 当該新市町村の人口に別表第1(2)に定める経常態容補正の新市町村の人口段階による補正率のCに定める率を乗じて得た率(整数未満の端数があるときは、その端数を四捨五入する。)と同表のDに定める率とを合算した率を新市町村の人口で除して得た率(小数点以下3位未満の端数があるときは、その端数を四捨五入する。)
4市町村の「その他の教育費」のうち幼稚園及び幼保連携型認定こども園の小学校就学前子どもの数を測定単位とするものに係る経常態容補正係数は、次の算式によつて算定した率(小数点以下三位未満の端数があるときは、その端数を四捨五入する。)とする。
算式
A×B×C+D
算式の符号
A 次の算式によつて算定した率(小数点以下3位未満の端数があるときは、その端数を四捨五入する。)
算式
{(b/a)×1.218+(c/a)×1.000}×(1/1.050)
b/a、(b/a)×1.218又はc/aに小数点以下3位未満の端数があるときは、その端数を四捨五入する。
算式の符号
a 学校基本調査規則によつて調査した当該年度の5月1日現在における市町村立の幼稚園の在籍人員数(市町村立の幼稚園型認定こども園に在籍する2・3号認定子どもを除く。以下「市町村立の幼稚園の在籍人員数」という。)及び学校基本調査規則によつて調査した当該年度の5月1日現在における市町村立の幼保連携型認定こども園に在籍する1号認定子どもの数(以下「市町村立の幼保連携型認定こども園に在籍する1号認定子どもの数」という。)の合計数
b 市町村立の幼稚園の在籍人員数及び市町村立の幼保連携型認定こども園に在籍する1号認定子どもの数の合計数のうち3歳児数
c 市町村立の幼稚園の在籍人員数及び市町村立の幼保連携型認定こども園に在籍する1号認定子どもの数の合計数のうち4歳以上児数
B 次の算式によつて算定した率(小数点以下3位未満の端数があるときは、その端数を四捨五入する。)
算式
bi×ci
に整数未満の端数があるときは、その端数を四捨五入する。
算式の符号
a 市町村立の幼稚園の在籍人員数及び市町村立の幼保連携型認定こども園に在籍する1号認定子どもの数の合計数
bi 市町村立の幼稚園の在籍人員数及び市町村立の幼保連携型認定こども園に在籍する1号認定子どもの数の合計数のうち、1号認定子どもに係る利用定員がi人の施設に在籍する人員数
ci
1≦i≦15のとき 3.201
16≦i≦25のとき 1.991
26≦i≦35のとき 1.472
36≦i≦45のとき 1.408
46≦i≦60のとき 1.307
61≦i≦75のとき 1.164
76≦i≦90のとき 1.068
91≦i≦105のとき 1.000
106≦i≦120のとき 0.950
121≦i≦135のとき 0.928
136≦i≦150のとき 0.894
151≦i≦180のとき 0.844
181≦i≦210のとき 0.808
211≦i≦240のとき 0.781
241≦i≦270のとき 0.760
271≦i≦300のとき 0.743
301≦iのとき 0.692
n 利用定員の最大値
C 地域区分が100分の20地域の市町村にあつては1.104、100分の16地域の市町村にあつては1.074、100分の15地域の市町村にあつては1.067、100分の12地域の市町村にあつては1.044、100分の10地域の市町村にあつては1.030、100分の6地域の市町村にあつては1.000、100分の3地域の市町村にあつては0.978、その他地域の市町村にあつては0.955とする。
D 冷暖房費加算区分が1級地の市町村にあつては0.028、2級地の市町村にあつては0.024、3級地の市町村にあつては0.024、4級地の市町村にあつては0.018、その他地域の市町村にあつては0.000とする。
5市町村の「保健衛生費」に係る経常態容補正係数Ⅰは、次の算式によつて算定した率(小数点以下三位未満の端数があるときは、その端数を四捨五入する。)に一を加えた率とする。
算式
{(A/0.280)×0.084+0.916-1.000}×B×C
A/0.280が1.000を下回る場合は1.000とする。
算式の符号
A 六十五歳以上人口を人口で除して得た数(小数点以下3位未満の端数があるときは、その端数を四捨五入する。)
B 段階補正係数
C 普通態容補正係数
6市町村の「保健衛生費」に係る経常態容補正係数Ⅱは、次の算式によつて算定した率(小数点以下三位未満の端数があるときは、その端数を四捨五入する。)とする。
算式
B/(A×8.33)
算式の符号
A 測定単位の数値
B 合併関係市町村(新市町村の市町村役場及び地方自治法第252条の20に規定する区の事務所(以下「区役所」という。)が所在する合併関係市町村を除く。以下この条において同じ。)ごとに次の算式によつて算定した額の合算額(整数未満の端数があるときは、その端数を四捨五入する。)
算式
6.1×a×b×c
bが3.340を超えるときは3.340とする。
cが1.837を超えるときは1.837とする。
算式の符号
a 合併関係市町村の人口
b 当該合併関係市町村の人口に別表第1(2)に定める経常態容補正Ⅱの合併関係市町村の人口段階による補正率のAに定める率を乗じて得た率(整数未満の端数があるときは、その端数を四捨五入する。)と同表のBに定める率とを合算した率を合併関係市町村の人口で除して得た率(小数点以下3位未満の端数があるときは、その端数を四捨五入する。)
c 令和5年4月1日現在における市町村役場(指定都市にあつては、区役所とする。)の所在地(町村役場が他の市町村の区域内に所在する場合には、当該町村役場は当該町村の区域のうち地方税法第411条の規定により令和4年度分の固定資産税に係る固定資産課税台帳に登録された宅地の3.3平方メートル当たりの価格が最高である地点に町村役場が所在するものとみなす。)と合併の日の前日における当該合併関係市町村の市町村役場(以下この項において「旧市町村役場」という。)の所在地(新市町村に編入された区域に旧市町村役場が所在していなかつた場合には、当該区域のうち地方税法第411条の規定により令和4年度分の固定資産税に係る固定資産課税台帳に登録された宅地の3.3平方メートル当たりの価格が最高である地点に旧市町村役場が所在していたものとみなす。)との最短距離(最も経済的な通常の経路及び方法により旅行する場合における鉄道(定期バスを含む。)、水路及び陸路による実距離とする。ただし、水路を含む場合にあつては、その距離を2倍として計算した距離とする。以下この条において「本庁からの距離」という。)に別表第1(2)に定める経常態容補正Ⅱの本庁からの距離段階による補正率のAに定める率を乗じて得た率と同表のBに定める率とを合算した率(小数点以下3位未満の端数があるときは、その端数を四捨五入する。)
7市町村の「林野水産行政費」に係る経常態容補正係数は、次の算式によつて算定した率とする。
算式
(B/A)×2.75+(C/A)×0.17
算式の符号
A 測定単位の数値
B 産業分類別就業者数のうちA農業、林業のうち林業の就業者数
C 産業分類別就業者数のうちB漁業の就業者数
8市町村の「地域振興費」のうち人口を測定単位とするものに係る経常態容補正係数は、次の算式によつて算定した率(小数点以下三位未満の端数があるときは、その端数を四捨五入する。)とする。
算式
B/(A×1.74)
算式の符号
A 測定単位の数値
B 合併関係市町村ごとに次の算式によつて算定した額の合算額(整数未満の端数があるときは、その端数を四捨五入する。)
算式
31.4×a×b×c
bが3.980を超えるときは3.980とする。
cが1.797を超えるときは1.797とする。
算式の符号
a 合併関係市町村の人口
b 当該合併関係市町村の人口に別表第1(2)に定める経常態容補正の合併関係市町村の人口段階による補正率のAに定める率を乗じて得た率(整数未満の端数があるときは、その端数を四捨五入する。)と同表のBに定める率とを合算した率を合併関係市町村の人口で除して得た率(小数点以下3位未満の端数があるときは、その端数を四捨五入する。)
c 本庁からの距離に別表第1(2)に定める経常態容補正の本庁からの距離段階による補正率のAに定める率を乗じて得た率と同表のBに定める率とを合算した率(小数点以下3位未満の端数があるときは、その端数を四捨五入する。)

(投資態容補正係数の算定方法等)

第十二条投資態容補正は、次項で定める指標による補正(以下「投資補正」及び「投資補正Ⅱ」という。)又は公共事業費の地方負担額等を指標とする補正(以下「事業費補正」という。)に分別し、次の表の地方団体の種類、経費の種類及び測定単位ごとにそれぞれ同表の投資態容補正の種類の欄に掲げる補正を行うものとする。
地方団体の種類経費の種類測定単位投資態容補正の種類
都道府県一 道路橋りよう費道路の延長投資補正及び事業費補正
 二 河川費河川の延長事業費補正
 三 港湾費港湾における外郭施設の延長事業費補正
 漁港における外郭施設の延長投資補正及び事業費補正
 四 高等学校費生徒数投資補正及び事業費補正
五 社会福祉費人口事業費補正
 六 高齢者保健福祉費六十五歳以上人口事業費補正
 七 農業行政費農家数事業費補正
 八 林野行政費公有以外の林野の面積事業費補正
 九 地域振興費人口投資補正及び事業費補正
市町村一 道路橋りよう費道路の延長投資補正及び事業費補正
 二 港湾費港湾における外郭施設の延長事業費補正
 漁港における外郭施設の延長事業費補正
 三 都市計画費都市計画区域における人口事業費補正
 四 公園費人口事業費補正
 五 下水道費人口投資補正及び事業費補正
 六 その他の土木費人口事業費補正
 七 小学校費学級数事業費補正
 八 中学校費学級数事業費補正
 九 高等学校費生徒数事業費補正
 十 その他の教育費人口投資補正Ⅱ
 十一 社会福祉費人口事業費補正
 十二 高齢者保健福祉費六十五歳以上人口事業費補正
 十三 清掃費人口事業費補正
 十四 農業行政費農家数事業費補正
 十五 林野水産行政費林業及び水産業の従業者数事業費補正
 十六 地域振興費人口投資補正及び事業費補正
 面積投資補正及び事業費補正
2投資補正及び投資補正Ⅱに用いる指標は、次の表に掲げる地方団体の種類、経費の種類及び測定単位ごとにそれぞれ同表の算定方法等の欄に定める数値又は同欄に定める方法によつて算定した数値(特別の定めがある場合を除くほか、小数点以下三位未満の端数があるときは、その端数を四捨五入する。)とする。
地方団体の種類経費の種類測定単位指標算定方法等
都道府県一 道路橋りよう費道路の延長国府県道未整備延長比率1 平成二十九年及び平成三十年の各年における四月一日現在並びに平成三十一年から令和三年までの各年における三月三十一日現在において国土交通省が作成した道路統計年報(以下「道路年報」という。)に記載されている一般国道及び都道府県道(指定都市の区域内に存するものを除く。以下この表において「国府県道」という。)の実延長の合計数を五で除して得た数(表示単位未満の端数があるときは、その端数を四捨五入する。以下この表において「国府県道の実延長」という。)から道路年報に記載されている国府県道の整備済延長の合計数を五で除して得た数(表示単位未満の端数があるときは、その端数を四捨五入する。)を控除して得た数に直轄高速道路の未供用延長を加えて得た数を直轄高速道路及び国府県道の実延長に直轄高速道路の未供用延長を加えて得た数で除して得た数2 国府県道に係る延長の表示単位は、キロメートルとし、表示単位未満の端数があるときは、その端数を四捨五入する。以下この表において同じ。
   道路延長当たり人口1 人口(当該人口(指定都市を包括する道府県にあつては指定都市に係る人口を控除した人口とする。以下この号において同じ。)が二、二〇〇、〇〇〇人未満の都道府県にあつては当該人口に一・〇〇〇を乗じて得た数、二、二〇〇、〇〇〇人以上五、〇〇〇、〇〇〇人未満の都道府県にあつては当該人口に〇・五三四を乗じて得た数に一、〇二五、〇〇〇を加えた数、五、〇〇〇、〇〇〇人以上の都道府県にあつては当該人口に〇・〇九一を乗じて得た数に三、二四〇、〇〇〇を加えた数をそれぞれ当該都道府県の人口とする。)を測定単位の数値で除して得た数2 人口に係る表示単位は、千人とし、表示単位未満の端数があるときは、その端数を四捨五入する。
   道路延長当たり面積1 面積(指定都市を包括する道府県にあつては、指定都市に係る面積を控除した面積)を測定単位の数値で除して得た数2 面積に係る表示単位は、平方キロメートルとし、表示単位未満の端数があるときは、その端数を四捨五入する。
   標準道路延長比率三、九〇〇キロメートルを測定単位の数値で除して得た数
 二 港湾費漁港における外郭施設の延長漁港における外郭施設の延長当たり海面に係る水産業者数海面に係る水産業者の数(漁業センサス規則によつて調査した平成三十年十一月一日現在における漁業経営体総数から漁船非使用に係る漁業経営体数を控除した数)を測定単位の数値で除して得た数
   漁業就業者比率国勢調査令によつて調査した令和二年十月一日現在における産業分類別就業者数のうちB漁業の就業者数に一〇〇を乗じて得た数を人口で除して得た数
 三 高等学校費生徒数生徒一人当たり一般校舎及び屋内運動場不足面積1 前年の五月一日現在において文部科学大臣が調査した公立学校施設の実態調査(以下この表において「公立学校施設実態調査」という。)に基づき総務大臣が定める公立高等学校に係る一般校舎及び屋内運動場の不足面積を測定単位の数値で除して得た数2 一般校舎及び屋内運動場の不足面積に係る表示単位は、平方メートルとする。
   生徒一人当たり産振校舎不足面積1 公立学校施設実態調査に基づき総務大臣が定める公立高等学校に係る産振校舎の不足面積を測定単位の数値のうち普通科等以外の学科の生徒数(別科又は専攻科に係る生徒数のうちこれらの学科に類する学科に属するものを含む。)で除して得た数2 産振校舎の不足面積の表示単位は、平方メートルとする。
 四 地域振興費人口過疎地域等人口比率過疎地域の持続的発展の支援に関する特別措置法(令和三年法律第十九号。以下「過疎地域持続的発展法」という。)第二条第一項及び旧過疎地域自立促進特別措置法(平成十二年法律第十五号)第二条第一項に規定する過疎地域、豪雪地帯対策特別措置法(昭和三十七年法律第七十三号)第二条第二項に規定する特別豪雪地帯又は山村振興法(昭和四十年法律第六十四号)第七条第一項に規定する振興山村のいずれかに該当する地域(以下この号において「過疎地域等」という。)に係る人口として総務大臣が調査した数を人口で除して得た数
   半島地域人口比率半島振興法(昭和六十年法律第六十三号)第二条第一項に規定する半島振興対策実施地域のうち過疎地域等以外の地域に係る人口として総務大臣が調査した数を人口で除して得た数
市町村一 道路橋りよう費道路の延長国道延長比率測定単位の数値のうち国道の実延長を測定単位の数値で除して得た数
   道府県道延長比率測定単位の数値のうち道府県道の実延長を測定単位の数値で除して得た数
   道路整備比率Ⅰ測定単位の数値のうち路面幅員四・五メートル以上の市町村道(橋りようを除く。以下この表において同じ。)の延長を測定単位の数値で除して得た数
   道路整備比率Ⅱ測定単位の数値のうち路面幅員二・五メートル以上四・五メートル未満の市町村道の延長を測定単位の数値で除して得た数
   道路整備比率Ⅲ測定単位の数値のうち路面幅員一・五メートル以上二・五メートル未満の市町村道の延長を測定単位の数値で除して得た数
   交通事故件数比率警察庁において調査した交通事故の発生件数(以下「交通事故件数」という。)の当該年の前二年及び前三年の合計数の二分の一の数を測定単位の数値で除して得た数
 二 下水道費人口有収水量当該市町村又は当該市町村の組織する組合が経営する公共下水道事業、特定環境保全公共下水道事業、農業集落排水事業、漁業集落排水事業、林業集落排水事業、簡易排水事業、小規模集合排水処理事業、特定地域生活排水処理事業及び個別排水処理事業(以下この号において「公共下水道事業等」という。)に係る前年の三月三十一日現在における地方公営企業決算状況調査に基づく有収水量。この場合において、市町村の組織する組合が経営する公共下水道事業等に係る有収水量は、当該有収水量を当該組合を構成する市町村の長が協議して定め総務大臣が承認した率(協議が成立しないときは、総務大臣が定める率)により按分したものをそれぞれの市町村が経営する公共下水道事業等に係る有収水量(総務大臣が承認する場合には、当該組合を構成する市町村のうち都道府県知事が指定する市町村の経営する公共下水道事業等に係る有収水量)とする。
   超過算定対象資本費単価平成六年度以降に供用を開始した当該市町村又は当該市町村の組織する組合が経営する公共下水道事業等のうち、次の(1)及び(2)に掲げる基準に該当する公共下水道事業等(経営戦略を策定した事業として総務大臣が調査した事業に限る。以下「対象下水道事業」という。)に係る前年の三月三十一日現在における地方公営企業決算状況調査に基づく算定対象資本費(市町村の組織する組合が経営する対象下水道事業に係る算定対象資本費にあつては、当該組合を構成する市町村の長が協議して定め、総務大臣が承認した率(協議が成立しないときは、総務大臣が定める率)により按分したものをそれぞれの市町村が経営する対象下水道事業に係る算定対象資本費(総務大臣が承認する場合には、当該組合を構成する市町村のうち都道府県知事が指定する市町村の経営する対象下水道事業に係る算定対象資本費)とみなす。)の額を当該事業に係る有収水量で除して得た有収水量一立方メートル当たりの算定対象資本費の額(表示単位は円とし、表示単位未満の端数があるときは、その端数を四捨五入する。)から四十七を控除した数に、対象下水道事業のうち地方公営企業法の適用があるもの(以下この号及び別表第三の五(1)において「法適用事業」という。)にあつては別表第三の五(1)に定める有収水量一立方メートル当たりの算定対象資本費の額の段階に応ずる率を乗じて得た数の合計数とし、同法の適用がないもの(以下この号及び別表第三の五(2)において「法非適用事業」という。)にあつては別表第三の五(2)に定める有収水量一立方メートル当たりの算定対象資本費の額の段階に応ずる率を乗じて得た数の合計数とする。
    (1) 前年の三月三十一日現在における地方公営企業決算状況調査に基づく当該公共下水道事業等の有収水量一立方メートル当たりの算定対象資本費の額が四十八円以上であること。(2) 前年の三月三十一日現在における地方公営企業決算状況調査に基づく当該公共下水道事業等に係る使用料又は料金収入(市町村の組織する組合が経営する公共下水道事業等に係る使用料又は料金収入は、当該使用料又は料金収入を当該組合を構成する市町村の長が協議して定め総務大臣が承認した率(協議が成立しないときは、総務大臣が定める率)により按分したものをそれぞれの市町村が経営する公共下水道事業等に係る使用料又は料金収入(総務大臣が承認する場合には、当該組合を構成する市町村のうち都道府県知事が指定する市町村の経営する公共下水道事業等に係る使用料又は料金収入)とみなす。)の額を当該公共下水道事業等に係る有収水量で除して得た有収水量一立方メートル当たりの使用料又は料金収入の額(以下この号において「使用料単価」という。)が一五〇円以上であること。
使用料単価比率対象下水道事業に係る使用料単価を二〇三・〇で除して得た数(小数点以下三位未満の端数があるときは、その端数を四捨五入し、一・〇〇〇を超えるときは一・〇〇〇とする。)
統合前の有収水量複数の公共下水道事業等が統合した公共下水道事業等であって、統合後の公共下水道事業等として平成三十年四月二日以降に併用を開始したもの(以下「統合下水道」という。)について、統合前の公共下水道事業等に係る統合下水道の供用開始前年度(以下「統合前年度」という。)の地方公営企業決算状況調査に基づく有収水量。この場合において、市町村の組織する組合が経営する統合前の公共下水道事業等に係る有収水量は、当該有収水量を当該組合を構成する市町村の長が協議して定め総務大臣が承認した率(協議が成立しないときは、総務大臣が定める率)により按分したものをそれぞれの市町村が経営する統合前の公共下水道事業等に係る有収水量(総務大臣が承認する場合には、当該組合を構成する市町村のうち都道府県知事が指定する市町村の経営する統合前の公共下水道事業等に係る有収水量)とする。
統合前の超過算定対象資本費単価統合下水道であつて平成六年度以降に供用を開始した当該市町村又は当該市町村の組織する組合が経営する統合前の公共下水道事業等のうち、次の(1)及び(2)に掲げる基準に該当する公共下水道事業等(経営戦略を策定した事業であり、かつ、国勢調査令によつて調査した平成二十二年十月一日現在における人口が三万人以上の市町村(構成市町村の人口合計が三万人以上の地方自治法第二百八十四条第一項に規定する一部事務組合及び広域連合を含む。)が行う事業にあつては、地方公営企業法第二条第三項の規定により同法の規定の全部又は一部を適用している事業として総務大臣が調査した事業に限る。以下「統合前対象下水道事業」という。)に係る前年の三月三十一日現在における地方公営企業決算状況調査に基づく算定対象資本費(市町村の組織する組合が経営する統合前対象下水道事業に係る算定対象資本費にあつては、当該組合を構成する市町村の長が協議して定め、総務大臣が承認した率(協議が成立しないときは、総務大臣が定める率)により按分したものをそれぞれの市町村が経営する統合前対象下水道事業に係る算定対象資本費(総務大臣が承認する場合には、当該組合を構成する市町村のうち都道府県知事が指定する市町村の経営する統合前対象下水道事業に係る算定対象資本費)とみなす。)の額を当該事業に係る有収水量で除して得た有収水量一立方メートル当たりの算定対象資本費の額(表示単位は円とし、表示単位未満の端数があるときは、その端数を四捨五入する。)から四十七を控除した数に、統合前対象下水道事業のうち地方公営企業法の適用があるもの(以下この号及び別表第三の五(1)において「統合前法適用事業」という。)にあつては同表(1)に定める有収水量一立方メートル当たりの算定対象資本費の額の段階に応ずる率を乗じて得た数の合計数とし、同法の適用がないもの(以下この号及び同表(2)において「統合前法非適用事業」という。)にあつては同表(2)に定める有収水量一立方メートル当たりの算定対象資本費の額の段階に応ずる率を乗じて得た数の合計数とする。(1) 統合前年度の地方公営企業決算状況調査に基づく当該公共下水道事業等の有収水量一立方メートル当たりの算定対象資本費の額が四十八円以上であること。(2) 統合前年度の地方公営企業決算状況調査に基づく当該公共下水道事業等に係る使用料又は料金収入(市町村の組織する組合が経営する統合前の公共下水道事業等に係る使用料又は料金収入は、当該使用料又は料金収入を当該組合を構成する市町村の長が協議して定め総務大臣が承認した率(協議が成立しないときは、総務大臣が定める率)により按分したものをそれぞれの市町村が経営する公共下水道事業等に係る使用料又は料金収入(総務大臣が承認する場合には、当該組合を構成する市町村のうち都道府県知事が指定する市町村の経営する統合前の公共下水道事業等に係る使用料又は料金収入)とみなす。)の額を当該公共下水道事業等に係る有収水量で除して得た有収水量一立方メートル当たりの使用料又は料金収入の額(以下この号において「統合前使用料単価」という。)が一五〇円以上であること。
統合前の使用料単価比率統合前対象下水道事業に係る統合前使用料単価を二〇三・〇で除して得た数(小数点以下三位未満の端数があるときは、その端数を四捨五入し、一・〇〇〇を超えるときは一・〇〇〇とする。)
 三 その他の教育費人口特別支援学校の幼稚部の学級数学校基本調査規則によつて調査したその年の五月一日現在における当該市町村立の特別支援学校の幼稚部に在学する幼児をもつて編制された実学級(多学年学級は、一学級とみなす。以下この号において同じ。)の数
   特別支援学校の小学部及び中学部の学級数学校基本調査規則によつて調査したその年の五月一日現在における当該市町村立の特別支援学校の小学部及び中学部に在学する児童又は生徒をもつて編制された実学級の数
   特別支援学校の高等部の学級数学校基本調査規則によつて調査したその年の五月一日現在における当該市町村立の特別支援学校の高等部に在学する生徒をもつて編制された実学級の数
 四 地域振興費面積人口集中地区面積国勢調査令によつて調査した令和二年十月一日現在における人口集中地区面積
   可住地面積第五条第一項の表第二号3の「宅地の面積」及び「田畑の面積」を合算した数
3投資補正係数は、次の表に掲げる地方団体の種類、経費の種類及び測定単位ごとにそれぞれ同表の算式及び算式の符号の欄に定める算式によつて算定した率(算定の過程に小数点以下三位未満の端数があるときは、その端数を四捨五入する。)とする。
地方団体の種類経費の種類測定単位算式及び算式の符号
都道府県一 道路橋りよう費道路の延長算式
{(A/0.369)×0.30×α+(B/0.449)×0.05×β+(C/2.061)×0.10+D×0.30+0.25}×E
算式の符号A 国府県道未整備延長比率B 道路延長当たり人口C 道路延長当たり面積D 標準道路延長比率E 北海道にあつては0.950、沖縄県にあつては0.870、その他の都府県にあつては1α 次の算式によつて算定した数算式
[1+{(0.7γ+0.3)-1}×0.8]×{1+(δ1-1)×0.8}×{1+(δ2-1)×0.8}
(0.7γ+0.3)に小数点以下1位未満の端数があるときは、その端数を四捨五入する。
算式の符号γ 次の算式によつて算定した数(当該数に小数点以下3位未満の端数があるときは、その端数を四捨五入し、当該数が1.000以下の場合には1.000とし、2.000以上の場合には2.000とする。)算式
a/b×1/0.008
a/bに小数点以下3位未満の端数があるときは、その端数を四捨五入する。
算式の符号a 直轄高速道路未供用延長及び実延長の合計数b 測定単位の数値δ1 直轄高速道路未供用延長及び実延長の合計数のうちのトンネル延長として総務大臣が通知した数を直轄高速道路未供用延長及び実延長の合計数で除して得た数(小数点以下3位未満の端数があるときは、その端数を四捨五入する。以下この表において「トンネル延長比率」という。)を0.257(トンネル延長比率の全国平均)で除して得た数(小数点以下3位未満の端数があるときは、その端数を四捨五入する。)が2.000を超える道県にあつては1.6、その他の道県にあつては1.0δ2 直轄高速道路未供用延長及び実延長の合計数のうちの橋りょう延長として総務大臣が通知した数を直轄高速道路未供用延長及び実延長の合計数で除して得た数(小数点以下3位未満の端数があるときは、その端数を四捨五入する。以下この表において「橋りょう延長比率」という。)を0.105(橋りょう延長比率の全国平均)で除して得た数(小数点以下3位未満の端数があるときは、その端数を四捨五入する。)が2.000を超える道県にあつては1.6、その他の道県にあつては1.0β 指定都市を包括する道府県にあつては別表第3の6に定める率、その他の道府県にあつては1.000
 二 港湾費漁港における外郭施設の延長算式
0.704+0.296×A×{(B/0.105)×0.9+0.1}×13.168
算式の符号A 漁港における外郭施設の延長当たり海面に係る水産業者数B 漁業就業者比率
 三 高等学校費生徒数算式
{(A/1.798)×0.8+(B/16.994)×0.2}×0.45652
算式の符号A 生徒1人当たり一般校舎及び屋内運動場不足面積B 生徒1人当たり産振校舎不足面積
 四 地域振興費人口算式
A×0.246+B×0.099+C
算式の符号A 過疎地域等人口比率を単位費用で除して得た数B 半島地域人口比率を単位費用で除して得た数C 航空機燃料譲与税法(昭和47年法律第13号)による空港関係都道府県にあつては、世帯数に別表第三の八に掲げる率を乗じて得た数(整数未満の端数があるときは、その端数を四捨五入する。)を人口で除して得た数(小数点以下3位未満の端数があるときは、その端数を四捨五入する。)
市町村一 道路橋りよう費道路の延長算式
A×α×12.8+B×8.0+C×0.43+D×1.43+E×1.81+F×β
算式の符号A 国道延長比率B 道府県道延長比率C 道路整備比率ⅠD 道路整備比率ⅡE 道路整備比率ⅢF 交通事故件数比率α 北海道内の指定都市にあつては0.5、府県内の指定都市にあつては1.00β 大都市(特別区及び指定都市をいう。以下同じ。)にあつては0.16、その他の市町村にあつては0.33
 二 下水道費人口算式
1/(A×103円)×[(B×C×D×E)+{F-(B×C×D×E)}×G]
F-(B×C×D×E)が負数となるときは、0とする。
算式の符号A 測定単位の数値B 超過算定対象資本費単価C 使用料単価比率D 有収水量E 平成11年度以降に供用を開始した事業 0.45平成6年度から平成10年度までに供用を開始した事業 0.09F 次の算式によつて算定した数の合計数算式
a×b×c×d
算式の符号a 統合前の超過算定対象資本費単価b 統合前の使用料単価比率c 統合前の有収水量d 符号Eに同じG 次の算式によつて算定した数が1以上5以下のものにあつては1.0、6のものにあつては0.9、7のものにあつては0.7、8のものにあつては0.5、9のものにあつては0.3、10のものにあつては0.1、それ以外のものにあつては0算式
e-2,017
算式の符号e 統合下水道の供用開始年度(西暦)
 三 地域振興費人口算式
A+B
算式の符号A 航空機燃料譲与税法による空港関係市町村にあつては、世帯数に別表第三の八に掲げる率を乗じて得た数(整数未満の端数があるときは、その端数を四捨五入する。)を人口で除して得た数(小数点以下3位未満の端数があるときは、その端数を四捨五入する。)B 次の算式によつて算定した数を当該市町村の人口に1.740を乗じて得た数で除して得た数(小数点以下3位未満の端数があるときは、その端数を四捨五入する。)算式
a×b
算式の符号a 人口b 人口5,000,000以上の市町村にあつては5.862、人口2,000,000以上5,000,000未満の市町村にあつては3.624、人口1,000,000以上2,000,000未満の市町村にあつては2.662、人口300,000以上1,000,000未満の市町村にあつては2.730、人口300,000未満の市町村にあつては0.000
4投資補正Ⅱ係数は、次の表に掲げる地方団体の種類、経費の種類及び測定単位ごとにそれぞれ同表の算式及び算式の符号の欄に定める算式によつて算定した率(算定の過程及び算定した率に小数点以下三位未満の端数があるときはその端数を四捨五入するものとし、当該率が負数となるときは零とする。)に一を加えた率とする。
地方団体の種類経費の種類測定単位算式及び算式の符号
市町村一 その他の教育費人口算式
(B×161+C×167+D×238)/A
算式の符号A 測定単位の数値B 特別支援学校の幼稚部の学級数C 特別支援学校の小学部及び中学部の学級数D 特別支援学校の高等部の学級数
 二 地域振興費面積算式
(B/A×α+C/A×β)
算式の符号A 種別補正後の測定単位の数値B 可住地面積C 人口集中地区面積α 面積が1,000平方キロメートル以上の市町村のうち人口密度が270人以上のものにあつては3.2、面積が400平方キロメートル以上1,000平方キロメートル未満の市町村のうち人口密度が270人以上のものにあつては1.5、面積が200平方キロメートル以上400平方キロメートル未満の市町村のうち人口密度が270人以上のものにあつては0.5、面積が100平方キロメートル以上200平方キロメートル未満の市町村のうち人口密度が270人以上のものにあつては0.3、その他の市町村にあつては0.0(ただし、指定都市にあつては3.2)β 面積が1,000平方キロメートル以上の市町村のうち人口密度が270人以上のものにあつては1.5、面積が400平方キロメートル以上1,000平方キロメートル未満の市町村のうち人口密度が270人以上のものにあつては1.2、面積が200平方キロメートル以上400平方キロメートル未満の市町村のうち人口密度が270人以上のものにあつては0.7、面積が100平方キロメートル以上200平方キロメートル未満の市町村のうち人口密度が270人以上のものにあつては0.3、その他の市町村にあつては0.0(ただし、指定都市にあつては1.5)
5事業費補正係数は、次の表に掲げる地方団体の種類、経費の種類及び測定単位ごとにそれぞれ同表の算式及び算式の符号の欄に定める算式によつて算定した率(小数点以下三位未満の端数があるときはその端数を四捨五入するものとし、「河川費」及び「下水道費」にあつては、当該率が負数となるときは零とする。)又は当該率を合算した率に一を加えた率とする。
地方団体の種類経費の種類測定単位算式及び算式の符号
都道府県一 道路橋りよう費道路の延長算式
算式の符号A 測定単位の数値Bn 平成n年度において発行について同意又は許可を得た臨時地方道整備事業に係る地方債の同意等額(地方特定道路整備事業(「地方特定道路整備事業について」(平成4年1月20日付け建設省都街発第2号、建設省道企発第5号、自治調第5号)によつて採択された事業をいう。以下この表において同じ。)に係るもの、ふるさと農道・林道緊急整備事業に係るもの、被災市街地復興特例事業に係るもの及び総務大臣の指定する充当の率を超える部分に係るものを除く。)に相当する額C15=0.018C16=0.018C17=0.017C18=0.016C19=0.016C20=0.01584Dn 平成n年度において発行について同意又は許可を得た臨時地方道整備事業に係る地方債(総務大臣の指定する充当の率を超える部分に係るものを除く。)のうち地方特定道路整備事業に係るもの(平成15年度から平成20年度までの各年度において財源対策のため発行について同意又は許可を得た地方債として総務大臣が指定するものを除く。)の額に相当する額E15=0.018E16=0.018E17=0.017E18=0.016E19=0.016E20=0.01584Fn 平成n年度において発行について同意又は許可を得た臨時地方道整備事業に係る地方債(総務大臣の指定する充当の率を超える部分に係るものを除く。)のうち地方特定道路整備事業に係るものの額(平成15年度から平成20年度までの各年度において財源対策のため発行について同意又は許可を得た地方債の額として総務大臣が指定するものに限る。)G15=0.033G16=0.030G17=0.031G18=0.027G19=0.026G20=0.02640Hn 平成n年度において発行について同意又は許可を得た臨時地方道整備事業に係る地方債(総務大臣の指定する充当の率を超える部分に係るものを除く。)のうち被災市街地復興特別措置法(平成7年法律第14号)第5条の規定に基づき定められた被災市街地復興推進地域において地方団体が施行する土地区画整理事業及び市街地再開発事業(以下この表において「被災市街地復興特別事業」という。)に係るものの額に相当する額I15=0.049I16=0.048I17=0.046I18=0.042I19=0.042I20=0.04223Jn 平成n年度において発行について同意又は許可を得た地方道路等整備事業に係る地方債(発行について地方財政法第5条の3第6項の規定による届出がされた地方債のうち同条第1項の規定による協議を受けたならば同条第10項に規定する基準に照らして同意をすることとなると認められるものとして総務大臣が指定するものを含む。以下同じ。)(総務大臣の指定する充当の率を超える部分に係るものを除く。)のうち通常事業(平成22年度において発行について同意又は許可を得たものについては、平成21年度以前に着手した継続事業として総務大臣が調査した事業に限る。)に係るもの(農道及び林道の整備事業に係るものを除く。)の額に相当する額K21=0.01681K22=0.01684Ln 平成n年度において発行について同意又は許可を得た地方道路等整備事業に係る地方債(総務大臣の指定する充当の率を超える部分に係るものを除く。)のうち臨時事業(平成22年度において発行について同意又は許可を得たものについては、平成21年度以前に着手した継続事業として総務大臣が調査した事業に限る。)に係るもの(地方特定道路整備事業に係るもの、ふるさと農道・林道緊急整備事業に係るもの及び被災市街地復興特別事業に係るものを除く。)の額に相当する額M21=0.01681M22=0.01684Nn 平成n年度において発行について同意又は許可を得た地方道路等整備事業に係る地方債(総務大臣の指定する充当の率を超える部分に係るものを除く。)のうち臨時事業の地方特定道路整備事業(平成22年度から平成24年度までの各年度において発行について同意又は許可を得たものについては、平成20年度から平成24年度までの期間において行われる継続事業として総務大臣が調査した事業に限る。)に係るもの(平成21年度から平成24年度までの各年度において財源対策のため発行について同意又は許可を得た地方債として総務大臣が指定するものを除く。)の額に相当する額O21=0.01681O22=0.01684O23=0.01692O24=0.01727Pn 平成n年度において発行について同意又は許可を得た地方道路等整備事業に係る地方債(総務大臣の指定する充当の率を超える部分に係るものを除く。)のうち臨時事業の地方特定道路整備事業に係るものの額(平成21年度から平成24年度までの各年度において財源対策のため発行について同意又は許可を得た地方債の額として総務大臣が指定するものに限る。)Q21=0.02802Q22=0.02807Q23=0.02821Q24=0.02878R21 平成21年度において発行について同意又は許可を得た地方道路等整備事業に係る地方債(総務大臣の指定する充当の率を超える部分に係るものを除く。)のうち被災市街地復興特別事業に係るものの額に相当する額S21=0.04482T22 平成22年度において発行について同意又は許可を得た一般単独事業に係る地方債(総務大臣の指定する充当率を超える部分に係るものを除く。)のうち一般事業における一般分の被災市街地復興特別事業に係るものの額に相当する額U22=0.04490Vn 平成n年度において発行について同意又は許可を得た一般公共事業に係る地方債(平成16年度から平成22年度までの各年度において発行について同意又は許可を得た補正予算債(発行について地方財政法第5条の3第6項の規定による届出がされた地方債のうち同条第1項の規定による協議を受けたならば同条第10項に規定する基準に照らして同意をすることとなると認められるものとして総務大臣が指定するものを含む。以下同じ。)を除く。)のうち高速自動車国道建設事業に係るものの額に相当する額W15=0.033W16=0.033W17=0.031W18=0.027W19=0.027W20=0.02872W21=0.02962W22=0.02872Xn 平成n年度において発行について同意又は許可を得た一般公共事業に係る地方債(総務大臣の指定する充当の率を超える部分に係るもの、平成21年度及び平成22年度において財源対策のため発行について同意又は許可を得た地方債として総務大臣が指定するもの並びに平成21年度及び平成22年度において発行について同意又は許可を得た補正予算債を除く。)のうち高規格幹線道路建設事業に係るもの(高速自動車国道建設事業に係るものを除く。)の額に相当する額Y21=0.02962Y22=0.02872Zn 平成n年度において発行について同意又は許可を得た公共事業等(旧地方道路等整備事業に限る。)に係る地方債(発行について地方財政法第5条の3第6項の規定による届出がされた地方債のうち同条第1項の規定による協議を受けたならば同条第10項に規定する基準に照らして同意をすることとなると認められるものとして総務大臣が指定するものを含む。以下同じ。)(総務大臣の指定する充当の率を超える部分に係るものを除く。)のうち平成21年度までに着手した継続事業として総務大臣が調査した事業に係るもので、旧地方道路等整備事業に係る地方債の通常事業の充当率を用いるもの(農道及び林道の整備事業に係るものを除く。)の額に相当する額AA23=0.01648AA24=0.01675AA25=0.017AA26=0.017ABn 平成n年度において発行について同意又は許可を得た公共事業等(旧地方道路等整備事業に限る。)に係る地方債(総務大臣の指定する充当の率を超える部分に係るものを除く。)のうち平成21年度までに着手した継続事業として総務大臣が調査した事業に係るもので、旧地方道路等整備事業に係る地方債の臨時事業の充当率を用いるもの(地方特定道路整備事業に係るもの、ふるさと農道・林道緊急整備事業に係るもの及び被災市街地復興特別事業に係るものを除く。)の額に相当する額AC23=0.01648AC24=0.01675AC25=0.017AC26=0.017ADn n年度において発行について同意又は許可を得た公共事業等に係る地方債(発行について地方財政法第5条の3第6項の規定による届出がされた地方債のうち同条第1項の規定による協議を受けたならば同条第10項に規定する基準に照らして同意をすることとなると認められるものとして総務大臣が指定するものを含む。以下同じ。)(総務大臣の指定する充当の率を超える部分に係るものを除く。)のうち被災市街地復興特別事業に係るものの額に相当する額AE23=0.04395AE24=0.04466AE25=0.045AE26=0.044AE27=0.042AE28=0.0411AE29=0.0414AE30=0.04154AE令元=0.04098AE令2=0.00182AE令3=0.00251AE令4=0.00565AFn n年度において発行について同意又は許可を得た公共事業等に係る地方債(総務大臣の指定する充当の率を超える部分に係るもの及び平成23年度から令和4年度までの各年度において発行について同意又は許可を得た補正予算債を除く。)のうち高速自動車国道建設事業に係るものの額に相当する額AG23=0.02747AG24=0.02792AG25=0.028AG26=0.028AG27=0.027AG28=0.0257AG29=0.0259AG30=0.02596AG令元=0.02561AG令2=0.00114AG令3=0.00157AG令4=0.00353AHn n年度において発行について同意又は許可を得た公共事業等に係る地方債(総務大臣の指定する充当の率を超える部分に係るもの、平成23年度から令和4年度までの各年度において財源対策のため発行について同意又は許可を得た地方債として総務大臣が指定するもの及び平成23年度から令和4年度までの各年度において発行について同意又は許可を得た補正予算債を除く。)のうち高規格幹線道路建設事業に係るもの(高速自動車国道建設事業に係るものを除く。)の額に相当する額AI23=0.02747AI24=0.02792AI25=0.028AI26=0.028AI27=0.027AI28=0.0257AI29=0.0259AI30=0.02596AI令元=0.02561AI令2=0.00114AI令3=0.00157AI令4=0.00353AJn n年度において発行について同意又は許可を得た公共事業等に係る地方債(総務大臣の指定する充当の率を超える部分に係るもの、平成26年度から令和4年度までの各年度において財源対策のため発行について同意又は許可を得た地方債として総務大臣が指定するもの及び平成26年度から令和4年度までの各年度において発行について同意又は許可を得た補正予算債を除く。)のうち離島振興法第2条に基づき指定された離島振興対策実施地域において、平成26年度以降に地震津波対策として行われる道路の整備に係る公共事業ののうち、特に離島の防災機能強化に資する事業に係るものの額に相当する額AK26=0.028AK27=0.027AK28=0.0257AK29=0.0259AK30=0.02596AK令元=0.02561AK令2=0.00114AK令3=0.00157AK令4=0.00353
 二 河川費河川の延長算式
算式の符号A 測定単位の数値B15 平成15年度において発行を許可された臨時河川等整備事業に係る地方債(地方特定河川等環境整備事業に係るもの及び総務大臣の指定する充当の率を超える部分に係るものを除く。)の額に相当する額C15=0.018Dn 平成n年度において発行を許可された臨時河川等整備事業に係る地方債(総務大臣の指定する充当の率を超える部分に係るものを除く。)のうち地方特定河川等環境整備事業に係るもの(平成15年度から平成17年度までの各年度において財源対策のため発行を許可された地方債として総務大臣が指定するものを除く。)の額に相当する額E15=0.018E16=0.018E17=0.016Fn 平成n年度において発行を許可された臨時河川等整備事業に係る地方債(総務大臣の指定する充当の率を超える部分に係るものを除く。)のうち地方特定河川等環境整備事業に係るものの額(平成15年度から平成17年度までの各年度において財源対策のため発行を許可された地方債の額として総務大臣が指定するものに限る。)G15=0.030G16=0.030G17=0.027H 国庫の補助金を受けて施行した河川事業及び砂防事業に係る経費又は国が行う当該事業に係る法令に基づく負担金に充てるため平成10年度以前において発行を許可された地方債(災害復旧事業債、公害防止事業債、昭和46年度、昭和50年度から昭和61年度までの各年度及び平成3年度から平成10年度までの各年度において地方税の減収に伴い発行を許可された地方債、昭和50年度から昭和57年度までの各年度、昭和59年度及び平成10年度において財政健全化のため発行を許可された地方債、財源対策債、昭和50年度補正予算債、昭和51年度補正予算債、昭和52年度補正予算債、昭和53年度補正予算債、昭和61年度補正予算債、昭和62年度補正予算債、平成4年度補正予算債、平成5年度補正予算債、平成6年度補正予算債、平成7年度補正予算債、平成8年度補正予算債、平成9年度補正予算債及び平成10年度補正予算債、地域財政特例対策債、臨時財政特例債、公共事業等臨時特例債(平成5年度において国の補助金等の整理及び合理化等に関する法律(平成5年法律第8号)による投資的経費に係る国庫補助負担率の恒久化措置の対象となる事業を行う地方団体に対し、昭和59年度国庫補助負担率と比較した場合の国庫補助金等の減少相当額について許可された地方債をいう。以下同じ。)、昭和44年度以前において発行を許可された地方債で縁故資金に係るもの、地方債計画上の新産業都市等建設事業債(通常の充当率を超える部分に係るものに限る。)として昭和50年度以前において発行を許可された地方債のうち縁故資金に係るもの、地方債計画に計上されない地方債並びに昭和51年度以降において発行について同意又は許可を得た地方債のうち総務大臣の指定する充当の率を超える部分に係るものを除く。)の当該年度における元利償還金In n年度に国庫の補助金を受けて施行した河川事業及び砂防事業に係る経費又は国が行う当該事業に係る法令に基づく負担金に充てるため発行について同意又は許可を得た地方債(災害復旧事業債、公害防止事業債、地方税の減収に伴い発行を許可された地方債、財政健全化のため発行を許可された地方債、財源対策債、補正予算債、地域財政特例対策債、臨時財政特例債、公共事業等臨時特例債、地方債計画に計上されない地方債及び総務大臣の指定する充当の率を超える部分に係るものを除く。)の額に相当する額(ただし、平成15年度から令和4年度までの各年度にあつては、ダム(平成22年度から令和4年度までの各年度において発行について同意又は許可を得たものについては、平成21年度以前に着手した継続の事業等の地方債の額として総務大臣が調査したものに限る。)、災害関連及び砂防(国が行う事業に限る。)に係るものとして総務大臣が通知した額とする。)J15=0.033J16=0.033J17=0.030J18=0.027J19=0.029J20=0.02872J21=0.02962J22=0.02872J23=0.02747J24=0.02792J25=0.028J26=0.028J27=0.027J28=0.0257J29=0.0259J30=0.02596J令元=0.02561J令2=0.00114J令3=0.00157J令4=0.00353Kn n年度において発行について同意又は許可を得た緊急浚渫推進事業(地方財政法第33条の5の11に規定する河川等におけるしゆんせつ等に係る事業をいう。以下この表において同じ。)に係る地方債(総務大臣の指定する充当の率を超える部分に係るものを除く。)の額に相当する額L令2=0.07113L令3=0.07162L令4=0.07437
 三 港湾費港湾における外郭施設の延長算式
算式の符号A 測定単位の数値B 国庫の補助金を受けて施行した港湾事業に係る経費又は国が行うこれらの事業に係る法令に基づく負担金に充てるため平成10年度以前において発行について許可された地方債(災害復旧事業債、公害防止事業債、昭和46年度、昭和50年度から昭和61年度まで及び平成3年度から平成10年度までの各年度において地方税の減収に伴い発行を許可された地方債、昭和50年度から昭和57年度までの各年度、昭和59年度及び平成10年度において財政健全化のため発行を許可された地方債、財源対策債、昭和50年度補正予算債、昭和51年度補正予算債、昭和52年度補正予算債、昭和53年度補正予算債、昭和61年度補正予算債、昭和62年度補正予算債、平成4年度補正予算債、平成5年度補正予算債、平成6年度補正予算債、平成7年度補正予算債、平成8年度補正予算債、平成9年度補正予算債及び平成10年度補正予算債、地域財政特例対策債、臨時財政特例債、公共事業等臨時特例債、昭和44年度以前において発行を許可された地方債で縁故資金に係るもの、地方債計画上の新産業都市等建設事業債(通常の充当率を超える部分に係るものに限る。)として昭和50年度以前において発行を許可された地方債のうち縁故資金に係るもの、地方債計画に計上されない地方債並びに昭和51年度以降において発行について許可された地方債のうち総務大臣の指定する充当の率を超える部分に係るものを除く。)の当該年度における元利償還金Cn 国庫の補助金を受けて施行した港湾事業に係る経費又は国が行うこれらの事業に係る法令に基づく負担金に充てるためn年度において発行について同意又は許可を得た地方債(災害復旧事業債、公害防止事業債、地方税の減収に伴い発行について同意又は許可を得た地方債、財政健全化のため発行について同意又は許可を得た地方債、財源対策債、補正予算債、地域財政特例対策債、臨時財政特例債、公共事業臨時特例債、地方債計画に計上されない地方債及び総務大臣の指定する充当の率を超える部分に係るものを除く。)の額に相当する額(平成22年度から令和4年度までの各年度において発行について同意又は許可を得たものについては、災害関連及び平成21年度以前に着手した継続の事業等の地方債の額として総務大臣が調査したものに限る。)D15=0.033D16=0.033D17=0.030D18=0.027D19=0.027D20=0.02872D21=0.02962D22=0.02872D23=0.02747D24=0.02792D25=0.028D26=0.028D27=0.027D28=0.0257D29=0.0259D30=0.02596D令元=0.02561D令2=0.00114D令3=0.00157D令4=0.00353
  漁港における外郭施設の延長算式
算式の符号A 測定単位の数値B 国庫の補助金を受けて施行した漁港事業に係る経費又は国が行うこれらの事業に係る法令に基づく負担金に充てるため平成10年度以前において発行について許可された地方債(災害復旧事業債、公害防止事業債、昭和46年度、昭和50年度から昭和61年度まで及び平成3年度から平成10年度までの各年度において地方税の減収に伴い発行を許可された地方債、昭和50年度から昭和57年度までの各年度、昭和59年度及び平成10年度において財政健全化のため発行を許可された地方債、財源対策債、昭和50年度補正予算債、昭和51年度補正予算債、昭和52年度補正予算債、昭和53年度補正予算債、昭和61年度補正予算債、昭和62年度補正予算債、平成4年度補正予算債、平成5年度補正予算債、平成6年度補正予算債、平成7年度補正予算債、平成8年度補正予算債、平成9年度補正予算債及び平成10年度補正予算債、地域財政特例対策債、臨時財政特例債、公共事業等臨時特例債、昭和44年度以前において発行を許可された地方債で縁故資金に係るもの、地方債計画上の新産業都市等建設事業債(通常の充当率を超える部分に係るものに限る。)として昭和50年度以前において発行を許可された地方債のうち縁故資金に係るもの、地方債計画に計上されない地方債並びに昭和51年度以降において発行について許可された地方債のうち総務大臣の指定する充当の率を超える部分に係るものを除く。)の当該年度における元利償還金Cn 国庫の補助金を受けて施行した漁港事業に係る経費又は国が行うこれらの事業に係る法令に基づく負担金に充てるためn年度において発行について同意又は許可を得た地方債(災害復旧事業債、公害防止事業債、地方税の減収に伴い発行について同意又は許可を得た地方債、財政健全化のため発行について同意又は許可を得た地方債、財源対策債、補正予算債、地域財政特例対策債、臨時財政特例債、公共事業等臨時特例債、地方債計画に計上されない地方債及び総務大臣の指定する充当の率を超える部分に係るものを除く。)の額に相当する額(平成22年度から令和4年度までの各年度において発行について同意又は許可を得たものについては、災害関連及び平成21年度以前に着手した継続の事業等の地方債の額として総務大臣が調査したものに限る。)D15=0.033D16=0.033D17=0.030D18=0.027D19=0.027D20=0.02872D21=0.02962D22=0.02872D23=0.02747D24=0.02792D25=0.028D26=0.028D27=0.027D28=0.0257D29=0.0259D30=0.02596D令元=0.02561D令2=0.00114D令3=0.00157D令4=0.00353
 四 高等学校費生徒数算式
算式の符号A 測定単位の数値Bn 平成n年度において発行を許可された臨時高等学校整備事業に係る地方債の許可額のうち、大規模改造事業に係る単独分の許可額(特殊教育諸学校に係るものを除く。)に相当する額C15=0.0243C16=0.0242Dn 平成n年度において発行を許可された臨時高等学校整備事業に係る地方債の許可額のうち、平成10年度までの特別老朽施設改築事業に係る許可額及び平成11年度以降の老朽施設改築事業に係る許可額(特殊教育諸学校に係るものを除く。)に相当する額E9=0.0046E10=0.0102E11=0.0088E12=0.0092E13=0.0104E14=0.0093E15=0.0243E16=0.0242F令2 国庫の補助金を受けて施行した公立学校情報通信ネットワーク環境施設整備事業に係る経費に充てるため令和2年度において発行について同意又は許可を得た学校教育施設等整備事業債(同年度において発行について同意又は許可を得た補正予算債を除く。)のうち高等学校に係るものの額に相当する額G令2=0.00149
五 社会福祉費人口算式
算式の符号A 測定単位の数値Bn 一般財源化された次世代育成支援対策施設整備交付金(児童相談所に係るものに限る。)に係る施設整備事業に充てるためn年度において発行について同意又は許可を得た地方債の額に相当する額C30=0.03030C令元=0.02994C令2=0.00149C令3=0.00202C令4=0.00483Dn 児童相談所整備事業に係る経費に充てるためn年度において発行について同意又は許可を得た一般単独(一般)事業債(総務大臣の指定する充当の率を超える部分に係るものを除く。)の額に相当する額E令2=0.00107E令3=0.00144E令4=0.00345Fn 児童相談所一時保護施設整備事業に係る経費に充てるためn年度において発行について同意又は許可を得た一般補助施設整備等事業(一般分)に係る地方債の額に相当する額G令2=0.00107G令3=0.00144G令4=0.00345
 六 高齢者保健福祉費六十五歳以上人口算式
算式の符号A 測定単位の数値Bn 一般財源化された地域介護・福祉空間整備等施設整備交付金に係る施設整備事業等に充てるためn年度において発行について同意又は許可を得た地方債の額に相当する額C18=0.0530C19=0.0520C20=0.05279C21=0.05603C22=0.05613C23=0.05641C24=0.04029C25=0.0410C26=0.0400C27=0.0380C28=0.0379C29=0.0380C30=0.03030C令元=0.02994C令2=0.00149C令3=0.00202C令4=0.00483
 七 農業行政費農家数算式
算式の符号A 測定単位の数値B 農林水産大臣が調査した国営土地改良事業(昭和63年4月1日以降に事業が完了するものに限る。)に係る都道府県の負担金(その支払期間の始期が平成13年度以前のものに限る。)のうち、ダム、干拓堤防、頭首工、排水機場、排水樋門、排水路、用水施設、道路、区画整理及び鳥獣害防止施設(以下「対象施設」という。)に係る土地改良法第90条第1項の規定に基づく負担金(土地改良法施行令(昭和24年政令第295号)第52条の2第1項第3号に規定する方法のうち事業が施行される各年度に支払う方法により支払われるものを除く。符号E及び符号Hにおいて同じ。)を基礎として総務大臣が算定して通知した額C 農林水産大臣が調査した国立研究開発法人森林研究・整備機構の業務のうち旧緑資源機構及び旧農用地整備公団から継承された業務(平成元年4月1日以降に業務が完了するものに限る。)に係る都道府県の負担金(その支払期間の始期が平成13年度以前のものに限る。)のうち、対象施設に係る旧農用地整備公団法第27条第1項及び附則第19条第2項の規定によりなおその効力を有するものとされる農用地開発公団法の一部を改正する法律(昭和63年法律第44号。以下「農用地開発公団法改正法」という。)による改正前の農用地開発公団法第27条第1項の規定に基づく負担金(旧農用地整備公団法施行令(昭和49年政令第205号)第14条第2項に規定する方法により支払われるものを除く。符号F及び符号Iにおいて同じ。)を基礎として総務大臣が算定して通知した額D 農林水産大臣が調査した独立行政法人水資源機構の業務(平成元年4月1日以降に業務が完了するものに限る。)に係る都道府県の負担金(その支払期間の始期が平成13年度以前のものに限る。)のうち、対象施設に係る独立行政法人水資源機構法附則第7条の規定により同法第26条第1項の規定に基づく負担金とみなすこととされた旧水資源開発公団法第30条第1項の規定に基づく負担金を基礎として総務大臣が算定して通知した額E 農林水産大臣が調査した国営土地改良事業(昭和63年4月1日以降に事業が完了するものに限る。)に係る都道府県の負担金(その支払期間の始期が平成14年度以降のものに限る。)のうち、ダムに係る土地改良法第90条第1項の規定に基づく負担金を基礎として総務大臣が算定して通知した額F 農林水産大臣が調査した国立研究開発法人森林研究・整備機構の業務のうち旧緑資源機構及び旧農用地整備公団から継承された業務(平成元年4月1日以降に業務が完了するものに限る。)に係る都道府県の負担金(その支払期間の始期が平成14年度以降のものに限る。)のうち、ダムに係る旧農用地整備公団法第27条第1項及び附則第19条第2項の規定によりなおその効力を有するものとされる農用地開発公団法改正法による改正前の農用地開発公団法第27条第1項の規定に基づく負担金を基礎として総務大臣が算定して通知した額G 農林水産大臣が調査した独立行政法人水資源機構の業務(平成元年4月1日以降に業務が完了するものに限る。)に係る都道府県の負担金(その支払期間の始期が平成14年度以降のものに限る。)のうち、ダムに係る独立行政法人水資源機構法附則第7条の規定により同法第26条第1項の規定に基づく負担金とみなすこととされた旧水資源開発公団法第30条第1項の規定に基づく負担金を基礎として総務大臣が算定して通知した額H 農林水産大臣が調査した国営土地改良事業(昭和63年4月1日以降に事業が完了するものに限る。)に係る都道府県の負担金(その支払期間の始期が平成14年度から平成22年度までのものに限る。)のうち、対象施設(ダムを除く。)に係る土地改良法第90条第1項の規定に基づく負担金を基礎として総務大臣が算定して通知した額I 農林水産大臣が調査した国立研究開発法人森林研究・整備機構の業務のうち旧緑資源機構及び旧農用地整備公団から継承された業務(平成元年4月1日以降に業務が完了するものに限る。)に係る都道府県の負担金(その支払期間の始期が平成14年度から平成22年度までのものに限る。)のうち、対象施設(ダムを除く。)に係る旧農用地整備公団法第27条第1項及び附則第19条第2項の規定によりなおその効力を有するものとされる農用地開発公団法改正法による改正前の農用地開発公団法第27条第1項の規定に基づく負担金を基礎として総務大臣が算定して通知した額J 農林水産大臣が調査した独立行政法人水資源機構の業務(平成元年4月1日以降に業務が完了するものに限る。)に係る都道府県の負担金(その支払期間の始期が平成14年度から平成22年度までのものに限る。)のうち、対象施設(ダムを除く。)に係る独立行政法人水資源機構法附則第7条の規定により同法第26条第1項の規定に基づく負担金とみなすこととされた旧水資源開発公団法第30条第1項の規定に基づく負担金を基礎として総務大臣が算定して通知した額K 農林水産大臣が調査した国営土地改良事業(昭和63年4月1日以降に事業が完了するものに限る。)に係る都道府県の負担金(その支払期間の始期が平成23年度以降のものに限る。)のうち、対象施設(ダムを除く。)に係る土地改良法第90条第1項の規定に基づく負担金を基礎として総務大臣が算定して通知した額L 農林水産大臣が調査した国立研究開発法人森林研究・整備機構の業務のうち旧緑資源機構及び旧農用地整備公団から継承された業務(平成元年4月1日以降に業務が完了するものに限る。)に係る都道府県の負担金(その支払期間の始期が平成23年度以降のものに限る。)のうち、対象施設(ダムを除く。)に係る旧農用地整備公団法第27条第1項及び附則第19条第2項の規定によりなおその効力を有するものとされる農用地開発公団法改正法による改正前の農用地開発公団法第27条第1項の規定に基づく負担金を基礎として総務大臣が算定して通知した額M 農林水産大臣が調査した独立行政法人水資源機構の業務(平成元年4月1日以降に業務が完了するものに限る。)に係る都道府県の負担金(その支払期間の始期が平成23年度以降のものに限る。)のうち、対象施設(ダムを除く。)に係る独立行政法人水資源機構法附則第7条の規定により同法第26条第1項の規定に基づく負担金とみなすこととされた旧水資源開発公団法第30条第1項の規定に基づく負担金を基礎として総務大臣が算定して通知した額Nn n年度において発行について同意又は許可を得た都道府県営土地改良事業(農業生産基盤整備系統に限る。)に係る地方債(発行について地方財政法第5条の3第6項の規定による届出がされた地方債のうち同条第1項の規定による協議を受けたならば同条第10項に規定する基準に照らして同意をすることとなると認められるものとして総務大臣が指定するものを含む。以下同じ。)(災害復旧事業債、公害防止事業債、平成22年度から令和4年度までの各年度において地方税の減収に伴い発行について同意又は許可を得た地方債、平成22年度から令和4年度までの各年度において発行について同意又は許可を得た補正予算債、地域財政特例対策債、臨時財政特例債、公共事業等臨時特例債、平成22年度から令和4年度までの各年度の財源対策のため当該各年度において発行について同意又は許可を得た地方債及び地方債計画に計上されない地方債を除く。)(平成22年度から令和4年度までの各年度において発行について同意又は許可を得たものについては、平成21年度以前に着手した継続事業として総務大臣が調査した事業に係る地方債に限る。)の同意等額(平成22年度から令和4年度までの各年度にあつては、ダムに係るものとして総務大臣が通知した額とする。)O22=0.045O23=0.044O24=0.044O25=0.044O26=0.043O27=0.042O28=0.0422O29=0.0422O30=0.04180O令元=0.04180O令2=0.00100O令3=0.00175O令4=0.00350Pn n年度において発行について同意又は許可を得た都道府県営土地改良事業(農地等保全管理事業及び農業施設災害関連事業に限る。)に係る地方債(発行について地方財政法第5条の3第6項の規定による届出がされた地方債のうち同条第1項の規定による協議を受けたならば同条第10項に規定する基準に照らして同意をすることとなると認められるものとして総務大臣が指定するものを含む。以下同じ。)(災害復旧事業債、公害防止事業債、平成20年度から令和4年度までの各年度において地方税の減収に伴い発行について同意又は許可を得た地方債、平成20年度から令和4年度までの各年度において発行について同意又は許可を得た補正予算債、地域財政特例対策債、臨時財政特例債、公共事業等臨時特例債、平成20年度から令和4年度までの各年度の財源対策のため当該各年度において発行について同意又は許可を得た地方債及び地方債計画に計上されない地方債を除く。)(ダムに係るもので平成22年度から令和4年度までの各年度において発行について同意又は許可を得たものについては、平成21年度以前に着手した継続事業として総務大臣が調査した事業に係る地方債に限る。)の同意等額に相当する額(平成20年度から令和2年度までの各年度にあつてはダムに係るものとして総務大臣が通知した額とし、令和3年度及び令和4年度にあつてはダムに係るもの又は防災重点農業用ため池緊急整備事業に係るものとして総務大臣が通知した額とする。)Q20=0.046Q21=0.045Q22=0.045Q23=0.027Q24=0.026Q25=0.026Q26=0.025Q27=0.024Q28=0.0241Q29=0.0241Q30=0.02364Q令元=0.02337Q令2=0.00200Q令3=0.00325Q令4=0.00550Rn n年度において発行について同意又は許可を得た国営土地改良事業(国営かんがい排水事業、国営農用地再編開発事業等に限る。)における都道府県の負担金(土地改良法施行令第52条の2第1項第3号に規定する方法のうち事業が施行される各年度に支払う方法により支払われるものに限る。)に係る地方債(発行について地方財政法第5条の3第6項の規定による届出がされた地方債のうち同条第1項の規定による協議を受けたならば同条第10項に規定する基準に照らして同意をすることとなると認められるものとして総務大臣が指定するものを含む。以下同じ。)(災害復旧事業債、公害防止事業債、平成22年度から令和4年度までの各年度において地方税の減収に伴い発行について同意又は許可を得た地方債、平成22年度から令和4年度までの各年度において発行について同意又は許可を得た補正予算債、臨時財政特例債、平成22年度から令和4年度までの各年度において財源対策のため発行について同意又は許可を得た地方債(臨時公共事業債分)及び地方債計画に計上されない地方債を除く。)の同意等額(平成22年度から令和4年度までの各年度にあつては、ダムに係るものとして総務大臣が通知した額とする。)S22=0.045S23=0.044S24=0.044S25=0.044S26=0.043S27=0.042S28=0.0422S29=0.0422S30=0.04180S令元=0.04180S令2=0.00100S令3=0.00175S令4=0.00350Tn n年度において発行について同意又は許可を得た国営土地改良事業(国営総合農地防災事業等に限る。)における都道府県の負担金(土地改良法施行令第52条の2第1項第3号に規定する方法のうち事業が施行される各年度に支払う方法により支払われるものに限る。)に係る地方債(発行について地方財政法第5条の3第6項の規定による届出がされた地方債のうち同条第1項の規定による協議を受けたならば同条第10項に規定する基準に照らして同意をすることとなると認められるものとして総務大臣が指定するものを含む。以下同じ。)(災害復旧事業債、公害防止事業債、平成20年度から令和4年度までの各年度において地方税の減収に伴い発行について同意又は許可を得た地方債、平成20年度から令和4年度までの各年度において発行について同意又は許可を得た補正予算債、臨時財政特例債、平成20年度から令和4年度までの各年度において財源対策のため発行について同意又は許可を得た地方債(臨時公共事業債分)及び地方債計画に計上されない地方債を除く。)の同意等額に相当する額(平成20年度から令和4年度までの各年度にあつては、ダムに係るものとして総務大臣が通知した額とする。)U20=0.046U21=0.045U22=0.045U23=0.027U24=0.026U25=0.026U26=0.025U27=0.024U28=0.0241U29=0.0241U30=0.02364U令元=0.02337U令2=0.00200U令3=0.00325U令4=0.00550Vn n年度において発行について同意又は許可を得た団体営土地改良事業(防災重点農業用ため池緊急整備事業に限る。)における都道府県の負担金に係る地方債(発行について地方財政法第5条の3第6項の規定による届出がされた地方債のうち同条第1項の規定による協議を受けたならば同条第10項に規定する基準に照らして同意をすることとなると認められるものとして総務大臣が指定するものを含む。以下同じ。)(災害復旧事業債、公害防止事業債、令和3年度及び令和4年度において地方税の減収に伴い発行について同意又は許可を得た地方債、令和3年度及び令和4年度において発行について同意又は許可を得た補正予算債、令和3年度及び令和4年度において財源対策のため発行について同意又は許可を得た地方債並びに地方債計画に計上されない地方債を除く。)の同意等額に相当する額として総務大臣が通知した額W令3=0.00325W令4=0.00550Xn n年度において発行について同意又は許可を得た国立研究開発法人森林研究・整備機構、旧緑資源機構、旧緑資源公団及び旧農用地整備公団の業務における都道府県の負担金(旧農用地整備公団法施行令第14条第2項に規定する方法により支払われるものに限る。)及び独立行政法人水資源機構の業務における都道府県の負担金(平成22年度以降に同意又は許可を得たものに限る。)に係る地方債(発行について地方財政法第5条の3第6項の規定による届出がされた地方債のうち同条第1項の規定による協議を受けたならば同条第10項に規定する基準に照らして同意をすることとなると認められるものとして総務大臣が指定するものを含む。以下同じ。)(災害復旧事業債、公害防止事業債、平成22年度から令和4年度までの各年度において地方税の減収に伴い発行について同意又は許可を得た地方債、平成22年度から令和4年度までの各年度において発行について同意又は許可を得た補正予算債、臨時財政特例債、平成22年度から令和4年度までの各年度において財源対策のため発行について同意又は許可を得た地方債(臨時公共事業債分)及び地方債計画に計上されない地方債を除く。)の同意等額(平成22年度から令和4年度までの各年度にあつては、ダムに係るものとして総務大臣が通知した額とする。)Y22=0.045Y23=0.044Y24=0.044Y25=0.044Y26=0.043Y27=0.042Y28=0.0422Y29=0.0422Y30=0.04180Y令元=0.04180Y令2=0.00100Y令3=0.00175Y令4=0.00350Zn 平成n年度において発行について同意又は許可を得た臨時地方道整備事業に係る地方債(総務大臣の指定する充当の率を超える部分に係るものを除く。)のうちふるさと農道緊急整備事業に係るもの(平成15年度から平成20年度までの各年度において財源対策のため発行について同意又は許可を得た地方債として総務大臣が指定するものを除く。)の額に相当する額AA15=0.018AA16=0.018AA17=0.016AA18=0.016AA19=0.016AA20=0.01584ABn 平成n年度において発行について同意又は許可を得た臨時地方道整備事業に係る地方債(総務大臣の指定する充当の率を超える部分に係るものを除く。)のうちふるさと農道緊急整備事業に係るものの額(平成15年度から平成20年度までの各年度において財源対策のため発行について同意又は許可を得た地方債の額として総務大臣が指定するものに限る。)AC15=0.030AC16=0.030AC17=0.027AC18=0.027AC19=0.026AC20=0.02640ADn 平成n年度において発行について同意又は許可を得た地方道路等整備事業に係る地方債(総務大臣の指定する充当の率を超える部分に係るものを除く。)のうちふるさと農道緊急整備事業(平成22年度から平成24年度までの各年度において発行について同意又は許可を得たものについては、平成21年度以前に着手した継続事業として総務大臣が調査した事業に限る。)に係るもの(平成21年度から平成24年度までの各年度において財源対策のため発行について同意又は許可を得た地方債として総務大臣が指定するものを除く。)の額に相当する額AE21=0.01681AE22=0.01684AE23=0.01692AE24=0.01727AFn 平成n年度において発行について同意又は許可を得た地方道路等整備事業に係る地方債(総務大臣の指定する充当の率を超える部分に係るものを除く。)のうちふるさと農道緊急整備事業に係るものの額(平成21年度から平成24年度までの各年度において財源対策のため発行について同意又は許可を得た地方債の額として総務大臣が指定するものに限る。)AG21=0.02802AG22=0.02807AG23=0.02821AG24=0.02878
 八 林野行政費公有以外の林野の面積算式
算式の符号A 測定単位の数値Bn 平成n年度において発行について同意又は許可を得た臨時地方道整備事業に係る地方債(総務大臣の指定する充当の率を超える部分に係るものを除く。)のうちふるさと林道緊急整備事業に係るもの(平成15年度から平成20年度までの各年度において財源対策のため発行について同意又は許可を得た地方債として総務大臣が指定するものを除く。)の額に相当する額C15=0.018C16=0.018C17=0.016C18=0.016C19=0.016C20=0.01584Dn 平成n年度において発行について同意又は許可を得た臨時地方道整備事業に係る地方債(総務大臣の指定する充当の率を超える部分に係るものを除く。)のうちふるさと林道緊急整備事業に係るものの額(平成15年度から平成20年度までの各年度において財源対策のため発行について同意又は許可を得た地方債の額として総務大臣が指定するものに限る。)E15=0.030E16=0.030E17=0.027E18=0.027E19=0.026E20=0.02640Fn 平成n年度において発行について同意又は許可を得た一般補助施設整備等事業(一般分)に係る地方債のうち特定間伐等促進対策に係るものの額に相当する額G20=0.01584G21=0.01681G22=0.01684Hn 平成n年度において発行について同意又は許可を得た地方道路等整備事業に係る地方債(総務大臣の指定する充当の率を超える部分に係るものを除く。)のうちふるさと林道緊急整備事業に係るもの(平成21年度から平成24年度までの各年度において財源対策のため発行について同意又は許可を得た地方債として総務大臣が指定するものを除く。)の額に相当する額(平成22年度から平成24年度までの各年度において発行について同意又は許可を得たものについては、平成21年度以前に着手した継続事業の地方債の額として総務大臣が調査したものに限る。)の額に相当する額I21=0.01681I22=0.01684I23=0.01692I24=0.01727Jn 平成n年度において発行について同意又は許可を得た地方道路等整備事業に係る地方債(総務大臣の指定する充当の率を超える部分に係るものを除く。)のうちふるさと林道緊急整備事業に係るものの額(平成21年度から平成24年度までの各年度において財源対策のため発行について同意又は許可を得た地方債の額として総務大臣が指定するものに限る。)K21=0.02802K22=0.02807K23=0.02821K24=0.02878
 九 地域振興費人口算式Ⅰ
算式Ⅰの符号A 測定単位の数値Bn 防災対策事業(防災基盤整備事業分(特に推進すべきものを除く。))に係る経費に充てるためn年度において発行について同意又は許可を得た地方債(総務大臣の指定する充当の率を超える部分に係るものを除く。)の額に相当する額C15=0.018C16=0.018C17=0.016C18=0.016C19=0.016C20=0.01584C21=0.01681C22=0.01684C23=0.01692C24=0.01727C25=0.018C26=0.017C27=0.017C28=0.0163C29=0.0163C30=0.01299C令元=0.01283C令2=0.00064C令3=0.00086C令4=0.00207Dn 防災対策事業(防災基盤整備事業分(特に推進すべきもの))に係る経費に充てるためn年度において発行について同意又は許可を得た地方債(総務大臣の指定する充当の率を超える部分に係るものを除く。)の額に相当する額E17=0.027E18=0.027E19=0.026E20=0.02640E21=0.02802E22=0.02807E23=0.02821E24=0.02878E25=0.029E26=0.029E27=0.028E28=0.0271E29=0.0272E30=0.02165E令元=0.02139E令2=0.00107E令3=0.00144E令4=0.00345Fn 防災対策事業(公共施設等耐震化事業分)に係る経費に充てるためn年度において発行について同意又は許可を得た地方債(平成21年度における建築物の耐震診断及び耐震改修の促進を図るための基本的な方針(平成18年国土交通省告示第184号)に規定する構造耐震指標(以下「Is値」という。)が0.3未満の施設を対象とした事業分及び総務大臣の指定する充当の率を超える部分に係るものを除く。)の額に相当する額G15=0.030G16=0.030G17=0.027G18=0.027G19=0.026G20=0.02640G21=0.02802G22=0.02807G23=0.02821G24=0.02878G25=0.029G26=0.029G27=0.028G28=0.0271G29=0.0272G30=0.02165G令元=0.02139G令2=0.00107G令3=0.00144G令4=0.00345Hn 防災対策事業(公共施設等耐震化事業のうちIs値が0.3未満の施設を対象とした事業分)に係る経費に充てるためn年度において発行について同意又は許可を得た地方債(総務大臣の指定する充当の率を超える部分に係るものを除く。)の額に相当する額I21=0.03754I22=0.03761I23=0.03779I24=0.03856I25=0.039I26=0.038I27=0.037I28=0.0363I29=0.0364I30=0.02900I令元=0.02866I令2=0.00143I令3=0.00193I令4=0.00462Jn 防災対策事業(旧緊急防災基盤整備事業(継続事業分))に係る経費に充てるため平成n年度において発行を許可された地方債(総務大臣の指定する充当の率を超える部分に係るものを除く。)の額に相当する額K15=0.030K16=0.030K17=0.027L 国の施策に基づいて要請された金融支援として水俣病発生地域において水俣病の原因となる物質を排水した法人への無利子の貸付けに係る経費に充てるため、平成12年度以降の各年度において発行について同意又は許可を得た地方債の当該年度における元利償還金(ただし、当該年度において水俣病の原因となる物質を排出した法人から償還される額を除く。)及び水俣病被害者の救済及び水俣病問題の解決に関する特別措置法(平成21年法律第81号)第5条の規定に基づく一時金の支給に伴い、一時金支給資金に係る金融支援を行う法人への出資に係る経費に充てるため、当該年度の前年度までの各年度において発行について同意又は許可を得た地方債の当該年度における元利償還金(ただし、当該年度において一時金支給資金に係る金融支援を行う法人から償還される額を除く。)Mn 特定産業廃棄物に起因する支障の除去等に関する特別措置法(平成15年法律第98号)第6条の規定により、産業廃棄物不法投棄対策事業に係る経費に充てるため平成n年度において発行について同意又は許可を得た地方債の額に相当する額N15=0.030N16=0.030N17=0.027N18=0.027N19=0.026N20=0.02640N21=0.02802N22=0.02807On 民間資金等の活用による公共施設等の整備等の促進に関する法律(平成11年法律第117号。以下「PFI法」という。)第8条第1項の規定により、地方公共団体がPFI法第5条第1項の実施方針を定めて実施するPFI法第2条第4項に規定する選定事業を実施するものとして選定されたもの(以下「PFI事業者」という。)が整備し、n年度において供用を開始した公共施設等の施設整備費相当額(当該地方公共団体が当該施設を建設したとみなした場合に一般財源所要額として基準財政需要額に算入されるべき額の年次毎の合計額)として当該地方公共団体の長の申告に基づき総務大臣が通知した額P15=0.012P16ア 高知県に対して総務大臣が通知した額に係るもの 0.023イ ア以外の総務大臣が通知した額に係るもの 0.012P17=0.010P18ア 北海道に対して総務大臣が通知した額のうちAに係るもの 0.026イ 北海道に対して総務大臣が通知した額のうちBに係るもの 0.015ウ 山梨県に対して総務大臣が通知した額に係るもの 0.020エ 兵庫県に対して総務大臣が通知した額に係るもの 0.015P19=0.010P20=0.01020P21=0.01013P22=0.01076P23=0.01064P24ア 新潟県に対して総務大臣が通知した額に係るもの 0.01072イ 徳島県に対して総務大臣が通知した額のうちAに係るもの 0.01608ウ 徳島県に対して総務大臣が通知した額のうちBに係るもの 0.02680P25ア 宮城県に対して総務大臣が通知した額のうちAに係るもの 0.011イ 宮城県に対して総務大臣が通知した額のうちBに係るもの 0.016P26=0.012P27=0.000P28=0.0339P29=0.0000P30=0.00000P令元=0.02533P令2=0.00000P令3=0.00000P令4=0.01070Qn 石綿対策事業に係る経費に充てるため平成n年度において発行について同意又は許可を得た地方債(総務大臣の指定する充当の率を超える部分に係るものを除く。)の額に相当する額R17=0.022R18=0.021R19=0.021R20=0.02112R21=0.02241R22=0.02245Sn 公共施設等地上デジタル放送移行対策事業に係る経費に充てるため平成n年度において発行について同意又は許可を得た一般単独(一般)事業債(発行について地方財政法第5条の3第6項の規定による届出がされた地方債のうち同条第1項の規定による協議を受けたならば同条第10項に規定する基準に照らして同意をすることとなると認められるものとして総務大臣が指定するものを含む。以下同じ。)(総務大臣の指定する充当の率を超える部分に係るものを除く。)の額に相当する額T21=0.01681T22=0.01684T23=0.01692Un 公共施設等地上デジタル放送移行対策事業に係る経費に充てるため平成n年度において発行について同意又は許可を得た学校教育施設等整備事業債(発行について地方財政法第5条の3第6項の規定による届出がされた地方債のうち同条第1項の規定による協議を受けたならば同条第10項に規定する基準に照らして同意をすることとなると認められるものとして総務大臣が指定するものを含む。以下同じ。)(小中学校分及び総務大臣の指定する充当の率を超える部分に係るものを除く。)の額に相当する額V21=0.01681V22=0.01684V23=0.01692Wn 津波避難対策緊急事業に係る経費に充てるためn年度において発行について同意又は許可を得た地方債(総務大臣の指定する充当の率を超える部分に係るものを除く。)の額に相当する額X26=0.028X27=0.027X28=0.0257X29=0.0259X30=0.02596X令元=0.02561X令2=0.00114X令3=0.00157X令4=0.00353Yn 公共施設最適化事業に係る経費に充てるため平成n年度において発行について同意又は許可を得た地方債(総務大臣の指定する充当の率を超える部分に係るものを除く。)の額に相当する額Z27=0.028Z28=0.0271AA28 地方創生推進交付金事業に係る経費に充てるため平成28年度において発行について同意又は許可を得た地方債(総務大臣の指定する充当の率を超える部分に係るものを除く。)の額に相当する額AB28=0.0163AC 災害対策基本法(昭和36年法律第223号)第102条第1項第2号に掲げる場合に係る経費に充てるため発行について同意又は許可を得た地方債(平成28年熊本地震、平成30年7月豪雨、令和元年台風第15号、令和元年台風第19号及び令和2年7月豪雨による災害に係る災害廃棄物処理対策、平成28年熊本地震及び平成30年7月豪雨による災害に係る中小企業等グループ施設等復旧整備対策並びに令和2年7月豪雨による災害に係るなりわい再建支援事業に係る経費に充てるため発行について同意又は許可を得た地方債(平成30年7月豪雨による災害に係る災害廃棄物処理対策に係る経費に充てるため発行について同意又は許可を得た地方債にあつては、「平成三十年度補正予算(第二号)に係る地方債の取扱いについて」に基づき発行について同意又は許可を得た地方債を除く。)に限る。)の当該年度における元利償還金ADn 公共施設等適正管理推進事業のうち、集約化・複合化事業に係る経費に充てるためn年度において発行について同意又は許可を得た地方債(総務大臣の指定する充当の率を超える部分に係るものを除く。)の額に相当する額AE29=0.0272AE30=0.02165AE令元=0.02139AE令2=0.00107AE令3=0.00144AE令4=0.00345AF29 公共施設等適正管理推進事業のうち、長寿命化事業、転用事業及び立地適正化事業に係る経費に充てるため平成29年度において発行について同意又は許可を得た地方債(総務大臣の指定する充当の率を超える部分に係るものを除く。)の額に相当する額AG29=0.0163AHn 公共施設等適正管理推進事業のうち、長寿命化事業、転用事業、立地適正化事業、ユニバーサルデザイン化事業及び脱炭素化事業(義務教育施設の大規模改造事業分を除く。)に係る経費に充てるためn年度において発行について同意又は許可を得た地方債(総務大臣の指定する充当の率を超える部分に係るものを除く。)の額に相当する額AI30=0.01299AI令元=0.01283AI令2=0.00064AI令3=0.00086AI令4=0.00207α 当該都道府県の財政力指数(当該都道府県に係る基準財政収入額(錯誤に係る額として加減した額を除く。)を基準財政需要額(錯誤に係る額として加減した額を除く。)で除して得た数値(小数点以下2位未満の端数があるときは、その端数を四捨五入する。)で当該年度前3年度内の各年度に係るものを合算して得たものを3で除して得た数値(小数点以下2位未満の端数があるときは、その端数を四捨五入する。)をいう。)に-0.50を乗じて得た数(小数点以下3位未満の端数があるときは、その端数を四捨五入する。)と0.70との合計数とする。ただし、当該合計数が、0.300に満たないときは0.300とし、0.500を超えるときは0.500とする。AJn 公共施設等適正管理推進事業のうち、長寿命化事業、ユニバーサルデザイン化事業及び脱炭素化事業(義務教育施設の大規模改造事業分)に係る経費に充てるためn年度において発行について同意又は許可を得た地方債(総務大臣の指定する充当の率を超える部分に係るものを除く。)の額に相当する額AK30=0.01299AK令元=0.01283AK令2=0.00064AK令3=0.00086AK令4=0.00207β 当該都道府県の財政力指数(当該都道府県に係る基準財政収入額(錯誤に係る額として加減した額を除く。)を基準財政需要額(錯誤に係る額として加減した額を除く。)で除して得た数値(小数点以下2位未満の端数があるときは、その端数を四捨五入する。)で当該年度前3年度内の各年度に係るものを合算して得たものを3で除して得た数値(小数点以下2位未満の端数があるときは、その端数を四捨五入する。)をいう。)に-0.20を乗じて得た数(小数点以下3位未満の端数があるときは、その端数を四捨五入する。)と0.58との合計数とする。ただし、当該合計数が、0.420に満たないときは0.420とし、0.500を超えるときは0.500とする。ALn まち・ひと・しごと創生交付金事業に係る経費に充てるためn年度において発行について同意又は許可を得た地方債(総務大臣の指定する充当の率を超える部分に係るものを除く。)の額に相当する額AM29=0.0163AM30=0.01299AM令元=0.01283AM令2=0.00064AM令3=0.00086AM令4=0.00207ANn 地方大学・地域産業創生事業に係る経費に充てるためn年度において発行について同意又は許可を得た地方債(総務大臣の指定する充当の率を超える部分に係るものを除く。)の額に相当する額AO30=0.01299AO令元=0.01283AO令2=0.00064AO令3=0.00086AO令4=0.00207APn 文化財保存・活用事業(国宝重要文化財等保存・活用事業及び史跡等購入事業に限る。)に係る経費に充てるためn年度において発行について同意又は許可を得た地方債(総務大臣の指定する充当の率を超える部分に係るものを除く。)の額に相当する額AQ30=0.01299AQ令元=0.01283AQ令2=0.00064AQ令3=0.00086AQ令4=0.00207ARn 有明海・八代海等再生事業に係る経費に充てるためn年度において発行について同意又は許可を得た地方債(総務大臣の指定する充当の率を超える部分に係るものを除く。)の額に相当する額AS令3=0.00144AS令4=0.00345ATn n年度において発行について同意又は許可を得た公共事業等(宅地耐震化推進事業(特別分)及び盛土緊急対策事業(特別分)に限る。)に係る地方債(総務大臣の指定する充当の率を超える部分に係るもの及び令和4年度において財源対策のため発行について同意又は許可を得た地方債として総務大臣が指定するものを除く。)の額に相当する額AU令4=0.00353AVn 脱炭素化事業(病院事業並びに上水道及び簡易水道事業に係るものを除く。)に係る経費に充てるためn年度において発行について同意又は許可を得た地方債(総務大臣の指定する充当の率を超える部分に係るものを除く。)のうち公営企業債の額に相当する額AW令4=0.00302γ 当該都道府県の財政力指数(当該都道府県に係る基準財政収入額(錯誤に係る額として加減した額を除く。)を基準財政需要額(錯誤に係る額として加減した額を除く。)で除して得た数値(小数点以下2位未満の端数があるときは、その端数を四捨五入する。)で当該年度前3年度内の各年度に係るものを合算して得たものを3で除して得た数値(小数点以下2位未満の端数があるときは、その端数を四捨五入する。)をいう。)に-0.50を乗じて得た数(小数点以下3位未満の端数があるときは、その端数を四捨五入する。)と0.70との合計数とする。ただし、当該合計数が、0.300に満たないときは0.300とし、0.500を超えるときは0.500とする。算式Ⅱ
算式Ⅱの符号A 測定単位の数値B 流域下水道の整備事業、公共下水道幹線管渠等整備事業及び農業集落排水施設の整備事業に係る経費に充てるため昭和34年度から平成10年度までの各年度において発行を許可された地方債(災害復旧事業債、公害防止事業債、昭和46年度、昭和47年度、昭和50年度から昭和61年度までの各年度及び平成3年度から平成10年度までの各年度において地方税の減収に伴い発行を許可された地方債、昭和50年度から昭和57年度までの各年度及び昭和59年度において財政健全化のため発行を許可された地方債、財源対策債、昭和50年度、昭和52年度、昭和53年度、昭和61年度及び平成4年度から平成10年度までの各年度において発行を許可された補正予算債、地域財政特例対策債、臨時財政特例債、公共事業等臨時特例債、平成6年度以降の各年度において国の補助金等の整理及び合理化に関する法律による投資的経費に係る国庫補助負担率の恒久化措置に伴う昭和59年度国庫補助負担率と比較した場合の国庫補助金等の減少相当額の発行を許可された地方債(以下この表において「下水道事業債特例措置分」という。)、昭和46年度以前の各年度において発行を許可された地方債で市場公募資金に係るもの及びその借換債、昭和50年度以前の各年度において発行を許可された地方債で縁故資金に係るもの、供用開始前の施設又は供用開始後の施設のうち未利用部分に係る地方債の元利償還金に充てるため発行を許可された地方債、終末処理場、ポンプ場、下水道庁舎及び取付道路の施設を当該年度に設置するため必要となる単独用地に係る経費に充てるため発行を許可された地方債並びに地方債計画に計上されない地方債を除く。)の当該年度における元利償還金(この表市町村の項第6号算式の符号ANの総務大臣が算定して通知した額の基礎となつた元利償還金を除く。)Cn 流域下水道の整備事業、公共下水道幹線管渠等整備事業及び農業集落排水施設の整備事業に係る経費に充てるためn年度において発行について同意又は許可を得た地方債(「平成16年度の下水道事業債の取扱いについて」(平成16年4月20日付け総財経第92号)により更新事業に区分された地方債(以下この号において「更新事業」という。)、災害復旧事業債、公害防止事業債、地方税の減収に伴い発行について同意又は許可を得た地方債、財政健全化のために発行を許可された地方債、臨時財政特例債、下水道資本費平準化債、下水道事業債特例措置分、下水道事業債臨時措置分、供用開始前の施設又は供用開始後の施設のうち未利用分に係る地方債の元利償還金に充てるため発行を許可された地方債、終末処理場、ポンプ場、下水道庁舎及び取付道路の施設を当該年度に設置するため必要となる単独用地に係る経費に充てるため発行を許可された地方債、地方債計画に計上されない地方債、復興庁設置法等の一部を改正する法律(令和2年法律第46号)第2条の規定による改正前の東日本大震災復興特別区域法(平成23年法律第122号)第78条第2項に規定する交付金(以下この表において「復興交付金」という。)を受けて施行する公営企業復興事業に係る経費に充てるため平成23年度から令和4年度までの各年度に発行について同意又は許可を得た地方債、全国的に緊急に実施する公営企業緊急防災・減災事業に係る経費に充てるため平成23年度から令和4年度までの各年度に発行について同意又は許可を得た地方債、再生可能エネルギー発電設備の設置に係る経費に充てるため発行について同意又は許可を得た地方債並びに公営企業会計適用債を除く。)の額に相当する額(この表市町村の項第6号算式の符号ANの総務大臣が算定して通知した額の基礎となつた地方債の額を除く。符号En、符号Gn、符号Kn及び符号Onにおいて同じ。)D11=0.026D12=0.025D13=0.027D14=0.024D15=0.024D16=0.024D17=0.025D18=0.023D19=0.023D20=0.02336D21=0.02248D22=0.02206D23=0.02169D24=0.02180D25=0.022D26=0.022D27=0.020D28=0.0203D29=0.0205D30=0.01012D令元=0.00953D令2=0.00168D令3=0.00268D令4=0.00442En 流域下水道の整備事業、公共下水道幹線管渠等整備事業及び農業集落排水施設の整備事業に係る経費に充てるため平成n年度において発行について同意又は許可を得た地方債のうち更新事業に係るものの額に相当する額F16=0.011F17=0.011Gn 流域下水道の整備事業に係る経費に充てるためn年度において発行について同意又は許可を得た地方債のうち下水道事業債臨時措置分(復興交付金を受けて施行する公営企業復興事業に係る経費に係るものを除く。)の額に相当する額H12=0.050H13=0.044H14=0.039H15=0.054H16=0.054H17=0.055H18=0.053H19=0.053H20=0.05309H21=0.05110H22=0.05014H23=0.04930H24=0.04955H25=0.050H26=0.049H27=0.045H28=0.0461H29=0.0465H30=0.02300H令元=0.02165H令2=0.00382H令3=0.00608H令4=0.01005In 旧公害の防止に関する事業に係る国の財政上の特別措置に関する法律(昭和46年法律第70号)第2条の2第1項に規定する公害防止対策事業計画についての「公害防止対策事業計画の同意基準」(平成23年12月決定)を満たす地方公共団体が別に定める事業計画に基づいて実施する事業(公共下水道(下水道法(昭和33年法律第79号)第2条第3号イに規定するものに限る。)及び流域下水道(同条第4号イに規定するものに限る。)(以下この号において「公共下水道等」という。)における設置及び改築の事業(下水道法施行令(昭和34年政令第147号)第24条の2第1項第1号ロに規定する特定公共下水道の設置及び改築の事業並びに公共下水道等における処理場、ポンプ施設及び管路施設の供用開始後25年を経過したものに係る事業で、下水の処理量の増大又は放流水の水質の改善に資さないものを除く。)をいう。)に係る経費に充てるためn年度において発行について同意又は許可を得た地方債の額に相当する額J令3=0.00200J令4=0.00406Kn n年度において発行について同意又は許可を得た下水道資本費平準化債(発行について地方財政法第5条の3第6項の規定による届出がされた地方債のうち同条第1項の規定による協議を受けたならば同条第10項に規定する基準に照らして同意をすることとなると認められるものとして総務大臣が指定するものを含む。以下同じ。)の額に相当する額L16=0.031L17=0.030L18=0.030L19=0.030L20=0.02977L21=0.02967L22=0.02982L23=0.03005L24=0.03131L25=0.032L26=0.031L27=0.031L28=0.0302L29=0.0303L30=0.03036L令元=0.03003L令2=0.00099L令3=0.00122L令4=0.00321M 都道府県知事の申告に基づき総務大臣が調査した当該年度における下水道資本費平準化債同意等見込額(地方財政法第5条の3第6項の規定による届出をして発行する見込みである地方債のうち同条第1項の規定による協議を受けたならば同条第10項に規定する基準に照らして同意をすることとなると認められるものとして総務大臣が指定すると見込まれるものの額を含む。以下同じ。)(公害防止事業分を除く。)として総務大臣が通知した額N 日本下水道事業団からの下水汚泥広域処理事業の施設の地方団体への移管に係る地方債の当該年度における元利償還金を基礎として総務大臣が算定して通知した額On 流域下水道、公共下水道幹線管渠等及び農業集落排水施設の準建設改良費のうち地方公営企業法の財務規定等の適用に要する経費又は都道府県が行うこれらの事業に対する法令に基づく負担金に充てるためn年度において発行について同意又は許可を得た地方債の額に相当する額P27=0.064P28=0.0633P29=0.0634P30=0.06366P令元=0.06336P令2=0.00084P令3=0.00092P令4=0.00261算式Ⅲ
算式Ⅲの符号A 測定単位の数値B 昭和44年度以降に建設された地下高速鉄道の建設に係る過年度分の事業費(ただし、符号Fに係るものを除く。)を基礎として総務大臣が算定して通知した額C 昭和44年度以降に建設された地下高速鉄道の建設に係る当該年度分の事業費(ただし、符号Fに係るものを除く。)を基礎として総務大臣が算定して通知した額Dn 地下高速鉄道の建設に係る事業費(ただし、符号Fに係るものを除く。)の一部を補助する財源に充てるためn年度において発行について同意又は許可を得た都市高速鉄道事業債(発行について地方財政法第5条の3第6項の規定による届出がされた地方債のうち同条第1項の規定による協議を受けたならば同条第10項に規定する基準に照らして同意をすることとなると認められるものとして総務大臣が指定するものを含む。以下同じ。)の額のうち総務大臣が算定して通知した額E13=0.0318E14=0.0212E15=0.0243E16=0.0243E17=0.0249E18=0.0237E19=0.0237E20=0.02389E21=0.02300E22=0.02256E23=0.02219E24=0.02230E25=0.0224E26=0.0220E27=0.0203E28=0.0207E29=0.0209E30=0.01035E令元=0.00974E令2=0.00172E令3=0.00274E令4=0.00452F 地方団体がその資本金その他これに準ずるもの(以下この表において「資本金等」という。)の2分の1以上を出資する株式会社(以下「第三セクター」という。)が行う地下高速鉄道の建設に係る事業費を基礎として総務大臣が算定して通知した額G 昭和47年度から昭和51年度までの各年度において発行を許可された地下鉄事業債の支払利息相当額を対象として昭和58年度から平成4年度までの各年度において発行を許可された地方債(以下「地下鉄事業新特例債」という。)に係る当該年度における元金償還金H 昭和58年度から平成2年度までの各年度において発行を許可された地下鉄建設事業債の支払利息相当額を対象として平成15年度以降の各年度において発行を許可された地方債(以下「地下鉄事業続特例債」という。)及び平成3年度から平成12年度までの各年度において発行を許可された地下鉄事業債の支払利息相当額を対象として平成25年度及び平成26年度に発行について同意又は許可を得た地方債(以下「地下鉄事業再特例債」という。)に係る当該年度における元金償還金の額のうち総務大臣が算定して通知した額In n年度(平成27年度以降に限る。)において発行について同意又は許可を得た地下鉄事業再特例債の額のうち総務大臣が算定して通知した額J27=0.045J28=0.0450J29=0.0450J30=0.04500J令元=0.04500J令2=0.04500J令3=0.04500J令4=0.04500K 昭和46年度以降に建設された都道府県営の地下高速鉄道の建設に係る事業費の一部を出資する財源に充てるため平成11年度以前の各年度において発行を許可された地方債(昭和46年度、昭和47年度、昭和50年度から昭和61年度までの各年度及び平成3年度から平成11年度までの各年度において地方税の減収に伴い発行を許可された地方債、昭和50年度から昭和57年度までの各年度、昭和59年度、平成10年度及び平成11年度において財政健全化のため発行を許可された地方債、地域財政特例対策債並びに当該年度の6月1日以降において借り入れた地方債を除く。)の当該年度における元利償還金Ln 昭和46年度以降に建設された都道府県営の地下高速鉄道の建設に係る事業費の一部を出資する財源に充てるためn年度において発行について同意又は許可を得た地方債(平成12年度から平成20年度までの各年度において地方税の減収に伴い発行について同意又は許可を得た地方債及び平成12年度から平成20年度までの各年度において財政健全化のために発行について同意又は許可を得た地方債を除く。)の額に相当する額M12=0.0300M13=0.0318M14=0.0212M15=0.0243M16=0.0243M17=0.0249M18=0.0237M19=0.0237M20=0.02389M21=0.02300M22=0.02256M23=0.02219M24=0.02230M25=0.0224M26=0.0220M27=0.0203M28=0.0207M29=0.0209M30=0.01035M令元=0.00974M令2=0.00172M令3=0.00274M令4=0.00452N 地下鉄緊急整備事業(「地下鉄緊急整備事業について」(平成6年3月31日付け鉄財第98号、自治企一第37号)に基づき施行する事業(第三セクターが実施する事業を含む。)をいう。)の地方単独整備区間に係る事業費に充てるため平成6年度以降の各年度において発行について同意又は許可を得た地方債(当該年度の6月1日以降に借り入れた地方債を除く。以下「地下鉄緊急整備事業債」という。)(大阪市において事業承継前に発行について同意又は許可を得た地方債を含む。)の当該年度における元利償還金を基礎として総務大臣が算定して通知した額O 地下鉄事業続特例債及び昭和58年度から平成2年度までの各年度において発行を許可された地下鉄事業の当該年度における支払利息相当額を対象として総務大臣が調査したものの当該年度における支払利息のうち、当該地方債の年利率の1.2パーセントの範囲内で発行利率に相当する利率として計算した額として総務大臣が通知した額P 地下高速鉄道を経営する第三セクターに対し出資する財源に充てるため平成6年度以降の各年度において発行について同意又は許可を得た都市高速鉄道事業債の額のうち総務大臣が算定して通知した額に別表第3の10に定める率を乗じて得た額Q 地下高速鉄道を経営する第三セクターに対し補助する財源に充てるため平成13年度以降の各年度において発行について同意又は許可を得た都市高速鉄道事業債の額のうち総務大臣が算定して通知した額に別表第3の10に定める率を乗じて得た額R ニュータウン鉄道等を経営する第三セクターに対し出資する財源に充てるため平成10年度以降の各年度において発行について同意又は許可を得た都市高速鉄道事業債の額のうち総務大臣が算定して通知した額に別表第3の10に定める率を乗じて得た額S ニュータウン鉄道等を経営する第三セクターに対し補助する財源に充てるため平成14年度以降の各年度において発行について同意又は許可を得た都市高速鉄道事業債の額のうち総務大臣が算定して通知した額に別表第3の10に定める率を乗じて得た額T 都市モノレール事業及び案内軌条式鉄道事業(以下この表において「モノレール事業等」という。)を経営する第三セクターに対し出資する財源に充てるため昭和52年度以降の各年度において発行を許可された都市高速鉄道事業債(平成元年度までに償還を終了したものを除く。)の額のうち総務大臣が算定して通知した額に別表第3の10に定める率を乗じて得た額算式Ⅳ
算式Ⅳの符号A 測定単位の数値B 国が行う第二種(A)空港(空港整備法及び航空法の一部を改正する法律(平成20年法律第75号)第1条の規定による改正前の空港整備法(昭和31年法律第80号)第2条第1項第2号に規定する第二種空港(以下この表において「第二種空港」という。)のうち国土交通大臣が管理するものをいう。以下この表において同じ。)の整備事業に係る法令に基づく負担金又は国庫の補助金を受けて施行した第三種空港(空港整備法及び航空法の一部を改正する法律第1条の規定による改正前の空港整備法第2条第1項第3号に規定する第三種空港をいう。以下この表において同じ。)の整備事業のうち奄美群島振興開発事業として行われるものに係る経費に充てるため昭和57年度から平成10年度までの各年度において発行を許可された地方債(災害復旧事業債、公害防止事業債、昭和57年度から昭和61年度まで及び平成3年度から平成10年度までの各年度において地方税の減収に伴い発行を許可された地方債、昭和57年度及び昭和59年度において財政健全化のため発行を許可された地方債、財源対策債、昭和61年度、昭和62年度及び平成4年度から平成10年度までの各年度において発行を許可された補正予算債、地域財政特例対策債、臨時財政特例債、公共事業等臨時特例債、地方債計画に計上されない地方債並びに総務大臣の指定する充当の率を超える部分に係るものを除く。)の当該年度における元利償還金C 国庫の補助金を受けて施行した第二種(B)空港(第二種空港のうち地方団体が管理するものをいう。以下この表において同じ。)の整備事業に係る経費に充てるため昭和57年度から平成10年度までの各年度において発行を許可された地方債(災害復旧事業債、公害防止事業債、昭和57年度から昭和61年度まで及び平成3年度から平成10年度までの各年度において地方税の減収に伴い発行を許可された地方債、昭和57年度及び昭和59年度において財政健全化のため発行を許可された地方債、財源対策債、昭和61年度、昭和62年度及び平成4年度から平成10年度までの各年度において発行を許可された補正予算債、地域財政特例対策債、臨時財政特例債、公共事業等臨時特例債、地方債計画に計上されない地方債並びに総務大臣の指定する充当の率を超える部分に係るものを除く。)の当該年度における元利償還金D 国庫の補助金を受けて施行した第三種空港の整備事業(奄美群島振興開発事業として行われるものを除く。)に係る経費に充てるため昭和57年度から平成10年度までの各年度において発行を許可された地方債(災害復旧事業債、公害防止事業債、昭和57年度から昭和61年度まで及び平成3年度から平成10年度までの各年度において地方税の減収に伴い発行を許可された地方債、昭和57年度及び昭和59年度において財政健全化のため発行を許可された地方債、財源対策債、昭和61年度、昭和62年度及び平成4年度から平成10年度までの各年度において発行を許可された補正予算債、地域財政特例対策債、臨時財政特例債、公共事業等臨時特例債、地方債計画に計上されない地方債並びに総務大臣の指定する充当の率を超える部分に係るものを除く。)の当該年度における元利償還金算式Ⅴ
算式Ⅴの符号A 測定単位の数値B 国庫の補助金を受けて施行した都市公園法第2条第1項に規定する都市公園又は都市公園等整備緊急措置法(昭和47年法律第67号)第2条第1項第3号に該当する公園の整備事業に係る経費に充てるため昭和63年度から平成10年度までの各年度において発行を許可された地方債(平成3年度から平成10年度までの各年度において地方税の減収に伴い発行を許可された地方債、財源対策債、臨時財政特例債、公共事業等臨時特例債、地域財政特例対策債、地方債計画に計上されない地方債及び総務大臣の指定する充当の率を超える部分に係るものを除く。)で総務大臣が調査したものの当該年度における元利償還金C15 国庫の補助金を受けて施行した都市公園法第2条第1項に指定する都市公園又は都市公園等整備緊急措置法第2条第1項第3号に該当する公園の整備事業に係る経費に充てるため平成15年度において発行を許可された地方債(平成15年度において地方税の減収に伴い発行を許可された地方債、財源対策債、地方債計画に計上されない地方債及び総務大臣の指定する充当の率を超える部分に係るものを除く。)で総務大臣が調査した額D15=0.012算式Ⅵ
算式Ⅵの符号A 測定単位の数値B 災害対策基本法第40条第1項の規定に基づく都道府県地域防災計画に掲上されている災害危険区域において災害の発生を防止し、又は災害の拡大を防止するために単独で実施する治山、小規模山地崩壊等の事業の経費に充てるため発行について同意又は許可を得た地方債(災害復旧事業債、昭和53年度から昭和61年度までの各年度及び平成3年度から平成20年度までの各年度において地方税の減収に伴い発行を許可された地方債、昭和53年度から昭和57年度までの各年度及び昭和59年度において財政健全化のため発行を許可された地方債、財源対策債、地域財政特例対策債、臨時財政特例債、公共事業等臨時特例債、当該年度の6月1日以降において借り入れた地方債並びに地方債計画に計上されない地方債を除く。)の当該年度における元利償還金α 符号Bの額を第17条第3項の規定によつて算定した当該地方団体の標準財政収入額で除して得た数(小数点以下3位未満の端数があるときは、その端数を四捨五入する。)に10,000を乗じて得た数(以下この号において「財政力係数」という。)に別表第3の11(1)のAに定める当該財政力係数の段階に応ずる率を乗じて得た数と同表のBに定める当該財政力係数の段階に応ずる数値との合計数を当該財政力係数で除して得た数(小数点以下3位未満の端数があるときは、その端数を四捨五入し、当該財政力係数が100以下のときは1.000とする。)算式Ⅶ
算式Ⅶの符号A 測定単位の数値B 産炭地域開発就労事業、炭鉱離職者緊急就労対策事業、旧炭鉱離職者緊急就労対策事業従事者暫定就労事業、産炭地域開発就労事業従事者自立促進事業及び産炭地域開発就労事業従事者就労確保事業に係る経費に充てるため発行について同意又は許可を得た地方債(災害復旧事業債、公害防止事業債、昭和46年度、昭和47年度、昭和50年度から昭和61年度までの各年度及び平成3年度から平成16年度までの各年度において地方税の減収に伴い発行を許可された地方債、昭和50年度から昭和57年度までの各年度及び昭和59年度において財政健全化のため発行を許可された地方債、財源対策債、地域財政特例対策債並びに当該年度の6月1日以降において借り入れた地方債を除く。)の当該年度における元利償還金算式Ⅷ
算式Ⅷの符号A 測定単位の数値Bn 住宅宅地関連公共施設整備促進事業等(住宅建設事業及び宅地開発事業に関連する公共施設の整備に関する事業で一般単独(一般)事業債の対象とされたものをいう。以下この表において同じ。)に係る経費に充てるため平成n年度において発行を許可された地方債の額に相当する額C15=0.012C16=0.012C17=0.011算式Ⅸ
算式Ⅸの符号A 測定単位の数値Bn 被災市街地復興特別事業に係る経費に充てるため平成n年度において発行について同意又は許可を得た地方債のうち一般公共事業債の額に相当する額C15=0.053C16=0.052C17=0.049C18=0.043C19=0.043C20=0.04595C21=0.04739C22=0.04594Dn 被災市街地復興特別事業(街路事業分を除く。)に係る経費に充てるためn年度において発行について同意又は許可を得た地方債のうち公共事業等債の額に相当する額E23=0.04395E24=0.04466E25=0.045E26=0.044E27=0.042E28=0.0411E29=0.0414E30=0.04154E令元=0.04098E令2=0.00182E令3=0.00251E令4=0.00565Fn 被災市街地復興特別事業(街路事業分に限る。)に係る経費に充てるためn年度において発行について同意又は許可を得た地方債のうち公共事業等債の額に相当する額G令元=0.02561G令2=0.00114G令3=0.00157G令4=0.00353算式Ⅹ
算式Ⅹの符号A 測定単位の数値B 
Cn 全国新幹線鉄道整備法(昭和45年法律第71号)第7条の整備計画に基づき施行される新幹線整備の建設事業(以下この表において「新幹線鉄道整備事業」という。)に係る経費に充てるためn年度において発行について同意又は許可を得た地方債の額に相当する額D8=0.012D9=0.023D10=0.025D11=0.024D12=0.025D13=0.015D14=0.009D15=0.030D16=0.030D17=0.027D18=0.027D19=0.026D20=0.02640D21=0.02802D22=0.02807D23=0.02821D24=0.02878D25=0.029D26=0.029D27=0.028D28=0.0271D29=0.0272D30=0.02165D令元=0.02139D令2=0.00107D令3=0.00144D令4=0.00345α 次の算式によつて算定した率(小数点以下3位未満の端数があるときは、その端数を四捨五入する。)(当該率が1.000に満たないときは1.000とし、1.400を超えるときは1.400とする。)算式
(a/b×100)×0.125+0.875
a/bに小数点以下4位未満の端数があるときは、その端数を四捨五入する。算式の符号a 符号Bの額に2を乗じて得た数b 地方財政法施行令第13条の規定によつて算定した当該地方団体の前年度における標準財政規模算式ⅩⅠ
算式ⅩⅠの符号A 測定単位の数値Bn 地域住宅交付金交付要綱(平成17年国住備第99号)の規定に基づく事業に係る経費に充てるため平成n年度において発行について同意又は許可を得た地方債(公営住宅建設事業及び下水道事業に地方債並びに総務大臣が指定する充当の率を超える部分に係るものを除く。)の額に相当する額C17=0.006C18=0.005C19=0.005C20=0.00528C21=0.00560C22=0.00561算式ⅩⅡ
算式ⅩⅡの符号A 測定単位の数値Bn 地震防災対策特別措置法(平成7年法律第111号。以下「地防法」という。)に基づく国庫補助率のかさ上げが行われる事業に係る経費に充てるためn年度において発行について同意又は許可を得た地方債のうち符号Dn以外のものの額に相当する額C18=0.027C19=0.026C20=0.02640C21=0.02802C22=0.02807C23=0.02821C24=0.02878C25=0.029C26=0.029C27=0.028C28=0.0271C29=0.0272C30=0.02165C令元=0.02139C令2=0.00107C令3=0.00144C令4=0.00345Dn 地防法第4条の規定に基づく公立の幼稚園、小学校、中学校、義務教育学校、中等教育学校の前期課程又は特別支援学校の幼稚部、小学部若しくは中学部の校舎、屋内運動場又は寄宿舎で、やむを得ない理由により補強が困難なものの改築事業又は地震による倒壊の危険性が高いものの補強事業に係る経費に充てるためn年度において発行について同意又は許可を得た学校教育施設等整備事業債(原子力発電施設等立地地域振興特別事業に係るものを除く。)の額に相当する額E20=0.03695E21=0.03922E22=0.03929E23=0.03949E24=0.04029E25=0.041E26=0.040E27=0.038E28=0.0379E29=0.0380E30=0.03030E令元=0.02994E令2=0.00149E令3=0.00202E令4=0.00483算式ⅩⅢ
当該率が負数となるときは0とする。算式ⅩⅢの符号A 測定単位の数値Bn 地域活性化事業に係る経費に充てるためn年度において発行について同意又は許可を得た地方債(総務大臣の指定する充当の率を超える部分に係るもの、平成15年度から令和4年度までの各年度において財源対策のため発行について同意又は許可を得た地方債として総務大臣が指定するもの及び平成16年度補正予算債に係るものを除く。)の額に相当する額C15=1.000C16=1.000C17=0.902C18=0.869C19=0.852C20=0.86541C21=0.91852C22=0.92016C23=0.92475C24=0.94344C25=0.951C26=0.934C27=0.902C28=0.8885C29=0.8902C30=0.70967C令元=0.70115C令2=0.03492C令3=0.04721C令4=0.11311Dn 地域活性化事業に係る経費に充てるためn年度において発行について同意又は許可を得た地方債の額(平成21年度までに提出された地域活性化計画に位置づけられている継続の事業等の地方債の額として総務大臣が調査したものに限る。)E22=0.92016E23=0.92475E24=0.94344E25=0.951E26=0.934E27=0.902E28=0.8885E29=0.8902E30=0.70967E令元=0.70115E令2=0.03492E令3=0.04721E令4=0.11311F21 平成21年度において発行について同意又は許可を得た地域活性化事業債(発行について地方財政法第5条の3第6項の規定による届出がされた地方債のうち同条第1項の規定による協議を受けたならば同条第10項に規定する基準に照らして同意をすることとなると認められるものとして総務大臣が指定するものを含む。以下同じ。)(総務大臣の指定する充当の率を超える部分に係るものを除く。)のうち、定住自立圏推進事業に係るもの(平成21年度において財源対策のため発行について同意又は許可を得た地方債として総務大臣が指定するものを除く。)の額に相当する額G21=1.000Hn n年度において発行について同意又は許可を得た地域活性化事業債の額(平成15年度から令和4年度までの各年度において財源対策のため発行について同意又は許可を得た地方債の額として総務大臣が指定するものに限る。)(平成22年度から令和4年度までの各年度において発行について同意又は許可を得たものについては、平成21年度以前に着手した継続の事業等の地方債の額として総務大臣が調査したものに限る。)I15=1.000I16=0.910I17=0.821I18=0.791I19=0.776I20=0.78791I21=0.83627I22=0.83776I23=0.84194I24=0.85896I25=0.866I26=0.851I27=0.821I28=0.8090I29=0.8104I30=0.64612I令元=0.63836I令2=0.03179I令3=0.04299I令4=0.10299Jn 平成n年度において発行について同意又は許可を得た地域総合整備事業債特別分及び旧地域総合整備事業債特別分(平成15年度から平成19年度までの各年度において財源対策のため発行について同意又は許可を得た地方債として総務大臣が指定するものを除く。)の額に相当する額K15=1.000K16=1.000K17=0.902K18=0.869K19=0.852α 当該都道府県の財政力指数(当該都道府県に係る基準財政収入額(錯誤に係る額として加減した額を除く。)を基準財政需要額(錯誤に係る額として加減した額を除く。)で除して得た数値(小数点以下2位未満の端数があるときは、その端数を四捨五入する。)で当該年度前3年度内の各年度に係るものを合算して得たものを3で除して得た数値(小数点以下2位未満の端数があるときは、その端数を四捨五入する。)をいい、当該年度の4月1日以前3年の間に都道府県の境界変更によつてその区域に異動のあつた都道府県については、当該都道府県が当該年度の4月1日現在の区域をもつて存在していたものとみなして算定し、当該境界変更に係る区域の額は、関係都道府県知事が協議して分別した額による。)に別表第3の9Aに定める当該財政力指数の段階に応ずる率を乗じて得た数(小数点以下3位未満の端数があるときは、その端数を四捨五入する。)と同表Bに定める当該財政力指数の段階に応ずる数値との合計数とする。ただし、当該合計数が、0.300に満たないときは0.300とし、0.550を超えるときは0.550とする。Ln 平成n年度において発行について同意又は許可を得た地域総合整備事業債特別分及び旧地域総合整備事業債特別分の額(平成15年度から平成19年度までの各年度において財源対策のため発行について同意又は許可を得た地方債の額として総務大臣が指定するものに限る。)M15=1.000M16=0.910M17=0.821M18=0.791M19=0.776Nn 平成n年度において発行について同意又は許可を得た地域総合整備資金貸付事業債(用地事業に係るものを除く。)の額に相当する額O20=1.00000O21=1.46667O22=3.66667Pn 平成n年度において発行について同意又は許可を得た地域総合整備資金貸付事業債のうち用地事業に係るものの額に相当する額Q20=1.00000Q21=1.46667Q22=3.66667Rn n年度において発行について同意又は許可を得た半島振興道路整備事業に係る地方債(発行について地方財政法第5条の3第6項の規定による届出がされた地方債のうち同条第1項の規定による協議を受けたならば同条第10項に規定する基準に照らして同意をすることとなると認められるものとして総務大臣が指定するものを含む。以下同じ。)(総務大臣の指定する充当の率を超える部分に係るものを除く。)の額に相当する額S15=1.000S16=1.000S17=0.902S18=0.869S19=0.852S20=0.86541S21=0.91852S22=0.92016S23=0.92475S24=0.94344S25=0.951S26=0.934S27=0.902S28=0.8885S29=0.8902S30=0.70967S令元=0.70115S令2=0.03492S令3=0.04721S令4=0.11311Tn 平成n年度において発行を許可された地方拠点都市整備事業に係る地方債(総務大臣の指定する充当の率を超える部分に係るものを除く。)の額に相当する額U15=1.000U16=1.000Vn 合併特例法に基づき実施する市町村合併推進事業に係る経費に充てるためn年度において発行について同意又は許可を得た地方債(総務大臣の指定する充当の率を超える部分に係るものを除く。)の額に相当する額W15=1.000W16=1.000W17=0.902W18=0.869W19=0.852W20=0.86541W21=0.91852W22=0.92016W23=0.92475W24=0.94344W25=0.951W26=0.934W27=0.902W28=0.8885W29=0.8902W30=0.70967W令元=0.70115W令2=0.03492W令3=0.04721W令4=0.11311Xn 合併新法に基づき実施する市町村合併推進事業に係る経費に充てるためn年度において発行について同意又は許可を得た地方債(総務大臣の指定する充当の率を超える部分に係るものを除く。)の額に相当する額Y18=1.000Y19=0.981Y20=0.99604Y21=1.05717Y22=1.05906Y23=1.06434Y24=1.08585Y25=1.094Y26=1.075Y27=1.038Y28=1.0226Y29=1.0245Y30=0.81679Y令元=0.80698Y令2=0.04019Y令3=0.05434Y令4=0.13019β 段階補正Ⅰ係数算式ⅩⅣ
算式ⅩⅣの符号A 測定単位の数値Bn 地方税法附則第15条に規定する旅客会社等から鉄道施設の譲渡を受けるために同条に規定する特定鉄道事業者に対し補助する財源又は同条に規定する特定鉄道事業の用に供するために同条に規定する旅客会社等から鉄道施設の譲渡を受ける経費に充てるためn年度において発行について同意又は許可を得た地方債(総務大臣の指定する充当の率を超える部分に係るものを除く。)の額(旅客分に限る。)に相当する額C15=0.027C16=0.027C17=0.025C18=0.024C19=0.024C20=0.02376C21=0.02521C22=0.02526C23=0.02538C24=0.02590C25=0.026C26=0.026C27=0.025C28=0.0244C29=0.0244C30=0.01948C令元=0.01925C令2=0.00096C令3=0.00130C令4=0.00311Dn 鉄道施設の整備に要する経費について地方税法附則第15条に規定する特定鉄道事業者に対し補助する財源又は同条に規定する特定鉄道事業の用に供する鉄道施設の整備に要する経費に充てるためn年度において発行について同意又は許可を得た地方債(総務大臣の指定する充当の率を超える部分に係るものを除く。)の額(旅客分に限る。)に相当する額E15=0.018E16=0.018E17=0.016E18=0.016E19=0.016E20=0.01584E21=0.01681E22=0.01684E23=0.01692E24=0.01727E25=0.018E26=0.017E27=0.017E28=0.0163E29=0.0163E30=0.01299E令元=0.01283E令2=0.00064E令3=0.00086E令4=0.00207Fn 鉄道施設の整備に要する経費について旧過疎地域自立促進特別措置法第12条第1項第6号に規定する事業者に対し補助する財源又は同号に規定する事業の用に供する鉄道施設の整備に要する経費に充てるためn年度において発行について同意又は許可を得た地方債(総務大臣の指定する充当の率を超える部分に係るものを除く。)の額に相当する額G25=0.018G26=0.017G27=0.017G28=0.0163G29=0.0163G30=0.01299G令元=0.01283G令2=0.00064G令3=0.00086G令4=0.00207算式ⅩⅤ
算式ⅩⅤの符号A 測定単位の数値Bn 被災施設復旧関連事業に係る経費に充てるためn年度において発行について同意又は許可を得た一般単独(一般)事業債(総務大臣の指定する充当の率を超える部分に係るものを除く。)の額に相当する額C24=0.04029C25=0.041C26=0.040C27=0.038C28=0.0379C29=0.0380C30=0.03030C令元=0.02994C令2=0.00149C令3=0.00202C令4=0.00483算式ⅩⅥ
算式ⅩⅥの符号A 測定単位の数値Bn 沖縄振興特別推進交付金事業に係る経費に充てるためn年度において発行について同意又は許可を得た地方債(総務大臣の指定する充当の率を超える部分に係るものを除く。)の額に相当する額C24=0.02878C25=0.029C26=0.029C27=0.028C28=0.0271C29=0.0272C30=0.02165C令元=0.02139C令2=0.00107C令3=0.00144C令4=0.00345算式ⅩⅦ
算式ⅩⅦの符号A 測定単位の数値Bn 奄美群島振興交付金事業に係る経費に充てるためn年度において発行について同意又は許可を得た地方債(総務大臣の指定する充当の率を超える部分に係るものを除く。)の額に相当する額C26=0.029C27=0.028C28=0.0271C29=0.0272C30=0.02165C令元=0.02139C令2=0.00107C令3=0.00144C令4=0.00345算式ⅩⅧ
平成28年熊本地震による災害に係る歳入欠かん債については、
α×0.475
が0.750に満たないときは0.750とする。
また、平成28年度において発行について同意又は許可を得た歳入欠かん債(平成28年熊本地震による災害に係るものを除く。)については、
α×0.475
が0.570に満たないときは0.570とする。
ただし、それぞれの災害について、同意等年度ごとに算出し、合算することとする。算式ⅩⅧの符号A 測定単位の数値B 災害対策基本法第102条第1項第1号に掲げる場合に係る経費に充てるため平成28年度以降の各年度において発行について同意又は許可を得た地方債の当該年度における元利償還金α 符号Bの地方債に係る同意等額を当該地方債の同意等年度における災害対策基本法施行令(昭和37年政令第288号)第43条第2項に規定する標準税収入額で除して得た数(小数点以下3位未満の端数があるときは、その端数を四捨五入する。)に100,000を乗じて得た数(以下この号において「発行割合」という。)に別表第3の14のAに定める当該発行割合の段階に応ずる率を乗じて得た数と同表のBに定める当該発行割合の段階に応ずる数値との合計数を当該発行割合で除して得た数(小数点以下3位未満の端数があるときは、その端数を四捨五入し、当該発行割合が200以下のときは1.000とする。)算式ⅩⅨ
算式ⅩⅨの符号A 測定単位の数値B29 非構造部材の耐震対策事業(特定天井分)に係る経費に充てるため平成29年度において発行について同意又は許可を得た学校教育施設等整備事業債(総務大臣の指定する充当の率を超える部分に係るものを除く。)のうち幼稚園又は特別支援学校に係るものの額に相当する額C29=0.0380D29 非構造部材の耐震対策事業(特定天井以外分)に係る経費に充てるため平成29年度において発行について同意又は許可を得た学校教育施設等整備事業債(総務大臣の指定する充当の率を超える部分に係るものを除く。)のうち幼稚園又は特別支援学校に係るものの額に相当する額E29=0.0272算式ⅩⅩ
算式ⅩⅩの符号A 測定単位の数値Bn n年度において発行について同意又は許可を得た学校教育施設等整備事業債(総務大臣の指定する充当の率を超える部分に係るものを除く。)のうち特別支援学校(小学部及び中学部に限る。)の大規模改造事業の地方単独分に係るものの額に相当する額C29=0.0272C30=0.02165C令元=0.02139C令2=0.00107C令3=0.00144C令4=0.00345算式ⅩⅩⅠ
算式ⅩⅩⅠの符号A 測定単位の数値Bn 義務教育諸学校等の補強事業に係る経費に充てるためn年度において発行について同意又は許可を得た学校教育施設等整備事業債(総務大臣の指定する充当の率を超える部分に係るものを除く。)のうち幼稚園又は特別支援学校に係るものの額に相当する額C30=0.03030C令元=0.02994C令2=0.00149C令3=0.00202C令4=0.00483Dn 義務教育諸学校等の防災機能強化事業に係る経費に充てるためn年度において発行について同意又は許可を得た学校教育施設等整備事業債(総務大臣の指定する充当の率を超える部分に係るものを除く。)のうち幼稚園又は特別支援学校に係るものの額に相当する額E30=0.03030E令元=0.02994E令2=0.00149E令3=0.00202E令4=0.00483算式ⅩⅩⅡ
算式ⅩⅩⅡの符号A 測定単位の数値B令2 国庫の補助金を受けて施行した公立学校情報通信ネットワーク環境施設整備事業に係る経費に充てるため令和2年度において発行について同意又は許可を得た学校教育施設等整備事業債(同年度において発行について同意又は許可を得た補正予算債を除く。)のうち特別支援学校(小学部、中学部及び高等部に限る。)に係るものの額に相当する額C令2=0.00149
市町村一 消防費人口算式
算式の符号A 測定単位の数値Bn 一般財源化された消防防災設備整備費補助金に係る施設整備事業に充てるためn年度において発行について同意又は許可を得た地方債の額に相当する額。この場合において、市町村が組織する組合に係る額は、当該額を当該組合を構成する市町村の長が協議して定め、総務大臣が承認した率(協議が成立しないときは、総務大臣が定める率)により按分したものをそれぞれの市町村に係る額とみなす。C18ア 平成18年度市場公募都市に係るもの 0.0380イ 平成18年度市場公募都市以外の市町村に係るもの 0.0000C19ア 平成19年度市場公募都市に係るもの 0.0381イ 平成19年度市場公募都市以外の市町村に係るもの 0.0000C20ア 平成20年度市場公募都市に係るもの 0.04259イ 平成20年度市場公募都市以外の市町村に係るもの 0.05951C21ア 平成21年度市場公募都市に係るもの 0.04799イ 平成21年度市場公募都市以外の市町村に係るもの 0.06223C22ア 平成22年度市場公募都市に係るもの 0.04687イ 平成22年度市場公募都市以外の市町村に係るもの 0.06257C23ア 平成23年度市場公募都市に係るもの 0.03398イ 平成23年度市場公募都市以外の市町村に係るもの 0.04388C24ア 平成24年度市場公募都市に係るもの 0.03505イ 平成24年度市場公募都市以外の市町村に係るもの 0.04503C25ア 平成25年度市場公募都市に係るもの 0.0362イ 平成25年度市場公募都市以外の市町村に係るもの 0.0454C26ア 平成26年度市場公募都市に係るもの 0.0355イ 平成26年度市場公募都市以外の市町村に係るもの 0.0447C27ア 平成27年度市場公募都市に係るもの 0.0342イ 平成27年度市場公募都市以外の市町村に係るもの 0.0436C28ア 平成28年度市場公募都市に係るもの 0.0333イ 平成28年度市場公募都市以外の市町村に係るもの 0.0433C29ア 平成29年度市場公募都市に係るもの 0.0334イ 平成29年度市場公募都市以外の市町村に係るもの 0.0434C30ア 平成30年度市場公募都市に係るもの 0.02545イ 平成30年度市場公募都市以外の市町村に係るもの 0.03539C令元ア 令和元年度市場公募都市に係るもの 0.02476イ 令和元年度市場公募都市以外の市町村に係るもの 0.03488C令2ア 令和2年度市場公募都市に係るもの 0.00146イ 令和2年度市場公募都市以外の市町村に係るもの 0.00152C令3ア 令和3年度市場公募都市に係るもの 0.00187イ 令和3年度市場公募都市以外の市町村に係るもの 0.00216C令4ア 令和4年度市場公募都市に係るもの 0.00460イ 令和4年度市場公募都市以外の市町村に係るもの 0.00509
 二 道路橋りよう費道路の延長算式
算式の符号A 測定単位の数値Bn 平成n年度において発行について同意又は許可を得た臨時地方道整備事業に係る地方債(地方特定道路整備事業に係るもの、ふるさと農道・林道緊急整備事業に係るもの、被災市街地復興特別事業に係るもの及び総務大臣の指定する充当率を超える部分に係るものを除く。)の額に相当する額。この場合において、市町村が組織する組合に係る額は、当該額を当該組合を構成する市町村の長が協議して定め、総務大臣が承認した率(協議が成立しないときは、総務大臣が定める率)により按分したものをそれぞれの市町村に係る額とみなす。
   C15=0.006C16=0.003C17ア 平成17年度市場公募都市に係るもの 0.013イ 平成17年度市場公募都市以外の市町村に係るもの 0.000C18ア 平成18年度市場公募都市に係るもの 0.011イ 平成18年度市場公募都市以外の市町村に係るもの 0.000C19ア 平成19年度市場公募都市に係るもの 0.011イ 平成19年度市場公募都市以外の市町村に係るもの 0.000
   C20ア 平成20年度市場公募都市に係るもの 0.01278イ 平成20年度市場公募都市以外の市町村に係るもの 0.01785Dn 平成n年度において発行について同意又は許可を得た臨時地方道整備事業に係る地方債(総務大臣の指定する充当の率を超える部分に係るものを除く。)のうち地方特定道路整備事業に係るもの(平成15年度から平成20年度までの各年度において財源対策のため発行について同意又は許可を得た地方債として総務大臣が指定するものを除く。)の額に相当する額E15=0.006E16=0.003E17ア 平成17年度市場公募都市に係るもの 0.013イ 平成17年度市場公募都市以外の市町村に係るもの 0.000E18ア 平成18年度市場公募都市に係るもの 0.011イ 平成18年度市場公募都市以外の市町村に係るもの 0.000E19ア 平成19年度市場公募都市に係るもの 0.011イ 平成19年度市場公募都市以外の市町村に係るもの 0.000E20ア 平成20年度市場公募都市に係るもの 0.01278イ 平成20年度市場公募都市以外の市町村に係るもの 0.01785Fn 平成n年度において発行について同意又は許可を得た臨時地方道整備事業に係る地方債(総務大臣の指定する充当の率を超える部分に係るものを除く。)のうち地方特定道路整備事業に係るものの額(平成15年度から平成20年度までの各年度において財源対策のため発行について同意又は許可を得た地方債の額として総務大臣が指定するものに限る。)
   G15=0.033G16=0.005G17ア 平成17年度市場公募都市に係るもの 0.030イ 平成17年度市場公募都市以外の市町村に係るもの 0.000G18ア 平成18年度市場公募都市に係るもの 0.025イ 平成18年度市場公募都市以外の市町村に係るもの 0.000G19ア 平成19年度市場公募都市に係るもの 0.019イ 平成19年度市場公募都市以外の市町村に係るもの 0.000G20ア 平成20年度市場公募都市に係るもの 0.02130イ 平成20年度市場公募都市以外の市町村に係るもの 0.02976Hn 平成n年度において発行について同意又は許可を得た臨時地方道整備事業に係る地方債(総務大臣の指定する充当の率を超える部分に係るものを除く。)のうち被災市街地復興特別事業に係るものの同意等額に相当する額I15=0.015I16=0.008I17=0.000I18=0.000I19=0.000I20=0.04761Jn 平成n年度において発行について同意又は許可を得た地方道路等整備事業に係る地方債(総務大臣の指定する充当の率を超える部分に係るものを除く。)のうち通常事業(平成22年度において発行について同意又は許可を得たものについては、平成21年度以前に着手した継続事業として総務大臣が調査した事業に限る。)に係るもの(農道及び林道の整備事業に係るものを除く。)の額に相当する額K21ア 平成21年度市場公募都市に係るもの 0.01440イ 平成21年度市場公募都市以外の市町村に係るもの 0.01867K22ア 平成22年度市場公募都市に係るもの 0.01406イ 平成22年度市場公募都市以外の市町村に係るもの 0.01877Ln 平成n年度において発行について同意又は許可を得た地方道路等整備事業に係る地方債(総務大臣の指定する充当の率を超える部分に係るものを除く。)のうち臨時事業(平成22年度において発行について同意又は許可を得たものについては、平成21年度以前に着手した継続事業として総務大臣が調査した事業に限る。)に係るもの(地方特定道路整備事業に係るもの、ふるさと農道・林道緊急整備事業に係るもの及び被災市街地復興特別事業に係るものを除く。)の額に相当する額M21ア 平成21年度市場公募都市に係るもの 0.01440イ 平成21年度市場公募都市以外の市町村に係るもの 0.01867M22ア 平成22年度市場公募都市に係るもの 0.01406イ 平成22年度市場公募都市以外の市町村に係るもの 0.01877Nn 平成n年度において発行について同意又は許可を得た地方道路等整備事業に係る地方債(総務大臣の指定する充当の率を超える部分に係るものを除く。)のうち臨時事業の地方特定道路整備事業(平成22年度から平成24年度までの各年度において発行について同意又は許可を得たものについては、平成20年度から平成24年度までの期間において行われる継続事業として総務大臣が調査した事業に限る。)に係るもの(平成21年度から平成24年度までの各年度において財源対策のため発行について同意又は許可を得た地方債として総務大臣が指定するものを除く。)の額に相当する額O21ア 平成21年度市場公募都市に係るもの 0.01440イ 平成21年度市場公募都市以外の市町村に係るもの 0.01867O22ア 平成22年度市場公募都市に係るもの 0.01406イ 平成22年度市場公募都市以外の市町村に係るもの 0.01877O23ア 平成23年度市場公募都市に係るもの 0.01456イ 平成23年度市場公募都市以外の市町村に係るもの 0.01881O24ア 平成24年度市場公募都市に係るもの 0.01502イ 平成24年度市場公募都市以外の市町村に係るもの 0.01930Pn 平成n年度において発行について同意又は許可を得た地方道路等整備事業に係る地方債(総務大臣の指定する充当の率を超える部分に係るものを除く。)のうち臨時事業の地方特定道路整備事業に係るものの額(平成21年度から平成24年度までの各年度において財源対策のため発行について同意又は許可を得た地方債の額として総務大臣が指定するものに限る。)Q21ア 平成21年度市場公募都市に係るもの 0.02400イ 平成21年度市場公募都市以外の市町村に係るもの 0.03112Q22ア 平成22年度市場公募都市に係るもの 0.02344イ 平成22年度市場公募都市以外の市町村に係るもの 0.03129Q23ア 平成23年度市場公募都市に係るもの 0.02427イ 平成23年度市場公募都市以外の市町村に係るもの 0.03135Q24ア 平成24年度市場公募都市に係るもの 0.02504イ 平成24年度市場公募都市以外の市町村に係るもの 0.03217R21 平成21年度において発行について同意又は許可を得た地方道路等整備事業に係る地方債(総務大臣の指定する充当の率を超える部分に係るものを除く。)のうち被災市街地復興特別事業に係るものの額に相当する額S21=0.04978T22 平成22年度において発行について同意又は許可を得た一般単独事業に係る地方債(総務大臣の指定する充当率を超える部分に係るものを除く。)のうち一般事業における一般分の被災市街地復興特別事業に係るものの額に相当する額U22=0.05006Vn 平成n年度において発行について同意又は許可を得た一般公共事業に係る地方債(総務大臣の指定する充当の率を超える部分に係るもの、平成21年度及び平成22年度において財源対策のため発行について同意又は許可を得た地方債として総務大臣が指定するもの並びに平成21年度及び平成22年度において発行について同意又は許可を得た補正予算債を除く。)のうち高規格幹線道路建設事業に係るもの(高速自動車国道建設事業に係るものを除く。)の額に相当する額W21=0.02693W22=0.02644Xn 平成n年度において発行について同意又は許可を得た公共事業等(旧地方道路等整備事業に限る。)に係る地方債(総務大臣の指定する充当の率を超える部分に係るものを除く。)のうち平成21年度までに着手した継続事業として総務大臣が調査した事業に係るもので、旧地方道路等整備事業に係る地方債の通常事業の充当率を用いるもの(農道及び林道の整備事業に係るものを除く。)の額に相当する額Y23ア 平成23年度市場公募都市に係るもの 0.01533イ 平成23年度市場公募都市以外の市町村に係るもの 0.01861Y24ア 平成24年度市場公募都市に係るもの 0.01555イ 平成24年度市場公募都市以外の市町村に係るもの 0.01896Y25ア 平成25年度市場公募都市に係るもの 0.016イ 平成25年度市場公募都市以外の市町村に係るもの 0.019Y26ア 平成26年度市場公募都市に係るもの 0.016イ 平成26年度市場公募都市以外の市町村に係るもの 0.019Zn 平成n年度において発行について同意又は許可を得た公共事業等(旧地方道路等整備事業に限る。)に係る地方債(総務大臣の指定する充当の率を超える部分に係るものを除く。)のうち平成21年度までに着手した継続事業として総務大臣が調査した事業に係るもので、旧地方道路等整備事業に係る地方債の臨時事業の充当率を用いるもの(地方特定道路整備事業に係るもの、ふるさと農道・林道緊急整備事業に係るもの及び被災市街地復興特別事業に係るものを除く。)の額に相当する額AA23ア 平成23年度市場公募都市に係るもの 0.01533イ 平成23年度市場公募都市以外の市町村に係るもの 0.01861AA24ア 平成24年度市場公募都市に係るもの 0.01555イ 平成24年度市場公募都市以外の市町村に係るもの 0.01896AA25ア 平成25年度市場公募都市に係るもの 0.016イ 平成25年度市場公募都市以外の市町村に係るもの 0.019AA26ア 平成26年度市場公募都市に係るもの 0.016イ 平成26年度市場公募都市以外の市町村に係るもの 0.019ABn n年度において発行について同意又は許可を得た公共事業等に係る地方債(総務大臣の指定する充当の率を超える部分に係るものを除く。)のうち被災市街地復興特別事業に係るものの額に相当する額AC23=0.04963AC24=0.05057AC25=0.051AC26=0.050AC27=0.049AC28=0.0484AC29=0.0485AC30=0.04841AC令元=0.04801AC令2=0.00186AC令3=0.00271AC令4=0.00600ADn n年度において発行について同意又は許可を得た公共事業等に係る地方債(総務大臣の指定する充当の率を超える部分に係るもの、平成23年度から令和4年度までの各年度において財源対策のため発行について同意又は許可を得た地方債として総務大臣が指定するもの及び平成23年度から令和4年度までの各年度において発行について同意又は許可を得た補正予算債を除く。)のうち高規格幹線道路建設事業に係るもの(高速自動車国道建設事業に係るものを除く。)の額に相当する額AE23=0.02555AE24=0.02591AE25=0.027AE26=0.026AE27=0.025AE28=0.0243AE29=0.0241AE30=0.02411AE令元=0.02368AE令2=0.00113AE令3=0.00153AE令4=0.00345AFn n年度において発行について同意又は許可を得た公共事業等に係る地方債(総務大臣の指定する充当の率を超える部分に係るもの、平成26年度から令和4年度までの各年度において財源対策のため発行について同意又は許可を得た地方債として総務大臣が指定するもの及び平成26年度から令和4年度までの各年度において発行について同意又は許可を得た補正予算債を除く。)のうち離島振興法第2条に基づき指定された離島振興対策実施地域において、平成26年度以降に地震津波対策として行われる道路の整備に係る公共事業のうち、特に離島の防災機能強化に資する事業に係るものの額に相当する額AG26ア 平成26年度市場公募都市に係るもの 0.026イ 平成26年度市場公募都市以外の市町村に係るもの 0.031AG27ア 平成27年度市場公募都市に係るもの 0.025イ 平成27年度市場公募都市以外の市町村に係るもの 0.030AG28ア 平成28年度市場公募都市に係るもの 0.0243イ 平成28年度市場公募都市以外の市町村に係るもの 0.0303AG29ア 平成29年度市場公募都市に係るもの 0.0241イ 平成29年度市場公募都市以外の市町村に係るもの 0.0303AG30ア 平成30年度市場公募都市に係るもの 0.02411イ 平成30年度市場公募都市以外の市町村に係るもの 0.03026AG令元ア 令和元年度市場公募都市に係るもの 0.02368イ 令和元年度市場公募都市以外の市町村に係るもの 0.03001AG令2ア 令和2年度市場公募都市に係るもの 0.00113イ 令和2年度市場公募都市以外の市町村に係るもの 0.00117AG令3ア 令和3年度市場公募都市に係るもの 0.00153イ 令和3年度市場公募都市以外の市町村に係るもの 0.00170AG令4ア 令和4年度市場公募都市に係るもの 0.00345イ 令和4年度市場公募都市以外の市町村に係るもの 0.00375
 三 港湾費港湾における外郭施設の延長算式
算式の符号A 測定単位の数値B 国庫の補助金を受けて施行した港湾事業に係る経費又は国若しくは都道府県が行う当該事業(単独事業を除く。)に係る法令に基づく負担金に充てるため平成11年度以前において発行を許可された地方債(災害復旧事業債、公害防止事業債、昭和46年度、昭和47年度、昭和50年度から昭和62年度まで及び平成2年度から平成11年度までの各年度において地方税の減収に伴い発行を許可された地方債、昭和50年度から昭和55年度までの各年度、平成10年度及び平成11年度において財政健全化のため発行を許可された地方債、財源対策債、昭和50年度補正予算債、昭和51年度補正予算債、昭和52年度補正予算債、昭和53年度補正予算債、昭和61年度補正予算債、昭和62年度補正予算債、平成4年度補正予算債、平成5年度補正予算債、平成6年度補正予算債、平成7年度補正予算債、平成8年度補正予算債、平成9年度補正予算債、平成10年度補正予算債及び平成11年度補正予算債、地域財政特例対策債、臨時財政特例債、公共事業等臨時特例債、昭和44年度以前において発行を許可された地方債で縁故資金に係るもの、地方債計画上の新産業都市等建設事業債(通常の充当率を超える部分に係るものに限る。)として昭和50年度以前において発行を許可された地方債のうち縁故資金に係るもの、地方債計画に計上されない地方債並びに昭和51年度以降において発行について同意又は許可を得た地方債のうち総務大臣の指定する充当の率を超える部分に係るものを除く。)の当該年度における元利償還金Cn 国庫の補助金を受けて施行した港湾事業に係る経費又は国若しくは都道府県が行う当該事業(単独事業を除く。)に係る法令に基づく負担金に充てるためn年度において発行について同意又は許可を得た地方債(災害復旧事業債、公害防止事業債、地方税の減収に伴い発行について同意又は許可を得た地方債、財政健全化のため発行について同意又は許可を得た地方債、財源対策債、補正予算債、地域財政特例対策債、臨時財政特例債、公共事業等臨時特例債、地方債計画に計上されない地方債及び総務大臣の指定する充当の率を超える部分に係るものを除く。)の額に相当する額(平成22年度から令和4年度までの各年度において発行について同意又は許可を得たものについては、災害関連及び平成21年度以前に着手した継続の事業等の地方債の額として総務大臣が調査したものに限る。)D15=0.033D16=0.033D17ア 平成17年度市場公募都市に係るもの 0.029イ 平成17年度市場公募都市以外の市町村に係るもの 0.021D18ア 平成18年度市場公募都市に係るもの 0.025イ 平成18年度市場公募都市以外の市町村に係るもの 0.014D19ア 平成19年度市場公募都市に係るもの 0.026イ 平成19年度市場公募都市以外の市町村に係るもの 0.014D20ア 平成20年度市場公募都市に係るもの 0.02653イ 平成20年度市場公募都市以外の市町村に係るもの 0.03157D21ア 平成21年度市場公募都市に係るもの 0.02693イ 平成21年度市場公募都市以外の市町村に係るもの 0.03164D22ア 平成22年度市場公募都市に係るもの 0.02644イ 平成22年度市場公募都市以外の市町村に係るもの 0.03156D23ア 平成23年度市場公募都市に係るもの 0.02555イ 平成23年度市場公募都市以外の市町村に係るもの 0.03102D24ア 平成24年度市場公募都市に係るもの 0.02591イ 平成24年度市場公募都市以外の市町村に係るもの 0.03161D25ア 平成25年度市場公募都市に係るもの 0.027イ 平成25年度市場公募都市以外の市町村に係るもの 0.032D26ア 平成26年度市場公募都市に係るもの 0.026イ 平成26年度市場公募都市以外の市町村に係るもの 0.031D27ア 平成27年度市場公募都市に係るもの 0.025イ 平成27年度市場公募都市以外の市町村に係るもの 0.030D28ア 平成28年度市場公募都市に係るもの 0.0243イ 平成28年度市場公募都市以外の市町村に係るもの 0.0303D29ア 平成29年度市場公募都市に係るもの 0.0241イ 平成29年度市場公募都市以外の市町村に係るもの 0.0303D30ア 平成30年度市場公募都市に係るもの 0.02411イ 平成30年度市場公募都市以外の市町村に係るもの 0.03026D令元ア 令和元年度市場公募都市に係るもの 0.02368イ 令和元年度市場公募都市以外の市町村に係るもの 0.03001D令2ア 令和2年度市場公募都市に係るもの 0.00113イ 令和2年度市場公募都市以外の市町村に係るもの 0.00117D令3ア 令和3年度市場公募都市に係るもの 0.00153イ 令和3年度市場公募都市以外の市町村に係るもの 0.00170D令4ア 令和4年度市場公募都市に係るもの 0.00345イ 令和4年度市場公募都市以外の市町村に係るもの 0.00375
  漁港における外郭施設の延長算式
算式の符号A 測定単位の数値B 国庫の補助金を受けて施行した漁港事業に係る経費又は国若しくは都道府県が行う当該事業(単独事業を除く。)に係る法令に基づく負担金に充てるため平成11年度以前において発行を許可された地方債(災害復旧事業債、公害防止事業債、昭和46年度、昭和47年度、昭和50年度から昭和62年度まで及び平成2年度から平成11年度までの各年度において地方税の減収に伴い発行を許可された地方債、昭和50年度から昭和55年度までの各年度、平成10年度及び平成11年度において財政健全化のため発行を許可された地方債、財源対策債、昭和50年度補正予算債、昭和51年度補正予算債、昭和52年度補正予算債、昭和53年度補正予算債、昭和61年度補正予算債、昭和62年度補正予算債、平成4年度補正予算債、平成5年度補正予算債、平成6年度補正予算債、平成7年度補正予算債、平成8年度補正予算債、平成9年度補正予算債、平成10年度補正予算債及び平成11年度補正予算債、地域財政特例対策債、臨時財政特例債、公共事業等臨時特例債、昭和44年度以前において発行を許可された地方債で縁故資金に係るもの、地方債計画上の新産業都市等建設事業債(通常の充当率を超える部分に係るものに限る。)として昭和50年度以前において発行を許可された地方債のうち縁故資金に係るもの、地方債計画に計上されない地方債並びに昭和51年度以降において発行について同意又は許可を得た地方債のうち総務大臣の指定する充当の率を超える部分に係るものを除く。)の当該年度における元利償還金Cn 国庫の補助金を受けて施行した漁港事業に係る経費又は国若しくは都道府県が行う当該事業(単独事業を除く。)に係る法令に基づく負担金に充てるためn年度において発行について同意又は許可を得た地方債(災害復旧事業債、公害防止事業債、地方税の減収に伴い発行について同意又は許可を得た地方債、財政健全化のため発行について同意又は許可を得た地方債、財源対策債、補正予算債、地域財政特例対策債、臨時財政特例債、公共事業等臨時特例債、地方債計画に計上されない地方債及び総務大臣の指定する充当の率を超える部分に係るものを除く。)の額に相当する額(平成22年度から令和4年度までの各年度において発行について同意又は許可を得たものについては、災害関連及び平成21年度以前に着手した継続の事業等の地方債の額として総務大臣が調査したものに限る。)D15=0.033D16=0.033D17ア 平成17年度市場公募都市に係るもの 0.029イ 平成17年度市場公募都市以外の市町村に係るもの 0.021D18ア 平成18年度市場公募都市に係るもの 0.025イ 平成18年度市場公募都市以外の市町村に係るもの 0.014D19ア 平成19年度市場公募都市に係るもの 0.026イ 平成19年度市場公募都市以外の市町村に係るもの 0.014D20ア 平成20年度市場公募都市に係るもの 0.02653イ 平成20年度市場公募都市以外の市町村に係るもの 0.03157D21ア 平成21年度市場公募都市に係るもの 0.02693イ 平成21年度市場公募都市以外の市町村に係るもの 0.03164D22ア 平成22年度市場公募都市に係るもの 0.02644イ 平成22年度市場公募都市以外の市町村に係るもの 0.03156D23ア 平成23年度市場公募都市に係るもの 0.02555イ 平成23年度市場公募都市以外の市町村に係るもの 0.03102D24ア 平成24年度市場公募都市に係るもの 0.02591イ 平成24年度市場公募都市以外の市町村に係るもの 0.03161D25ア 平成25年度市場公募都市に係るもの 0.027イ 平成25年度市場公募都市以外の市町村に係るもの 0.032D26ア 平成26年度市場公募都市に係るもの 0.026イ 平成26年度市場公募都市以外の市町村に係るもの 0.031D27ア 平成27年度市場公募都市に係るもの 0.025イ 平成27年度市場公募都市以外の市町村に係るもの 0.030D28ア 平成28年度市場公募都市に係るもの 0.0243イ 平成28年度市場公募都市以外の市町村に係るもの 0.0303D29ア 平成29年度市場公募都市に係るもの 0.0241イ 平成29年度市場公募都市以外の市町村に係るもの 0.0303D30ア 平成30年度市場公募都市に係るもの 0.02411イ 平成30年度市場公募都市以外の市町村に係るもの 0.03026D令元ア 令和元年度市場公募都市に係るもの 0.02368イ 令和元年度市場公募都市以外の市町村に係るもの 0.03001D令2ア 令和2年度市場公募都市に係るもの 0.00113イ 令和2年度市場公募都市以外の市町村に係るもの 0.00117D令3ア 令和3年度市場公募都市に係るもの 0.00153イ 令和3年度市場公募都市以外の市町村に係るもの 0.00170D令4ア 令和4年度市場公募都市に係るもの 0.00345イ 令和4年度市場公募都市以外の市町村に係るもの 0.00375
 四 都市計画費都市計画区域における人口算式
算式の符号A 測定単位の数値Bn 地下高速鉄道の建設に係る事業費(符号Eに係るものを除く。)の一部を補助する財源に充てるためn年度において発行について同意又は許可を得た都市高速鉄道事業債(大阪市において事業承継前に発行について同意又は許可を得た地方債を含むものとし、平成23年度から令和4年度までの各年度において発行について同意又は許可を得たものについては、平成22年度以前に着手した継続事業として総務大臣が調査した事業に係るものに限る。)の額のうち総務大臣が算定して通知した額C13=0.0318C14=0.0212C15=0.0239C16=0.0243C17ア 平成17年度市場公募都市に係るもの 0.0225イ 平成17年度市場公募都市以外の市町村に係るもの 0.0180C18ア 平成18年度市場公募都市に係るもの 0.0221イ 平成18年度市場公募都市以外の市町村に係るもの 0.0171C19ア 平成19年度市場公募都市に係るもの 0.0221イ 平成19年度市場公募都市以外の市町村に係るもの 0.0162C20ア 平成20年度市場公募都市に係るもの 0.02250イ 平成20年度市場公募都市以外の市町村に係るもの 0.02475C21ア 平成21年度市場公募都市に係るもの 0.02160イ 平成21年度市場公募都市以外の市町村に係るもの 0.02430C22ア 平成22年度市場公募都市に係るもの 0.02115イ 平成22年度市場公募都市以外の市町村に係るもの 0.02385C23ア 平成23年度市場公募都市に係るもの 0.02115イ 平成23年度市場公募都市以外の市町村に係るもの 0.02340C24ア 平成24年度市場公募都市に係るもの 0.02111イ 平成24年度市場公募都市以外の市町村に係るもの 0.02363C25ア 平成25年度市場公募都市に係るもの 0.0212イ 平成25年度市場公募都市以外の市町村に係るもの 0.0239C26ア 平成26年度市場公募都市に係るもの 0.0207イ 平成26年度市場公募都市以外の市町村に係るもの 0.0234C27ア 平成27年度市場公募都市に係るもの 0.0194イ 平成27年度市場公募都市以外の市町村に係るもの 0.0216C28ア 平成28年度市場公募都市に係るもの 0.0194イ 平成28年度市場公募都市以外の市町村に係るもの 0.0221C29ア 平成29年度市場公募都市に係るもの 0.0194イ 平成29年度市場公募都市以外の市町村に係るもの 0.0225C30ア 平成30年度市場公募都市に係るもの 0.00873イ 平成30年度市場公募都市以外の市町村に係るもの 0.01168C令元ア 令和元年度市場公募都市に係るもの 0.00806イ 令和元年度市場公募都市以外の市町村に係るもの 0.01103C令2ア 令和2年度市場公募都市に係るもの 0.00171イ 令和2年度市場公募都市以外の市町村に係るもの 0.00173C令3ア 令和3年度市場公募都市に係るもの 0.00270イ 令和3年度市場公募都市以外の市町村に係るもの 0.00277C令4ア 令和4年度市場公募都市に係るもの 0.00446イ 令和4年度市場公募都市以外の市町村に係るもの 0.00460D 地下鉄事業続特例債に係る当該年度における元金償還金を基礎として総務大臣が算定して通知した額E 昭和46年度以降に建設された市町村営の地下高速鉄道の建設に係る事業費の一部を出資する財源に充てるため昭和54年度から平成11年度までの各年度において発行を許可された地方債(大阪市において事業承継前に発行を許可された地方債を含む。)の当該年度における元利償還金(大阪市においては当該年度における元利償還金相当額を基礎として総務大臣が算定して通知した額)α 一路線について第一種鉄道事業及び第二種鉄道事業(鉄道事業法第2条第2項及び第3項に規定する事業をいう。)により当該路線の旅客運送を行う場合の第二種鉄道事業区間の建設に係る事業費に係るものにあつては0.3、その他のものにあつては0.6F 平成7年度から平成11年度までの各年度において発行を許可された地下鉄緊急整備事業債(大阪市において事業承継前に発行を許可された地方債を含む。)の当該年度における元利償還金(大阪市においては当該年度における元利償還金相当額)を基礎として総務大臣が算定して通知した額G 平成26年度以前において発行について同意又は許可を得た地下鉄事業再特例債に係る当該年度における元金償還金を基礎として総務大臣が算定して通知した額Hn n年度(平成27年度以降に限る。)に発行について同意又は許可を得た地下鉄事業再特例債の額のうち総務大臣が算定して通知した額I27ア 平成27年度市場公募都市に係るもの 0.045イ 平成27年度市場公募都市以外の市町村に係るもの 0.045I28ア 平成28年度市場公募都市に係るもの 0.0450イ 平成28年度市場公募都市以外の市町村に係るもの 0.0450I29ア 平成29年度市場公募都市に係るもの 0.0450イ 平成29年度市場公募都市以外の市町村に係るもの 0.0450I30ア 平成30年度市場公募都市に係るもの 0.04500イ 平成30年度市場公募都市以外の市町村に係るもの 0.04500I令元ア 令和元年度市場公募都市に係るもの 0.04500イ 令和元年度市場公募都市以外の市町村に係るもの 0.04500I令2ア 令和2年度市場公募都市に係るもの 0.04500イ 令和2年度市場公募都市以外の市町村に係るもの 0.04500I令3ア 令和3年度市場公募都市に係るもの 0.04500イ 令和3年度市場公募都市以外の市町村に係るもの 0.04500I令4ア 令和4年度市場公募都市に係るもの 0.04500イ 令和4年度市場公募都市以外の市町村に係るもの 0.04500J 地下鉄事業続特例債の当該年度における支払利息のうち、当該地方債の年利率の1.2パーセントの範囲内で発行利率に相当する利率として計算した額として総務大臣が通知した額K 地下高速鉄道を経営する第三セクターに対し出資する財源に充てるため平成元年度以降に発行について同意又は許可を得た都市高速鉄道事業債(大阪市において事業承継前に発行について同意又は許可を得た地方債を除く。)の額のうち総務大臣が算定して通知した額に別表第3の10に定める率を乗じて得た額L 地下高速鉄道を経営する第三セクターに対し補助する財源に充てるため平成13年度以降に発行について同意又は許可を得た都市高速鉄道事業債(大阪市において事業承継前に発行について同意又は許可を得た地方債を除く。)の額のうち総務大臣が算定して通知した額に別表第3の10に定める率を乗じて得た額M 地下高速鉄道を経営する第三セクターに対し出資する財源に充てるため平成11年度までの各年度において発行を許可された地下鉄緊急整備事業債(大阪市において事業承継前に発行を許可された地方債を除く。)の当該年度における元利償還金N 昭和56年度以降に建設された市町村営のニュータウン鉄道の建設に係る事業費の10パーセントを出資する財源に充てるため昭和58年度から平成11年度までの各年度において発行を許可された地方債の当該年度における元利償還金On 昭和56年度以降に建設された市町村営のニュータウン鉄道の建設に係る事業費の一部を補助する財源に充てるため平成n年度において発行について同意又は許可を得た都市高速鉄道事業債の額のうち総務大臣が算定して通知した額P14=0.0212P15=0.0239P16=0.0243P17ア 平成17年度市場公募都市に係るもの 0.0225イ 平成17年度市場公募都市以外の市町村に係るもの 0.0180P18ア 平成18年度市場公募都市に係るもの 0.0221イ 平成18年度市場公募都市以外の市町村に係るもの 0.0171P19ア 平成19年度市場公募都市に係るもの 0.0221イ 平成19年度市場公募都市以外の市町村に係るもの 0.0162P20ア 平成20年度市場公募都市に係るもの 0.02250イ 平成20年度市場公募都市以外の市町村に係るもの 0.02475P21ア 平成21年度市場公募都市に係るもの 0.02160イ 平成21年度市場公募都市以外の市町村に係るもの 0.02430P22ア 平成22年度市場公募都市に係るもの 0.02115イ 平成22年度市場公募都市以外の市町村に係るもの 0.02385Q ニュータウン鉄道等を経営する第三セクターに対し出資する財源に充てるため平成10年度以降に発行について同意又は許可を得た都市高速鉄道事業債の額のうち総務大臣が算定して通知した額に別表第3の10に定める率を乗じて得た額R ニュータウン鉄道等を経営する第三セクターに対し補助する財源に充てるため平成14年度以降に発行について同意又は許可を得た都市高速鉄道事業債の額のうち総務大臣が算定して通知した額に別表第3の10に定める率を乗じて得た額S モノレール事業等を経営する市町村が当該モノレール事業等に対し出資する財源に充てるため昭和51年度以降に発行について同意又は許可を得た都市高速鉄道事業債(大阪市において事業承継前に発行について同意又は許可を得た地方債を含む。)の額のうち総務大臣が算定して通知した額に別表第3の10に定める率(大阪市において事業承継前に発行について同意又は許可を得た地方債については公営分として定める率)を乗じて得た額T モノレール事業等を経営する第三セクターに対し出資する財源に充てるため昭和51年度以降に発行について同意又は許可を得た都市高速鉄道事業債(大阪市において事業承継前に発行について同意又は許可を得た地方債を除くものとし、平成元年度までに償還を終了したものを除く。)の額のうち、当該高速鉄道事業債の起債対象事業費の20パーセント相当額を基礎として、当該市町村の当該第三セクターの資本金等に対する出資割合に応じて総務大臣が算定して通知した額に別表第3の10に定める率を乗じて得た額Un 都道府県の項第9号算式Ⅸの符号Bnに同じ。V15=0.053V16=0.053V17ア 平成17年度市場公募都市に係るもの 0.046イ 平成17年度市場公募都市以外の市町村に係るもの 0.033V18ア 平成18年度市場公募都市に係るもの 0.041イ 平成18年度市場公募都市以外の市町村に係るもの 0.022V19ア 平成19年度市場公募都市に係るもの 0.041イ 平成19年度市場公募都市以外の市町村に係るもの 0.023V20ア 平成20年度市場公募都市に係るもの 0.04245イ 平成20年度市場公募都市以外の市町村に係るもの 0.05051V21ア 平成21年度市場公募都市に係るもの 0.04308イ 平成21年度市場公募都市以外の市町村に係るもの 0.05062V22ア 平成22年度市場公募都市に係るもの 0.04230イ 平成22年度市場公募都市以外の市町村に係るもの 0.05050Wn 都道府県の項第9号算式Ⅸの符号Dnに同じ。X23ア 平成23年度市場公募都市に係るもの 0.04088イ 平成23年度市場公募都市以外の市町村に係るもの 0.04963X24ア 平成24年度市場公募都市に係るもの 0.04146イ 平成24年度市場公募都市以外の市町村に係るもの 0.05057X25ア 平成25年度市場公募都市に係るもの 0.042イ 平成25年度市場公募都市以外の市町村に係るもの 0.051X26ア 平成26年度市場公募都市に係るもの 0.041イ 平成26年度市場公募都市以外の市町村に係るもの 0.050X27ア 平成27年度市場公募都市に係るもの 0.040イ 平成27年度市場公募都市以外の市町村に係るもの 0.049X28ア 平成28年度市場公募都市に係るもの 0.0390イ 平成28年度市場公募都市以外の市町村に係るもの 0.0480X29ア 平成29年度市場公募都市に係るもの 0.0390イ 平成29年度市場公募都市以外の市町村に係るもの 0.0490X30ア 平成30年度市場公募都市に係るもの 0.03857イ 平成30年度市場公募都市以外の市町村に係るもの 0.04841X令元ア 令和元年度市場公募都市に係るもの 0.03788イ 令和元年度市場公募都市以外の市町村に係るもの 0.04801X令2ア 令和2年度市場公募都市に係るもの 0.00181イ 令和2年度市場公募都市以外の市町村に係るもの 0.00186X令3ア 令和3年度市場公募都市に係るもの 0.00244イ 令和3年度市場公募都市以外の市町村に係るもの 0.00271X令4ア 令和4年度市場公募都市に係るもの 0.00552イ 令和4年度市場公募都市以外の市町村に係るもの 0.00600Yn 都道府県の項第9号算式Ⅸの符号Fnに同じ。Z令元ア 令和元年度市場公募都市に係るもの 0.02368イ 令和元年度市場公募都市以外の市町村に係るもの 0.03001Z令2ア 令和2年度市場公募都市に係るもの 0.00113イ 令和2年度市場公募都市以外の市町村に係るもの 0.00117Z令3ア 令和3年度市場公募都市に係るもの 0.00153イ 令和3年度市場公募都市以外の市町村に係るもの 0.00170Z令4ア 令和4年度市場公募都市に係るもの 0.00345イ 令和4年度市場公募都市以外の市町村に係るもの 0.00375AAn 昭和46年度以降に建設された市町村営の地下高速鉄道の建設に係る事業費の一部を出資する財源に充てるためn年度において発行について同意又は許可を得た地方債(大阪市において事業承継前に発行について同意又は許可を得た地方債を含むものとし、平成23年度から令和4年度までの各年度において発行について同意又は許可を得たものについては、平成22年度以前に着手した継続事業として総務大臣が調査した事業に係るものに限る。)の額に相当する額AB12=0.0300AB13=0.0318AB14=0.0212AB15=0.0239AB16=0.0243AB17ア 平成17年度市場公募都市に係るもの 0.0225イ 平成17年度市場公募都市以外の市町村に係るもの 0.0180AB18ア 平成18年度市場公募都市に係るもの 0.0221イ 平成18年度市場公募都市以外の市町村に係るもの 0.0171AB19ア 平成19年度市場公募都市に係るもの 0.0221イ 平成19年度市場公募都市以外の市町村に係るもの 0.0162AB20ア 平成20年度市場公募都市に係るもの 0.02250イ 平成20年度市場公募都市以外の市町村に係るもの 0.02475AB21ア 平成21年度市場公募都市に係るもの 0.02160イ 平成21年度市場公募都市以外の市町村に係るもの 0.02430AB22ア 平成22年度市場公募都市に係るもの 0.02115イ 平成22年度市場公募都市以外の市町村に係るもの 0.02385AB23ア 平成23年度市場公募都市に係るもの 0.02115イ 平成23年度市場公募都市以外の市町村に係るもの 0.02340AB24ア 平成24年度市場公募都市に係るもの 0.02111イ 平成24年度市場公募都市以外の市町村に係るもの 0.02363AB25ア 平成25年度市場公募都市に係るもの 0.0212イ 平成25年度市場公募都市以外の市町村に係るもの 0.0239AB26ア 平成26年度市場公募都市に係るもの 0.0207イ 平成26年度市場公募都市以外の市町村に係るもの 0.0234AB27ア 平成27年度市場公募都市に係るもの 0.0194イ 平成27年度市場公募都市以外の市町村に係るもの 0.0216AB28ア 平成28年度市場公募都市に係るもの 0.0194イ 平成28年度市場公募都市以外の市町村に係るもの 0.0221AB29ア 平成29年度市場公募都市に係るもの 0.0194イ 平成29年度市場公募都市以外の市町村に係るもの 0.0225AB30ア 平成30年度市場公募都市に係るもの 0.00873イ 平成30年度市場公募都市以外の市町村に係るもの 0.01168AB令元ア 令和元年度市場公募都市に係るもの 0.00806イ 令和元年度市場公募都市以外の市町村に係るもの 0.01103AB令2ア 令和2年度市場公募都市に係るもの 0.00171イ 令和2年度市場公募都市以外の市町村に係るもの 0.00173AB令3ア 令和3年度市場公募都市に係るもの 0.00270イ 令和3年度市場公募都市以外の市町村に係るもの 0.00277AB令4ア 令和4年度市場公募都市に係るもの 0.00446イ 令和4年度市場公募都市以外の市町村に係るもの 0.00460ACn 平成n年度において発行について同意又は許可を得た地下鉄緊急整備事業債(大阪市において事業承継前に発行について同意又は許可を得た地方債を含む。)の額の3分の2に相当する額AD12=0.0375AD13=0.0398AD14=0.0360AD15=0.0399AD16=0.0405AD17ア 平成17年度市場公募都市に係るもの 0.0375イ 平成17年度市場公募都市以外の市町村に係るもの 0.0300AD18ア 平成18年度市場公募都市に係るもの 0.0368イ 平成18年度市場公募都市以外の市町村に係るもの 0.0285AD19ア 平成19年度市場公募都市に係るもの 0.0368イ 平成19年度市場公募都市以外の市町村に係るもの 0.0270AD20ア 平成20年度市場公募都市に係るもの 0.03750イ 平成20年度市場公募都市以外の市町村に係るもの 0.04125AD21ア 平成21年度市場公募都市に係るもの 0.03600イ 平成21年度市場公募都市以外の市町村に係るもの 0.04050AD22ア 平成22年度市場公募都市に係るもの 0.03525イ 平成22年度市場公募都市以外の市町村に係るもの 0.03975AEn 昭和56年度以降に建設された市町村営のニュータウン鉄道の建設に係る事業費の10パーセントを出資する財源に充てるため平成n年度において発行について同意又は許可を得た地方債の額に相当する額AF12=0.0300AF13=0.0318AF14=0.0212AF15=0.0239AF16=0.0243AF17ア 平成17年度市場公募都市に係るもの 0.0225イ 平成17年度市場公募都市以外の市町村に係るもの 0.0180AF18ア 平成18年度市場公募都市に係るもの 0.0221イ 平成18年度市場公募都市以外の市町村に係るもの 0.0171AF19ア 平成19年度市場公募都市に係るもの 0.0221イ 平成19年度市場公募都市以外の市町村に係るもの 0.0162AF20ア 平成20年度市場公募都市に係るもの 0.02250イ 平成20年度市場公募都市以外の市町村に係るもの 0.02475AF21ア 平成21年度市場公募都市に係るもの 0.02160イ 平成21年度市場公募都市以外の市町村に係るもの 0.02430AF22ア 平成22年度市場公募都市に係るもの 0.02115イ 平成22年度市場公募都市以外の市町村に係るもの 0.02385
 五 公園費人口算式
算式の符号A 測定単位の数値B 国庫の補助金を受けて施行した都市公園法第2条第1項に規定する都市公園又は都市公園等整備緊急措置法第2条第1項第3号に該当する公園の整備事業に係る経費に充てるため昭和63年度から平成11年度までの各年度において発行を許可された地方債(平成3年度から平成11年度までの各年度において地方税の減収に伴い発行を許可された地方債、財源対策債、臨時財政特例債、公共事業等臨時特例債、平成4年度補正予算債、平成5年度補正予算債、平成6年度補正予算債、平成7年度補正予算債、平成8年度補正予算債、平成9年度補正予算債、平成10年度補正予算債及び平成11年度補正予算債、地域財政特例対策債、地方債計画に計上されない地方債並びに総務大臣の指定する充当の率を超える部分に係るものを除く。)で総務大臣が調査したものの当該年度における元利償還金。この場合において、市町村が組織する組合に係る元利償還金は、当該元利償還金を当該組合を構成する市町村の長が協議して定め、総務大臣が承認した率(協議が成立しないときは、総務大臣が定める率)により按分したものをそれぞれの市町村に係る元利償還金(総務大臣が承認する場合には、当該組合を構成する市町村のうち都道府県知事が指定する市町村に係る元利償還金)とみなす。C 国庫の補助金を受けて施行した都市公園法第2条第1項に規定する都市公園又は都市公園等整備緊急措置法第2条第1項第3号に該当する公園の整備事業に係る経費に充てるため平成15年度において発行について同意又は許可を得た地方債(平成15年度において地方税の減収に伴い発行を許可された地方債、財源対策債、地方債計画に計上されない地方債及び総務大臣の指定する充当の率を超える部分に係るものを除く。)で総務大臣が調査した額。この場合において、市町村が組織する組合に係る額は、当該額を当該組合を構成する市町村の長が協議して定め、総務大臣が承認した率(協議が成立しないときは、総務大臣が定める率)により按分したものをそれぞれの市町村に係る額(総務大臣が承認する場合には、当該組合を構成する市町村のうち都道府県知事が指定する市町村に係る額)とみなす。
 六 下水道費人口算式
算式の符号A 測定単位の数値
   B 公共下水道(下水道処理水循環利用モデル事業、再生水利用下水道事業及び熱利用下水道モデル事業、水循環・再生下水道モデル事業(下水処理水又は雨水を再利用するための貯留施設、ポンプ施設、処理施設及び送水施設以外のものの整備に係る事業に限る。)並びに新世代下水道支援事業制度のうち水循環再生型(下水処理水又は雨水を再利用するための貯留施設、ポンプ施設、処理施設及び送水施設以外のものの整備に係る事業、河川事業等との適切な連携・共同事業並びに雨水の貯留浸透機能を有する管渠等の設置・改造に係る事業に限る。)、未利用エネルギー型及び高度情報化型(下水処理水の再生利用に係る使用量を把握するための自動検針システムを構築する事業及び降雨及び雨水排除に関する情報を提供する事業に限る。)を除く。以下同じ。)及び流域下水道の整備事業に係る経費又は都道府県が行うこれらの事業に対する法令に基づく負担金に充てるため昭和34年度から平成11年度までの各年度において発行を許可された地方債(災害復旧事業債、公害防止事業債、昭和46年度、昭和47年度、昭和50年度から昭和62年度まで及び平成2年度から平成11年度までの各年度において地方税の減収に伴い発行を許可された地方債、昭和50年度から昭和57年度までの各年度、平成10年度及び平成11年度において財政健全化のため発行を許可された地方債、財源対策債、昭和50年度補正予算債、昭和51年度補正予算債、昭和52年度補正予算債、昭和53年度補正予算債、昭和61年度補正予算債、平成4年度補正予算債、平成5年度補正予算債、平成6年度補正予算債、平成7年度補正予算債、平成8年度補正予算債、平成9年度補正予算債、平成10年度補正予算債及び平成11年度補正予算債、地域財政特例対策債、臨時財政特例債、公共事業等臨時特例債、資本費平準化債、下水道事業債特例措置分、下水道事業債臨時措置分、昭和46年度以前において発行を許可された地方債で市場公募資金に係るもの及びその借換債、昭和50年度以前において発行を許可された地方債で縁故資金に係るもの、公共下水道及び流域下水道の供用開始前の施設又は供用開始後の施設のうち未利用部分に係る地方債の元利償還金に充てるため発行について同意又は許可を得た地方債、昭和57年度以降において施行した公共下水道の整備事業に係る経費に充てるため発行について同意又は許可を得た地方債のうち総務大臣が指定する充当の率を超える部分に係るもの、終末処理場、ポンプ場、管渠、下水道庁舎及び取付道路の施設を当該年度に設置するため必要となる単独用地に係る経費に充てるため発行について同意又は許可を得た地方債、下水道展示施設の設置費に係る地方債、住宅宅地関連公共施設整備促進事業に係る一般単独事業債、下水道普及特別対策事業(「下水道普及特別対策要綱について」(平成8年4月1日付け自治準企第93号)に基づき施行された事業(「下水道普及特別対策の実施要領について」(平成8年4月1日付け自治準企第94号)により通常の下水道事業として取り扱われるものを除く。)をいう。)に係る経費に充てるため発行について同意又は許可を得た地方債並びに地方債計画に計上されない地方債を除く。)の当該年度における元利償還金(平成3年度から平成7年度までの間において下水道普及特別対策事業(「下水道普及特別対策要綱について」(平成3年4月30日付け自治準企第90号)に基づき施行された事業(「下水道普及特別対策の実施要領について」(平成8年4月1日付け自治準企第94号)により通常の下水道事業として取り扱われるものを除く。)をいう。)に係る経費に充てるため発行を許可された地方債の当該年度における元利償還金の17分の1に相当する額及び符号ANの総務大臣が算定して通知した額の基礎となつた元利償還金を除く。)。この場合において、市町村が組織する組合に係る元利償還金は、当該元利償還金を当該組合を構成する市町村の長が協議して定め、総務大臣が承認した率(協議が成立しないときは、総務大臣が定める率)により按分したものをそれぞれの市町村に係る元利償還金(総務大臣が承認する場合には、当該組合を構成する市町村のうち都道府県知事が指定する市町村に係る元利償還金)とみなす。符号Cn、符号F、符号G、符号H、符号I、符号Jn、符号Ln、符号Nn、符号Pn、符号Rn、符号Sn、符号Tn、符号Un、符号Vn、符号Wn、符号Xn、符号Zn、符号AAn、符号AEn、符号AGn、符号AIn、符号ALn、符号AN及び符号AOにおいて同じ。Cn 公共下水道及び流域下水道の整備事業に係る経費又は都道府県が行うこれらの事業に対する法令に基づく負担金に充てるためn年度において発行について同意又は許可を得た地方債(「平成17年度の下水道事業債の取扱いについて」又は「平成16年度の下水道事業債の取扱いについて」により更新事業に区分された地方債(以下この号において「更新事業に区分された地方債」という。)、都道府県が行う流域下水道に対する法令に基づく負担金に充てるため、平成18年度から令和4年度までの各年度において発行について同意又は許可を得た地方債のうち公共下水道事業以外の下水道事業から支出する負担金に係るもの、災害復旧事業債、公害防止事業債、地方税の減収に伴い発行を許可された地方債、財政健全化のために発行を許可された地方債、臨時特例債、資本費平準化債、下水道事業債特例措置分、下水道事業債臨時措置分、下水道事業債広域化・共同化分(「下水道事業広域化・共同化推進要領の改正について」(平成12年4月1日付け自治準企第72号)により策定した広域化・共同化計画に基づく施設の整備に係る経費に充てるための地方債をいう。以下同じ。)、下水道事業債特別措置分(「下水道事業債(特別措置分)の取扱について」(平成18年3月31日付け総財経第68号)により発行することができることとされたものをいう。以下同じ。)、公共下水道及び流域下水道事業の供用開始前の施設又は供用開始後の施設のうち未利用部分に係る地方債の元利償還金に充てるため発行について同意又は許可を得た地方債、昭和57年度以降において施行した公共下水道の整備事業に係る経費に充てるため発行について同意又は許可を得た地方債のうち総務大臣が指定する率を超える部分に係るもの、終末処理場、ポンプ場、管渠、下水道庁舎及び取付道路の施設を当該年度に設置するため必要となる単独用地に係る経費に充てるため発行について同意又は許可を得た地方債、下水道展示施設の設置費に係る地方債、住宅宅地関連公共施設整備促進事業に係る一般単独事業債、下水道普及特別対策事業(「下水道普及特別対策要綱について」(平成8年4月1日付け自治準企第93号)に基づき施行された事業(「下水道普及特別対策の実施要領について」(平成8年4月1日付け自治準企第94号)により通常の下水道事業として取り扱われるものを除く。)をいう。)に係る経費に充てるため発行について同意又は許可を得た地方債、地方債計画に計上されない地方債、復興交付金を受けて施行する公営企業復興事業に係る経費及び都道府県が行う当該事業に対する法令に基づく負担金に充てるため平成23年度から令和4年度までの各年度において発行について同意又は許可を得た地方債、全国的に緊急に実施する公営企業緊急防災・減災事業に係る経費及び都道府県が行う当該事業に対する法令に基づく負担金に充てるため平成23年度から令和4年度までの各年度において発行について同意又は許可を得た地方債、再生可能エネルギー発電設備の設置に係る経費に充てるため発行について同意又は許可を得た地方債、公営企業会計適用債並びに下水道事業債旧公害防止対策事業分(旧公害の防止に関する事業に係る国の財政上の特別措置に関する法律第2条の2第1項に規定する公害防止対策事業計画についての「公害防止対策事業計画の同意基準」(平成23年12月決定)を満たす地方公共団体が別に定める事業計画に基づいて実施する事業(公共下水道(下水道法第2条第3号イに規定するものに限る。)及び流域下水道(同条第4号イに規定するものに限る。)(以下この号において「公共下水道等」という。)における設置及び改築の事業(下水道法施行令第24条の2第1項第1号ロに規定する特定公共下水道の設置及び改築の事業並びに公共下水道等における処理場、ポンプ施設及び管路施設の供用開始後25年を経過したものに係る事業で、下水の処理量の増大又は放流水の水質の改善に資さないものを除く。))に係る経費に充てるための地方債をいう。以下この号において同じ。)を除く。)の額に相当する額(符号ANの総務大臣が算定して通知した額の基礎となつた地方債の額を除く。以下符号Jn、符号Ln、符号Pn、符号Zn、符号AAn、符号AIn及び符号ALnにおいて同じ。)D12=0.0500D13=0.0530D14=0.0470D15=0.0532D16=0.0432D17ア 平成17年度市場公募都市に係るもの 0.0503イ 平成17年度市場公募都市以外の市町村に係るもの 0.0400D18ア 平成18年度市場公募都市に係るもの 0.0487イ 平成18年度市場公募都市以外の市町村に係るもの 0.0376D19ア 平成19年度市場公募都市に係るもの 0.0488イ 平成19年度市場公募都市以外の市町村に係るもの 0.0364D20ア 平成20年度市場公募都市に係るもの 0.04977イ 平成20年度市場公募都市以外の市町村に係るもの 0.05533D21ア 平成21年度市場公募都市に係るもの 0.04838イ 平成21年度市場公募都市以外の市町村に係るもの 0.05350D22ア 平成22年度市場公募都市に係るもの 0.04701イ 平成22年度市場公募都市以外の市町村に係るもの 0.05277D23ア 平成23年度市場公募都市に係るもの 0.04690イ 平成23年度市場公募都市以外の市町村に係るもの 0.05219D24ア 平成24年度市場公募都市に係るもの 0.04691イ 平成24年度市場公募都市以外の市町村に係るもの 0.05246D25ア 平成25年度市場公募都市に係るもの 0.0474イ 平成25年度市場公募都市以外の市町村に係るもの 0.0524D26ア 平成26年度市場公募都市に係るもの 0.0463イ 平成26年度市場公募都市以外の市町村に係るもの 0.0517D27ア 平成27年度市場公募都市に係るもの 0.0425イ 平成27年度市場公募都市以外の市町村に係るもの 0.0479D28ア 平成28年度市場公募都市に係るもの 0.0427イ 平成28年度市場公募都市以外の市町村に係るもの 0.0489D29ア 平成29年度市場公募都市に係るもの 0.0427イ 平成29年度市場公募都市以外の市町村に係るもの 0.0495D30ア 平成30年度市場公募都市に係るもの 0.01941イ 平成30年度市場公募都市以外の市町村に係るもの 0.02596D令元ア 令和元年度市場公募都市に係るもの 0.01792イ 令和元年度市場公募都市以外の市町村に係るもの 0.02450D令2ア 令和2年度市場公募都市に係るもの 0.00379イ 令和2年度市場公募都市以外の市町村に係るもの 0.00384D令3ア 令和3年度市場公募都市に係るもの 0.00600イ 令和3年度市場公募都市以外の市町村に係るもの 0.00615D令4ア 令和4年度市場公募都市に係るもの 0.00990イ 令和4年度市場公募都市以外の市町村に係るもの 0.01022E12=0.0500E13=0.0530E14=0.0470E15=0.0532E16=0.0432E17ア 平成17年度市場公募都市に係るもの 0.0503イ 平成17年度市場公募都市以外の市町村に係るもの 0.0400E18ア 平成18年度市場公募都市に係るもの 0.0487イ 平成18年度市場公募都市以外の市町村に係るもの 0.0376E19ア 平成19年度市場公募都市に係るもの 0.0488イ 平成19年度市場公募都市以外の市町村に係るもの 0.0364E20ア 平成20年度市場公募都市に係るもの 0.04977イ 平成20年度市場公募都市以外の市町村に係るもの 0.05533E21ア 平成21年度市場公募都市に係るもの 0.04838イ 平成21年度市場公募都市以外の市町村に係るもの 0.05350E22ア 平成22年度市場公募都市に係るもの 0.04701イ 平成22年度市場公募都市以外の市町村に係るもの 0.05277E23ア 平成23年度市場公募都市に係るもの 0.04690イ 平成23年度市場公募都市以外の市町村に係るもの 0.05219E24ア 平成24年度市場公募都市に係るもの 0.04691イ 平成24年度市場公募都市以外の市町村に係るもの 0.05246E25ア 平成25年度市場公募都市に係るもの 0.0474イ 平成25年度市場公募都市以外の市町村に係るもの 0.0524E26ア 平成26年度市場公募都市に係るもの 0.0463イ 平成26年度市場公募都市以外の市町村に係るもの 0.0517E27ア 平成27年度市場公募都市に係るもの 0.0425イ 平成27年度市場公募都市以外の市町村に係るもの 0.0479E28ア 平成28年度市場公募都市に係るもの 0.0427イ 平成28年度市場公募都市以外の市町村に係るもの 0.0489E29ア 平成29年度市場公募都市に係るもの 0.0427イ 平成29年度市場公募都市以外の市町村に係るもの 0.0495E30ア 平成30年度市場公募都市に係るもの 0.01941イ 平成30年度市場公募都市以外の市町村に係るもの 0.02596E令元ア 令和元年度市場公募都市に係るもの 0.01792イ 令和元年度市場公募都市以外の市町村に係るもの 0.02450E令2ア 令和2年度市場公募都市に係るもの 0.00379イ 令和2年度市場公募都市以外の市町村に係るもの 0.00384E令3ア 令和3年度市場公募都市に係るもの 0.00600イ 令和3年度市場公募都市以外の市町村に係るもの 0.00615E令4ア 令和4年度市場公募都市に係るもの 0.00990イ 令和4年度市場公募都市以外の市町村に係るもの 0.01022F 特定環境保全公共下水道、農業集落排水施設、漁業集落排水施設、林業集落排水施設、簡易排水施設、小規模集落排水処理施設、特定地域生活排水処理施設若しくは個別排水処理施設の整備事業に係る経費又は都道府県が行うこれらの事業に対する法令に基づく負担金に充てるため昭和34年度から平成11年度の各年度において発行を許可された地方債(災害復旧事業債、公害防止事業債、昭和50年度から昭和62年度までの各年度及び平成2年度から平成11年度までの各年度において地方税の減収に伴い発行を許可された地方債、昭和46年度、昭和47年度、昭和50年度から昭和57年度までの各年度、平成10年度及び平成11年度において財政健全化のために発行を許可された地方債、財源対策債、昭和50年度から昭和53年度までの各年度、昭和61年度及び平成4年度から平成11年度までの各年度に係る補正予算債、地域財政特例対策債、臨時財政特例債、公共事業等臨時特例債、資本費平準化債、下水道事業債特例措置分、下水道事業債臨時措置分、昭和46年度以前において発行を許可された地方債で市場公募資金に係るもの及びその借換債、昭和50年度以前において発行を許可された地方債で縁故資金に係るもの、特定環境保全公共下水道の供用開始前の施設又は供用開始後の施設のうち未利用部分に係る地方債の元利償還金に充てるため発行について同意又は許可を得た地方債、昭和57年度以降において施行した特定環境保全公共下水道の整備事業に係る経費に充てるため発行について同意又は許可を得た地方債のうち総務大臣が指定する率を超える部分に係るもの、終末処理場、ポンプ場、管渠、下水道庁舎及び取付道路の施設を当該年度に設置するため必要となる単独用地に係る経費に充てるため発行について同意又は許可を得た地方債、下水道展示施設の設置費に係る地方債、住宅宅地関連公共施設整備促進事業に係る一般単独事業債、下水道普及特別対策事業(「下水道普及特別対策要綱について」(平成8年4月1日付け自治準企第93号)に基づき施行された事業(「下水道普及特別対策の実施要領について」(平成8年4月1日付け自治準企第94号)により通常の下水道事業として取り扱われるものを除く。)をいう。)に係る経費に充てるため発行について同意又は許可を得た地方債並びに地方債計画に計上されない地方債を除く。)の当該年度における元利償還金(平成3年度から平成7年度までの間において下水道普及特別対策事業(「下水道普及特別対策要綱について」(平成3年4月30日付け自治準企第94号)に基づき施行された事業(「下水道事業普及特別対策の実施要領について」により通常の下水道事業として取り扱われるものを除く。)をいう。)に係る経費に充てるため発行を許可された地方債の当該年度における元利償還金の17分の1に相当する額及び符号ANの総務大臣が算定して通知した額の基礎となつた元利償還金を除く。)の額
   G 下水道普及特別対策事業(「下水道普及特別対策要綱について」(平成8年4月1日付け自治準企第93号)に基づき実施する事業(「下水道普及特別対策の実施要領について」(平成8年4月1日付け自治準企第94号)により通常の下水道事業として取り扱われるものを除く。)をいう。)に係る当該年度における元利償還金H 下水道事業債特例措置分の当該年度における元利償還金I 下水道事業債臨時措置分の当該年度における元利償還金(符号ANの総務大臣が算定して通知した額の基礎となつた元利償還金を除く。)Jn 流域下水道、特定公共下水道、特定環境保全公共下水道、農業集落排水施設、漁業集落排水施設、林業集落排水施設、簡易排水施設、小規模集合排水処理施設、特定地域生活排水処理施設若しくは個別排水処理施設の整備事業に係る経費又は都道府県が行うこれらの事業に対する法令に基づく負担金に充てるためn年度において発行について同意又は許可を得た地方債(更新事業に区分された地方債、都道府県が行う流域下水道に対する法令に基づく負担金に充てるため平成17年度以前において発行を許可された地方債並びに平成18年度から令和4年度までの各年度において発行について同意又は許可を得た地方債のうち公共下水道事業から支出する負担金に係るもの、災害復旧事業債、公害防止事業債、地方税の減収に伴い発行を許可された地方債、財政健全化のために発行を許可された地方債、臨時財政特例債、資本費平準化債、下水道事業債特例措置分、下水道事業債臨時措置分、下水道事業債広域化・共同化分、下水道事業債特別措置分、特定環境保全公共下水道の供用開始前の施設又は供用開始後の施設のうち未利用部分に係る地方債の元利償還金に充てるため発行について同意又は許可を得た地方債、昭和57年度以降において施行した特定環境保全公共下水道の整備事業に係る経費に充てるため発行について同意又は許可を得た地方債のうち総務大臣が指定する率を超える部分に係るもの、終末処理場、ポンプ場、管渠、下水道庁舎及び取付道路の施設を当該年度に設置するため必要となる単独用地に係る経費に充てるため発行について同意又は許可を得た地方債、下水道展示施設の設置費に係る地方債、住宅宅地関連公共施設整備促進事業に係る一般単独事業債、下水道普及特別対策事業(「下水道普及特別対策要綱について」(平成8年4月1日付け自治準企第93号)に基づき施行された事業(「下水道普及特別対策の実施要領について」(平成8年4月1日付け自治準企第94号)により通常の下水道事業として取り扱われるものを除く。)をいう。)に係る経費に充てるため発行について同意又は許可を得た地方債、地方債計画に計上されない地方債、復興交付金を受けて施行する公営企業復興事業に係る経費及び都道府県が行う当該事業に対する法令に基づく負担金に充てるため平成23年度から令和4年度までの各年度において発行について同意又は許可を得た地方債、全国的に緊急に実施する公営企業緊急防災・減災事業に係る経費及び都道府県が行う当該事業に対する法令に基づく負担金に充てるため平成23年度から令和4年度までの各年度において発行について同意又は許可を得た地方債、再生可能エネルギー発電設備の設置に係る経費に充てるため発行について同意又は許可を得た地方債、公営企業会計適用債並びに下水道事業債旧公害防止対策事業分を除く。)の額に相当する額K12=0.0250K13=0.0265K14=0.0212K15=0.0239K16=0.0194K17ア 平成17年度市場公募都市に係るもの 0.0226イ 平成17年度市場公募都市以外の市町村に係るもの 0.0180K18ア 平成18年度市場公募都市に係るもの 0.0214イ 平成18年度市場公募都市以外の市町村に係るもの 0.0165K19ア 平成19年度市場公募都市に係るもの 0.0215イ 平成19年度市場公募都市以外の市町村に係るもの 0.0160K20ア 平成20年度市場公募都市に係るもの 0.02190イ 平成20年度市場公募都市以外の市町村に係るもの 0.02435K21ア 平成21年度市場公募都市に係るもの 0.02129イ 平成21年度市場公募都市以外の市町村に係るもの 0.02354K22ア 平成22年度市場公募都市に係るもの 0.02068イ 平成22年度市場公募都市以外の市町村に係るもの 0.02322K23ア 平成23年度市場公募都市に係るもの 0.02064イ 平成23年度市場公募都市以外の市町村に係るもの 0.02296K24ア 平成24年度市場公募都市に係るもの 0.02064イ 平成24年度市場公募都市以外の市町村に係るもの 0.02308K25ア 平成25年度市場公募都市に係るもの 0.0209イ 平成25年度市場公募都市以外の市町村に係るもの 0.0231K26ア 平成26年度市場公募都市に係るもの 0.0204イ 平成26年度市場公募都市以外の市町村に係るもの 0.0227K27ア 平成27年度市場公募都市に係るもの 0.0187イ 平成27年度市場公募都市以外の市町村に係るもの 0.0211K28ア 平成28年度市場公募都市に係るもの 0.0188イ 平成28年度市場公募都市以外の市町村に係るもの 0.0215K29ア 平成29年度市場公募都市に係るもの 0.0188イ 平成29年度市場公募都市以外の市町村に係るもの 0.0218K30ア 平成30年度市場公募都市に係るもの 0.00854イ 平成30年度市場公募都市以外の市町村に係るもの 0.01142K令元ア 令和元年度市場公募都市に係るもの 0.00788イ 令和元年度市場公募都市以外の市町村に係るもの 0.01078K令2ア 令和2年度市場公募都市に係るもの 0.00167イ 令和2年度市場公募都市以外の市町村に係るもの 0.00169K令3ア 令和3年度市場公募都市に係るもの 0.00264イ 令和3年度市場公募都市以外の市町村に係るもの 0.00271K令4ア 令和4年度市場公募都市に係るもの 0.00436イ 令和4年度市場公募都市以外の市町村に係るもの 0.00450Ln 公共下水道、流域下水道、特定公共下水道、特定環境保全公共下水道、農業集落排水施設、漁業集落排水施設、林業集落排水施設、簡易排水施設、小規模集合排水処理施設、特定地域生活排水処理施設若しくは個別排水処理施設の整備事業に係る経費又は都道府県が行うこれらの事業に対する法令に基づく負担金に充てるために平成n年度において発行について同意又は許可を得た地方債のうち更新事業に係るものの額に相当する額M16=0.0086M17ア 平成17年度市場公募都市に係るもの 0.0101イ 平成17年度市場公募都市以外の市町村に係るもの 0.0080Nn 平成n年度において発行を許可された下水道普及特別対策事業(「下水道普及特別対策要綱について」(平成8年4月1日付け自治準企第93号)に基づき実施する事業(「下水道普及特別対策の実施要領について」(平成8年4月1日付け自治準企第94号)により通常の下水道事業として取り扱われるものを除く。)をいう。)に係る地方債の額に相当する額O12=0.0276O13=0.0292O14=0.0259Pn n年度において発行について同意又は許可を得た下水道事業債臨時措置分(発行について地方財政法第5条の3第6項の規定による届出がされた地方債のうち同条第1項の規定による協議を受けたならば同条第10項に規定する基準に照らして同意をすることとなると認められるものとして総務大臣が指定するものを含む。以下同じ。)(復興交付金を受けて施行する公営企業復興事業に係る経費及び都道府県が行う当該事業に対する法令に基づく負担金に係るものを除く。)に係る額に相当する額Q12=0.0500Q13=0.0530Q14=0.0470Q15=0.0532Q16=0.0432Q17ア 平成17年度市場公募都市に係るもの 0.0503イ 平成17年度市場公募都市以外の市町村に係るもの 0.0400Q18ア 平成18年度市場公募都市に係るもの 0.0487イ 平成18年度市場公募都市以外の市町村に係るもの 0.0376Q19ア 平成19年度市場公募都市に係るもの 0.0488イ 平成19年度市場公募都市以外の市町村に係るもの 0.0364Q20ア 平成20年度市場公募都市に係るもの 0.04977イ 平成20年度市場公募都市以外の市町村に係るもの 0.05533Q21ア 平成21年度市場公募都市に係るもの 0.04838イ 平成21年度市場公募都市以外の市町村に係るもの 0.05350Q22ア 平成22年度市場公募都市に係るもの 0.04701イ 平成22年度市場公募都市以外の市町村に係るもの 0.05277Q23ア 平成23年度市場公募都市に係るもの 0.04690イ 平成23年度市場公募都市以外の市町村に係るもの 0.05219Q24ア 平成24年度市場公募都市に係るもの 0.04691イ 平成24年度市場公募都市以外の市町村に係るもの 0.05246Q25ア 平成25年度市場公募都市に係るもの 0.0474イ 平成25年度市場公募都市以外の市町村に係るもの 0.0524Q26ア 平成26年度市場公募都市に係るもの 0.0463イ 平成26年度市場公募都市以外の市町村に係るもの 0.0517Q27ア 平成27年度市場公募都市に係るもの 0.0425イ 平成27年度市場公募都市以外の市町村に係るもの 0.0479Q28ア 平成28年度市場公募都市に係るもの 0.0427イ 平成28年度市場公募都市以外の市町村に係るもの 0.0489Q29ア 平成29年度市場公募都市に係るもの 0.0427イ 平成29年度市場公募都市以外の市町村に係るもの 0.0495Q30ア 平成30年度市場公募都市に係るもの 0.01941イ 平成30年度市場公募都市以外の市町村に係るもの 0.02596Q令元ア 令和元年度市場公募都市に係るもの 0.01792イ 令和元年度市場公募都市以外の市町村に係るもの 0.02450Q令2ア 令和2年度市場公募都市に係るもの 0.00379イ 令和2年度市場公募都市以外の市町村に係るもの 0.00384Q令3ア 令和3年度市場公募都市に係るもの 0.00600イ 令和3年度市場公募都市以外の市町村に係るもの 0.00615Q令4ア 令和4年度市場公募都市に係るもの 0.00990イ 令和4年度市場公募都市以外の市町村に係るもの 0.01022Rn n年度において発行について同意又は許可を得た下水道事業債広域化・共同化分(発行について地方財政法第5条の3第6項の規定による届出がされた地方債のうち同条第1項の規定による協議を受けたならば同条第10項に規定する基準に照らして同意をすることとなると認められるものとして総務大臣が指定するものを含む。以下同じ。)に係る額に相当する額Sn n年度において発行について同意又は許可を得た下水道事業債広域化・共同化に係る額のうち、公共下水道に係る地方債に相当する額Tn n年度において発行について同意又は許可を得た下水道事業債広域化・共同化(流域下水道への接続分以外)に係る額のうち、公共下水道に係る地方債に相当する額Un n年度において発行について同意又は許可を得た下水道事業債広域化・共同化(流域下水道への接続分)に係る額のうち、公共下水道に係る地方債に相当する額Vn n年度において発行について同意又は許可を得た下水道事業債広域化・共同化に係る額のうち、特定環境保全公共下水道、流域下水道、農業集落排水施設、漁業集落排水施設、林業集落排水施設、簡易排水施設及び小規模集合排水施設に係る地方債に相当する額Wn n年度において発行について同意又は許可を得た下水道事業債広域化・共同化(流域下水道への接続分以外)に係る額のうち、特定環境保全公共下水道、流域下水道、農業集落排水施設、漁業集落排水施設、林業集落排水施設、簡易排水施設及び小規模集合排水施設に係る地方債に相当する額Xn n年度において発行について同意又は許可を得た下水道事業債広域化・共同化(流域下水道への接続分)に係る額のうち、特定環境保全公共下水道、流域下水道、農業集落排水施設、漁業集落排水施設、林業集落排水施設、簡易排水施設及び小規模集合排水施設に係る地方債に相当する額Y12=0.0273Y13=0.0292Y14=0.0235Y15=0.0266Y16=0.0216Y17ア 平成17年度市場公募都市に係るもの 0.0252イ 平成17年度市場公募都市以外の市町村に係るもの 0.0200Y18ア 平成18年度市場公募都市に係るもの 0.0244イ 平成18年度市場公募都市以外の市町村に係るもの 0.0188Y19ア 平成19年度市場公募都市に係るもの 0.0244イ 平成19年度市場公募都市以外の市町村に係るもの 0.0182Y20ア 平成20年度市場公募都市に係るもの 0.02489イ 平成20年度市場公募都市以外の市町村に係るもの 0.02767Y21ア 平成21年度市場公募都市に係るもの 0.02419イ 平成21年度市場公募都市以外の市町村に係るもの 0.02675Y22ア 平成22年度市場公募都市に係るもの 0.02351イ 平成22年度市場公募都市以外の市町村に係るもの 0.02639Y23ア 平成23年度市場公募都市に係るもの 0.02345イ 平成23年度市場公募都市以外の市町村に係るもの 0.02610Y24ア 平成24年度市場公募都市に係るもの 0.02346イ 平成24年度市場公募都市以外の市町村に係るもの 0.02623Y25ア 平成25年度市場公募都市に係るもの 0.0237イ 平成25年度市場公募都市以外の市町村に係るもの 0.0262Y26ア 平成26年度市場公募都市に係るもの 0.0232イ 平成26年度市場公募都市以外の市町村に係るもの 0.0259Y27ア 平成27年度市場公募都市に係るもの 0.0213イ 平成27年度市場公募都市以外の市町村に係るもの 0.0240Y28ア 平成28年度市場公募都市に係るもの 0.0214イ 平成28年度市場公募都市以外の市町村に係るもの 0.0245Y29ア 平成29年度市場公募都市に係るもの 0.0214イ 平成29年度市場公募都市以外の市町村に係るもの 0.0248Y30ア 平成30年度市場公募都市に係るもの 0.00971イ 平成30年度市場公募都市以外の市町村に係るもの 0.01298Y令元ア 令和元年度市場公募都市に係るもの 0.01792イ 令和元年度市場公募都市以外の市町村に係るもの 0.02450Y令2ア 令和2年度市場公募都市に係るもの 0.00379イ 令和2年度市場公募都市以外の市町村に係るもの 0.00384Y令3ア 令和3年度市場公募都市に係るもの 0.00600イ 令和3年度市場公募都市以外の市町村に係るもの 0.00615Y令4ア 令和4年度市場公募都市に係るもの 0.00990イ 令和4年度市場公募都市以外の市町村に係るもの 0.01022Zn n年度において発行について同意又は許可を得た下水道資本費平準化債のうち下水道事業(旧公害防止対策事業分を含む。)に係るものの額に相当する額AAn n年度において発行について同意又は許可を得た下水道資本費平準化債のうち公害防止事業に係るものの額に相当する額AB16=0.0312AB17ア 平成17年度市場公募都市に係るもの 0.0312イ 平成17年度市場公募都市以外の市町村に係るもの 0.0311AB18ア 平成18年度市場公募都市に係るもの 0.0296イ 平成18年度市場公募都市以外の市町村に係るもの 0.0296AB19ア 平成19年度市場公募都市に係るもの 0.0297イ 平成19年度市場公募都市以外の市町村に係るもの 0.0297AB20ア 平成20年度市場公募都市に係るもの 0.02980イ 平成20年度市場公募都市以外の市町村に係るもの 0.02976AB21ア 平成21年度市場公募都市に係るもの 0.02966イ 平成21年度市場公募都市以外の市町村に係るもの 0.02968AB22ア 平成22年度市場公募都市に係るもの 0.02986イ 平成22年度市場公募都市以外の市町村に係るもの 0.02988AB23ア 平成23年度市場公募都市に係るもの 0.03031イ 平成23年度市場公募都市以外の市町村に係るもの 0.03042AB24ア 平成24年度市場公募都市に係るもの 0.03634イ 平成24年度市場公募都市以外の市町村に係るもの 0.03610AB25ア 平成25年度市場公募都市に係るもの 0.0320イ 平成25年度市場公募都市以外の市町村に係るもの 0.0318AB26ア 平成26年度市場公募都市に係るもの 0.0315イ 平成26年度市場公募都市以外の市町村に係るもの 0.0312AB27ア 平成27年度市場公募都市に係るもの 0.0309イ 平成27年度市場公募都市以外の市町村に係るもの 0.0304AB28ア 平成28年度市場公募都市に係るもの 0.0302イ 平成28年度市場公募都市以外の市町村に係るもの 0.0302AB29ア 平成29年度市場公募都市に係るもの 0.0303イ 平成29年度市場公募都市以外の市町村に係るもの 0.0303AB30ア 平成30年度市場公募都市に係るもの 0.03037イ 平成30年度市場公募都市以外の市町村に係るもの 0.03025AB令元ア 令和元年度市場公募都市に係るもの 0.02997イ 令和元年度市場公募都市以外の市町村に係るもの 0.02998AB令2ア 令和2年度市場公募都市に係るもの 0.00108イ 令和2年度市場公募都市以外の市町村に係るもの 0.00123AB令3ア 令和3年度市場公募都市に係るもの 0.00134イ 令和3年度市場公募都市以外の市町村に係るもの 0.00195AB令4ア 令和4年度市場公募都市に係るもの 0.00297イ 令和4年度市場公募都市以外の市町村に係るもの 0.00399ACn n年度における下水道事業債特別措置分の発行可能額として総務大臣が通知した額AD18ア 平成18年度市場公募都市に係るもの 0.0414イ 平成18年度市場公募都市以外の市町村に係るもの 0.0414AD19ア 平成19年度市場公募都市に係るもの 0.0416イ 平成19年度市場公募都市以外の市町村に係るもの 0.0416AD20ア 平成20年度市場公募都市に係るもの 0.04172イ 平成20年度市場公募都市以外の市町村に係るもの 0.04166AD21ア 平成21年度市場公募都市に係るもの 0.04152イ 平成21年度市場公募都市以外の市町村に係るもの 0.04155AD22ア 平成22年度市場公募都市に係るもの 0.04180イ 平成22年度市場公募都市以外の市町村に係るもの 0.04183AD23ア 平成23年度市場公募都市に係るもの 0.04194イ 平成23年度市場公募都市以外の市町村に係るもの 0.04213AD24ア 平成24年度市場公募都市に係るもの 0.04357イ 平成24年度市場公募都市以外の市町村に係るもの 0.04393AD25ア 平成25年度市場公募都市に係るもの 0.0447イ 平成25年度市場公募都市以外の市町村に係るもの 0.0442AD26ア 平成26年度市場公募都市に係るもの 0.0440イ 平成26年度市場公募都市以外の市町村に係るもの 0.0436AD27ア 平成27年度市場公募都市に係るもの 0.0433イ 平成27年度市場公募都市以外の市町村に係るもの 0.0428AD28ア 平成28年度市場公募都市に係るもの 0.0423イ 平成28年度市場公募都市以外の市町村に係るもの 0.0423AD29ア 平成29年度市場公募都市に係るもの 0.0424イ 平成29年度市場公募都市以外の市町村に係るもの 0.0424AD30ア 平成30年度市場公募都市に係るもの 0.04262イ 平成30年度市場公募都市以外の市町村に係るもの 0.04246AD令元ア 令和元年度市場公募都市に係るもの 0.04199イ 令和元年度市場公募都市以外の市町村に係るもの 0.04206AD令2ア 令和2年度市場公募都市に係るもの 0.00133イ 令和2年度市場公募都市以外の市町村に係るもの 0.00141AD令3ア 令和3年度市場公募都市に係るもの 0.00146イ 令和3年度市場公募都市以外の市町村に係るもの 0.00182AD令4ア 令和4年度市場公募都市に係るもの 0.00415イ 令和4年度市場公募都市以外の市町村に係るもの 0.00477AEn n年度において発行について同意又は許可を得た下水道事業債旧公害防止対策事業分に係る地方債に相当する額AF令3ア 令和3年度市場公募都市に係るもの 0.00256イ 令和3年度市場公募都市以外の市町村に係るもの 0.00378AF令4ア 令和4年度市場公募都市に係るもの 0.00446イ 令和4年度市場公募都市以外の市町村に係るもの 0.00607AGn n年度において発行について同意又は許可を得た下水道事業債脱炭素化事業分に係る地方債に相当する額AH令4ア 令和4年度市場公募都市に係るもの 0.00360イ 令和4年度市場公募都市以外の市町村に係るもの 0.00360AIn 公共下水道及び流域下水道の整備事業に係る準建設改良費のうち地方公営企業法の財務規定等の適用に要する経費又は都道府県が行うこれらの事業に対する法令に基づく負担金に充てるためn年度において発行について同意又は許可を得た地方債の額に相当する額AJ27ア 平成27年度市場公募都市に係るもの 0.1444イ 平成27年度市場公募都市以外の市町村に係るもの 0.1440AJ28ア 平成28年度市場公募都市に係るもの 0.1439イ 平成28年度市場公募都市以外の市町村に係るもの 0.1439AJ29ア 平成29年度市場公募都市に係るもの 0.1442イ 平成29年度市場公募都市以外の市町村に係るもの 0.1442AJ30ア 平成30年度市場公募都市に係るもの 0.14469イ 平成30年度市場公募都市以外の市町村に係るもの 0.14448AJ令元ア 令和元年度市場公募都市に係るもの 0.14399イ 令和元年度市場公募都市以外の市町村に係るもの 0.14407AJ令2ア 令和2年度市場公募都市に係るもの 0.00190イ 令和2年度市場公募都市以外の市町村に係るもの 0.00201AJ令3ア 令和3年度市場公募都市に係るもの 0.00209イ 令和3年度市場公募都市以外の市町村に係るもの 0.00260AJ令4ア 令和4年度市場公募都市に係るもの 0.00593イ 令和4年度市場公募都市以外の市町村に係るもの 0.00681AK27ア 平成27年度市場公募都市に係るもの 0.1444イ 平成27年度市場公募都市以外の市町村に係るもの 0.1440AK28ア 平成28年度市場公募都市に係るもの 0.1439イ 平成28年度市場公募都市以外の市町村に係るもの 0.1439AK29ア 平成29年度市場公募都市に係るもの 0.1442イ 平成29年度市場公募都市以外の市町村に係るもの 0.1442AK30ア 平成30年度市場公募都市に係るもの 0.14469イ 平成30年度市場公募都市以外の市町村に係るもの 0.14448AK令元ア 令和元年度市場公募都市に係るもの 0.14399イ 令和元年度市場公募都市以外の市町村に係るもの 0.14407AK令2ア 令和2年度市場公募都市に係るもの 0.00190イ 令和2年度市場公募都市以外の市町村に係るもの 0.00201AK令3ア 令和3年度市場公募都市に係るもの 0.00209イ 令和3年度市場公募都市以外の市町村に係るもの 0.00260AK令4ア 令和4年度市場公募都市に係るもの 0.00593イ 令和4年度市場公募都市以外の市町村に係るもの 0.00681ALn 流域下水道、特定公共下水道、特定環境保全公共下水道、農業集落排水施設、漁業集落排水施設、林業集落排水施設、簡易排水施設、小規模集落排水処理施設、特定地域生活排水処理施設又は個別排水処理施設の準建設改良費のうち地方公営企業法の財務規定等の適用に要する経費又は都道府県が行うこれらの事業に対する法令に基づく負担金に充てるためn年度において発行について同意又は許可を得た地方債の額に相当する額AM27ア 平成27年度市場公募都市に係るもの 0.0635イ 平成27年度市場公募都市以外の市町村に係るもの 0.0634AM28ア 平成28年度市場公募都市に係るもの 0.0633イ 平成28年度市場公募都市以外の市町村に係るもの 0.0633AM29ア 平成29年度市場公募都市に係るもの 0.0634イ 平成29年度市場公募都市以外の市町村に係るもの 0.0634AM30ア 平成30年度市場公募都市に係るもの 0.06366イ 平成30年度市場公募都市以外の市町村に係るもの 0.06357AM令元ア 令和元年度市場公募都市に係るもの 0.06336イ 令和元年度市場公募都市以外の市町村に係るもの 0.06339AM令2ア 令和2年度市場公募都市に係るもの 0.00084イ 令和2年度市場公募都市以外の市町村に係るもの 0.00088AM令3ア 令和3年度市場公募都市に係るもの 0.00092イ 令和3年度市場公募都市以外の市町村に係るもの 0.00114AM令4ア 令和4年度市場公募都市に係るもの 0.00261イ 令和4年度市場公募都市以外の市町村に係るもの 0.00300AN 流域下水道の整備事業に係る経費に充てるため都道府県が発行について同意又は許可を得た地方債のうち、当該同意又は許可の後に市町村合併に伴い当該都道府県から市町村へ移行されたものに係る地方債の額又は元利償還金を基礎として総務大臣が算定して通知した額AO 市町村長の申告に基づき総務大臣が調査した当該年度における下水道資本費平準化債同意等見込額のうち下水道事業(旧公害防止対策事業分を含む。)に係るものとして総務大臣が通知した額α 公共下水道事業に係る前年の3月31日現在における地方公営企業決算状況調査による合流管布設延長を下水道管布設延長で除して得た数とし、小数点以下3位未満の端数があるときは、その端数を四捨五入する。β 公共下水道事業に係る前年の3月31日現在における地方公営企業決算状況調査による処理区域内人口を処理区域内面積で除して得た数(小数点以下1位未満の端数があるときは、その端数を四捨五入する。)が25未満の場合は0.5、25以上50未満の場合は0.42、50以上75未満の場合は0.35、75以上100未満の場合は0.28、100以上の場合は0.21γ 公共下水道事業に係る前年の3月31日現在における地方公営企業決算状況調査による処理区域内人口を処理区域内面積で除して得た数(小数点以下1位未満の端数があるときは、その端数を四捨五入する。)が25未満の場合は0.45、25以上50未満の場合は0.37、50以上75未満の場合は0.30、75以上100未満の場合は0.23、100以上の場合は0.16δ 公共下水道事業に係る前年の3月31日現在における地方公営企業決算状況調査による処理区域内人口を処理区域内面積で除して得た数(小数点以下1位未満の端数があるときは、その端数を四捨五入する。)が25未満の場合は0.44、25以上50未満の場合は0.37、50以上75未満の場合は0.30、75以上100未満の場合は0.23、100以上の場合は0.16εn 符号ADnに乗ずる数として次の算式によつて算定した数(小数点以下3位未満の端数があるときは、その端数を四捨五入する。)
εn=ζn×1.143+(1-ζn)×ηn
ζn n年度の算定に用いた合流管布設延長を下水道管布設延長で除して得た数(小数点以下3位未満の端数があるときは、その端数を四捨五入する。)ηn n年度の算定に用いた処理区域内人口を処理区域内面積で除して得た数(小数点以下1位未満の端数があるときは、その端数を四捨五入する。)が25未満の場合は0、25以上50未満の場合は1.143、50以上75未満の場合は1.071、75以上100未満の場合は1.048、100以上の場合は1.036θ 公共下水道事業に係る前年の3月31日現在における地方公営企業決算状況調査による処理区域内人口を処理区域内面積で除して得た数(小数点以下1位未満の端数があるときは、その端数を四捨五入する。)が25未満の場合は0.56、25以上50未満の場合は0.49、50以上75未満の場合は0.42、75以上100未満の場合は0.35、100以上の場合は0.28ι 公共下水道事業に係る前年の3月31日現在における地方公営企業決算状況調査による処理区域内人口を処理区域内面積で除して得た数(小数点以下1位未満の端数があるときは、その端数を四捨五入する。)が25未満の場合は0.63、25以上50未満の場合は0.56、50以上75未満の場合は0.49、75以上100未満の場合は0.42、100以上の場合は0.35κ 当該市町村の財政力指数(当該市町村に係る基準財政収入額(錯誤に係る額として加減した額を除く。)を基準財政需要額(錯誤に係る額として加減した額を除く。)で除して得た数値(小数点以下2位未満の端数があるときは、その端数を四捨五入する。)で当該年度前3年度内の各年度に係るものを合算して得たものを3で除して得た数値(小数点以下2位未満の端数があるときは、その端数を四捨五入する。)をいい、当該年度の4月1日以前3年の間に市町村の廃置分合又は境界変更によつてその区域に異動のあつた市町村については、当該市町村が当該年度の4月1日現在の区域をもつて存在していたものとみなして算定し、これらの額の分別の方法については、第49条及び第50条の規定を準用する。)に-0.50を乗じて得た数(小数点以下3位未満の端数があるときは、その端数を四捨五入する。)と0.70との合計数とする。ただし当該合計数が、0.300に満たないときは0.300とし、0.500を超えるときは0.500とする。
 七 その他の土木費人口算式Ⅰ
算式Ⅰの符号A 測定単位の数値B 第3号の港湾における外郭施設の延長を測定単位とするものに係る算式の符号Bに同じ(港湾における外郭施設の延長がない団体のみ適用する。)。Cn 第3号の港湾における外郭施設の延長を測定単位とするものに係る算式の符号Cnに同じ(港湾における外郭施設の延長がない団体のみ適用する。)。D15=0.033D16=0.033D17ア 平成17年度市場公募都市に係るもの 0.029イ 平成17年度市場公募都市以外の市町村に係るもの 0.021D18ア 平成18年度市場公募都市に係るもの 0.025イ 平成18年度市場公募都市以外の市町村に係るもの 0.014D19ア 平成19年度市場公募都市に係るもの 0.026イ 平成19年度市場公募都市以外の市町村に係るもの 0.014D20ア 平成20年度市場公募都市に係るもの 0.02653イ 平成20年度市場公募都市以外の市町村に係るもの 0.03157D21ア 平成21年度市場公募都市に係るもの 0.02693イ 平成21年度市場公募都市以外の市町村に係るもの 0.03164D22ア 平成22年度市場公募都市に係るもの 0.02644イ 平成22年度市場公募都市以外の市町村に係るもの 0.03156D23ア 平成23年度市場公募都市に係るもの 0.02555イ 平成23年度市場公募都市以外の市町村に係るもの 0.03102D24ア 平成24年度市場公募都市に係るもの 0.02591イ 平成24年度市場公募都市以外の市町村に係るもの 0.03161D25ア 平成25年度市場公募都市に係るもの 0.027イ 平成25年度市場公募都市以外の市町村に係るもの 0.032D26ア 平成26年度市場公募都市に係るもの 0.026イ 平成26年度市場公募都市以外の市町村に係るもの 0.031D27ア 平成27年度市場公募都市に係るもの 0.025イ 平成27年度市場公募都市以外の市町村に係るもの 0.030D28ア 平成28年度市場公募都市に係るもの 0.0243イ 平成28年度市場公募都市以外の市町村に係るもの 0.0303D29ア 平成29年度市場公募都市に係るもの 0.0241イ 平成29年度市場公募都市以外の市町村に係るもの 0.0303D30ア 平成30年度市場公募都市に係るもの 0.02411イ 平成30年度市場公募都市以外の市町村に係るもの 0.03026D令元ア 令和元年度市場公募都市に係るもの 0.02368イ 令和元年度市場公募都市以外の市町村に係るもの 0.03001D令2ア 令和2年度市場公募都市に係るもの 0.00113イ 令和2年度市場公募都市以外の市町村に係るもの 0.00117D令3ア 令和3年度市場公募都市に係るもの 0.00153イ 令和3年度市場公募都市以外の市町村に係るもの 0.00170D令4ア 令和4年度市場公募都市に係るもの 0.00345イ 令和4年度市場公募都市以外の市町村に係るもの 0.00375E 第3号の漁港における外郭施設の延長を測定単位とするものに係る算式の符号Bに同じ(漁港における外郭施設の延長がない団体のみ適用する。)。Fn 第3号の漁港における外郭施設の延長を測定単位とするものに係る算式の符号Cnに同じ(漁港における外郭施設の延長がない団体のみ適用する。)。G15=0.033G16=0.033G17ア 平成17年度市場公募都市に係るもの 0.029イ 平成17年度市場公募都市以外の市町村に係るもの 0.021G18ア 平成18年度市場公募都市に係るもの 0.025イ 平成18年度市場公募都市以外の市町村に係るもの 0.014G19ア 平成19年度市場公募都市に係るもの 0.026イ 平成19年度市場公募都市以外の市町村に係るもの 0.014G20ア 平成20年度市場公募都市に係るもの 0.02653イ 平成20年度市場公募都市以外の市町村に係るもの 0.03157G21ア 平成21年度市場公募都市に係るもの 0.02693イ 平成21年度市場公募都市以外の市町村に係るもの 0.03164G22ア 平成22年度市場公募都市に係るもの 0.02644イ 平成22年度市場公募都市以外の市町村に係るもの 0.03156G23ア 平成23年度市場公募都市に係るもの 0.02555イ 平成23年度市場公募都市以外の市町村に係るもの 0.03102G24ア 平成24年度市場公募都市に係るもの 0.02591イ 平成24年度市場公募都市以外の市町村に係るもの 0.03161G25ア 平成25年度市場公募都市に係るもの 0.027イ 平成25年度市場公募都市以外の市町村に係るもの 0.032G26ア 平成26年度市場公募都市に係るもの 0.026イ 平成26年度市場公募都市以外の市町村に係るもの 0.031G27ア 平成27年度市場公募都市に係るもの 0.025イ 平成27年度市場公募都市以外の市町村に係るもの 0.030G28ア 平成28年度市場公募都市に係るもの 0.0243イ 平成28年度市場公募都市以外の市町村に係るもの 0.0303G29ア 平成29年度市場公募都市に係るもの 0.0241イ 平成29年度市場公募都市以外の市町村に係るもの 0.0303G30ア 平成30年度市場公募都市に係るもの 0.02411イ 平成30年度市場公募都市以外の市町村に係るもの 0.03026G令元ア 令和元年度市場公募都市に係るもの 0.02368イ 令和元年度市場公募都市以外の市町村に係るもの 0.03001G令2ア 令和2年度市場公募都市に係るもの 0.00113イ 令和2年度市場公募都市以外の市町村に係るもの 0.00117G令3ア 令和3年度市場公募都市に係るもの 0.00153イ 令和3年度市場公募都市以外の市町村に係るもの 0.00170G令4ア 令和4年度市場公募都市に係るもの 0.00345イ 令和4年度市場公募都市以外の市町村に係るもの 0.00375
   Hn 住宅宅地関連公共施設整備促進事業等に係る経費に充てるため平成n年度において発行について同意又は許可を得た地方債の額に相当する額I15=0.004I16=0.002I17ア 平成17年度市場公募都市に係るもの 0.008イ 平成17年度市場公募都市以外の市町村に係るもの 0.000I18ア 平成18年度市場公募都市に係るもの 0.008イ 平成18年度市場公募都市以外の市町村に係るもの 0.000Jn 新幹線鉄道整備事業に係る経費に充てるためn年度において発行について同意又は許可を得た地方債の額に相当する額
   K6=0.017K7=0.022K8=0.006K9=0.010K10=0.017K11=0.015K12=0.018K13=0.007K14=0.000K15=0.010K16=0.005K17ア 平成17年度市場公募都市に係るもの 0.020イ 平成17年度市場公募都市以外の市町村に係るもの 0.000K18ア 平成18年度市場公募都市に係るもの 0.019イ 平成18年度市場公募都市以外の市町村に係るもの 0.000K19ア 平成19年度市場公募都市に係るもの 0.019イ 平成19年度市場公募都市以外の市町村に係るもの 0.000K20ア 平成20年度市場公募都市に係るもの 0.02130イ 平成20年度市場公募都市以外の市町村に係るもの 0.02976K21ア 平成21年度市場公募都市に係るもの 0.02400イ 平成21年度市場公募都市以外の市町村に係るもの 0.03110K22ア 平成22年度市場公募都市に係るもの 0.02344イ 平成22年度市場公募都市以外の市町村に係るもの 0.03129K23ア 平成23年度市場公募都市に係るもの 0.02427イ 平成23年度市場公募都市以外の市町村に係るもの 0.03135K24ア 平成24年度市場公募都市に係るもの 0.02504イ 平成24年度市場公募都市以外の市町村に係るもの 0.03217K25ア 平成25年度市場公募都市に係るもの 0.026イ 平成25年度市場公募都市以外の市町村に係るもの 0.032K26ア 平成26年度市場公募都市に係るもの 0.025イ 平成26年度市場公募都市以外の市町村に係るもの 0.032K27ア 平成27年度市場公募都市に係るもの 0.025イ 平成27年度市場公募都市以外の市町村に係るもの 0.031K28ア 平成28年度市場公募都市に係るもの 0.0238イ 平成28年度市場公募都市以外の市町村に係るもの 0.0309K29ア 平成29年度市場公募都市に係るもの 0.0239イ 平成29年度市場公募都市以外の市町村に係るもの 0.0310K30ア 平成30年度市場公募都市に係るもの 0.01818イ 平成30年度市場公募都市以外の市町村に係るもの 0.02528K令元ア 令和元年度市場公募都市に係るもの 0.01769イ 令和元年度市場公募都市以外の市町村に係るもの 0.02492K令2ア 令和2年度市場公募都市に係るもの 0.00104イ 令和2年度市場公募都市以外の市町村に係るもの 0.00109K令3ア 令和3年度市場公募都市に係るもの 0.00134イ 令和3年度市場公募都市以外の市町村に係るもの 0.00155K令4ア 令和4年度市場公募都市に係るもの 0.00329イ 令和4年度市場公募都市以外の市町村に係るもの 0.00364Ln まちづくり交付金交付要綱(平成16年度国都事第27号、国道企第121号、国住市第492号)の規定に基づく事業に係る経費に充てるため平成n年度において発行について同意又は許可を得た地方債(下水道整備事業、公営住宅整備事業及び都市再生整備計画に基づく事業に係る地方債並びに総務大臣が指定する充当の率を超える部分に係るものを除く。)の額に相当する額M16=0.001M17ア 平成17年度市場公募都市に係るもの 0.004イ 平成17年度市場公募都市以外の市町村に係るもの 0.000M18ア 平成18年度市場公募都市に係るもの 0.004イ 平成18年度市場公募都市以外の市町村に係るもの 0.000M19ア 平成19年度市場公募都市に係るもの 0.004イ 平成19年度市場公募都市以外の市町村に係るもの 0.000M20ア 平成20年度市場公募都市に係るもの 0.00426イ 平成20年度市場公募都市以外の市町村に係るもの 0.00595M21ア 平成21年度市場公募都市に係るもの 0.00480イ 平成21年度市場公募都市以外の市町村に係るもの 0.00622M22ア 平成22年度市場公募都市に係るもの 0.00469イ 平成22年度市場公募都市以外の市町村に係るもの 0.00626Nn 地域住宅交付金交付要綱の規定に基づく事業に係る経費に充てるため平成n年度において発行について同意又は許可を得た地方債(公営住宅建設事業及び下水道事業に係る地方債並びに総務大臣が指定する充当の率を超える部分に係るものを除く。)の額に相当する額O17ア 平成17年度市場公募都市に係るもの 0.004イ 平成17年度市場公募都市以外の市町村に係るもの 0.000O18ア 平成18年度市場公募都市に係るもの 0.004イ 平成18年度市場公募都市以外の市町村に係るもの 0.000O19ア 平成19年度市場公募都市に係るもの 0.004イ 平成19年度市場公募都市以外の市町村に係るもの 0.008O20ア 平成20年度市場公募都市に係るもの 0.00426イ 平成20年度市場公募都市以外の市町村に係るもの 0.00595O21ア 平成21年度市場公募都市に係るもの 0.00480イ 平成21年度市場公募都市以外の市町村に係るもの 0.00622O22ア 平成22年度市場公募都市に係るもの 0.00469イ 平成22年度市場公募都市以外の市町村に係るもの 0.00626Pn 地防法に基づく国庫補助率のかさ上げが行われる事業(Is値0.3以上)に係る経費に充てるためn年度において発行について同意又は許可を得た地方債の額に相当する額。この場合において、市町村が組織する組合に係る額は、当該額を当該組合を構成する市町村の長が協議して定め、総務大臣が承認した率(協議が成立しないときは、総務大臣が定める率)により按分したものをそれぞれの市町村に係る額とみなす。Q18ア 平成18年度市場公募都市に係るもの 0.019イ 平成18年度市場公募都市以外の市町村に係るもの 0.000Q19ア 平成19年度市場公募都市に係るもの 0.019イ 平成19年度市場公募都市以外の市町村に係るもの 0.000Q20ア 平成20年度市場公募都市に係るもの 0.02130イ 平成20年度市場公募都市以外の市町村に係るもの 0.02976Q21ア 平成21年度市場公募都市に係るもの 0.02400イ 平成21年度市場公募都市以外の市町村に係るもの 0.03110Q22ア 平成22年度市場公募都市に係るもの 0.02344イ 平成22年度市場公募都市以外の市町村に係るもの 0.03129Q23ア 平成23年度市場公募都市に係るもの 0.02427イ 平成23年度市場公募都市以外の市町村に係るもの 0.03135Q24ア 平成24年度市場公募都市に係るもの 0.02504イ 平成24年度市場公募都市以外の市町村に係るもの 0.03217Q25ア 平成25年度市場公募都市に係るもの 0.026イ 平成25年度市場公募都市以外の市町村に係るもの 0.032Q26ア 平成26年度市場公募都市に係るもの 0.025イ 平成26年度市場公募都市以外の市町村に係るもの 0.032Q27ア 平成27年度市場公募都市に係るもの 0.025イ 平成27年度市場公募都市以外の市町村に係るもの 0.031Q28ア 平成28年度市場公募都市に係るもの 0.0238イ 平成28年度市場公募都市以外の市町村に係るもの 0.0309Q29ア 平成29年度市場公募都市に係るもの 0.0239イ 平成29年度市場公募都市以外の市町村に係るもの 0.0310Q30ア 平成30年度市場公募都市に係るもの 0.01818イ 平成30年度市場公募都市以外の市町村に係るもの 0.02528Q令元ア 令和元年度市場公募都市に係るもの 0.01769イ 令和元年度市場公募都市以外の市町村に係るもの 0.02492Q令2ア 令和2年度市場公募都市に係るもの 0.00104イ 令和2年度市場公募都市以外の市町村に係るもの 0.00109Q令3ア 令和3年度市場公募都市に係るもの 0.00134イ 令和3年度市場公募都市以外の市町村に係るもの 0.00155Q令4ア 令和4年度市場公募都市に係るもの 0.00329イ 令和4年度市場公募都市以外の市町村に係るもの 0.00364Rn 地防法に基づく国庫補助率のかさ上げが行われる事業(Is値0.3未満)に係る経費に充てるためn年度において発行について同意又は許可を得た地方債の額に相当する額。この場合において、市町村が組織する組合に係る額は、当該額を当該組合を構成する市町村の長が協議して定め、総務大臣が承認した率(協議が成立しないときは、総務大臣が定める率)により按分したものをそれぞれの市町村に係る額とみなす。S21ア 平成21年度市場公募都市に係るもの 0.03449イ 平成21年度市場公募都市以外の市町村に係るもの 0.04024S22ア 平成22年度市場公募都市に係るもの 0.03354イ 平成22年度市場公募都市以外の市町村に係るもの 0.03998S23ア 平成23年度市場公募都市に係るもの 0.03370イ 平成23年度市場公募都市以外の市町村に係るもの 0.03949S24ア 平成24年度市場公募都市に係るもの 0.03498イ 平成24年度市場公募都市以外の市町村に係るもの 0.03864S25ア 平成25年度市場公募都市に係るもの 0.036イ 平成25年度市場公募都市以外の市町村に係るもの 0.038S26ア 平成26年度市場公募都市に係るもの 0.035イ 平成26年度市場公募都市以外の市町村に係るもの 0.037S27ア 平成27年度市場公募都市に係るもの 0.032イ 平成27年度市場公募都市以外の市町村に係るもの 0.037S28ア 平成28年度市場公募都市に係るもの 0.0323イ 平成28年度市場公募都市以外の市町村に係るもの 0.0376S29ア 平成29年度市場公募都市に係るもの 0.0321イ 平成29年度市場公募都市以外の市町村に係るもの 0.0379S30ア 平成30年度市場公募都市に係るもの 0.03194イ 平成30年度市場公募都市以外の市町村に係るもの 0.03776S令元ア 令和元年度市場公募都市に係るもの 0.03141イ 令和元年度市場公募都市以外の市町村に係るもの 0.03749S令2ア 令和2年度市場公募都市に係るもの 0.00207イ 令和2年度市場公募都市以外の市町村に係るもの 0.00211S令3ア 令和3年度市場公募都市に係るもの 0.00313イ 令和3年度市場公募都市以外の市町村に係るもの 0.00329S令4ア 令和4年度市場公募都市に係るもの 0.00639イ 令和4年度市場公募都市以外の市町村に係るもの 0.00661Tn 地方税法附則第15条に規定する旅客会社等から鉄道施設の譲渡を受けるために同条に規定する特定鉄道事業者に対し補助する財源又は同条に規定する特定鉄道事業の用に供するために同条に規定する旅客会社等から鉄道施設の譲渡を受ける経費に充てるためn年度において発行について同意又は許可を得た地方債(総務大臣の指定する充当の率を超える部分に係るものを除く。)の額(旅客分に限る。)に相当する額U15=0.009U16=0.005U17ア 平成17年度市場公募都市に係るもの 0.018イ 平成17年度市場公募都市以外の市町村に係るもの 0.000U18ア 平成18年度市場公募都市に係るもの 0.017イ 平成18年度市場公募都市以外の市町村に係るもの 0.000U19ア 平成19年度市場公募都市に係るもの 0.017イ 平成19年度市場公募都市以外の市町村に係るもの 0.000U20ア 平成20年度市場公募都市に係るもの 0.01917イ 平成20年度市場公募都市以外の市町村に係るもの 0.02678U21ア 平成21年度市場公募都市に係るもの 0.02160イ 平成21年度市場公募都市以外の市町村に係るもの 0.02800U22ア 平成22年度市場公募都市に係るもの 0.02109イ 平成22年度市場公募都市以外の市町村に係るもの 0.02816U23ア 平成23年度市場公募都市に係るもの 0.02184イ 平成23年度市場公募都市以外の市町村に係るもの 0.02821U24ア 平成24年度市場公募都市に係るもの 0.02253イ 平成24年度市場公募都市以外の市町村に係るもの 0.02895U25ア 平成25年度市場公募都市に係るもの 0.023イ 平成25年度市場公募都市以外の市町村に係るもの 0.029U26ア 平成26年度市場公募都市に係るもの 0.023イ 平成26年度市場公募都市以外の市町村に係るもの 0.029U27ア 平成27年度市場公募都市に係るもの 0.022イ 平成27年度市場公募都市以外の市町村に係るもの 0.028U28ア 平成28年度市場公募都市に係るもの 0.0214イ 平成28年度市場公募都市以外の市町村に係るもの 0.0278U29ア 平成29年度市場公募都市に係るもの 0.0215イ 平成29年度市場公募都市以外の市町村に係るもの 0.0279U30ア 平成30年度市場公募都市に係るもの 0.01636イ 平成30年度市場公募都市以外の市町村に係るもの 0.02275U令元ア 令和元年度市場公募都市に係るもの 0.01592イ 令和元年度市場公募都市以外の市町村に係るもの 0.02242U令2ア 令和2年度市場公募都市に係るもの 0.00094イ 令和2年度市場公募都市以外の市町村に係るもの 0.00098U令3ア 令和3年度市場公募都市に係るもの 0.00120イ 令和3年度市場公募都市以外の市町村に係るもの 0.00139U令4ア 令和4年度市場公募都市に係るもの 0.00296イ 令和4年度市場公募都市以外の市町村に係るもの 0.00327Vn 鉄道施設の整備に要する経費について地方税法附則第15条に規定する特定鉄道事業者に対し補助する財源又は同条に規定する特定鉄道事業の用に供する鉄道施設の整備に要する経費に充てるためn年度において発行について同意又は許可を得た地方債(総務大臣の指定する充当の率を超える部分に係るものを除く。)の額(旅客分に限る。)に相当する額W15=0.006W16=0.003W17ア 平成17年度市場公募都市に係るもの 0.012イ 平成17年度市場公募都市以外の市町村に係るもの 0.000W18ア 平成18年度市場公募都市に係るもの 0.011イ 平成18年度市場公募都市以外の市町村に係るもの 0.000W19ア 平成19年度市場公募都市に係るもの 0.011イ 平成19年度市場公募都市以外の市町村に係るもの 0.000W20ア 平成20年度市場公募都市に係るもの 0.01278イ 平成20年度市場公募都市以外の市町村に係るもの 0.01785W21ア 平成21年度市場公募都市に係るもの 0.01440イ 平成21年度市場公募都市以外の市町村に係るもの 0.01870W22ア 平成22年度市場公募都市に係るもの 0.01406イ 平成22年度市場公募都市以外の市町村に係るもの 0.01877W23ア 平成23年度市場公募都市に係るもの 0.01456イ 平成23年度市場公募都市以外の市町村に係るもの 0.01881W24ア 平成24年度市場公募都市に係るもの 0.01502イ 平成24年度市場公募都市以外の市町村に係るもの 0.01930W25ア 平成25年度市場公募都市に係るもの 0.016イ 平成25年度市場公募都市以外の市町村に係るもの 0.019W26ア 平成26年度市場公募都市に係るもの 0.015イ 平成26年度市場公募都市以外の市町村に係るもの 0.019W27ア 平成27年度市場公募都市に係るもの 0.015イ 平成27年度市場公募都市以外の市町村に係るもの 0.019W28ア 平成28年度市場公募都市に係るもの 0.0143イ 平成28年度市場公募都市以外の市町村に係るもの 0.0185W29ア 平成29年度市場公募都市に係るもの 0.0143イ 平成29年度市場公募都市以外の市町村に係るもの 0.0186W30ア 平成30年度市場公募都市に係るもの 0.01091イ 平成30年度市場公募都市以外の市町村に係るもの 0.01517W令元ア 令和元年度市場公募都市に係るもの 0.01061イ 令和元年度市場公募都市以外の市町村に係るもの 0.01495W令2ア 令和2年度市場公募都市に係るもの 0.00062イ 令和2年度市場公募都市以外の市町村に係るもの 0.00065W令3ア 令和3年度市場公募都市に係るもの 0.00080イ 令和3年度市場公募都市以外の市町村に係るもの 0.00093W令4ア 令和4年度市場公募都市に係るもの 0.00197イ 令和4年度市場公募都市以外の市町村に係るもの 0.00218Xn 鉄道施設の整備に要する経費について旧過疎地域自立促進特別措置法第12条第1項第6号に規定する事業者に対し補助する財源又は同号に規定する事業の用に供する鉄道施設の整備に要する経費に充てるためn年度において発行について同意又は許可を得た地方債(総務大臣の指定する充当の率を超える部分に係るものを除く。)の額に相当する額Y25ア 平成25年度市場公募都市に係るもの 0.016イ 平成25年度市場公募都市以外の市町村に係るもの 0.019Y26ア 平成26年度市場公募都市に係るもの 0.015イ 平成26年度市場公募都市以外の市町村に係るもの 0.019Y27ア 平成27年度市場公募都市に係るもの 0.015イ 平成27年度市場公募都市以外の市町村に係るもの 0.019Y28ア 平成28年度市場公募都市に係るもの 0.0143イ 平成28年度市場公募都市以外の市町村に係るもの 0.0185Y29ア 平成29年度市場公募都市に係るもの 0.0143イ 平成29年度市場公募都市以外の市町村に係るもの 0.0186Y30ア 平成30年度市場公募都市に係るもの 0.01091イ 平成30年度市場公募都市以外の市町村に係るもの 0.01517Y令元ア 令和元年度市場公募都市に係るもの 0.01061イ 令和元年度市場公募都市以外の市町村に係るもの 0.01495Y令2ア 令和2年度市場公募都市に係るもの 0.00062イ 令和2年度市場公募都市以外の市町村に係るもの 0.00065Y令3ア 令和3年度市場公募都市に係るもの 0.00080イ 令和3年度市場公募都市以外の市町村に係るもの 0.00093Y令4ア 令和4年度市場公募都市に係るもの 0.00197イ 令和4年度市場公募都市以外の市町村に係るもの 0.00218Z 産炭地域開発就労事業、炭鉱離職者緊急就労対策事業、旧炭鉱離職者緊急就労対策事業従事者暫定就労事業、産炭地域開発就労事業従事者自立促進事業、産炭地域開発就労事業従事者就労確保事業及び特定地域開発就労事業に係る経費に充てるため発行について同意又は許可を得た地方債(災害復旧事業債、昭和46年度、昭和47年度、昭和50年度から昭和62年度までの各年度及び平成2年度から平成16年度までの各年度において地方税の減収に伴い発行を許可された地方債、昭和50年度から昭和57年度までの各年度において財政健全化のため発行を許可された地方債、財源対策債、昭和51年度から昭和53年度までの各年度、昭和61年度、平成4年度から平成14年度までの各年度及び平成16年度において発行を許可された補正予算債、地域財政特例対策債、臨時財政特例債、公共事業等臨時特例債並びに当該年度の6月1日以降において借り入れた地方債を除く。)の当該年度における元利償還金AAn 非構造部材の耐震対策事業(特定天井分)に係る経費に充てるため平成n年度において発行について同意又は許可を得た学校教育施設等整備事業債のうち幼稚園又は特別支援学校に係るものの額に相当する額AB28ア 平成28年度市場公募都市に係るもの 0.0323イ 平成28年度市場公募都市以外の市町村に係るもの 0.0376AB29ア 平成29年度市場公募都市に係るもの 0.0321イ 平成29年度市場公募都市以外の市町村に係るもの 0.0379AC29 非構造部材の耐震対策事業(特定天井以外分)に係る経費に充てるため平成29年度において発行について同意又は許可を得た学校教育施設等整備事業債のうち幼稚園又は特別支援学校に係るものの額に相当する額AD29ア 平成29年度市場公募都市に係るもの 0.0230イ 平成29年度市場公募都市以外の市町村に係るもの 0.0271AEn 特別支援学校(小学部及び中学部に限る。)の大規模改造事業の地方単独分に係る経費に充てるためn年度において発行について同意又は許可を得た学校教育施設等整備事業債の額に相当する額AF29ア 平成29年度市場公募都市に係るもの 0.0230イ 平成29年度市場公募都市以外の市町村に係るもの 0.0271AF30ア 平成30年度市場公募都市に係るもの 0.02282イ 平成30年度市場公募都市以外の市町村に係るもの 0.02697AF令元ア 令和元年度市場公募都市に係るもの 0.02244イ 令和元年度市場公募都市以外の市町村に係るもの 0.02678AF令2ア 令和2年度市場公募都市に係るもの 0.00148イ 令和2年度市場公募都市以外の市町村に係るもの 0.00151AF令3ア 令和3年度市場公募都市に係るもの 0.00224イ 令和3年度市場公募都市以外の市町村に係るもの 0.00235AF令4ア 令和4年度市場公募都市に係るもの 0.00457イ 令和4年度市場公募都市以外の市町村に係るもの 0.00472AGn 国庫の補助金を受けて施行した特別支援学校(小学部及び中学部に限る。)の大規模改造事業に係る経費に充てるためn年度において発行について同意又は許可を得た学校教育施設等整備事業債の額に相当する額AH29ア 平成29年度市場公募都市に係るもの 0.0138イ 平成29年度市場公募都市以外の市町村に係るもの 0.0162AH30ア 平成30年度市場公募都市に係るもの 0.01369イ 平成30年度市場公募都市以外の市町村に係るもの 0.01618AH令元ア 令和元年度市場公募都市に係るもの 0.01346イ 令和元年度市場公募都市以外の市町村に係るもの 0.01607AH令2ア 令和2年度市場公募都市に係るもの 0.00089イ 令和2年度市場公募都市以外の市町村に係るもの 0.00090AH令3ア 令和3年度市場公募都市に係るもの 0.00134イ 令和3年度市場公募都市以外の市町村に係るもの 0.00141AH令4ア 令和4年度市場公募都市に係るもの 0.00274イ 令和4年度市場公募都市以外の市町村に係るもの 0.00283AIn 国庫の補助金を受けて施行した特別支援学校(小学部及び中学部に限る。)の長寿命化改良事業に係る経費に充てるためn年度において発行について同意又は許可を得た学校教育施設等整備事業債の額に相当する額AJ29ア 平成29年度市場公募都市に係るもの 0.0138イ 平成29年度市場公募都市以外の市町村に係るもの 0.0162AJ30ア 平成30年度市場公募都市に係るもの 0.01369イ 平成30年度市場公募都市以外の市町村に係るもの 0.01618AJ令元ア 令和元年度市場公募都市に係るもの 0.01346イ 令和元年度市場公募都市以外の市町村に係るもの 0.01607AJ令2ア 令和2年度市場公募都市に係るもの 0.00089イ 令和2年度市場公募都市以外の市町村に係るもの 0.00090AJ令3ア 令和3年度市場公募都市に係るもの 0.00134イ 令和3年度市場公募都市以外の市町村に係るもの 0.00141AJ令4ア 令和4年度市場公募都市に係るもの 0.00274イ 令和4年度市場公募都市以外の市町村に係るもの 0.00283AKn 国庫の補助金を受けて施行した幼稚園又は特別支援学校の補強事業に係る経費に充てるためn年度において発行について同意又は許可を得た学校教育施設等整備事業債の額に相当する額AL30ア 平成30年度市場公募都市に係るもの 0.03194イ 平成30年度市場公募都市以外の市町村に係るもの 0.03776AL令元ア 令和元年度市場公募都市に係るもの 0.03141イ 令和元年度市場公募都市以外の市町村に係るもの 0.03749AL令2ア 令和2年度市場公募都市に係るもの 0.00207イ 令和2年度市場公募都市以外の市町村に係るもの 0.00211AL令3ア 令和3年度市場公募都市に係るもの 0.00313イ 令和3年度市場公募都市以外の市町村に係るもの 0.00329AL令4ア 令和4年度市場公募都市に係るもの 0.00639イ 令和4年度市場公募都市以外の市町村に係るもの 0.00661AMn 国庫の補助金を受けて施行した幼稚園又は特別支援学校の防災機能強化事業に係る経費に充てるためn年度において発行について同意又は許可を得た学校教育施設等整備事業債の額に相当する額AN30ア 平成30年度市場公募都市に係るもの 0.03194イ 平成30年度市場公募都市以外の市町村に係るもの 0.03776AN令元ア 令和元年度市場公募都市に係るもの 0.03141イ 令和元年度市場公募都市以外の市町村に係るもの 0.03749AN令2ア 令和2年度市場公募都市に係るもの 0.00207イ 令和2年度市場公募都市以外の市町村に係るもの 0.00211AN令3ア 令和3年度市場公募都市に係るもの 0.00313イ 令和3年度市場公募都市以外の市町村に係るもの 0.00329AN令4ア 令和4年度市場公募都市に係るもの 0.00639イ 令和4年度市場公募都市以外の市町村に係るもの 0.00661AO令2 国庫の補助金を受けて施行した公立学校情報通信ネットワーク環境施設整備事業に係る経費に充てるため令和2年度において発行について同意又は許可を得た学校教育施設等整備事業債(同年度において発行について同意又は許可を得た補正予算債を除く。)のうち特別支援学校(小学部、中学部及び高等部に限る。)に係るものの額に相当する額AP令2ア 令和2年度市場公募都市に係るもの 0.00207イ 令和2年度市場公募都市以外の市町村に係るもの 0.00211AQn 平成n年度において発行について同意又は許可を得た臨時高等学校整備事業に係る地方債の同意等額のうち、平成10年度までの特別老朽施設改築事業に係る許可額に相当する額及び平成11年度以降の老朽施設改築事業に係る同意等額に相当する額(特殊教育諸学校に係るものを除き、高等学校費における生徒数がない団体のみ適用する)。AR9=0.0096AR10=0.0102AR11=0.0084AR12=0.0160AR13=0.0108AR14=0.0093AR15=0.0076AR16=0.0040AR17ア 平成17年度市場公募都市に係るもの 0.0178イ 平成17年度市場公募都市以外の市町村に係るもの 0.0000AR18ア 平成18年度市場公募都市に係るもの 0.0150イ 平成18年度市場公募都市以外の市町村に係るもの 0.0000AR19ア 平成19年度市場公募都市に係るもの 0.0152イ 平成19年度市場公募都市以外の市町村に係るもの 0.0000算式Ⅱ
算式Ⅱの符号A 測定単位の数値B 災害対策基本法第42条第1項の規定に基づく市町村地域防災計画に掲上されている災害危険区域において災害の発生を防止し、又は災害の拡大を防止するために単独で実施する治山、小規模山地崩壊等の事業の経費に充てるため発行について同意又は許可を得た地方債(災害復旧事業債、昭和53年度から令和4年度までの各年度において地方税の減収に伴い発行を許可された地方債、昭和53年度から昭和57年度まで及び昭和59年度の各年度において財政健全化のため発行を許可された地方債、財源対策債、地域財政特例対策債、臨時財政特例債、当該年度の6月1日以降において借り入れた地方債並びに地方債計画に計上されない地方債を除く。)の当該年度における元利償還金。この場合において、市町村が組織する組合に係る額は、当該額を当該組合を構成する市町村の長が協議して定め、総務大臣が承認した率(協議が成立しないときは、総務大臣が定める率)により按分したものをそれぞれの市町村に係る額とみなす。α 符号Bの額を第17条第3項の規定によつて算定した当該地方団体の標準財政収入額で除して得た数(小数点以下3位未満の端数があるときは、その端数を四捨五入する。)に100,000を乗じて得た数(以下この号において「財政力係数」という。)に別表第3の11(2)のAに定める当該財政力係数の段階に応ずる率を乗じて得た数と同表のBに定める当該財政力係数の段階に応ずる数値との合計数を当該財政力係数で除して得た数(小数点以下3位未満の端数があるときはその端数を四捨五入し、当該財政力係数が100以下のときは1.000とする。)
 八 小学校費学級数算式
算式の符号A 測定単位の数値B 大規模な宅地開発又は住宅建設に関連して地方公共団体に代わつて独立行政法人都市再生機構(中小企業金融公庫法及び独立行政法人中小企業基盤整備機構法の一部を改正する法律(平成16年法律第35号)附則第3条第1項の規定により解散した旧地域振興整備公団、独立行政法人都市再生機構法(平成15年法律第100号)附則第4条第1項の規定により解散した旧都市基盤整備公団、同法附則第18条の規定による廃止前の都市基盤整備公団法(平成11年法律第76号)附則第6条第1項の規定により解散した旧住宅・都市整備公団並びに同法附則第17条の規定による廃止前の住宅・都市整備公団法(昭和56年法律第48号)附則第6条第1項の規定により解散した旧日本住宅公団及び同法附則第7条第1項の規定により解散した旧宅地開発公団を含む。)又は住宅金融公庫の宅造融資をうけた者(以下「立替施行者」という。)が立替施行をした小学校(義務教育学校の前期課程を含む。以下この号及び次号において同じ。)の施設(用地を含む。)の譲受代金(当該市町村が当該小学校を建設したとみなした場合に一般財源所要額として基準財政需要額に算入されるべき地方負担額又は当該地方負担額に別表第3の13に定める率を乗じて得た額)の当該年度における年次支払額(当該小学校の建設に係る当該市町村と立替施行者との譲受代金の支払契約の例により算定した当該年度の支払額)として都道府県知事の申告に基づき総務大臣が通知した額
   C 義務教育諸学校施設費国庫負担法第3条第1項(第3号を除く。)に規定する施設に係る経費に充てるため平成3年度以前及び平成6年度から平成11年度までの間において発行を許可された地方債(災害復旧事業債、辺地対策事業債、過疎対策事業債、昭和46年度、昭和47年度、昭和50年度から昭和62年度まで、平成2年度、平成3年度及び平成6年度から平成11年度までの各年度において地方税の減収に伴い発行を許可された地方債、昭和50年度から昭和57年度までの各年度において財政健全化のため発行を許可された地方債、財源対策債、昭和50年度補正予算債、昭和52年度補正予算債、昭和53年度補正予算債、平成6年度から平成11年度までの各年度において発行を許可された補正予算債、地域財政特例対策債、臨時財政特例債並びに符号Bにおいて別表第3の13に定める乗率を乗じて得た額を譲受代金とした小学校に係るものを除く。)のうち政府資金に係るもの(平成11年度の臨時特例措置として行われた政府資金の繰上償還に係るものを除く。)で市町村立の小学校に係るものの当該年度における元利償還金D 義務教育諸学校施設費国庫負担法第3条第1項(第3号を除く。)に規定する施設に係る経費に充てるため平成4年度及び平成5年度において発行を許可された地方債(災害復旧事業債、辺地対策事業債、過疎対策事業債、平成4年度及び平成5年度において地方税の減収に伴い発行を許可された地方債、平成4年度補正予算債及び平成5年度補正予算債、臨時財政特例債、公共事業等臨時特例債並びに符号Bにおいて別表第3の13に定める乗率を乗じて得た額を譲受代金とした小学校に係るものを除く。)のうち市町村立の小学校に係るものの当該年度における元利償還金E 市町村立の小学校の大規模改造事業の地方単独分に係る経費に充てるため平成4年度から平成11年度までの各年度において発行を許可された学校教育施設等整備事業債等の当該年度の元利償還金F 昭和63年度から平成3年度までの各年度及び平成6年度から平成11年度までの間において発行について許可された水泳プール(屋外)に係る学校教育施設等整備事業債等(公害防止事業債、臨時財政特例債及び符号Bにおいて別表第3の13に定める乗率を乗じて得た額を譲受代金とした小学校に係る地方債を除く。)のうち政府資金に係るもの(平成11年度の臨時特例措置として行われた政府資金の繰上償還に係るものを除く。)で市町村立の小学校に係るものの当該年度における元利償還金Gn 義務教育諸学校施設費国庫負担法第3条第1項(第3号を除く。)に規定する施設に係る経費に充てるためn年度において発行について同意又は許可を得た地方債(災害復旧事業債、辺地対策事業債、過疎対策事業債、平成12年度から令和4年度までの各年度において地方税の減収に伴い発行について同意又は許可を得た地方債、財源対策債、平成12年度から平成14年度までの各年度及び平成16年度から令和4年度までの各年度において発行について同意又は許可を得た補正予算債、臨時財政特例債並びに符号Bにおいて別表第3の13に定める乗率を乗じて得た額を譲受代金とした小学校に係るものを除く。)の額に相当する額(平成12年度において発行を許可されたもの(平成11年度の臨時特例措置として行われた政府資金の繰上償還に係るものを除く。)については、政府資金に係るものに限る。)H12=0.0379H13=0.0383H14=0.0351H15=0.0277H16=0.0183H17ア 平成17年度市場公募都市に係るもの 0.0332イ 平成17年度市場公募都市以外の市町村に係るもの 0.0177H18ア 平成18年度市場公募都市に係るもの 0.0334イ 平成18年度市場公募都市以外の市町村に係るもの 0.0209H19ア 平成19年度市場公募都市に係るもの 0.0336イ 平成19年度市場公募都市以外の市町村に係るもの 0.0209H20ア 平成20年度市場公募都市に係るもの 0.03433イ 平成20年度市場公募都市以外の市町村に係るもの 0.04064H21ア 平成21年度市場公募都市に係るもの 0.03449イ 平成21年度市場公募都市以外の市町村に係るもの 0.04024H22ア 平成22年度市場公募都市に係るもの 0.03354イ 平成22年度市場公募都市以外の市町村に係るもの 0.03998H23ア 平成23年度市場公募都市に係るもの 0.03370イ 平成23年度市場公募都市以外の市町村に係るもの 0.03949H24ア 平成24年度市場公募都市に係るもの 0.03498イ 平成24年度市場公募都市以外の市町村に係るもの 0.03864H25ア 平成25年度市場公募都市に係るもの 0.0355イ 平成25年度市場公募都市以外の市町村に係るもの 0.0384H26ア 平成26年度市場公募都市に係るもの 0.0348イ 平成26年度市場公募都市以外の市町村に係るもの 0.0374H27ア 平成27年度市場公募都市に係るもの 0.0323イ 平成27年度市場公募都市以外の市町村に係るもの 0.0370H28ア 平成28年度市場公募都市に係るもの 0.0323イ 平成28年度市場公募都市以外の市町村に係るもの 0.0376H29ア 平成29年度市場公募都市に係るもの 0.0321イ 平成29年度市場公募都市以外の市町村に係るもの 0.0379H30ア 平成30年度市場公募都市に係るもの 0.03194イ 平成30年度市場公募都市以外の市町村に係るもの 0.03776H令元ア 令和元年度市場公募都市に係るもの 0.03141イ 令和元年度市場公募都市以外の市町村に係るもの 0.03749H令2ア 令和2年度市場公募都市に係るもの 0.00207イ 令和2年度市場公募都市以外の市町村に係るもの 0.00211H令3ア 令和3年度市場公募都市に係るもの 0.00313イ 令和3年度市場公募都市以外の市町村に係るもの 0.00329H令4ア 令和4年度市場公募都市に係るもの 0.00639イ 令和4年度市場公募都市以外の市町村に係るもの 0.00661In n年度において発行について同意又は許可を得た学校教育施設等整備事業債等(平成15年度から令和4年度までの各年度において地方税の減収に伴い発行について同意又は許可を得た地方債及び平成16年度から令和4年度までの各年度において発行について同意又は許可を得た補正予算債を除く。)のうち市町村立の小学校の大規模改造事業の地方単独分に係るものの額に相当する額J15=0.0119J16=0.0078J17ア 平成17年度市場公募都市に係るもの 0.0142イ 平成17年度市場公募都市以外の市町村に係るもの 0.0076J18ア 平成18年度市場公募都市に係るもの 0.0143イ 平成18年度市場公募都市以外の市町村に係るもの 0.0089J19ア 平成19年度市場公募都市に係るもの 0.0144イ 平成19年度市場公募都市以外の市町村に係るもの 0.0090J20ア 平成20年度市場公募都市に係るもの 0.01471イ 平成20年度市場公募都市以外の市町村に係るもの 0.01742J21ア 平成21年度市場公募都市に係るもの 0.01478イ 平成21年度市場公募都市以外の市町村に係るもの 0.01725J22ア 平成22年度市場公募都市に係るもの 0.01437イ 平成22年度市場公募都市以外の市町村に係るもの 0.01713J23ア 平成23年度市場公募都市に係るもの 0.01444イ 平成23年度市場公募都市以外の市町村に係るもの 0.01693J24ア 平成24年度市場公募都市に係るもの 0.01499イ 平成24年度市場公募都市以外の市町村に係るもの 0.01656J25ア 平成25年度市場公募都市に係るもの 0.0152イ 平成25年度市場公募都市以外の市町村に係るもの 0.0164J26ア 平成26年度市場公募都市に係るもの 0.0149イ 平成26年度市場公募都市以外の市町村に係るもの 0.0160J27ア 平成27年度市場公募都市に係るもの 0.0138イ 平成27年度市場公募都市以外の市町村に係るもの 0.0158J28ア 平成28年度市場公募都市に係るもの 0.0139イ 平成28年度市場公募都市以外の市町村に係るもの 0.0161J29ア 平成29年度市場公募都市に係るもの 0.0230イ 平成29年度市場公募都市以外の市町村に係るもの 0.0271J30ア 平成30年度市場公募都市に係るもの 0.02282イ 平成30年度市場公募都市以外の市町村に係るもの 0.02697J令元ア 令和元年度市場公募都市に係るもの 0.02244イ 令和元年度市場公募都市以外の市町村に係るもの 0.02678J令2ア 令和2年度市場公募都市に係るもの 0.00148イ 令和2年度市場公募都市以外の市町村に係るもの 0.00151J令3ア 令和3年度市場公募都市に係るもの 0.00224イ 令和3年度市場公募都市以外の市町村に係るもの 0.00235J令4ア 令和4年度市場公募都市に係るもの 0.00457イ 令和4年度市場公募都市以外の市町村に係るもの 0.00472Kn 国庫の補助金を受けて施行した大規模改造事業(障害児等対策施設整備工事を除く。)に係る経費に充てるためn年度において発行について同意又は許可を得た学校教育施設等整備事業債等(平成29年度から令和4年度までの各年度において地方税の減収に伴い発行について同意又は許可を得た地方債及び平成29年度から令和4年度までの各年度において発行について同意又は許可を得た補正予算債を除く。)のうち市町村立の小学校に係るものの額に相当する額L29ア 平成29年度市場公募都市に係るもの 0.0138イ 平成29年度市場公募都市以外の市町村に係るもの 0.0162L30ア 平成30年度市場公募都市に係るもの 0.01369イ 平成30年度市場公募都市以外の市町村に係るもの 0.01618L令元ア 令和元年度市場公募都市に係るもの 0.01346イ 令和元年度市場公募都市以外の市町村に係るもの 0.01607L令2ア 令和2年度市場公募都市に係るもの 0.00089イ 令和2年度市場公募都市以外の市町村に係るもの 0.00090L令3ア 令和3年度市場公募都市に係るもの 0.00134イ 令和3年度市場公募都市以外の市町村に係るもの 0.00141L令4ア 令和4年度市場公募都市に係るもの 0.00274イ 令和4年度市場公募都市以外の市町村に係るもの 0.00283Mn 国庫の補助金を受けて施行した大規模改造事業のうち、障害児等対策施設整備工事に係る経費に充てるためn年度において発行について同意又は許可を得た学校教育施設等整備事業債(令和3年度及び令和4年度において地方税の減収に伴い発行について同意又は許可を得た地方債並びに令和3年度及び令和4年度において発行について同意又は許可を得た補正予算債を除く。)のうち市町村立の小学校に係るものの額に相当する額N令3ア 令和3年度市場公募都市に係るもの 0.00313イ 令和3年度市場公募都市以外の市町村に係るもの 0.00329N令4ア 令和4年度市場公募都市に係るもの 0.00639イ 令和4年度市場公募都市以外の市町村に係るもの 0.00661On 平成n年度において発行について同意又は許可を得た水泳プール(屋外)に係る学校教育施設等整備事業債(発行について地方財政法第5条の3第6項の規定による届出がされた地方債のうち同条第1項の規定による協議を受けたならば同条第10項に規定する基準に照らして同意をすることとなると認められるものとして総務大臣が指定するものを含む。以下同じ。)等(公害防止事業債、財源対策債、平成16年度から平成28年度までの各年度において発行について同意又は許可を得た補正予算債、臨時財政特例債及び符号Bにおいて別表第3の13に定める乗率を乗じて得た額を譲受代金とした小学校に係る地方債を除く。)のうち市町村立の小学校に係るものの額に相当する額(平成22年度から平成28年度までの各年度において発行について同意又は許可を得たものについては、平成21年度以前に着手した継続の整備事業等の地方債の額として総務大臣が調査したものに限る。)P15=0.0119P16=0.0078P17ア 平成17年度市場公募都市に係るもの 0.0142イ 平成17年度市場公募都市以外の市町村に係るもの 0.0076P18ア 平成18年度市場公募都市に係るもの 0.0143イ 平成18年度市場公募都市以外の市町村に係るもの 0.0089P19ア 平成19年度市場公募都市に係るもの 0.0144イ 平成19年度市場公募都市以外の市町村に係るもの 0.0090P20ア 平成20年度市場公募都市に係るもの 0.01471イ 平成20年度市場公募都市以外の市町村に係るもの 0.01742P21ア 平成21年度市場公募都市に係るもの 0.01478イ 平成21年度市場公募都市以外の市町村に係るもの 0.01725P22ア 平成22年度市場公募都市に係るもの 0.01437イ 平成22年度市場公募都市以外の市町村に係るもの 0.01713P23ア 平成23年度市場公募都市に係るもの 0.01444イ 平成23年度市場公募都市以外の市町村に係るもの 0.01693P24ア 平成24年度市場公募都市に係るもの 0.01499イ 平成24年度市場公募都市以外の市町村に係るもの 0.01656P25ア 平成25年度市場公募都市に係るもの 0.0152イ 平成25年度市場公募都市以外の市町村に係るもの 0.0164P26ア 平成26年度市場公募都市に係るもの 0.0149イ 平成26年度市場公募都市以外の市町村に係るもの 0.0160P27ア 平成27年度市場公募都市に係るもの 0.0138イ 平成27年度市場公募都市以外の市町村に係るもの 0.0158P28ア 平成28年度市場公募都市に係るもの 0.0139イ 平成28年度市場公募都市以外の市町村に係るもの 0.0161Qn 平成n年度において発行について同意又は許可を得た学校給食施設に係る学校教育施設等整備事業債(発行について地方財政法第5条の3第6項の規定による届出がされた地方債のうち同条第1項の規定による協議を受けたならば同条第10項に規定する基準に照らして同意をすることとなると認められるものとして総務大臣が指定するものを含む。以下同じ。)等(災害復旧事業債、辺地対策事業債、過疎対策事業債、平成15年度から平成28年度までの各年度において地方税の減収に伴い発行について同意又は許可を得た地方債、公害防止事業債、財源対策債、平成16年度から平成28年度までの各年度において発行について同意又は許可を得た補正予算債及び符号Bにおいて別表第3の13に定める乗率を乗じて得た額を譲受代金とした小学校に係る地方債を除く。)のうち市町村立の小学校に係るものの額に相当する額(平成22年度から平成28年度までの各年度において発行について同意又は許可を得たものについては、平成21年度以前に着手した継続の整備事業等の地方債の額として総務大臣が調査したものに限る。)R15=0.0079R16=0.0052R17ア 平成17年度市場公募都市に係るもの 0.0095イ 平成17年度市場公募都市以外の市町村に係るもの 0.0051R18ア 平成18年度市場公募都市に係るもの 0.0095イ 平成18年度市場公募都市以外の市町村に係るもの 0.0060R19ア 平成19年度市場公募都市に係るもの 0.0096イ 平成19年度市場公募都市以外の市町村に係るもの 0.0060R20ア 平成20年度市場公募都市に係るもの 0.00981イ 平成20年度市場公募都市以外の市町村に係るもの 0.01161R21ア 平成21年度市場公募都市に係るもの 0.00985イ 平成21年度市場公募都市以外の市町村に係るもの 0.01150R22ア 平成22年度市場公募都市に係るもの 0.00958イ 平成22年度市場公募都市以外の市町村に係るもの 0.01142R23ア 平成23年度市場公募都市に係るもの 0.00963イ 平成23年度市場公募都市以外の市町村に係るもの 0.01128R24ア 平成24年度市場公募都市に係るもの 0.00999イ 平成24年度市場公募都市以外の市町村に係るもの 0.01104R25ア 平成25年度市場公募都市に係るもの 0.0101イ 平成25年度市場公募都市以外の市町村に係るもの 0.0110R26ア 平成26年度市場公募都市に係るもの 0.0099イ 平成26年度市場公募都市以外の市町村に係るもの 0.0107R27ア 平成27年度市場公募都市に係るもの 0.0092イ 平成27年度市場公募都市以外の市町村に係るもの 0.0106R28ア 平成28年度市場公募都市に係るもの 0.0092イ 平成28年度市場公募都市以外の市町村に係るもの 0.0107Sn 一般財源化された公立学校施設整備補助金(不適格建物改築事業に係るものに限る。)に係る施設整備事業に充てるため平成n年度において発行について同意又は許可を得た地方債の額に相当する額T18ア 平成18年度市場公募都市に係るもの 0.0380イ 平成18年度市場公募都市以外の市町村に係るもの 0.0000T19ア 平成19年度市場公募都市に係るもの 0.0381イ 平成19年度市場公募都市以外の市町村に係るもの 0.0000T20ア 平成20年度市場公募都市に係るもの 0.04259イ 平成20年度市場公募都市以外の市町村に係るもの 0.05951T21ア 平成21年度市場公募都市に係るもの 0.04799イ 平成21年度市場公募都市以外の市町村に係るもの 0.06223T22ア 平成22年度市場公募都市に係るもの 0.04687イ 平成22年度市場公募都市以外の市町村に係るもの 0.06257Un 平成n年度において発行について同意又は許可を得た学校教育施設等整備事業債(過疎対策事業債及び平成21年度から平成23年度までの各年度において発行について同意又は許可を得た補正予算債を除く。)のうち市町村立の小学校の公共施設等地上デジタル放送移行対策事業に係るものの額に相当する額V21ア 平成21年度市場公募都市に係るもの 0.01478イ 平成21年度市場公募都市以外の市町村に係るもの 0.01725V22ア 平成22年度市場公募都市に係るもの 0.01437イ 平成22年度市場公募都市以外の市町村に係るもの 0.01713V23ア 平成23年度市場公募都市に係るもの 0.01444イ 平成23年度市場公募都市以外の市町村に係るもの 0.01693Wn 地防法に基づく国庫補助率のかさ上げが行われる事業(平成30年度以前はIs値0.3以上のものに限り、令和元年度以降は水泳プール(屋外)の新改築に係るものに限る。)に係る経費に充てるためn年度において発行について同意又は許可を得た学校教育施設等整備事業債(平成18年度から令和4年度までの各年度において発行について同意又は許可を得た補正予算債を除く。)のうち市町村立の小学校に係るものの額に相当する額X18ア 平成18年度市場公募都市に係るもの 0.0239イ 平成18年度市場公募都市以外の市町村に係るもの 0.0149X19ア 平成19年度市場公募都市に係るもの 0.0240イ 平成19年度市場公募都市以外の市町村に係るもの 0.0150X20ア 平成20年度市場公募都市に係るもの 0.02452イ 平成20年度市場公募都市以外の市町村に係るもの 0.02903X21ア 平成21年度市場公募都市に係るもの 0.02464イ 平成21年度市場公募都市以外の市町村に係るもの 0.02875X22ア 平成22年度市場公募都市に係るもの 0.02396イ 平成22年度市場公募都市以外の市町村に係るもの 0.02856X23ア 平成23年度市場公募都市に係るもの 0.02407イ 平成23年度市場公募都市以外の市町村に係るもの 0.02821X24ア 平成24年度市場公募都市に係るもの 0.02499イ 平成24年度市場公募都市以外の市町村に係るもの 0.02760X25ア 平成25年度市場公募都市に係るもの 0.0254イ 平成25年度市場公募都市以外の市町村に係るもの 0.0274X26ア 平成26年度市場公募都市に係るもの 0.0249イ 平成26年度市場公募都市以外の市町村に係るもの 0.0267X27ア 平成27年度市場公募都市に係るもの 0.0231イ 平成27年度市場公募都市以外の市町村に係るもの 0.0264X28ア 平成28年度市場公募都市に係るもの 0.0231イ 平成28年度市場公募都市以外の市町村に係るもの 0.0269X29ア 平成29年度市場公募都市に係るもの 0.0230イ 平成29年度市場公募都市以外の市町村に係るもの 0.0271X30ア 平成30年度市場公募都市に係るもの 0.02282イ 平成30年度市場公募都市以外の市町村に係るもの 0.02697X令元ア 令和元年度市場公募都市に係るもの 0.02244イ 令和元年度市場公募都市以外の市町村に係るもの 0.02678X令2ア 令和2年度市場公募都市に係るもの 0.00148イ 令和2年度市場公募都市以外の市町村に係るもの 0.00151X令3ア 令和3年度市場公募都市に係るもの 0.00224イ 令和3年度市場公募都市以外の市町村に係るもの 0.00235X令4ア 令和4年度市場公募都市に係るもの 0.00457イ 令和4年度市場公募都市以外の市町村に係るもの 0.00472Yn 地防法に基づく国庫補助率のかさ上げが行われる事業(Is値0.3未満のもの(令和元年度以降にあつては、校舎、屋内運動場又は寄宿舎の改築に係るものに限る。)に限る。)に係る経費に充てるためn年度において発行について同意又は許可を得た学校教育施設等整備事業債(平成20年度から令和4年度までの各年度において発行について同意又は許可を得た補正予算債を除く。)のうち市町村立の小学校に係るものの額に相当する額Z20ア 平成20年度市場公募都市に係るもの 0.03433イ 平成20年度市場公募都市以外の市町村に係るもの 0.04064Z21ア 平成21年度市場公募都市に係るもの 0.03449イ 平成21年度市場公募都市以外の市町村に係るもの 0.04024Z22ア 平成22年度市場公募都市に係るもの 0.03354イ 平成22年度市場公募都市以外の市町村に係るもの 0.03998Z23ア 平成23年度市場公募都市に係るもの 0.03370イ 平成23年度市場公募都市以外の市町村に係るもの 0.03949Z24ア 平成24年度市場公募都市に係るもの 0.03498イ 平成24年度市場公募都市以外の市町村に係るもの 0.03864Z25ア 平成25年度市場公募都市に係るもの 0.0355イ 平成25年度市場公募都市以外の市町村に係るもの 0.0384Z26ア 平成26年度市場公募都市に係るもの 0.0348イ 平成26年度市場公募都市以外の市町村に係るもの 0.0374Z27ア 平成27年度市場公募都市に係るもの 0.0323イ 平成27年度市場公募都市以外の市町村に係るもの 0.0370Z28ア 平成28年度市場公募都市に係るもの 0.0323イ 平成28年度市場公募都市以外の市町村に係るもの 0.0376Z29ア 平成29年度市場公募都市に係るもの 0.0321イ 平成29年度市場公募都市以外の市町村に係るもの 0.0379Z30ア 平成30年度市場公募都市に係るもの 0.03194イ 平成30年度市場公募都市以外の市町村に係るもの 0.03776Z令元ア 令和元年度市場公募都市に係るもの 0.03141イ 令和元年度市場公募都市以外の市町村に係るもの 0.03749Z令2ア 令和2年度市場公募都市に係るもの 0.00207イ 令和2年度市場公募都市以外の市町村に係るもの 0.00211Z令3ア 令和3年度市場公募都市に係るもの 0.00313イ 令和3年度市場公募都市以外の市町村に係るもの 0.00329Z令4ア 令和4年度市場公募都市に係るもの 0.00639イ 令和4年度市場公募都市以外の市町村に係るもの 0.00661AAn 非構造部材の耐震対策事業(特定天井分)に係る経費に充てるため平成n年度において発行について同意又は許可を得た学校教育施設等整備事業債(平成28年度及び平成29年度において発行について同意又は許可を得た補正予算債を除く。)のうち市町村立の小学校に係るものの額に相当する額AB28ア 平成28年度市場公募都市に係るもの 0.0323イ 平成28年度市場公募都市以外の市町村に係るもの 0.0376AB29ア 平成29年度市場公募都市に係るもの 0.0321イ 平成29年度市場公募都市以外の市町村に係るもの 0.0379ACn 非構造部材の耐震対策事業(特定天井以外分)に係る経費に充てるため平成n年度において発行について同意又は許可を得た学校教育施設等整備事業債(平成28年度及び平成29年度において発行について同意又は許可を得た補正予算債を除く。)のうち市町村立の小学校に係るものの額に相当する額AD28ア 平成28年度市場公募都市に係るもの 0.0231イ 平成28年度市場公募都市以外の市町村に係るもの 0.0269AD29ア 平成29年度市場公募都市に係るもの 0.0230イ 平成29年度市場公募都市以外の市町村に係るもの 0.0271AEn 補強事業に係る経費に充てるためn年度において発行について同意又は許可を得た学校教育施設等整備事業債(平成30年度から令和4年度までの各年度において発行について同意又は許可を得た補正予算債を除く。)のうち市町村立の小学校に係るものの額に相当する額AF30ア 平成30年度市場公募都市に係るもの 0.03194イ 平成30年度市場公募都市以外の市町村に係るもの 0.03776AF令元ア 令和元年度市場公募都市に係るもの 0.03141イ 令和元年度市場公募都市以外の市町村に係るもの 0.03749AF令2ア 令和2年度市場公募都市に係るもの 0.00207イ 令和2年度市場公募都市以外の市町村に係るもの 0.00211AF令3ア 令和3年度市場公募都市に係るもの 0.00313イ 令和3年度市場公募都市以外の市町村に係るもの 0.00329AF令4ア 令和4年度市場公募都市に係るもの 0.00639イ 令和4年度市場公募都市以外の市町村に係るもの 0.00661AGn 防災機能強化事業に係る経費に充てるためn年度において発行について同意又は許可を得た学校教育施設等整備事業債(平成30年度から令和4年度までの各年度において発行について同意又は許可を得た補正予算債を除く。)のうち市町村立の小学校に係るものの額に相当する額AH30ア 平成30年度市場公募都市に係るもの 0.03194イ 平成30年度市場公募都市以外の市町村に係るもの 0.03776AH令元ア 令和元年度市場公募都市に係るもの 0.03141イ 令和元年度市場公募都市以外の市町村に係るもの 0.03749AH令2ア 令和2年度市場公募都市に係るもの 0.00207イ 令和2年度市場公募都市以外の市町村に係るもの 0.00211AH令3ア 令和3年度市場公募都市に係るもの 0.00313イ 令和3年度市場公募都市以外の市町村に係るもの 0.00329AH令4ア 令和4年度市場公募都市に係るもの 0.00639イ 令和4年度市場公募都市以外の市町村に係るもの 0.00661AI令2 国庫の補助金を受けて施行した公立学校情報通信ネットワーク環境施設整備事業に係る経費に充てるため令和2年度において発行について同意又は許可を得た学校教育施設等整備事業債(同年度において発行について同意又は許可を得た補正予算債を除く。)のうち小学校に係るものの額に相当する額AJ令2ア 令和2年度市場公募都市に係るもの 0.00207イ 令和2年度市場公募都市以外の市町村に係るもの 0.00211
   AK 昭和46年度から昭和60年度までの各年度において、当該年度の旧児童急増区域を包括する市町村が当該旧児童急増区域内における学校用地取得のために発行を許可された義務教育施設整備事業債(公害防止事業債、昭和46年度、昭和47年度及び昭和50年度から昭和60年度までの各年度において地方税の減収に伴い発行を許可された地方債、昭和50年度から昭和57年度までの各年度において財政健全化のため発行を許可された地方債、地域財政特例対策債、臨時財政特例債、符号Bにおいて別表第3の13に定める乗率を乗じて得た額を譲受代金とした小学校に係る地方債並びに昭和59年度及び昭和60年度に取得した学校用地面積が2,000平方メートル未満である学校用地に係る地方債を除く。)及び昭和61年度から平成10年度までの各年度において、過去児童急増市町村(昭和48年度から平成10年度までの間において児童急増市町村(児童急増区域(学校基本調査規則によつて調査したその年の5月1日現在の児童数が3年前の5月1日現在の児童数に比し、15パーセント以上かつ300人以上、10パーセント以上かつ500人以上又は5パーセント以上かつ1,000人以上増加している市町村(指定都市の区(総合区を含む。)のうち当該区を市町村とみなした場合に、これらに該当することとなる当該区を含む。)の区域をいう。)を包括する市町村をいう。)に該当したことがある市町村をいう。)又は過去児童急増市町村以外で財政力指数(基準財政収入額を基準財政需要額で除して得た数値で当該年度前3年度内の各年度に係るものを合算して得たものを3で除して得た数値をいう。)が1.00以下の市町村が過大規模校(市町村立の小学校のうち、当該年度の5月1日現在においてその学級(特殊学級を含む。)の数が31以上(児童急増市町村の設置する小学校にあつては25以上。以下この号において同じ。)のもの又は当該日から2年を経過した日(当該日の翌日以降住宅の建設等に伴い新たに学級数が増加することが見込まれる場合にあつては当該年度の4月1日から起算して5年を経過した日)までにその学級の数が31以上となることが見込まれるものをいう。)の分離等に必要な学校用地取得のため発行を許可された義務教育施設整備事業債(公害防止事業債、昭和61年度、昭和62年度、平成2年度及び平成4年度から平成10年度までの各年度において地方税の減収に伴い発行を許可された地方債、財源対策債、地域財政特例対策債、臨時財政特例債並びに符号Bにおいて別表第3の13に定める乗率を乗じて得た額を譲受代金とした小学校に係る地方債を除く。)の当該年度における元利償還金AL 前年度以前の年度における符号Bに規定する年次支払額で過大又は過少に係るものとして総務大臣が通知した額AM 立替施行者が立替施行をした中学校(義務教育学校の後期課程及び中等教育学校の前期課程を含む。以下この号及び次号において同じ。)の施設(用地を含む。)の譲受代金(当該市町村が当該中学校を建設したとみなした場合に一般財源所要額として基準財政需要額に算入されるべき地方負担額又は当該地方負担額に別表第3の13に定める率を乗じて得た額)の当該年度における年次支払額(当該中学校の建設に係る当該市町村と立替施行者との譲受代金の支払契約の例により算定した当該年度の支払額)として都道府県知事の申告に基づき総務大臣が通知した額(中学校費における学級数がない団体のみ適用する。)AN 義務教育諸学校施設費国庫負担法第3条第1項(第3号を除く。)に規定する施設に係る経費に充てるため平成3年度以前及び平成6年度から平成11年度までの間において発行を許可された地方債(災害復旧事業債、辺地対策事業債、過疎対策事業債、昭和46年度、昭和47年度、昭和50年度から昭和62年度まで、平成2年度、平成3年度及び平成6年度から平成11年度までの各年度において地方税の減収に伴い発行を許可された地方債、昭和50年度から昭和57年度までの各年度において財政健全化のため発行を許可された地方債、財源対策債、昭和50年度補正予算債、昭和52年度補正予算債、昭和53年度補正予算債、平成6年度から平成11年度までの各年度において発行を許可された補正予算債、地域財政特例対策債、臨時財政特例債並びに符号AMにおいて別表第3の13に定める乗率を乗じて得た額を譲受代金とした中学校に係るものを除く。)のうち政府資金に係るもの(平成11年度の臨時特例措置として行われた政府資金の繰上償還に係るものを除く。)で市町村立の中学校に係るものの当該年度における元利償還金(中学校費における学級数がない団体のみ適用する。)AO 義務教育諸学校施設費国庫負担法第3条第1項(第3号を除く。)に規定する施設に係る経費に充てるため平成4年度及び平成5年度において発行を許可された地方債(災害復旧事業債、辺地対策事業債、過疎対策事業債、平成4年度及び平成5年度において地方税の減収に伴い発行を許可された地方債、平成4年度補正予算債、平成5年度補正予算債、臨時財政特例債、公共事業等臨時特例債並びに符号AMにおいて別表第3の13に定める乗率を乗じて得た額を譲受代金とした中学校に係るものを除く。)のうち市町村立の中学校に係るものの当該年度における元利償還金(中学校費における学級数がない団体のみ適用する。)AP 市町村立の中学校の大規模改造事業の地方単独分に係る経費に充てるため平成4年度から平成11年度までの各年度において発行を許可された学校教育施設等整備事業債等の当該年度の元利償還金(中学校費における学級数がない団体のみ適用する。)AQ 昭和63年度から平成3年度までの各年度及び平成6年度から平成11年度までの間において発行を許可された水泳プール(屋外)に係る学校教育施設等整備事業債等(公害防止事業債、臨時財政特例債及び符号AMにおいて別表第3の13に定める乗率を乗じて得た額を譲受代金とした中学校に係る地方債を除く。)のうち政府資金に係るもの(平成11年度の臨時特例措置として行われた政府資金の繰上償還に係るものを除く。)で市町村立の中学校に係るものの当該年度における元利償還金(中学校費における学級数がない団体のみ適用する。)ARn 義務教育諸学校施設費国庫負担法第3条第1項(第3号を除く。)に規定する施設に係る経費に充てるためn年度において発行について同意又は許可を得た地方債(災害復旧事業債、辺地対策事業債、過疎対策事業債、平成12年度から令和4年度までの各年度において地方税の減収に伴い発行について同意又は許可を得た地方債、財源対策債、平成12年度から平成14年度までの各年度及び平成16年度から令和4年度までの各年度において発行について同意又は許可を得た補正予算債、臨時財政特例債並びに符号AMにおいて別表第3の13に定める乗率を乗じて得た額を譲受代金とした中学校に係るものを除く。)の額に相当する額(平成12年度において発行を許可されたもの(平成11年度の臨時特例措置として行われた政府資金の繰上償還に係るものを除く。)については、政府資金に係るものに限る。)(中学校費における学級数がない団体のみ適用する。)AS12=0.0379AS13=0.0383AS14=0.0351AS15=0.0277AS16=0.0183AS17ア 平成17年度市場公募都市に係るもの 0.0332イ 平成17年度市場公募都市以外の市町村に係るもの 0.0177AS18ア 平成18年度市場公募都市に係るもの 0.0334イ 平成18年度市場公募都市以外の市町村に係るもの 0.0209AS19ア 平成19年度市場公募都市に係るもの 0.0336イ 平成19年度市場公募都市以外の市町村に係るもの 0.0209AS20ア 平成20年度市場公募都市に係るもの 0.03433イ 平成20年度市場公募都市以外の市町村に係るもの 0.04064AS21ア 平成21年度市場公募都市に係るもの 0.03449イ 平成21年度市場公募都市以外の市町村に係るもの 0.04024AS22ア 平成22年度市場公募都市に係るもの 0.03354イ 平成22年度市場公募都市以外の市町村に係るもの 0.03998AS23ア 平成23年度市場公募都市に係るもの 0.03370イ 平成23年度市場公募都市以外の市町村に係るもの 0.03949AS24ア 平成24年度市場公募都市に係るもの 0.03498イ 平成24年度市場公募都市以外の市町村に係るもの 0.03864AS25ア 平成25年度市場公募都市に係るもの 0.0355イ 平成25年度市場公募都市以外の市町村に係るもの 0.0384AS26ア 平成26年度市場公募都市に係るもの 0.0348イ 平成26年度市場公募都市以外の市町村に係るもの 0.0374AS27ア 平成27年度市場公募都市に係るもの 0.0323イ 平成27年度市場公募都市以外の市町村に係るもの 0.0370AS28ア 平成28年度市場公募都市に係るもの 0.0323イ 平成28年度市場公募都市以外の市町村に係るもの 0.0376AS29ア 平成29年度市場公募都市に係るもの 0.0321イ 平成29年度市場公募都市以外の市町村に係るもの 0.0379AS30ア 平成30年度市場公募都市に係るもの 0.03194イ 平成30年度市場公募都市以外の市町村に係るもの 0.03776AS令元ア 令和元年度市場公募都市に係るもの 0.03141イ 令和元年度市場公募都市以外の市町村に係るもの 0.03749AS令2ア 令和2年度市場公募都市に係るもの 0.00207イ 令和2年度市場公募都市以外の市町村に係るもの 0.00211AS令3ア 令和3年度市場公募都市に係るもの 0.00313イ 令和3年度市場公募都市以外の市町村に係るもの 0.00329AS令4ア 令和4年度市場公募都市に係るもの 0.00639イ 令和4年度市場公募都市以外の市町村に係るもの 0.00661ATn n年度において発行について同意又は許可を得た学校教育施設等整備事業債等(平成15年度から令和4年度までの各年度において地方税の減収に伴い発行について同意又は許可を得た地方債及び平成16年度から令和4年度までの各年度において発行について同意又は許可を得た補正予算債を除く。)のうち市町村立の中学校の大規模改造事業の地方単独分に係るものの額に相当する額(中学校費における学級数がない団体のみ適用する。)AU15=0.0119AU16=0.0078AU17ア 平成17年度市場公募都市に係るもの 0.0142イ 平成17年度市場公募都市以外の市町村に係るもの 0.0076AU18ア 平成18年度市場公募都市に係るもの 0.0143イ 平成18年度市場公募都市以外の市町村に係るもの 0.0089AU19ア 平成19年度市場公募都市に係るもの 0.0144イ 平成19年度市場公募都市以外の市町村に係るもの 0.0090AU20ア 平成20年度市場公募都市に係るもの 0.01471イ 平成20年度市場公募都市以外の市町村に係るもの 0.01742AU21ア 平成21年度市場公募都市に係るもの 0.01478イ 平成21年度市場公募都市以外の市町村に係るもの 0.01725AU22ア 平成22年度市場公募都市に係るもの 0.01437イ 平成22年度市場公募都市以外の市町村に係るもの 0.01713AU23ア 平成23年度市場公募都市に係るもの 0.01444イ 平成23年度市場公募都市以外の市町村に係るもの 0.01693AU24ア 平成24年度市場公募都市に係るもの 0.01499イ 平成24年度市場公募都市以外の市町村に係るもの 0.01656AU25ア 平成25年度市場公募都市に係るもの 0.0152イ 平成25年度市場公募都市以外の市町村に係るもの 0.0164AU26ア 平成26年度市場公募都市に係るもの 0.0149イ 平成26年度市場公募都市以外の市町村に係るもの 0.0160AU27ア 平成27年度市場公募都市に係るもの 0.0138イ 平成27年度市場公募都市以外の市町村に係るもの 0.0158AU28ア 平成28年度市場公募都市に係るもの 0.0139イ 平成28年度市場公募都市以外の市町村に係るもの 0.0161AU29ア 平成29年度市場公募都市に係るもの 0.0230イ 平成29年度市場公募都市以外の市町村に係るもの 0.0271AU30ア 平成30年度市場公募都市に係るもの 0.02282イ 平成30年度市場公募都市以外の市町村に係るもの 0.02697AU令元ア 令和元年度市場公募都市に係るもの 0.02244イ 令和元年度市場公募都市以外の市町村に係るもの 0.02678AU令2ア 令和2年度市場公募都市に係るもの 0.00148イ 令和2年度市場公募都市以外の市町村に係るもの 0.00151AU令3ア 令和3年度市場公募都市に係るもの 0.00224イ 令和3年度市場公募都市以外の市町村に係るもの 0.00235AU令4ア 令和4年度市場公募都市に係るもの 0.00457イ 令和4年度市場公募都市以外の市町村に係るもの 0.00472AVn 国庫の補助金を受けて施行した大規模改造事業(障害児等対策施設整備工事を除く。)に係る経費に充てるためn年度において発行について同意又は許可を得た学校教育施設等整備事業債等(平成29年度から令和4年度までの各年度において地方税の減収に伴い発行について同意又は許可を得た地方債及び平成29年度から令和4年度までの各年度において発行について同意又は許可を得た補正予算債を除く。)のうち市町村立の中学校に係るものの額に相当する額(中学校費における学級数がない団体のみ適用する。)AW29ア 平成29年度市場公募都市に係るもの 0.0138イ 平成29年度市場公募都市以外の市町村に係るもの 0.0162AW30ア 平成30年度市場公募都市に係るもの 0.01369イ 平成30年度市場公募都市以外の市町村に係るもの 0.01618AW令元ア 令和元年度市場公募都市に係るもの 0.01346イ 令和元年度市場公募都市以外の市町村に係るもの 0.01607AW令2ア 令和2年度市場公募都市に係るもの 0.00089イ 令和2年度市場公募都市以外の市町村に係るもの 0.00090AW令3ア 令和3年度市場公募都市に係るもの 0.00134イ 令和3年度市場公募都市以外の市町村に係るもの 0.00141AW令4ア 令和4年度市場公募都市に係るもの 0.00274イ 令和4年度市場公募都市以外の市町村に係るもの 0.00283AXn 国庫の補助金を受けて施行した大規模改造事業のうち、障害児等対策施設整備工事に係る経費に充てるためn年度において発行について同意又は許可を得た学校教育施設等整備事業債(令和3年度及び令和4年度において地方税の減収に伴い発行について同意又は許可を得た地方債並びに令和3年度及び令和4年度において発行について同意又は許可を得た補正予算債を除く。)のうち市町村立の中学校に係るものの額に相当する額(中学校費における学級数がない団体のみ適用する。)AY令3ア 令和3年度市場公募都市に係るもの 0.00313イ 令和3年度市場公募都市以外の市町村に係るもの 0.00329AY令4ア 令和4年度市場公募都市に係るもの 0.00639イ 令和4年度市場公募都市以外の市町村に係るもの 0.00661AZn 平成n年度において発行について同意又は許可を得た水泳プール(屋外)に係る学校教育施設等整備事業債等(公害防止事業債、財源対策債、平成16年度から平成28年度までの各年度において発行について同意又は許可を得た補正予算債、臨時財政特例債及び符号AMにおいて別表第3の13に定める乗率を乗じて得た額を譲受代金とした中学校に係る地方債を除く。)のうち市町村立の中学校に係るものの額に相当する額(平成22年度から平成28年度までの各年度において発行について同意又は許可を得たものについては、平成21年度以前に着手した継続事業として総務大臣が調査した事業に係るものに限る。)(中学校費における学級数がない団体のみ適用する。)BA15=0.0119BA16=0.0078BA17ア 平成17年度市場公募都市に係るもの 0.0142イ 平成17年度市場公募都市以外の市町村に係るもの 0.0076BA18ア 平成18年度市場公募都市に係るもの 0.0143イ 平成18年度市場公募都市以外の市町村に係るもの 0.0089BA19ア 平成19年度市場公募都市に係るもの 0.0144イ 平成19年度市場公募都市以外の市町村に係るもの 0.0090BA20ア 平成20年度市場公募都市に係るもの 0.01471イ 平成20年度市場公募都市以外の市町村に係るもの 0.01742BA21ア 平成21年度市場公募都市に係るもの 0.01478イ 平成21年度市場公募都市以外の市町村に係るもの 0.01725BA22ア 平成22年度市場公募都市に係るもの 0.01437イ 平成22年度市場公募都市以外の市町村に係るもの 0.01713BA23ア 平成23年度市場公募都市に係るもの 0.01444イ 平成23年度市場公募都市以外の市町村に係るもの 0.01693BA24ア 平成24年度市場公募都市に係るもの 0.01499イ 平成24年度市場公募都市以外の市町村に係るもの 0.01656BA25ア 平成25年度市場公募都市に係るもの 0.0152イ 平成25年度市場公募都市以外の市町村に係るもの 0.0164BA26ア 平成26年度市場公募都市に係るもの 0.0149イ 平成26年度市場公募都市以外の市町村に係るもの 0.0160BA27ア 平成27年度市場公募都市に係るもの 0.0138イ 平成27年度市場公募都市以外の市町村に係るもの 0.0158BA28ア 平成28年度市場公募都市に係るもの 0.0139イ 平成28年度市場公募都市以外の市町村に係るもの 0.0161BBn 平成n年度において発行について同意又は許可を得た学校給食施設に係る学校教育施設等整備事業債等(災害復旧事業債、辺地対策事業債、過疎対策事業債、平成15年度から平成28年度までの各年度において地方税の減収に伴い発行について同意又は許可を得た地方債、公害防止事業債、財源対策債、平成16年度から平成28年度までの各年度において発行について同意又は許可を得た補正予算債及び符号AMにおいて別表第3の13に定める乗率を乗じて得た額を譲受代金とした中学校に係る地方債を除く。)のうち市町村立の中学校に係るものの額に相当する額(平成22年度から平成28年度までの各年度において発行について同意又は許可を得たものについては、平成21年度以前に着手した継続事業として総務大臣が調査した事業に係るものに限る。)(中学校費における学級数がない団体のみ適用する。)BC15=0.0079BC16=0.0052BC17ア 平成17年度市場公募都市に係るもの 0.0095イ 平成17年度市場公募都市以外の市町村に係るもの 0.0051BC18ア 平成18年度市場公募都市に係るもの 0.0095イ 平成18年度市場公募都市以外の市町村に係るもの 0.0060BC19ア 平成19年度市場公募都市に係るもの 0.0096イ 平成19年度市場公募都市以外の市町村に係るもの 0.0060BC20ア 平成20年度市場公募都市に係るもの 0.00981イ 平成20年度市場公募都市以外の市町村に係るもの 0.01161BC21ア 平成21年度市場公募都市に係るもの 0.00985イ 平成21年度市場公募都市以外の市町村に係るもの 0.01150BC22ア 平成22年度市場公募都市に係るもの 0.00958イ 平成22年度市場公募都市以外の市町村に係るもの 0.01142BC23ア 平成23年度市場公募都市に係るもの 0.00963イ 平成23年度市場公募都市以外の市町村に係るもの 0.01128BC24ア 平成24年度市場公募都市に係るもの 0.00999イ 平成24年度市場公募都市以外の市町村に係るもの 0.01104BC25ア 平成25年度市場公募都市に係るもの 0.0101イ 平成25年度市場公募都市以外の市町村に係るもの 0.0110BC26ア 平成26年度市場公募都市に係るもの 0.00099イ 平成26年度市場公募都市以外の市町村に係るもの 0.0107BC27ア 平成27年度市場公募都市に係るもの 0.0092イ 平成27年度市場公募都市以外の市町村に係るもの 0.0106BC28ア 平成28年度市場公募都市に係るもの 0.0092イ 平成28年度市場公募都市以外の市町村に係るもの 0.0107BDn 一般財源化された公立学校施設整備補助金(不適格建物改築事業に係るものに限る。)に係る施設整備事業に充てるため平成n年度において発行について同意又は許可を得た地方債の額に相当する額(中学校費における学級数がない団体のみ適用する。)BE18ア 平成18年度市場公募都市に係るもの 0.0380イ 平成18年度市場公募都市以外の市町村に係るもの 0.0000BE19ア 平成19年度市場公募都市に係るもの 0.0381イ 平成19年度市場公募都市以外の市町村に係るもの 0.0000BE20ア 平成20年度市場公募都市に係るもの 0.04259イ 平成20年度市場公募都市以外の市町村に係るもの 0.05961BE21ア 平成21年度市場公募都市に係るもの 0.04799イ 平成21年度市場公募都市以外の市町村に係るもの 0.06223BE22ア 平成22年度市場公募都市に係るもの 0.04687イ 平成22年度市場公募都市以外の市町村に係るもの 0.06257BFn 平成n年度において発行について同意又は許可を得た武道場に係る学校教育施設等整備事業債(発行について地方財政法第5条の3第6項の規定による届出がされた地方債のうち同条第1項の規定による協議を受けたならば同条第10項に規定する基準に照らして同意をすることとなると認められるものとして総務大臣が指定するものを含む。以下同じ。)(過疎対策事業債及び平成21年度から平成28年度までの各年度において発行について同意又は許可を得た補正予算債を除く。)のうち市町村立の中学校に係るものの額に相当する額(平成22年度から平成28年度までの各年度において発行について同意又は許可を得たものについては、平成21年度以前に着手した継続事業として総務大臣が調査した事業に係るものに限る。)(中学校費における学級数がない団体のみ適用する。)BG21ア 平成21年度市場公募都市に係るもの 0.01478イ 平成21年度市場公募都市以外の市町村に係るもの 0.01725BG22ア 平成22年度市場公募都市に係るもの 0.01437イ 平成22年度市場公募都市以外の市町村に係るもの 0.01713BG23ア 平成23年度市場公募都市に係るもの 0.01444イ 平成23年度市場公募都市以外の市町村に係るもの 0.01693BG24ア 平成24年度市場公募都市に係るもの 0.01499イ 平成24年度市場公募都市以外の市町村に係るもの 0.01656BG25ア 平成25年度市場公募都市に係るもの 0.0152イ 平成25年度市場公募都市以外の市町村に係るもの 0.0164BG26ア 平成26年度市場公募都市に係るもの 0.0149イ 平成26年度市場公募都市以外の市町村に係るもの 0.0160BG27ア 平成27年度市場公募都市に係るもの 0.0138イ 平成27年度市場公募都市以外の市町村に係るもの 0.0158BG28ア 平成28年度市場公募都市に係るもの 0.0139イ 平成28年度市場公募都市以外の市町村に係るもの 0.0161BHn 平成n年度において発行について同意又は許可を得た学校教育施設等整備事業債(過疎対策事業債及び平成21年度から平成23年度までの各年度において発行について同意又は許可を得た補正予算債を除く。)のうち市町村立の中学校の公共施設等地上デジタル放送移行対策事業に係るものの額に相当する額(中学校費における学級数がない団体のみ適用する。)BI21ア 平成21年度市場公募都市に係るもの 0.01478イ 平成21年度市場公募都市以外の市町村に係るもの 0.01725BI22ア 平成22年度市場公募都市に係るもの 0.01437イ 平成22年度市場公募都市以外の市町村に係るもの 0.01713BI23ア 平成23年度市場公募都市に係るもの 0.01444イ 平成23年度市場公募都市以外の市町村に係るもの 0.01693BJn 地防法に基づく国庫補助率のかさ上げが行われる事業(平成30年度以前はIs値0.3以上のものに限り、令和元年度以降は水泳プール(屋外)の新改築に係るものに限る。)に係る経費に充てるためn年度において発行について同意又は許可を得た学校教育施設等整備事業債(平成18年度から令和4年度までの各年度において発行について同意又は許可を得た補正予算債を除く。)のうち市町村立の中学校に係るものの額に相当する額(中学校費における学級数がない団体のみ適用する。)BK18ア 平成18年度市場公募都市に係るもの 0.0239イ 平成18年度市場公募都市以外の市町村に係るもの 0.0149BK19ア 平成19年度市場公募都市に係るもの 0.0240イ 平成19年度市場公募都市以外の市町村に係るもの 0.0150BK20ア 平成20年度市場公募都市に係るもの 0.02452イ 平成20年度市場公募都市以外の市町村に係るもの 0.02903BK21ア 平成21年度市場公募都市に係るもの 0.02464イ 平成21年度市場公募都市以外の市町村に係るもの 0.02875BK22ア 平成22年度市場公募都市に係るもの 0.02396イ 平成22年度市場公募都市以外の市町村に係るもの 0.02856BK23ア 平成23年度市場公募都市に係るもの 0.02407イ 平成23年度市場公募都市以外の市町村に係るもの 0.02821BK24ア 平成24年度市場公募都市に係るもの 0.02499イ 平成24年度市場公募都市以外の市町村に係るもの 0.02760BK25ア 平成25年度市場公募都市に係るもの 0.0254イ 平成25年度市場公募都市以外の市町村に係るもの 0.0274BK26ア 平成26年度市場公募都市に係るもの 0.0249イ 平成26年度市場公募都市以外の市町村に係るもの 0.0267BK27ア 平成27年度市場公募都市に係るもの 0.0231イ 平成27年度市場公募都市以外の市町村に係るもの 0.0264BK28ア 平成28年度市場公募都市に係るもの 0.0231イ 平成28年度市場公募都市以外の市町村に係るもの 0.0269BK29ア 平成29年度市場公募都市に係るもの 0.0230イ 平成29年度市場公募都市以外の市町村に係るもの 0.0271BK30ア 平成30年度市場公募都市に係るもの 0.02282イ 平成30年度市場公募都市以外の市町村に係るもの 0.02697BK令元ア 令和元年度市場公募都市に係るもの 0.02244イ 令和元年度市場公募都市以外の市町村に係るもの 0.02678BK令2ア 令和2年度市場公募都市に係るもの 0.00148イ 令和2年度市場公募都市以外の市町村に係るもの 0.00151BK令3ア 令和3年度市場公募都市に係るもの 0.00224イ 令和3年度市場公募都市以外の市町村に係るもの 0.00235BK令4ア 令和4年度市場公募都市に係るもの 0.00457イ 令和4年度市場公募都市以外の市町村に係るもの 0.00472BLn 地防法に基づく国庫補助率のかさ上げが行われる事業(Is値0.3未満のもの(令和元年度以降にあつては、校舎、屋内運動場又は寄宿舎の改築に係るものに限る。)に限る。)に係る経費に充てるためn年度において発行について同意又は許可を得た学校教育施設等整備事業債(平成20年度から令和4年度までの各年度において発行について同意又は許可を得た補正予算債を除く。)のうち市町村立の中学校に係るものの額に相当する額(中学校費における学級数がない団体のみ適用する。)BM20ア 平成20年度市場公募都市に係るもの 0.03433イ 平成20年度市場公募都市以外の市町村に係るもの 0.04064BM21ア 平成21年度市場公募都市に係るもの 0.03449イ 平成21年度市場公募都市以外の市町村に係るもの 0.04024BM22ア 平成22年度市場公募都市に係るもの 0.03354イ 平成22年度市場公募都市以外の市町村に係るもの 0.03998BM23ア 平成23年度市場公募都市に係るもの 0.03370イ 平成23年度市場公募都市以外の市町村に係るもの 0.03949BM24ア 平成24年度市場公募都市に係るもの 0.03498イ 平成24年度市場公募都市以外の市町村に係るもの 0.03864BM25ア 平成25年度市場公募都市に係るもの 0.0355イ 平成25年度市場公募都市以外の市町村に係るもの 0.0384BM26ア 平成26年度市場公募都市に係るもの 0.0348イ 平成26年度市場公募都市以外の市町村に係るもの 0.0374BM27ア 平成27年度市場公募都市に係るもの 0.0323イ 平成27年度市場公募都市以外の市町村に係るもの 0.0370BM28ア 平成28年度市場公募都市に係るもの 0.0323イ 平成28年度市場公募都市以外の市町村に係るもの 0.0376BM29ア 平成29年度市場公募都市に係るもの 0.0321イ 平成29年度市場公募都市以外の市町村に係るもの 0.0379BM30ア 平成30年度市場公募都市に係るもの 0.03194イ 平成30年度市場公募都市以外の市町村に係るもの 0.03776BM令元ア 令和元年度市場公募都市に係るもの 0.03141イ 令和元年度市場公募都市以外の市町村に係るもの 0.03749BM令2ア 令和2年度市場公募都市に係るもの 0.00207イ 令和2年度市場公募都市以外の市町村に係るもの 0.00211BM令3ア 令和3年度市場公募都市に係るもの 0.00313イ 令和3年度市場公募都市以外の市町村に係るもの 0.00329BM令4ア 令和4年度市場公募都市に係るもの 0.00639イ 令和4年度市場公募都市以外の市町村に係るもの 0.00661BNn 非構造部材の耐震対策事業(特定天井分)に係る経費に充てるため平成n年度において発行について同意又は許可を得た学校教育施設等整備事業債(平成28年度及び平成29年度において発行について同意又は許可を得た補正予算債を除く。)のうち市町村立の中学校に係るものの額に相当する額(中学校費における学級数がない団体のみ適用する。)BO28ア 平成28年度市場公募都市に係るもの 0.0323イ 平成28年度市場公募都市以外の市町村に係るもの 0.0376BO29ア 平成29年度市場公募都市に係るもの 0.0321イ 平成29年度市場公募都市以外の市町村に係るもの 0.0379BPn 非構造部材の耐震対策事業(特定天井以外分)に係る経費に充てるため平成n年度において発行について同意又は許可を得た学校教育施設等整備事業債(平成28年度及び平成29年度において発行について同意又は許可を得た補正予算債を除く。)のうち市町村立の中学校に係るものの額に相当する額(中学校費における学級数がない団体のみ適用する。)BQ28ア 平成28年度市場公募都市に係るもの 0.0231イ 平成28年度市場公募都市以外の市町村に係るもの 0.0269BQ29ア 平成29年度市場公募都市に係るもの 0.0230イ 平成29年度市場公募都市以外の市町村に係るもの 0.0271BRn 補強事業に係る経費に充てるためn年度において発行について同意又は許可を得た学校教育施設等整備事業債(平成30年度から令和4年度までの各年度において発行について同意又は許可を得た補正予算債を除く。)のうち市町村立の中学校に係るものの額に相当する額(中学校費における学級数がない団体のみ適用する。)BS30ア 平成30年度市場公募都市に係るもの 0.03194イ 平成30年度市場公募都市以外の市町村に係るもの 0.03776BS令元ア 令和元年度市場公募都市に係るもの 0.03141イ 令和元年度市場公募都市以外の市町村に係るもの 0.03749BS令2ア 令和2年度市場公募都市に係るもの 0.00207イ 令和2年度市場公募都市以外の市町村に係るもの 0.00211BS令3ア 令和3年度市場公募都市に係るもの 0.00313イ 令和3年度市場公募都市以外の市町村に係るもの 0.00329BS令4ア 令和4年度市場公募都市に係るもの 0.00639イ 令和4年度市場公募都市以外の市町村に係るもの 0.00661BTn 防災機能強化事業に係る経費に充てるためn年度において発行について同意又は許可を得た学校教育施設等整備事業債(平成30年度から令和4年度までの各年度において発行について同意又は許可を得た補正予算債を除く。)のうち市町村立の中学校に係るものの額に相当する額(中学校費における学級数がない団体のみ適用する。)BU30ア 平成30年度市場公募都市に係るもの 0.03194イ 平成30年度市場公募都市以外の市町村に係るもの 0.03776BU令元ア 令和元年度市場公募都市に係るもの 0.03141イ 令和元年度市場公募都市以外の市町村に係るもの 0.03749BU令2ア 令和2年度市場公募都市に係るもの 0.00207イ 令和2年度市場公募都市以外の市町村に係るもの 0.00211BU令3ア 令和3年度市場公募都市に係るもの 0.00313イ 令和3年度市場公募都市以外の市町村に係るもの 0.00329BU令4ア 令和4年度市場公募都市に係るもの 0.00639イ 令和4年度市場公募都市以外の市町村に係るもの 0.00661BV令2 国庫の補助金を受けて施行した公立学校情報通信ネットワーク環境施設整備事業に係る経費に充てるため令和2年度において発行について同意又は許可を得た学校教育施設等整備事業債(同年度において発行について同意又は許可を得た補正予算債を除く。)のうち中学校に係るものの額に相当する額(中学校費における学級数がない団体のみ適用する。)BW令2ア 令和2年度市場公募都市に係るもの 0.00207イ 令和2年度市場公募都市以外の市町村に係るもの 0.00211BX 昭和46年度から昭和60年度までの各年度において、当該年度の旧生徒急増区域を包括する市町村が当該旧生徒急増区域内における学校用地取得のために発行を許可された義務教育施設整備事業債(公害防止事業債、昭和46年度、昭和47年度及び昭和50年度から昭和60年度までの各年度において地方税の減収に伴い発行を許可された地方債、昭和50年度から昭和57年度までの各年度において財政健全化のため発行を許可された地方債、地域財政特例対策債、臨時財政特例債、符号AMにおいて別表第3の13に定める乗率を乗じて得た額を譲受代金とした中学校に係る地方債並びに昭和59年度及び昭和60年度に取得した学校用地面積が2,000平方メートル未満である学校用地に係る地方債を除く。)及び昭和61年度から平成10年度までの各年度において、過去生徒急増市町村(昭和48年度から平成10年度までの間において生徒急増市町村(生徒急増区域(学校基本調査規則によつて調査したその年の5月1日現在の生徒数が3年前の5月1日現在の生徒数に比し、15パーセント以上かつ150人以上、10パーセント以上かつ250人以上又は5パーセント以上かつ500人以上増加している市町村(指定都市の区(総合区を含む。)のうち当該区を市町村とみなした場合に、これらに該当することとなるものを含む。)の区域をいう。)を包括する市町村をいう。)に該当したことがある市町村をいう。)又は過去生徒急増市町村以外で財政力指数(基準財政収入額を基準財政需要額で除して得た数値で当該年度前3年度内の各年度に係るものを合算して得たものを3で除して得た数値をいう。)が1.00以下の市町村が過大規模校(市町村立の中学校のうち、当該年度の5月1日現在においてその学級(特殊学級を含む。)の数が31以上(生徒急増市町村の設置する中学校にあつては25以上。以下この号において同じ。)のもの又は同日から2年を経過した日(当該年度の5月2日以降住宅の建設等に伴い新たに学級数が増加することが見込まれる場合にあつては当該年度の4月1日から起算して5年を経過した日)までにその学級の数が31以上となることが見込まれるものをいう。)の分離等に必要な学校用地取得のため発行を許可された義務教育施設整備事業債(公害防止事業債、昭和61年度、昭和62年度、平成2年度及び平成4年度から平成10年度までの各年度において地方税の減収に伴い発行を許可された地方債、財源対策債、地域財政特例対策債、臨時財政特例債並びに符号AMにおいて別表第3の13に定める乗率を乗じて得た額を譲受代金とした中学校に係る地方債を除く。)の当該年度における元利償還金(中学校費における学級数がない団体のみ適用する。)BY 前年度以前の年度における符号AMに規定する年次支払額で過大又は過少に係るものとして総務大臣が通知した額(中学校費における学級数がない団体のみ適用する。)
 九 中学校費学級数算式
算式の符号A 測定単位の数値B 立替施行者が立替施行をした中学校の施設(用地を含む。)の譲受代金(当該市町村が当該中学校を建設したとみなした場合に一般財源所要額として基準財政需要額に算入されるべき地方負担額又は当該地方負担額に別表第3の13に定める率を乗じて得た額)の当該年度における年次支払額(当該中学校の建設に係る当該市町村と立替施行者との譲受代金の支払契約の例により算定した当該年度の支払額)として都道府県知事の申告に基づき総務大臣が通知した額C 義務教育諸学校施設費国庫負担法第3条第1項(第3号を除く。)に規定する施設に係る経費に充てるため平成3年度以前及び平成6年度から平成11年度までの間において発行を許可された地方債(災害復旧事業債、辺地対策事業債、過疎対策事業債、昭和46年度、昭和47年度、昭和50年度から昭和62年度まで、平成2年度、平成3年度及び平成6年度から平成11年度までの各年度において地方税の減収に伴い発行を許可された地方債、昭和50年度から昭和57年度までの各年度において財政健全化のため発行を許可された地方債、財源対策債、昭和50年度補正予算債、昭和52年度補正予算債、昭和53年度補正予算債、平成6年度から平成11年度までの各年度において発行を許可された補正予算債、地域財政特例対策債、臨時財政特例債並びに符号Bにおいて別表第3の13に定める乗率を乗じて得た額を譲受代金とした中学校に係るものを除く。)のうち政府資金に係るもの(平成11年度の臨時特例措置として行われた政府資金の繰上償還に係るものを除く。)で市町村立の中学校に係るものの当該年度における元利償還金D 義務教育諸学校施設費国庫負担法第3条第1項(第3号を除く。)に規定する施設に係る経費に充てるため平成4年度及び平成5年度に発行を許可された地方債(災害復旧事業債、辺地対策事業債、過疎対策事業債、平成4年度及び平成5年度において地方税の減収に伴い発行を許可された地方債、平成4年度補正予算債及び平成5年度補正予算債、臨時財政特例債、公共事業等臨時特例債並びに符号Bにおいて別表第3の13に定める乗率を乗じて得た額を譲受代金とした中学校に係るものを除く。)のうち市町村立の中学校に係るものの当該年度における元利償還金E 市町村立の中学校の大規模改造事業の地方単独分に係る経費に充てるため平成4年度から平成11年度までの各年度において発行を許可された学校教育施設等整備事業債等の当該年度の元利償還金F 昭和63年度から平成3年度までの各年度及び平成6年度から平成11年度までの各年度において発行について許可を得た水泳プール(屋外)に係る学校教育施設等整備事業債等(公害防止事業債、臨時財政特例債及び符号Bにおいて別表第3の13に定める乗率を乗じて得た額を讓受代金とした中学校に係る地方債を除く。)のうち政府資金に係るもの(平成11年度の臨時特例措置として行われた政府資金の繰上償還に係るものを除く。)で市町村立の中学校に係るものの当該年度における元利償還金Gn 義務教育諸学校施設費国庫負担法第3条第1項(第3号を除く。)に規定する施設に係る経費に充てるためn年度において発行について同意又は許可を得た地方債(災害復旧事業債、辺地対策事業債、過疎対策事業債、平成12年度から令和4年度までの各年度において地方税の減収に伴い発行について同意又は許可を得た地方債、財源対策債、平成12年度から平成14年度までの各年度及び平成16年度から令和4年度までの各年度において発行について同意又は許可を得た補正予算債、臨時財政特例債並びに符号Bにおいて別表第3の13に定める乗率を乗じて得た額を譲受代金とした中学校に係るものを除く。)の額に相当する額(平成12年度において発行を許可されたもの(平成11年度の臨時特例措置として行われた政府資金の繰上償還に係るものを除く。)については、政府資金に係るものに限る。)H12=0.0379H13=0.0383H14=0.0351H15=0.0277H16=0.0183H17ア 平成17年度市場公募都市に係るもの 0.0332イ 平成17年度市場公募都市以外の市町村に係るもの 0.0177H18ア 平成18年度市場公募都市に係るもの 0.0334イ 平成18年度市場公募都市以外の市町村に係るもの 0.0209H19ア 平成19年度市場公募都市に係るもの 0.0336イ 平成19年度市場公募都市以外の市町村に係るもの 0.0209H20ア 平成20年度市場公募都市に係るもの 0.03433イ 平成20年度市場公募都市以外の市町村に係るもの 0.04064H21ア 平成21年度市場公募都市に係るもの 0.03449イ 平成21年度市場公募都市以外の市町村に係るもの 0.04024H22ア 平成22年度市場公募都市に係るもの 0.03354イ 平成22年度市場公募都市以外の市町村に係るもの 0.03998H23ア 平成23年度市場公募都市に係るもの 0.03370イ 平成23年度市場公募都市以外の市町村に係るもの 0.03949H24ア 平成24年度市場公募都市に係るもの 0.03498イ 平成24年度市場公募都市以外の市町村に係るもの 0.03864H25ア 平成25年度市場公募都市に係るもの 0.0355イ 平成25年度市場公募都市以外の市町村に係るもの 0.0384H26ア 平成26年度市場公募都市に係るもの 0.0348イ 平成26年度市場公募都市以外の市町村に係るもの 0.0374H27ア 平成27年度市場公募都市に係るもの 0.0323イ 平成27年度市場公募都市以外の市町村に係るもの 0.0370H28ア 平成28年度市場公募都市に係るもの 0.0323イ 平成28年度市場公募都市以外の市町村に係るもの 0.0376H29ア 平成29年度市場公募都市に係るもの 0.0321イ 平成29年度市場公募都市以外の市町村に係るもの 0.0379H30ア 平成30年度市場公募都市に係るもの 0.03194イ 平成30年度市場公募都市以外の市町村に係るもの 0.03776H令元ア 令和元年度市場公募都市に係るもの 0.03141イ 令和元年度市場公募都市以外の市町村に係るもの 0.03749H令2ア 令和2年度市場公募都市に係るもの 0.00207イ 令和2年度市場公募都市以外の市町村に係るもの 0.00211H令3ア 令和3年度市場公募都市に係るもの 0.00313イ 令和3年度市場公募都市以外の市町村に係るもの 0.00329H令4ア 令和4年度市場公募都市に係るもの 0.00639イ 令和4年度市場公募都市以外の市町村に係るもの 0.00661In n年度において発行について同意又は許可を得た学校教育施設等整備事業債等(平成15年度から令和4年度までの各年度において地方税の減収に伴い発行について同意又は許可を得た地方債及び平成16年度から令和4年度までの各年度において発行について同意又は許可を得た補正予算債を除く。)のうち市町村立の中学校の大規模改造事業の地方単独分に係るものの額に相当する額J15=0.0119J16=0.0078J17ア 平成17年度市場公募都市に係るもの 0.0142イ 平成17年度市場公募都市以外の市町村に係るもの 0.0076J18ア 平成18年度市場公募都市に係るもの 0.0143イ 平成18年度市場公募都市以外の市町村に係るもの 0.0089J19ア 平成19年度市場公募都市に係るもの 0.0144イ 平成19年度市場公募都市以外の市町村に係るもの 0.0090J20ア 平成20年度市場公募都市に係るもの 0.01471イ 平成20年度市場公募都市以外の市町村に係るもの 0.01742J21ア 平成21年度市場公募都市に係るもの 0.01478イ 平成21年度市場公募都市以外の市町村に係るもの 0.01725J22ア 平成22年度市場公募都市に係るもの 0.01437イ 平成22年度市場公募都市以外の市町村に係るもの 0.01713J23ア 平成23年度市場公募都市に係るもの 0.01444イ 平成23年度市場公募都市以外の市町村に係るもの 0.01693J24ア 平成24年度市場公募都市に係るもの 0.01499イ 平成24年度市場公募都市以外の市町村に係るもの 0.01656J25ア 平成25年度市場公募都市に係るもの 0.0152イ 平成25年度市場公募都市以外の市町村に係るもの 0.0164J26ア 平成26年度市場公募都市に係るもの 0.0149イ 平成26年度市場公募都市以外の市町村に係るもの 0.0160J27ア 平成27年度市場公募都市に係るもの 0.0138イ 平成27年度市場公募都市以外の市町村に係るもの 0.0158J28ア 平成28年度市場公募都市に係るもの 0.0139イ 平成28年度市場公募都市以外の市町村に係るもの 0.0161J29ア 平成29年度市場公募都市に係るもの 0.0230イ 平成29年度市場公募都市以外の市町村に係るもの 0.0271J30ア 平成30年度市場公募都市に係るもの 0.02282イ 平成30年度市場公募都市以外の市町村に係るもの 0.02697J令元ア 令和元年度市場公募都市に係るもの 0.02244イ 令和元年度市場公募都市以外の市町村に係るもの 0.02678J令2ア 令和2年度市場公募都市に係るもの 0.00148イ 令和2年度市場公募都市以外の市町村に係るもの 0.00151J令3ア 令和3年度市場公募都市に係るもの 0.00224イ 令和3年度市場公募都市以外の市町村に係るもの 0.00235J令4ア 令和4年度市場公募都市に係るもの 0.00457イ 令和4年度市場公募都市以外の市町村に係るもの 0.00472Kn 国庫の補助金を受けて施行した大規模改造事業(障害児等対策施設整備工事を除く。)に係る経費に充てるためn年度において発行について同意又は許可を得た学校教育施設等整備事業債等(平成29年度から令和4年度までの各年度において地方税の減収に伴い発行について同意又は許可を得た地方債及び平成29年度から令和4年度までの各年度において発行について同意又は許可を得た補正予算債を除く。)のうち市町村立の中学校に係るものの額に相当する額L29ア 平成29年度市場公募都市に係るもの 0.0138イ 平成29年度市場公募都市以外の市町村に係るもの 0.0162L30ア 平成30年度市場公募都市に係るもの 0.01369イ 平成30年度市場公募都市以外の市町村に係るもの 0.01618L令元ア 令和元年度市場公募都市に係るもの 0.01346イ 令和元年度市場公募都市以外の市町村に係るもの 0.01607L令2ア 令和2年度市場公募都市に係るもの 0.00089イ 令和2年度市場公募都市以外の市町村に係るもの 0.00090L令3ア 令和3年度市場公募都市に係るもの 0.00134イ 令和3年度市場公募都市以外の市町村に係るもの 0.00141L令4ア 令和4年度市場公募都市に係るもの 0.00274イ 令和4年度市場公募都市以外の市町村に係るもの 0.00283Mn 国庫の補助金を受けて施行した大規模改造事業のうち、障害児等対策施設整備工事に係る経費に充てるためn年度において発行について同意又は許可を得た学校教育施設等整備事業債(令和3年度及び令和4年度において地方税の減収に伴い発行について同意又は許可を得た地方債並びに令和3年度及び令和4年度において発行について同意又は許可を得た補正予算債を除く。)のうち市町村立の中学校に係るものの額に相当する額N令3ア 令和3年度市場公募都市に係るもの 0.00313イ 令和3年度市場公募都市以外の市町村に係るもの 0.00329N令4ア 令和4年度市場公募都市に係るもの 0.00639イ 令和4年度市場公募都市以外の市町村に係るもの 0.00661On 平成n年度において発行について同意又は許可を得た水泳プール(屋外)に係る学校教育施設等整備事業債等(公害防止事業債、財源対策債、平成16年度から平成28年度までの各年度において発行について同意又は許可を得た補正予算債、臨時財政特例債及び符号Bにおいて別表第3の13に定める乗率を乗じて得た額を譲受代金とした中学校に係る地方債を除く。)のうち市町村立の中学校に係るものの額に相当する額(平成22年度から平成28年度までの各年度において発行について同意又は許可を得たものについては、平成21年度以前に着手した継続の整備事業等の地方債の額として総務大臣が調査したものに限る。)P15=0.0119P16=0.0078P17ア 平成17年度市場公募都市に係るもの 0.0142イ 平成17年度市場公募都市以外の市町村に係るもの 0.0076P18ア 平成18年度市場公募都市に係るもの 0.0143イ 平成18年度市場公募都市以外の市町村に係るもの 0.0089P19ア 平成19年度市場公募都市に係るもの 0.0144イ 平成19年度市場公募都市以外の市町村に係るもの 0.0090P20ア 平成20年度市場公募都市に係るもの 0.01471イ 平成20年度市場公募都市以外の市町村に係るもの 0.01742P21ア 平成21年度市場公募都市に係るもの 0.01478イ 平成21年度市場公募都市以外の市町村に係るもの 0.01725P22ア 平成22年度市場公募都市に係るもの 0.01437イ 平成22年度市場公募都市以外の市町村に係るもの 0.01713P23ア 平成23年度市場公募都市に係るもの 0.01444イ 平成23年度市場公募都市以外の市町村に係るもの 0.01693P24ア 平成24年度市場公募都市に係るもの 0.01499イ 平成24年度市場公募都市以外の市町村に係るもの 0.01656P25ア 平成25年度市場公募都市に係るもの 0.0152イ 平成25年度市場公募都市以外の市町村に係るもの 0.0164P26ア 平成26年度市場公募都市に係るもの 0.0149イ 平成26年度市場公募都市以外の市町村に係るもの 0.0160P27ア 平成27年度市場公募都市に係るもの 0.0138イ 平成27年度市場公募都市以外の市町村に係るもの 0.0158P28ア 平成28年度市場公募都市に係るもの 0.0139イ 平成28年度市場公募都市以外の市町村に係るもの 0.0161Qn 平成n年度において発行について同意又は許可を得た学校給食施設に係る学校教育施設等整備事業債等(災害復旧事業債、辺地対策事業債、過疎対策事業債、平成15年度から平成28年度までの各年度において地方税の減収に伴い発行について同意又は許可を得た地方債、公害防止事業債、財源対策債、平成16年度から平成28年度までの各年度において発行について同意又は許可を得た補正予算債及び符号Bにおいて別表第3の13に定める乗率を乗じて得た額を譲受代金とした中学校に係る地方債を除く。)のうち市町村立の中学校に係るものの額に相当する額(平成22年度から平成28年度までの各年度において発行について同意又は許可を得たものについては、平成21年度以前に着手した継続の整備事業等の地方債の額として総務大臣が調査したものに限る。)R15=0.0079R16=0.0052R17ア 平成17年度市場公募都市に係るもの 0.0095イ 平成17年度市場公募都市以外の市町村に係るもの 0.0051R18ア 平成18年度市場公募都市に係るもの 0.0095イ 平成18年度市場公募都市以外の市町村に係るもの 0.0060R19ア 平成19年度市場公募都市に係るもの 0.0096イ 平成19年度市場公募都市以外の市町村に係るもの 0.0060R20ア 平成20年度市場公募都市に係るもの 0.00981イ 平成20年度市場公募都市以外の市町村に係るもの 0.01161R21ア 平成21年度市場公募都市に係るもの 0.00985イ 平成21年度市場公募都市以外の市町村に係るもの 0.01150R22ア 平成22年度市場公募都市に係るもの 0.00958イ 平成22年度市場公募都市以外の市町村に係るもの 0.01142R23ア 平成23年度市場公募都市に係るもの 0.00963イ 平成23年度市場公募都市以外の市町村に係るもの 0.01128R24ア 平成24年度市場公募都市に係るもの 0.00999イ 平成24年度市場公募都市以外の市町村に係るもの 0.01104R25ア 平成25年度市場公募都市に係るもの 0.0101イ 平成25年度市場公募都市以外の市町村に係るもの 0.0110R26ア 平成26年度市場公募都市に係るもの 0.0100イ 平成26年度市場公募都市以外の市町村に係るもの 0.0107R27ア 平成27年度市場公募都市に係るもの 0.0092イ 平成27年度市場公募都市以外の市町村に係るもの 0.0106R28ア 平成28年度市場公募都市に係るもの 0.0092イ 平成28年度市場公募都市以外の市町村に係るもの 0.0107Sn 一般財源化された公立学校施設整備補助金(不適格建物改築事業に係るものに限る。)に係る施設整備事業に充てるため平成n年度において発行について同意又は許可を得た地方債の額に相当する額T18ア 平成18年度市場公募都市に係るもの 0.0380イ 平成18年度市場公募都市以外の市町村に係るもの 0.0000T19ア 平成19年度市場公募都市に係るもの 0.0381イ 平成19年度市場公募都市以外の市町村に係るもの 0.0000T20ア 平成20年度市場公募都市に係るもの 0.04259イ 平成20年度市場公募都市以外の市町村に係るもの 0.05951T21ア 平成21年度市場公募都市に係るもの 0.04799イ 平成21年度市場公募都市以外の市町村に係るもの 0.06223T22ア 平成22年度市場公募都市に係るもの 0.04687イ 平成22年度市場公募都市以外の市町村に係るもの 0.06257Un 平成n年度において発行について同意又は許可を得た武道場に係る学校教育施設等整備事業債(過疎対策事業債及び平成21年度から平成28年度までの各年度において発行について同意又は許可を得た補正予算債を除く。)のうち市町村立の中学校に係るものの額に相当する額(平成22年度から平成28年度までの各年度において発行について同意又は許可を得たものについては、平成21年度以前に着手した継続の整備事業等の地方債の額として総務大臣が調査したものに限る。)V21ア 平成21年度市場公募都市に係るもの 0.01478イ 平成21年度市場公募都市以外の市町村に係るもの 0.01725V22ア 平成22年度市場公募都市に係るもの 0.01437イ 平成22年度市場公募都市以外の市町村に係るもの 0.01713V23ア 平成23年度市場公募都市に係るもの 0.01444イ 平成23年度市場公募都市以外の市町村に係るもの 0.01693V24ア 平成24年度市場公募都市に係るもの 0.01499イ 平成24年度市場公募都市以外の市町村に係るもの 0.01656V25ア 平成25年度市場公募都市に係るもの 0.0152イ 平成25年度市場公募都市以外の市町村に係るもの 0.0164V26ア 平成26年度市場公募都市に係るもの 0.0149イ 平成26年度市場公募都市以外の市町村に係るもの 0.0160V27ア 平成27年度市場公募都市に係るもの 0.0138イ 平成27年度市場公募都市以外の市町村に係るもの 0.0158V28ア 平成28年度市場公募都市に係るもの 0.0139イ 平成28年度市場公募都市以外の市町村に係るもの 0.0161Wn 平成n年度において発行について同意又は許可を得た学校教育施設等整備事業債等(過疎対策事業債及び平成21年度から平成23年度までの各年度において発行について同意又は許可を得た補正予算債を除く。)のうち市町村立の中学校の公共施設等地上デジタル放送移行対策事業に係るものの額に相当する額X21ア 平成21年度市場公募都市に係るもの 0.01478イ 平成21年度市場公募都市以外の市町村に係るもの 0.01725X22ア 平成22年度市場公募都市に係るもの 0.01437イ 平成22年度市場公募都市以外の市町村に係るもの 0.01713X23ア 平成23年度市場公募都市に係るもの 0.01444イ 平成23年度市場公募都市以外の市町村に係るもの 0.01693Yn 地防法に基づく国庫補助率のかさ上げが行われる事業(平成30年度以前はIs値0.3以上のものに限り、令和元年度以降は水泳プール(屋外)の新改築に係るものに限る。)に係る経費に充てるためn年度において発行について同意又は許可を得た学校教育施設等整備事業債(平成18年度から令和4年度までの各年度において発行について同意又は許可を得た補正予算債を除く。)のうち市町村立の中学校に係るものの額に相当する額Z18ア 平成18年度市場公募都市に係るもの 0.0239イ 平成18年度市場公募都市以外の市町村に係るもの 0.0149Z19ア 平成19年度市場公募都市に係るもの 0.0240イ 平成19年度市場公募都市以外の市町村に係るもの 0.0150Z20ア 平成20年度市場公募都市に係るもの 0.02452イ 平成20年度市場公募都市以外の市町村に係るもの 0.02903Z21ア 平成21年度市場公募都市に係るもの 0.02464イ 平成21年度市場公募都市以外の市町村に係るもの 0.02875Z22ア 平成22年度市場公募都市に係るもの 0.02396イ 平成22年度市場公募都市以外の市町村に係るもの 0.02856Z23ア 平成23年度市場公募都市に係るもの 0.02407イ 平成23年度市場公募都市以外の市町村に係るもの 0.02821Z24ア 平成24年度市場公募都市に係るもの 0.02499イ 平成24年度市場公募都市以外の市町村に係るもの 0.02760Z25ア 平成25年度市場公募都市に係るもの 0.0254イ 平成25年度市場公募都市以外の市町村に係るもの 0.0274Z26ア 平成26年度市場公募都市に係るもの 0.0249イ 平成26年度市場公募都市以外の市町村に係るもの 0.0267Z27ア 平成27年度市場公募都市に係るもの 0.0231イ 平成27年度市場公募都市以外の市町村に係るもの 0.0264Z28ア 平成28年度市場公募都市に係るもの 0.0231イ 平成28年度市場公募都市以外の市町村に係るもの 0.0269Z29ア 平成29年度市場公募都市に係るもの 0.0230イ 平成29年度市場公募都市以外の市町村に係るもの 0.0271Z30ア 平成30年度市場公募都市に係るもの 0.02282イ 平成30年度市場公募都市以外の市町村に係るもの 0.02697Z令元ア 令和元年度市場公募都市に係るもの 0.02244イ 令和元年度市場公募都市以外の市町村に係るもの 0.02678Z令2ア 令和2年度市場公募都市に係るもの 0.00148イ 令和2年度市場公募都市以外の市町村に係るもの 0.00151Z令3ア 令和3年度市場公募都市に係るもの 0.00224イ 令和3年度市場公募都市以外の市町村に係るもの 0.00235Z令4ア 令和4年度市場公募都市に係るもの 0.00457イ 令和4年度市場公募都市以外の市町村に係るもの 0.00472AAn 地防法に基づく国庫補助率のかさ上げが行われる事業(Is値0.3未満のもの(令和元年度以降にあつては、校舎、屋内運動場又は寄宿舎の改築に係るものに限る。)に限る。)に係る経費に充てるためn年度において発行について同意又は許可を得た学校教育施設等整備事業債(平成20年度から令和4年度までの各年度において発行について同意又は許可を得た補正予算債を除く。)のうち市町村立の中学校に係るものの額に相当する額AB20ア 平成20年度市場公募都市に係るもの 0.03433イ 平成20年度市場公募都市以外の市町村に係るもの 0.04064AB21ア 平成21年度市場公募都市に係るもの 0.03449イ 平成21年度市場公募都市以外の市町村に係るもの 0.04024AB22ア 平成22年度市場公募都市に係るもの 0.03354イ 平成22年度市場公募都市以外の市町村に係るもの 0.03998AB23ア 平成23年度市場公募都市に係るもの 0.03370イ 平成23年度市場公募都市以外の市町村に係るもの 0.03949AB24ア 平成24年度市場公募都市に係るもの 0.03498イ 平成24年度市場公募都市以外の市町村に係るもの 0.03864AB25ア 平成25年度市場公募都市に係るもの 0.0355イ 平成25年度市場公募都市以外の市町村に係るもの 0.0384AB26ア 平成26年度市場公募都市に係るもの 0.0348イ 平成26年度市場公募都市以外の市町村に係るもの 0.0374AB27ア 平成27年度市場公募都市に係るもの 0.0323イ 平成27年度市場公募都市以外の市町村に係るもの 0.0370AB28ア 平成28年度市場公募都市に係るもの 0.0323イ 平成28年度市場公募都市以外の市町村に係るもの 0.0376AB29ア 平成29年度市場公募都市に係るもの 0.0321イ 平成29年度市場公募都市以外の市町村に係るもの 0.0379AB30ア 平成30年度市場公募都市に係るもの 0.03194イ 平成30年度市場公募都市以外の市町村に係るもの 0.03776AB令元ア 令和元年度市場公募都市に係るもの 0.03141イ 令和元年度市場公募都市以外の市町村に係るもの 0.03749AB令2ア 令和2年度市場公募都市に係るもの 0.00207イ 令和2年度市場公募都市以外の市町村に係るもの 0.00211AB令3ア 令和3年度市場公募都市に係るもの 0.00313イ 令和3年度市場公募都市以外の市町村に係るもの 0.00329AB令4ア 令和4年度市場公募都市に係るもの 0.00639イ 令和4年度市場公募都市以外の市町村に係るもの 0.00661ACn 非構造部材の耐震対策事業(特定天井分)に係る経費に充てるため平成n年度において発行について同意又は許可を得た学校教育施設等整備事業債(平成28年度及び平成29年度において発行について同意又は許可を得た補正予算債を除く。)のうち市町村立の中学校に係るものの額に相当する額AD28ア 平成28年度市場公募都市に係るもの 0.0323イ 平成28年度市場公募都市以外の市町村に係るもの 0.0376AD29ア 平成29年度市場公募都市に係るもの 0.0321イ 平成29年度市場公募都市以外の市町村に係るもの 0.0379AEn 非構造部材の耐震対策事業(特定天井以外分)に係る経費に充てるため平成n年度において発行について同意又は許可を得た学校教育施設等整備事業債(平成28年度及び平成29年度において発行について同意又は許可を得た補正予算債を除く。)のうち市町村立の中学校に係るものの額に相当する額AF28ア 平成28年度市場公募都市に係るもの 0.0231イ 平成28年度市場公募都市以外の市町村に係るもの 0.0269AF29ア 平成29年度市場公募都市に係るもの 0.0230イ 平成29年度市場公募都市以外の市町村に係るもの 0.0271AGn 補強事業に係る経費に充てるためn年度において発行について同意又は許可を得た学校教育施設等整備事業債(平成30年度から令和4年度までの各年度において発行について同意又は許可を得た補正予算債を除く。)のうち市町村立の中学校に係るものの額に相当する額AH30ア 平成30年度市場公募都市に係るもの 0.03194イ 平成30年度市場公募都市以外の市町村に係るもの 0.03776AH令元ア 令和元年度市場公募都市に係るもの 0.03141イ 令和元年度市場公募都市以外の市町村に係るもの 0.03749AH令2ア 令和2年度市場公募都市に係るもの 0.00207イ 令和2年度市場公募都市以外の市町村に係るもの 0.00211AH令3ア 令和3年度市場公募都市に係るもの 0.00313イ 令和3年度市場公募都市以外の市町村に係るもの 0.00329AH令4ア 令和4年度市場公募都市に係るもの 0.00639イ 令和4年度市場公募都市以外の市町村に係るもの 0.00661AIn 防災機能強化事業に係る経費に充てるためn年度において発行について同意又は許可を得た学校教育施設等整備事業債(平成30年度から令和4年度までの各年度において発行について同意又は許可を得た補正予算債を除く。)のうち市町村立の中学校に係るものの額に相当する額AJ30ア 平成30年度市場公募都市に係るもの 0.03194イ 平成30年度市場公募都市以外の市町村に係るもの 0.03776AJ令元ア 令和元年度市場公募都市に係るもの 0.03141イ 令和元年度市場公募都市以外の市町村に係るもの 0.03749AJ令2ア 令和2年度市場公募都市に係るもの 0.00207イ 令和2年度市場公募都市以外の市町村に係るもの 0.00211AJ令3ア 令和3年度市場公募都市に係るもの 0.00313イ 令和3年度市場公募都市以外の市町村に係るもの 0.00329AJ令4ア 令和4年度市場公募都市に係るもの 0.00639イ 令和4年度市場公募都市以外の市町村に係るもの 0.00661AK令2 国庫の補助金を受けて施行した公立学校情報通信ネットワーク環境施設整備事業に係る経費に充てるため令和2年度において発行について同意又は許可を得た学校教育施設等整備事業債(同年度において発行について同意又は許可を得た補正予算債を除く。)のうち中学校に係るものの額に相当する額AL令2ア 令和2年度市場公募都市に係るもの 0.00207イ 令和2年度市場公募都市以外の市町村に係るもの 0.00211AM 昭和46年度から昭和60年度までの各年度において、当該年度の旧生徒急増区域を包括する市町村が当該旧生徒急増区域内における学校用地取得のために発行を許可された義務教育施設整備事業債(公害防止事業債、昭和46年度、昭和47年度及び昭和50年度から昭和60年度までの各年度において地方税の減収に伴い発行を許可された地方債、昭和50年度から昭和57年度までの各年度において財政健全化のため発行を許可された地方債、地域財政特例対策債、臨時財政特例債、符号Bにおいて別表第3の13に定める乗率を乗じて得た額を譲受代金とした中学校に係る地方債並びに昭和59年度及び昭和60年度に取得した学校用地面積が2,000平方メートル未満である学校用地に係る地方債を除く。)及び昭和61年度から平成10年度までの各年度において、過去生徒急増市町村(昭和48年度から平成10年度までの間において生徒急増市町村(生徒急増区域(学校基本調査規則によつて調査したその年の5月1日現在の生徒数が3年前の5月1日現在の生徒数に比し、15パーセント以上かつ150人以上、10パーセント以上かつ250人以上又は5パーセント以上かつ500人以上増加している市町村(指定都市の区(総合区を含む。)のうち当該区を市町村とみなした場合に、これらに該当することとなる当該区を含む。)の区域をいう。)を包括する市町村をいう。)に該当したことがある市町村をいう。)又は過去生徒急増市町村以外で財政力指数(基準財政収入額を基準財政需要額で除して得た数値で当該年度前3年度内の各年度に係るものを合算して得たものを3で除して得た数値をいう。)が1.00以下の市町村が過大規模校(市町村立の中学校のうち、当該年度の5月1日現在においてその学級(特殊学級を含む。)の数が31以上(生徒急増市町村の設置する中学校にあつては25以上。以下この号において同じ。)のもの又は当該日から2年を経過した日(当該日の翌日以降住宅の建設等に伴い新たに学級数が増加することが見込まれる場合にあつては当該年度の4月1日から起算して5年を経過した日)までにその学級の数が31以上となることが見込まれるものをいう。)の分離等に必要な学校用地取得のため発行を許可された義務教育施設整備事業債(公害防止事業債、昭和61年度、昭和62年度、平成2年度及び平成4年度から平成10年度までの各年度において地方税の減収に伴い発行を許可された地方債、財源対策債、地域財政特例対策債、臨時財政特例債並びに符号Bにおいて別表第3の13に定める乗率を乗じて得た額を譲受代金とした中学校に係る地方債を除く。)の当該年度における元利償還金AN 前年度以前の年度における符号Bに規定する年次支払額で過大又は過少に係るものとして総務大臣が通知した額AO 立替施行者が立替施行をした小学校の施設(用地を含む。)の譲受代金(当該市町村が当該小学校を建設したとみなした場合に一般財源所要額として基準財政需要額に算入されるべき地方負担額又は当該地方負担額に別表第3の13に定める率を乗じて得た額)の当該年度における年次支払額(当該小学校の建設に係る当該市町村と立替施行者との譲受代金の支払契約の例により算定した当該年度の支払額)として都道府県知事の申告に基づき総務大臣が通知した額(小学校費における学級数がない団体のみ適用する。)AP 義務教育諸学校施設費国庫負担法第3条第1項(第3号を除く。)に規定する施設に係る経費に充てるため平成3年度以前及び平成6年度から平成11年度までの間において発行を許可された地方債(災害復旧事業債、辺地対策事業債、過疎対策事業債、昭和46年度、昭和47年度、昭和50年度から昭和62年度まで、平成2年度、平成3年度及び平成6年度から平成11年度までの各年度において地方税の減収に伴い発行を許可された地方債、昭和50年度から昭和57年度までの各年度において財政健全化のため発行を許可された地方債、財源対策債、昭和50年度補正予算債、昭和52年度補正予算債、昭和53年度補正予算債、平成6年度から平成11年度までの各年度において発行を許可された補正予算債、地域財政特例対策債、臨時財政特例債並びに符号AOにおいて別表第3の13に定める乗率を乗じて得た額を譲受代金とした小学校に係るものを除く。)のうち政府資金に係るもの(平成11年度の臨時特例措置として行われた政府資金の繰上償還に係るものを除く。)で市町村立の小学校に係るものの当該年度における元利償還金(小学校費における学級数がない団体のみ適用する。)AQ 義務教育諸学校施設費国庫負担法第3条第1項(第3号を除く。)に規定する施設に係る経費に充てるため平成4年度及び平成5年度に発行を許可された地方債(災害復旧事業債、辺地対策事業債、過疎対策事業債、平成4年度及び平成5年度において地方税の減収に伴い発行を許可された地方債、平成4年度補正予算債、平成5年度補正予算債、臨時財政特例債、公共事業等臨時特例債並びに符号AOにおいて別表第3の13に定める乗率を乗じて得た額を譲受代金とした小学校に係るものを除く。)のうち市町村立の小学校に係るものの当該年度における元利償還金(小学校費における学級数がない団体のみ適用する。)AR 市町村立の小学校の大規模改造事業の地方単独分に係る経費に充てるため平成4年度から平成11年度までの各年度において発行を許可された学校教育施設等整備事業債等の当該年度の元利償還金(小学校費における学級数がない団体のみ適用する。)AS 昭和63年度から平成3年度までの各年度及び平成6年度から平成11年度までの間において発行を許可された水泳プール(屋外)に係る学校教育施設等整備事業債等(公害防止事業債、臨時財政特例債及び符号AOにおいて別表第3の13に定める乗率を乗じて得た額を譲受代金とした小学校に係る地方債を除く。)のうち政府資金に係るもの(平成11年度の臨時特例措置として行われた政府資金の繰上償還に係るものを除く。)で市町村立の小学校に係るものの当該年度における元利償還金(小学校費における学級数がない団体のみ適用する。)ATn 義務教育諸学校施設費国庫負担法第3条第1項(第3号を除く。)に規定する施設に係る経費に充てるためn年度において発行について同意又は許可を得た地方債(災害復旧事業債、辺地対策事業債、過疎対策事業債、平成12年度から令和4年度までの各年度において地方税の減収に伴い発行について同意又は許可を得た地方債、財源対策債、平成12年度から平成14年度までの各年度及び平成16年度から令和4年度までの各年度において発行について同意又は許可を得た補正予算債、臨時財政特例債並びに符号AOにおいて別表第3の13に定める乗率を乗じて得た額を譲受代金とした小学校に係るものを除く。)の額に相当する額(平成12年度において発行を許可されたもの(平成11年度の臨時特例措置として行われた政府資金の繰上償還に係るものを除く。)については、政府資金に係るものに限る。)(小学校費における学級数がない団体のみ適用する。)AU12=0.0379AU13=0.0383AU14=0.0351AU15=0.0277AU16=0.0183AU17ア 平成17年度市場公募都市に係るもの 0.0332イ 平成17年度市場公募都市以外の市町村に係るもの 0.0177AU18ア 平成18年度市場公募都市に係るもの 0.0334イ 平成18年度市場公募都市以外の市町村に係るもの 0.0209AU19ア 平成19年度市場公募都市に係るもの 0.0336イ 平成19年度市場公募都市以外の市町村に係るもの 0.0209AU20ア 平成20年度市場公募都市に係るもの 0.03433イ 平成20年度市場公募都市以外の市町村に係るもの 0.04064AU21ア 平成21年度市場公募都市に係るもの 0.03449イ 平成21年度市場公募都市以外の市町村に係るもの 0.04024AU22ア 平成22年度市場公募都市に係るもの 0.03354イ 平成22年度市場公募都市以外の市町村に係るもの 0.03998AU23ア 平成23年度市場公募都市に係るもの 0.03370イ 平成23年度市場公募都市以外の市町村に係るもの 0.03949AU24ア 平成24年度市場公募都市に係るもの 0.03498イ 平成24年度市場公募都市以外の市町村に係るもの 0.03864AU25ア 平成25年度市場公募都市に係るもの 0.0355イ 平成25年度市場公募都市以外の市町村に係るもの 0.0384AU26ア 平成26年度市場公募都市に係るもの 0.0348イ 平成26年度市場公募都市以外の市町村に係るもの 0.0374AU27ア 平成27年度市場公募都市に係るもの 0.0323イ 平成27年度市場公募都市以外の市町村に係るもの 0.0370AU28ア 平成28年度市場公募都市に係るもの 0.0323イ 平成28年度市場公募都市以外の市町村に係るもの 0.0376AU29ア 平成29年度市場公募都市に係るもの 0.0321イ 平成29年度市場公募都市以外の市町村に係るもの 0.0379AU30ア 平成30年度市場公募都市に係るもの 0.03194イ 平成30年度市場公募都市以外の市町村に係るもの 0.03776AU令元ア 令和元年度市場公募都市に係るもの 0.03141イ 令和元年度市場公募都市以外の市町村に係るもの 0.03749AU令2ア 令和2年度市場公募都市に係るもの 0.00207イ 令和2年度市場公募都市以外の市町村に係るもの 0.00211AU令3ア 令和3年度市場公募都市に係るもの 0.00313イ 令和3年度市場公募都市以外の市町村に係るもの 0.00329AU令4ア 令和4年度市場公募都市に係るもの 0.00639イ 令和4年度市場公募都市以外の市町村に係るもの 0.00661AVn n年度において発行について同意又は許可を得た学校教育施設等整備事業債等(平成15年度から令和4年度までの各年度において地方税の減収に伴い発行について同意又は許可を得た地方債及び平成16年度から令和4年度までの各年度において発行について同意又は許可を得た補正予算債を除く。)のうち市町村立の小学校の大規模改造事業の地方単独分に係るものの額に相当する額(小学校費における学級数がない団体のみ適用する。)AW15=0.0119AW16=0.0078AW17ア 平成17年度市場公募都市に係るもの 0.0142イ 平成17年度市場公募都市以外の市町村に係るもの 0.0076AW18ア 平成18年度市場公募都市に係るもの 0.0143イ 平成18年度市場公募都市以外の市町村に係るもの 0.0089AW19ア 平成19年度市場公募都市に係るもの 0.0144イ 平成19年度市場公募都市以外の市町村に係るもの 0.0090AW20ア 平成20年度市場公募都市に係るもの 0.01471イ 平成20年度市場公募都市以外の市町村に係るもの 0.01742AW21ア 平成21年度市場公募都市に係るもの 0.01478イ 平成21年度市場公募都市以外の市町村に係るもの 0.01725AW22ア 平成22年度市場公募都市に係るもの 0.01437イ 平成22年度市場公募都市以外の市町村に係るもの 0.01713AW23ア 平成23年度市場公募都市に係るもの 0.01444イ 平成23年度市場公募都市以外の市町村に係るもの 0.01693AW24ア 平成24年度市場公募都市に係るもの 0.01499イ 平成24年度市場公募都市以外の市町村に係るもの 0.01656AW25ア 平成25年度市場公募都市に係るもの 0.0152イ 平成25年度市場公募都市以外の市町村に係るもの 0.0164AW26ア 平成26年度市場公募都市に係るもの 0.0149イ 平成26年度市場公募都市以外の市町村に係るもの 0.0160AW27ア 平成27年度市場公募都市に係るもの 0.0138イ 平成27年度市場公募都市以外の市町村に係るもの 0.0158AW28ア 平成28年度市場公募都市に係るもの 0.0139イ 平成28年度市場公募都市以外の市町村に係るもの 0.0161AW29ア 平成29年度市場公募都市に係るもの 0.0230イ 平成29年度市場公募都市以外の市町村に係るもの 0.0271AW30ア 平成30年度市場公募都市に係るもの 0.02282イ 平成30年度市場公募都市以外の市町村に係るもの 0.02697AW令元ア 令和元年度市場公募都市に係るもの 0.02244イ 令和元年度市場公募都市以外の市町村に係るもの 0.02678AW令2ア 令和2年度市場公募都市に係るもの 0.00148イ 令和2年度市場公募都市以外の市町村に係るもの 0.00151AW令3ア 令和3年度市場公募都市に係るもの 0.00224イ 令和3年度市場公募都市以外の市町村に係るもの 0.00235AW令4ア 令和4年度市場公募都市に係るもの 0.00457イ 令和4年度市場公募都市以外の市町村に係るもの 0.00472AXn 国庫の補助金を受けて施行した大規模改造事業(障害児等対策施設整備工事を除く。)に係る経費に充てるためn年度において発行について同意又は許可を得た学校教育施設等整備事業債等(平成29年度から令和4年度までの各年度において地方税の減収に伴い発行について同意又は許可を得た地方債及び平成29年度から令和4年度までの各年度において発行について同意又は許可を得た補正予算債を除く。)のうち市町村立の小学校に係るものの額に相当する額(小学校費における学級数がない団体のみ適用する。)AY29ア 平成29年度市場公募都市に係るもの 0.0138イ 平成29年度市場公募都市以外の市町村に係るもの 0.0162AY30ア 平成30年度市場公募都市に係るもの 0.01369イ 平成30年度市場公募都市以外の市町村に係るもの 0.01618AY令元ア 令和元年度市場公募都市に係るもの 0.01346イ 令和元年度市場公募都市以外の市町村に係るもの 0.01607AY令2ア 令和2年度市場公募都市に係るもの 0.00089イ 令和2年度市場公募都市以外の市町村に係るもの 0.00090AY令3ア 令和3年度市場公募都市に係るもの 0.00134イ 令和3年度市場公募都市以外の市町村に係るもの 0.00141AY令4ア 令和4年度市場公募都市に係るもの 0.00274イ 令和4年度市場公募都市以外の市町村に係るもの 0.00283AZn 国庫の補助金を受けて施行した大規模改造事業のうち、障害児等対策施設整備工事に係る経費に充てるためn年度において発行について同意又は許可を得た学校教育施設等整備事業債(令和3年度及び令和4年度において地方税の減収に伴い発行について同意又は許可を得た地方債並びに令和3年度及び令和4年度において発行について同意又は許可を得た補正予算債を除く。)のうち市町村立の小学校に係るものの額に相当する額(小学校費における学級数がない団体のみ適用する。)BA令3ア 令和3年度市場公募都市に係るもの 0.00313イ 令和3年度市場公募都市以外の市町村に係るもの 0.00329BA令4ア 令和4年度市場公募都市に係るもの 0.00639イ 令和4年度市場公募都市以外の市町村に係るもの 0.00661BBn 平成n年度において発行について同意又は許可を得た水泳プール(屋外)に係る学校教育施設等整備事業債等(公害防止事業債、財源対策債、平成16年度から平成28年度までの各年度において発行について同意又は許可を得た補正予算債、臨時財政特例債及び符号AOにおいて別表第3の13に定める乗率を乗じて得た額を譲受代金とした小学校に係る地方債を除く。)のうち市町村立の小学校に係るものの額に相当する額(平成22年度から平成28年度までの各年度において発行について同意又は許可を得たものについては、平成21年度以前に着手した継続事業として総務大臣が調査した事業に係るものに限る。)(小学校費における学級数がない団体のみ適用する。)BC15=0.0119BC16=0.0078BC17ア 平成17年度市場公募都市に係るもの 0.0142イ 平成17年度市場公募都市以外の市町村に係るもの 0.0076BC18ア 平成18年度市場公募都市に係るもの 0.0143イ 平成18年度市場公募都市以外の市町村に係るもの 0.0089BC19ア 平成19年度市場公募都市に係るもの 0.0144イ 平成19年度市場公募都市以外の市町村に係るもの 0.0090BC20ア 平成20年度市場公募都市に係るもの 0.01471イ 平成20年度市場公募都市以外の市町村に係るもの 0.01742BC21ア 平成21年度市場公募都市に係るもの 0.01478イ 平成21年度市場公募都市以外の市町村に係るもの 0.01725BC22ア 平成22年度市場公募都市に係るもの 0.01437イ 平成22年度市場公募都市以外の市町村に係るもの 0.01713BC23ア 平成23年度市場公募都市に係るもの 0.01444イ 平成23年度市場公募都市以外の市町村に係るもの 0.01693BC24ア 平成24年度市場公募都市に係るもの 0.01499イ 平成24年度市場公募都市以外の市町村に係るもの 0.01656BC25ア 平成25年度市場公募都市に係るもの 0.0152イ 平成25年度市場公募都市以外の市町村に係るもの 0.0164BC26ア 平成26年度市場公募都市に係るもの 0.0149イ 平成26年度市場公募都市以外の市町村に係るもの 0.0160BC27ア 平成27年度市場公募都市に係るもの 0.0138イ 平成27年度市場公募都市以外の市町村に係るもの 0.0158BC28ア 平成28年度市場公募都市に係るもの 0.0139イ 平成28年度市場公募都市以外の市町村に係るもの 0.0161BDn 平成n年度において発行について同意又は許可を得た学校給食施設に係る学校教育施設等整備事業債等(災害復旧事業債、辺地対策事業債、過疎対策事業債、平成15年度から平成28年度までの各年度において地方税の減収に伴い発行について同意又は許可を得た地方債、公害防止事業債、財源対策債、平成16年度から平成28年度までの各年度において発行について同意又は許可を得た補正予算債及び符号AOにおいて別表第3の13に定める乗率を乗じて得た額を譲受代金とした小学校に係る地方債を除く。)のうち市町村立の小学校に係るものの額に相当する額(平成22年度から平成28年度までの各年度において発行について同意又は許可を得たものについては、平成21年度以前に着手した継続事業として総務大臣が調査した事業に係るものに限る。)(小学校費における学級数がない団体のみ適用する。)BE15=0.0079BE16=0.0052BE17ア 平成17年度市場公募都市に係るもの 0.0095イ 平成17年度市場公募都市以外の市町村に係るもの 0.0051BE18ア 平成18年度市場公募都市に係るもの 0.0095イ 平成18年度市場公募都市以外の市町村に係るもの 0.0060BE19ア 平成19年度市場公募都市に係るもの 0.0096イ 平成19年度市場公募都市以外の市町村に係るもの 0.0060BE20ア 平成20年度市場公募都市に係るもの 0.00981イ 平成20年度市場公募都市以外の市町村に係るもの 0.01161BE21ア 平成21年度市場公募都市に係るもの 0.00985イ 平成21年度市場公募都市以外の市町村に係るもの 0.01150BE22ア 平成22年度市場公募都市に係るもの 0.00958イ 平成22年度市場公募都市以外の市町村に係るもの 0.01142BE23ア 平成23年度市場公募都市に係るもの 0.00963イ 平成23年度市場公募都市以外の市町村に係るもの 0.01128BE24ア 平成24年度市場公募都市に係るもの 0.00999イ 平成24年度市場公募都市以外の市町村に係るもの 0.01104BE25ア 平成25年度市場公募都市に係るもの 0.0101イ 平成25年度市場公募都市以外の市町村に係るもの 0.0110BE26ア 平成26年度市場公募都市に係るもの 0.0100イ 平成26年度市場公募都市以外の市町村に係るもの 0.0107BE27ア 平成27年度市場公募都市に係るもの 0.0092イ 平成27年度市場公募都市以外の市町村に係るもの 0.0106BE28ア 平成28年度市場公募都市に係るもの 0.0092イ 平成28年度市場公募都市以外の市町村に係るもの 0.0107BFn 一般財源化された公立学校施設整備補助金(不適格建物改築事業に係るものに限る。)に係る施設整備事業に充てるため平成n年度において発行について同意又は許可を得た地方債の額に相当する額(小学校費における学級数がない団体のみ適用する。)BG18ア 平成18年度市場公募都市に係るもの 0.0380イ 平成18年度市場公募都市以外の市町村に係るもの 0.0000BG19ア 平成19年度市場公募都市に係るもの 0.0381イ 平成19年度市場公募都市以外の市町村に係るもの 0.0000BG20ア 平成20年度市場公募都市に係るもの 0.04259イ 平成20年度市場公募都市以外の市町村に係るもの 0.05961BG21ア 平成21年度市場公募都市に係るもの 0.04799イ 平成21年度市場公募都市以外の市町村に係るもの 0.06223BG22ア 平成22年度市場公募都市に係るもの 0.04687イ 平成22年度市場公募都市以外の市町村に係るもの 0.06257BHn 平成n年度において発行について同意又は許可を得た学校教育施設等整備事業債(過疎対策事業債及び平成21年度から平成23年度までの各年度において発行について同意又は許可を得た補正予算債を除く。)のうち市町村立の小学校の公共施設等地上デジタル放送移行対策事業に係るものの額に相当する額(小学校費における学級数がない団体のみ適用する。)BI21ア 平成21年度市場公募都市に係るもの 0.01478イ 平成21年度市場公募都市以外の市町村に係るもの 0.01725BI22ア 平成22年度市場公募都市に係るもの 0.01437イ 平成22年度市場公募都市以外の市町村に係るもの 0.01713BI23ア 平成23年度市場公募都市に係るもの 0.01444イ 平成23年度市場公募都市以外の市町村に係るもの 0.01693BJn 地防法に基づく国庫補助率のかさ上げが行われる事業(平成30年度以前はIs値0.3以上のものに限り、令和元年度以降は水泳プール(屋外)の新改築に係るものに限る。)に係る経費に充てるためn年度において発行について同意又は許可を得た学校教育施設等整備事業債(平成18年度から令和4年度までの各年度において発行について同意又は許可を得た補正予算債を除く。)のうち市町村立の小学校に係るものの額に相当する額(小学校費における学級数がない団体のみ適用する。)BK18ア 平成18年度市場公募都市に係るもの 0.0239イ 平成18年度市場公募都市以外の市町村に係るもの 0.0149BK19ア 平成19年度市場公募都市に係るもの 0.0240イ 平成19年度市場公募都市以外の市町村に係るもの 0.0150BK20ア 平成20年度市場公募都市に係るもの 0.02452イ 平成20年度市場公募都市以外の市町村に係るもの 0.02903BK21ア 平成21年度市場公募都市に係るもの 0.02464イ 平成21年度市場公募都市以外の市町村に係るもの 0.02875BK22ア 平成22年度市場公募都市に係るもの 0.02396イ 平成22年度市場公募都市以外の市町村に係るもの 0.02856BK23ア 平成23年度市場公募都市に係るもの 0.02407イ 平成23年度市場公募都市以外の市町村に係るもの 0.02821BK24ア 平成24年度市場公募都市に係るもの 0.02499イ 平成24年度市場公募都市以外の市町村に係るもの 0.02760BK25ア 平成25年度市場公募都市に係るもの 0.0254イ 平成25年度市場公募都市以外の市町村に係るもの 0.0274BK26ア 平成26年度市場公募都市に係るもの 0.0249イ 平成26年度市場公募都市以外の市町村に係るもの 0.0267BK27ア 平成27年度市場公募都市に係るもの 0.0231イ 平成27年度市場公募都市以外の市町村に係るもの 0.0264BK28ア 平成28年度市場公募都市に係るもの 0.0231イ 平成28年度市場公募都市以外の市町村に係るもの 0.0269BK29ア 平成29年度市場公募都市に係るもの 0.0230イ 平成29年度市場公募都市以外の市町村に係るもの 0.0271BK30ア 平成30年度市場公募都市に係るもの 0.02282イ 平成30年度市場公募都市以外の市町村に係るもの 0.02697BK令元ア 令和元年度市場公募都市に係るもの 0.02244イ 令和元年度市場公募都市以外の市町村に係るもの 0.02678BK令2ア 令和2年度市場公募都市に係るもの 0.00148イ 令和2年度市場公募都市以外の市町村に係るもの 0.00151BK令3ア 令和3年度市場公募都市に係るもの 0.00224イ 令和3年度市場公募都市以外の市町村に係るもの 0.00235BK令4ア 令和4年度市場公募都市に係るもの 0.00457イ 令和4年度市場公募都市以外の市町村に係るもの 0.00472BLn 地防法に基づく国庫補助率のかさ上げが行われる事業(Is値0.3未満のもの(令和元年度以降にあつては、校舎、屋内運動場又は寄宿舎の改築に係るものに限る。)に限る。)に係る経費に充てるためn年度において発行について同意又は許可を得た学校教育施設等整備事業債(平成20年度から令和4年度までの各年度において発行について同意又は許可を得た補正予算債を除く。)のうち市町村立の小学校に係るものの額に相当する額(小学校費における学級数がない団体のみ適用する。)BM20ア 平成20年度市場公募都市に係るもの 0.03433イ 平成20年度市場公募都市以外の市町村に係るもの 0.04064BM21ア 平成21年度市場公募都市に係るもの 0.03449イ 平成21年度市場公募都市以外の市町村に係るもの 0.04024BM22ア 平成22年度市場公募都市に係るもの 0.03354イ 平成22年度市場公募都市以外の市町村に係るもの 0.03998BM23ア 平成23年度市場公募都市に係るもの 0.03370イ 平成23年度市場公募都市以外の市町村に係るもの 0.03949BM24ア 平成24年度市場公募都市に係るもの 0.03498イ 平成24年度市場公募都市以外の市町村に係るもの 0.03864BM25ア 平成25年度市場公募都市に係るもの 0.0355イ 平成25年度市場公募都市以外の市町村に係るもの 0.0384BM26ア 平成26年度市場公募都市に係るもの 0.0348イ 平成26年度市場公募都市以外の市町村に係るもの 0.0374BM27ア 平成27年度市場公募都市に係るもの 0.0323イ 平成27年度市場公募都市以外の市町村に係るもの 0.0370BM28ア 平成28年度市場公募都市に係るもの 0.0323イ 平成28年度市場公募都市以外の市町村に係るもの 0.0376BM29ア 平成29年度市場公募都市に係るもの 0.0321イ 平成29年度市場公募都市以外の市町村に係るもの 0.0379BM30ア 平成30年度市場公募都市に係るもの 0.03194イ 平成30年度市場公募都市以外の市町村に係るもの 0.03776BM令元ア 令和元年度市場公募都市に係るもの 0.03141イ 令和元年度市場公募都市以外の市町村に係るもの 0.03749BM令2ア 令和2年度市場公募都市に係るもの 0.00207イ 令和2年度市場公募都市以外の市町村に係るもの 0.00211BM令3ア 令和3年度市場公募都市に係るもの 0.00313イ 令和3年度市場公募都市以外の市町村に係るもの 0.00329BM令4ア 令和4年度市場公募都市に係るもの 0.00639イ 令和4年度市場公募都市以外の市町村に係るもの 0.00661BNn 非構造部材の耐震対策事業(特定天井分)に係る経費に充てるため平成n年度において発行について同意又は許可を得た学校教育施設等整備事業債(平成28年度及び平成29年度において発行について同意又は許可を得た補正予算債を除く。)のうち市町村立の小学校に係るものの額に相当する額(小学校費における学級数がない団体のみ適用する。)BO28ア 平成28年度市場公募都市に係るもの 0.0323イ 平成28年度市場公募都市以外の市町村に係るもの 0.0376BO29ア 平成29年度市場公募都市に係るもの 0.0321イ 平成29年度市場公募都市以外の市町村に係るもの 0.0379BPn 非構造部材の耐震対策事業(特定天井以外分)に係る経費に充てるため平成n年度において発行について同意又は許可を得た学校教育施設等整備事業債(平成28年度及び平成29年度において発行について同意又は許可を得た補正予算債を除く。)のうち市町村立の小学校に係るものの額に相当する額(小学校費における学級数がない団体のみ適用する。)BQ28ア 平成28年度市場公募都市に係るもの 0.0231イ 平成28年度市場公募都市以外の市町村に係るもの 0.0269BQ29ア 平成29年度市場公募都市に係るもの 0.0230イ 平成29年度市場公募都市以外の市町村に係るもの 0.0271BRn 補強事業に係る経費に充てるためn年度において発行について同意又は許可を得た学校教育施設等整備事業債(平成30年度から令和4年度までの各年度において発行について同意又は許可を得た補正予算債を除く。)のうち市町村立の小学校に係るものの額に相当する額(小学校費における学級数がない団体のみ適用する。)BS30ア 平成30年度市場公募都市に係るもの 0.03194イ 平成30年度市場公募都市以外の市町村に係るもの 0.03776BS令元ア 令和元年度市場公募都市に係るもの 0.03141イ 令和元年度市場公募都市以外の市町村に係るもの 0.03749BS令2ア 令和2年度市場公募都市に係るもの 0.00207イ 令和2年度市場公募都市以外の市町村に係るもの 0.00211BS令3ア 令和3年度市場公募都市に係るもの 0.00313イ 令和3年度市場公募都市以外の市町村に係るもの 0.00329BS令4ア 令和4年度市場公募都市に係るもの 0.00639イ 令和4年度市場公募都市以外の市町村に係るもの 0.00661BTn 防災機能強化事業に係る経費に充てるためn年度において発行について同意又は許可を得た学校教育施設等整備事業債(平成30年度から令和4年度までの各年度において発行について同意又は許可を得た補正予算債を除く。)のうち市町村立の小学校に係るものの額に相当する額(小学校費における学級数がない団体のみ適用する。)BU30ア 平成30年度市場公募都市に係るもの 0.03194イ 平成30年度市場公募都市以外の市町村に係るもの 0.03776BU令元ア 令和元年度市場公募都市に係るもの 0.03141イ 令和元年度市場公募都市以外の市町村に係るもの 0.03749BU令2ア 令和2年度市場公募都市に係るもの 0.00207イ 令和2年度市場公募都市以外の市町村に係るもの 0.00211BU令3ア 令和3年度市場公募都市に係るもの 0.00313イ 令和3年度市場公募都市以外の市町村に係るもの 0.00329BU令4ア 令和4年度市場公募都市に係るもの 0.00639イ 令和4年度市場公募都市以外の市町村に係るもの 0.00661BV令2 国庫の補助金を受けて施行した公立学校情報通信ネットワーク環境施設整備事業に係る経費に充てるため令和2年度において発行について同意又は許可を得た学校教育施設等整備事業債(同年度において発行について同意又は許可を得た補正予算債を除く。)のうち小学校に係るものの額に相当する額(小学校費における学級数がない団体のみ適用する。)BW令2ア 令和2年度市場公募都市に係るもの 0.00207イ 令和2年度市場公募都市以外の市町村に係るもの 0.00211BX 昭和46年度から昭和60年度までの各年度において、当該年度の旧児童急増区域を包括する市町村が当該旧児童急増区域内における学校用地取得のために発行を許可された義務教育施設整備事業債(公害防止事業債、昭和46年度、昭和47年度及び昭和50年度から昭和60年度までの各年度において地方税の減収に伴い発行を許可された地方債、昭和50年度から昭和57年度までの各年度において財政健全化のため発行を許可された地方債、地域財政特例対策債、臨時財政特例債、符号AOにおいて別表第3の13に定める乗率を乗じて得た額を譲受代金とした小学校に係る地方債並びに昭和59年度及び昭和60年度に取得した学校用地面積が2,000平方メートル未満である学校用地に係る地方債を除く。)及び昭和61年度から平成10年度までの各年度において、過去児童急増市町村(昭和48年度から平成10年度までの間において児童急増市町村(児童急増区域(学校基本調査規則によつて調査したその年の5月1日現在の児童数が3年前の5月1日現在の児童数に比し、15パーセント以上かつ300人以上、10パーセント以上かつ500人以上又は5パーセント以上かつ1,000人以上増加している市町村(指定都市の区(総合区を含む。)のうち当該区を市町村とみなした場合に、これらに該当することとなる当該区を含む。)の区域をいう。)を包括する市町村をいう。)に該当したことがある市町村をいう。)又は過去児童急増市町村以外で財政力指数(基準財政収入額を基準財政需要額で除して得た数値で当該年度前3年度内の各年度に係るものを合算して得たものを3で除して得た数値をいう。)が1.00以下の市町村が過大規模校(市町村立の小学校のうち、当該年度の5月1日現在においてその学級(特殊学級を含む。)の数が31以上(児童急増市町村の設置する小学校にあつては25以上。以下この号において同じ。)のもの又は同日から2年を経過した日(当該年度の5月2日以降住宅の建設等に伴い新たに学級数が増加することが見込まれる場合にあつては当該年度の4月1日から起算して5年を経過した日)までにその学級の数が31以上となることが見込まれるものをいう。)の分離等に必要な学校用地取得のため発行を許可された義務教育施設整備事業債(公害防止事業債、昭和61年度、昭和62年度、平成2年度及び平成4年度から平成10年度までの各年度において地方税の減収に伴い発行を許可された地方債、財源対策債、地域財政特例対策債、臨時財政特例債並びに符号AOにおいて別表第3の13に定める乗率を乗じて得た額を譲受代金とした小学校に係る地方債を除く。)の当該年度における元利償還金(小学校費における学級数がない団体のみ適用する。)BY 前年度以前の年度における符号AOに規定する年次支払額で過大又は過少に係るものとして総務大臣が通知した額(小学校費における学級数がない団体のみ適用する。)
 十 高等学校費生徒数算式
算式の符号A 測定単位の数値Bn 平成n年度において発行について同意又は許可を得た臨時高等学校整備事業に係る地方債の同意等額のうち、大規模改造事業に係る単独分の同意等額に相当する額(特殊教育諸学校に係るものを除く。)C15=0.0076C16=0.0040C17ア 平成17年度市場公募都市に係るもの 0.0178イ 平成17年度市場公募都市以外の市町村に係るもの 0.0000C18ア 平成18年度市場公募都市に係るもの 0.0150イ 平成18年度市場公募都市以外の市町村に係るもの 0.0000C19ア 平成19年度市場公募都市に係るもの 0.0152イ 平成19年度市場公募都市以外の市町村に係るもの 0.0000Dn 平成n年度において発行について同意又は許可を得た臨時高等学校整備事業に係る地方債の同意等額のうち、平成9年度及び平成10年度の特別老朽施設改築事業に係る許可額に相当する額並びに平成11年度以降の老朽施設改築事業に係る同意等額に相当する額(特殊教育諸学校に係るものを除く。)
   E9=0.0046E10=0.0102E11=0.0084E12=0.0160E13=0.0108E14=0.0093E15=0.0076E16=0.0040E17ア 平成17年度市場公募都市に係るもの 0.0178イ 平成17年度市場公募都市以外の市町村に係るもの 0.0000E18ア 平成18年度市場公募都市に係るもの 0.0150イ 平成18年度市場公募都市以外の市町村に係るもの 0.0000E19ア 平成19年度市場公募都市に係るもの 0.0152イ 平成19年度市場公募都市以外の市町村に係るもの 0.0000F令2 国庫の補助金を受けて施行した公立学校情報通信ネットワーク環境施設整備事業に係る経費に充てるため令和2年度において発行について同意又は許可を得た学校教育施設等整備事業債(同年度において発行について同意又は許可を得た補正予算債を除く。)のうち高等学校に係るものの額G令2ア 令和2年度市場公募都市に係るもの 0.00207イ 令和2年度市場公募都市以外の市町村に係るもの 0.00211
 十一 社会福祉費人口算式
算式の符号A 測定単位の数値Bn 一般財源化された社会福祉施設整備補助金・負担金(市町村立の障害者施設及び保護施設に係るものに限る。)に係る施設整備事業に充てるためn年度において発行について同意又は許可を得た地方債の額に相当する額。この場合において、市町村が組織する組合に係る額は、当該額を当該組合を構成する市町村の長が協議して定め、総務大臣が承認した率(協議が成立しないときは、総務大臣が定める率)により按分したものをそれぞれの市町村に係る額とみなす。C18ア 平成18年度市場公募都市に係るもの 0.0380イ 平成18年度市場公募都市以外の市町村に係るもの 0.0000C19ア 平成19年度市場公募都市に係るもの 0.0380イ 平成19年度市場公募都市以外の市町村に係るもの 0.0000C20ア 平成20年度市場公募都市に係るもの 0.04259イ 平成20年度市場公募都市以外の市町村に係るもの 0.05951C21ア 平成21年度市場公募都市に係るもの 0.04799イ 平成21年度市場公募都市以外の市町村に係るもの 0.06223C22ア 平成22年度市場公募都市に係るもの 0.04687イ 平成22年度市場公募都市以外の市町村に係るもの 0.06257C23ア 平成23年度市場公募都市に係るもの 0.03398イ 平成23年度市場公募都市以外の市町村に係るもの 0.04388C24ア 平成24年度市場公募都市に係るもの 0.03505イ 平成24年度市場公募都市以外の市町村に係るもの 0.04503C25ア 平成25年度市場公募都市に係るもの 0.0360イ 平成25年度市場公募都市以外の市町村に係るもの 0.0450C26ア 平成26年度市場公募都市に係るもの 0.0360イ 平成26年度市場公募都市以外の市町村に係るもの 0.0450C27ア 平成27年度市場公募都市に係るもの 0.0340イ 平成27年度市場公募都市以外の市町村に係るもの 0.0440C28ア 平成28年度市場公募都市に係るもの 0.0333イ 平成28年度市場公募都市以外の市町村に係るもの 0.0433C29ア 平成29年度市場公募都市に係るもの 0.0334イ 平成29年度市場公募都市以外の市町村に係るもの 0.0434C30ア 平成30年度市場公募都市に係るもの 0.02545イ 平成30年度市場公募都市以外の市町村に係るもの 0.03539C令元ア 令和元年度市場公募都市に係るもの 0.02476イ 令和元年度市場公募都市以外の市町村に係るもの 0.03488C令2ア 令和2年度市場公募都市に係るもの 0.00146イ 令和2年度市場公募都市以外の市町村に係るもの 0.00152C令3ア 令和3年度市場公募都市に係るもの 0.00187イ 令和3年度市場公募都市以外の市町村に係るもの 0.00216C令4ア 令和4年度市場公募都市に係るもの 0.00460イ 令和4年度市場公募都市以外の市町村に係るもの 0.00509Dn 一般財源化された次世代育成支援対策施設整備交付金(公立保育所及び児童相談所に係るものに限る。)に係る施設整備事業に充てるためn年度において発行について同意又は許可を得た地方債(平成29年度までの各年度において発行について同意又は許可を得たものについては、公立保育所の整備事業に係る地方債に限る。)の額に相当する額。この場合において、市町村が組織する組合に係る額は、当該額を当該組合を構成する市町村の長が協議して定め、総務大臣が承認した率(協議が成立しないときは、総務大臣が定める率)により按分したものをそれぞれの市町村に係る額とみなす。E18ア 平成18年度市場公募都市に係るもの 0.0380イ 平成18年度市場公募都市以外の市町村に係るもの 0.0000E19ア 平成19年度市場公募都市に係るもの 0.0380イ 平成19年度市場公募都市以外の市町村に係るもの 0.0000E20ア 平成20年度市場公募都市に係るもの 0.04259イ 平成20年度市場公募都市以外の市町村に係るもの 0.05951E21ア 平成21年度市場公募都市に係るもの 0.04799イ 平成21年度市場公募都市以外の市町村に係るもの 0.06223E22ア 平成22年度市場公募都市に係るもの 0.04687イ 平成22年度市場公募都市以外の市町村に係るもの 0.06257E23ア 平成23年度市場公募都市に係るもの 0.03398イ 平成23年度市場公募都市以外の市町村に係るもの 0.04388E24ア 平成24年度市場公募都市に係るもの 0.03505イ 平成24年度市場公募都市以外の市町村に係るもの 0.04503E25ア 平成25年度市場公募都市に係るもの 0.0360イ 平成25年度市場公募都市以外の市町村に係るもの 0.0450E26ア 平成26年度市場公募都市に係るもの 0.0360イ 平成26年度市場公募都市以外の市町村に係るもの 0.0450E27ア 平成27年度市場公募都市に係るもの 0.0340イ 平成27年度市場公募都市以外の市町村に係るもの 0.0440E28ア 平成28年度市場公募都市に係るもの 0.0333イ 平成28年度市場公募都市以外の市町村に係るもの 0.0433E29ア 平成29年度市場公募都市に係るもの 0.0334イ 平成29年度市場公募都市以外の市町村に係るもの 0.0434E30ア 平成30年度市場公募都市に係るもの 0.02545イ 平成30年度市場公募都市以外の市町村に係るもの 0.03539E令元ア 令和元年度市場公募都市に係るもの 0.02476イ 令和元年度市場公募都市以外の市町村に係るもの 0.03488E令2ア 令和2年度市場公募都市に係るもの 0.00146イ 令和2年度市場公募都市以外の市町村に係るもの 0.00152E令3ア 令和3年度市場公募都市に係るもの 0.00187イ 令和3年度市場公募都市以外の市町村に係るもの 0.00216E令4ア 令和4年度市場公募都市に係るもの 0.00460イ 令和4年度市場公募都市以外の市町村に係るもの 0.00509Fn 児童相談所整備事業に係る経費に充てるためn年度において発行について同意又は許可を得た一般単独(一般)事業債(総務大臣の指定する充当の率を超える部分に係るものを除く。)の額に相当する額G令2ア 令和2年度市場公募都市に係るもの 0.00104イ 令和2年度市場公募都市以外の市町村に係るもの 0.00109G令3ア 令和3年度市場公募都市に係るもの 0.00134イ 令和3年度市場公募都市以外の市町村に係るもの 0.00155G令4ア 令和4年度市場公募都市に係るもの 0.00329イ 令和4年度市場公募都市以外の市町村に係るもの 0.00364Hn 児童相談所一時保護施設整備事業に係る経費に充てるためn年度において発行について同意又は許可を得た一般補助施設整備等事業(一般分)に係る地方債の額に相当する額I令2ア 令和2年度市場公募都市に係るもの 0.00104イ 令和2年度市場公募都市以外の市町村に係るもの 0.00109I令3ア 令和3年度市場公募都市に係るもの 0.00134イ 令和3年度市場公募都市以外の市町村に係るもの 0.00155I令4ア 令和4年度市場公募都市に係るもの 0.00329イ 令和4年度市場公募都市以外の市町村に係るもの 0.00364
 十二 高齢者保健福祉費人口算式
算式の符号A 測定単位の数値Bn 一般財源化された地域介護・福祉空間整備等施設整備交付金に係る施設整備事業等に充てるためn年度において発行について同意又は許可を得た地方債の額に相当する額C18ア 平成18年度市場公募都市に係るもの 0.0380イ 平成18年度市場公募都市以外の市町村に係るもの 0.0000C19ア 平成19年度市場公募都市に係るもの 0.0380イ 平成19年度市場公募都市以外の市町村に係るもの 0.0000C20ア 平成20年度市場公募都市に係るもの 0.04259イ 平成20年度市場公募都市以外の市町村に係るもの 0.05951C21ア 平成21年度市場公募都市に係るもの 0.04799イ 平成21年度市場公募都市以外の市町村に係るもの 0.06223C22ア 平成22年度市場公募都市に係るもの 0.04687イ 平成22年度市場公募都市以外の市町村に係るもの 0.06257C23ア 平成23年度市場公募都市に係るもの 0.04854イ 平成23年度市場公募都市以外の市町村に係るもの 0.06269C24ア 平成24年度市場公募都市に係るもの 0.03505イ 平成24年度市場公募都市以外の市町村に係るもの 0.04503C25ア 平成25年度市場公募都市に係るもの 0.0360イ 平成25年度市場公募都市以外の市町村に係るもの 0.0450C26ア 平成26年度市場公募都市に係るもの 0.0360イ 平成26年度市場公募都市以外の市町村に係るもの 0.0450C27ア 平成27年度市場公募都市に係るもの 0.0340イ 平成27年度市場公募都市以外の市町村に係るもの 0.0440C28ア 平成28年度市場公募都市に係るもの 0.0333イ 平成28年度市場公募都市以外の市町村に係るもの 0.0433C29ア 平成29年度市場公募都市に係るもの 0.0334イ 平成29年度市場公募都市以外の市町村に係るもの 0.0434C30ア 平成30年度市場公募都市に係るもの 0.02545イ 平成30年度市場公募都市以外の市町村に係るもの 0.03539C令元ア 令和元年度市場公募都市に係るもの 0.02476イ 令和元年度市場公募都市以外の市町村に係るもの 0.03488C令2ア 令和2年度市場公募都市に係るもの 0.00146イ 令和2年度市場公募都市以外の市町村に係るもの 0.00152C令3ア 令和3年度市場公募都市に係るもの 0.00187イ 令和3年度市場公募都市以外の市町村に係るもの 0.00216C令4ア 令和4年度市場公募都市に係るもの 0.00460イ 令和4年度市場公募都市以外の市町村に係るもの 0.00509
 十三 清掃費人口算式
算式の符号A 測定単位の数値B 立替施行者が立替施行をした清掃施設の譲受代金(当該市町村が当該清掃施設を建設したとみなした場合に一般財源所要額として基準財政需要額に算入されるべき地方負担額又は当該地方負担額に別表第3の13に定める乗率を乗じて得た額)の当該年度における年次支払額(当該清掃施設の建設に係る当該市町村と立替施行者との譲受代金の支払契約の例により算定した当該年度の支払額)として都道府県知事の申告に基づき総務大臣が通知した額C 清掃施設の整備事業(清掃施設用地取得事業及び清掃運搬施設等整備事業を除く。)のうち平成3年度以前において事業に着手したものに係る経費に充てるため平成11年度以前において発行を許可された地方債及び平成5年度から平成11年度までにおいて事業(符号Hにおける清掃施設の整備事業を除く。)に着手したものに係る経費に充てるため平成6年度から平成11年度までの各年度において発行を許可された地方債(災害復旧事業債、同和対策事業債、地域改善対策事業債及び地域改善対策特定事業債、公害防止事業債、昭和46年度、昭和47年度、昭和50年度から昭和62年度まで及び平成2年度から平成11年度までの各年度において地方税の減収に伴い発行を許可された地方債、昭和50年度から昭和57年度までの各年度において財政健全化のため発行を許可された地方債、財源対策債、昭和52年度補正予算債、昭和53年度補正予算債、昭和61年度補正予算債、平成7年度補正予算債、平成8年度補正予算債、平成10年度補正予算債及び平成11年度補正予算債、地域財政特例対策費、臨時財政特例債、公共事業等臨時特例債、平成11年度臨時経済対策事業債並びに符号Bにおいて別表第3の13に定める乗率を乗じて得た額を譲受代金とした清掃施設に係るものを除く。)のうち政府資金に係るもの(平成11年度の臨時特例措置として行われた政府資金の繰上償還に係るものを除く。)の当該年度における元利償還金。この場合において、市町村が組織する組合に係る元利償還金は、当該元利償還金を当該組合を構成する市町村の長が協議して定め、総務大臣が承認した率(協議が成立しないときは、総務大臣が定める率)により按分して得たものをそれぞれの市町村に係る額(総務大臣が承認する場合には、当該組合を構成する市町村のうち都道府県知事が指定する市町村に係る額)とみなす。D 国庫補助金を受けて施行した清掃施設の整備事業(清掃施設用地取得事業及び清掃運搬施設等整備事業を除く。)のうち平成4年度において事業に着手したものに係る経費に充てるため平成11年度以前において発行を許可された地方債及び平成5年度において事業に着手したものに係る経費に充てるため同年度に発行を許可された地方債(災害復旧事業債、同和対策事業債、地域改善対策事業債及び地域改善対策特定事業債、公害防止事業債、平成4年度及び平成5年度において地方税の減収に伴い発行を許可された地方債、平成4年度補正予算債及び平成5年度補正予算債、臨時財政特例債、公共事業等臨時特例債並びに符号Bにおいて別表第3の13に定める乗率を乗じて得た額を譲受代金とした清掃施設に係るものを除く。)のうち政府資金に係るもの(平成11年度の臨時特例措置として行われた政府資金の繰上償還に係るものを除く。)の当該年度における元利償還金。この場合において、市町村が組織する組合に係る元利償還金については符号Cに準ずるものとする。E 廃棄物の処理及び清掃に関する法律(昭和45年法律第137号)に基づき市町村が単独で施行した清掃施設の整備事業(清掃施設用地取得事業及び清掃運搬施設等整備事業を除く。)のうち平成4年度において事業に着手したものに係る経費に充てるため平成11年度以前において発行を許可された地方債(平成4年度から平成11年度までの各年度において地方税の減収に伴い発行を許可された地方債及び符号Bにおいて別表第3の13に定める乗率を乗じて得た額を譲受代金とした清掃施設に係るものを除く。)のうち政府資金に係るもの(平成11年度の臨時特例措置として行われた政府資金の繰上償還に係るものを除く。)の当該年度における元利償還金。この場合において、市町村が組織する組合に係る元利償還金については符号Cに準ずるものとする。F 廃棄物の処理及び清掃に関する法律に基づき市町村が単独で施行した清掃施設の整備事業(清掃施設用地取得事業及び清掃運搬施設等整備事業を除く。)のうち平成5年度において事業に着手したものに係る経費に充てるため同年度に発行を許可された地方債(地方税の減収に伴い発行を許可された地方債及び符号Bにおいて別表第3の13に定める乗率を乗じて得た額を譲受代金とした清掃施設に係るものを除く。)のうち政府資金に係るもの(平成11年度の臨時特例措置として行われた政府資金の繰上償還に係るものを除く。)の当該年度における元利償還金。この場合において、市町村が組織する組合に係る元利償還金については符号Cに準ずるものとする。G 清掃施設の整備事業(清掃施設用地取得事業及び清掃運搬施設等整備事業を除く。)のうち地域し尿処理施設の整備事業に係る経費に充てるため平成7年度から平成11年度までの各年度において発行を許可された地方債(平成7年度補正予算債、平成8年度補正予算債、平成10年度補正予算債及び平成11年度補正予算債並びに符号Bにおいて別表第3の13に定める乗率を乗じて得た額を譲受代金とした清掃施設に係るものを除く。)のうち政府資金に係るもの(平成11年度の臨時特例措置として行われた政府資金の繰上償還に係るものを除く。)の当該年度における元利償還金。この場合において、市町村が組織する組合に係る元利償還金については符号Cに準ずるものとする。H 廃棄物の処理及び清掃に関する法律に基づき市町村が単独で施行した清掃施設の整備事業(清掃施設用地取得事業及び清掃運搬施設等整備事業を除く。)のうち、平成10年度及び平成11年度においてごみ焼却施設の整備事業(ごみ処理広域化計画に基づき実施される事業で、一日の処理能力が100トンに満たない施設を対象とするものに限る。)並びにごみ焼却施設、粗大ごみ処理施設、し尿処理施設及びコミュニティ・プラントにおける改良事業のうち総事業費が1億5千万円以上の事業に着手したものに係る経費に充てるため同年度に発行を許可された地方債(地方税の減収に伴い発行を許可された地方債及び符号Bにおいて別表第3の13に定める乗率を乗じて得た額を譲受代金とした清掃施設に係るものを除く。)のうち政府資金に係るもの(平成11年度の臨時特例措置として行われた政府資金の繰上償還に係るものを除く。)の当該年度における元利償還金。この場合において、市町村が組織する組合に係る元利償還金については符号Cに準ずるものとする。In 次のa及びbの合算額a 国庫補助金を受けて施行した清掃施設の整備事業(清掃施設用地取得事業及び清掃運搬施設等整備事業を除く。)に係る経費に充てるためn年度において発行について同意又は許可を得た地方債(災害復旧事業債、地域改善対策特定事業債、公害防止事業債、地方税の減収に伴い発行について同意又は許可を得た地方債、補正予算債、符号Bにおいて別表第3の13に定める乗率を乗じて得た額を譲受代金とした清掃施設に係るもの及び総務大臣の指定する充当率を超える部分に係るものを除く。)の額に相当する額。この場合において、市町村が組織する組合に係る額については、符号Cに準ずるものとする。b 廃棄物の処理及び清掃に関する法律に基づき市町村が単独で施行した清掃施設の整備事業(清掃施設用地取得事業及び清掃運搬施設等整備事業を除く。)のうち平成10年度の国庫補助制度の見直しに伴い重点化単独分とされた事業、公害防止計画に基づき実施される事業(平成14年度から平成22年度までの各年度において実施した事業に限る。)、ごみ焼却施設の整備事業(ごみ処理広域化計画に基づき実施される事業で一日の処理能力が100トンに満たない施設を対象とするものに限る。)並びにごみ焼却施設、粗大ごみ処理施設、し尿処理施設及びコミュニティ・プラントにおける改良事業のうち総事業費が1億5千万円以上の事業に係る経費に充てるためn年度に発行について同意又は許可を得た地方債(地方税の減収に伴い発行について同意又は許可を得た地方債、符号Bにおいて別表第3の13に定める乗率を乗じて得た額を譲受代金とした清掃施設に係るもの及び総務大臣の指定する充当率を超える部分に係るものを除く。)の額に相当する額。この場合において、市町村が組織する組合に係る額については、符号Cに準ずるものとする。J18ア 平成18年度市場公募都市に係るもの 0.0053イ 平成18年度市場公募都市以外の市町村に係るもの 0.0000J19ア 平成19年度市場公募都市に係るもの 0.0030イ 平成19年度市場公募都市以外の市町村に係るもの 0.0000J20ア 平成20年度市場公募都市に係るもの 0.04182イ 平成20年度市場公募都市以外の市町村に係るもの 0.04317J21ア 平成21年度市場公募都市に係るもの 0.04132イ 平成21年度市場公募都市以外の市町村に係るもの 0.04269J22ア 平成22年度市場公募都市に係るもの 0.04094イ 平成22年度市場公募都市以外の市町村に係るもの 0.04247J23ア 平成23年度市場公募都市に係るもの 0.04047イ 平成23年度市場公募都市以外の市町村に係るもの 0.04201J24ア 平成24年度市場公募都市に係るもの 0.04021イ 平成24年度市場公募都市以外の市町村に係るもの 0.04157J25ア 平成25年度市場公募都市に係るもの 0.0404イ 平成25年度市場公募都市以外の市町村に係るもの 0.0416J26ア 平成26年度市場公募都市に係るもの 0.0379イ 平成26年度市場公募都市以外の市町村に係るもの 0.0401J27ア 平成27年度市場公募都市に係るもの 0.0405イ 平成27年度市場公募都市以外の市町村に係るもの 0.0414J28ア 平成28年度市場公募都市に係るもの 0.0394イ 平成28年度市場公募都市以外の市町村に係るもの 0.0406J29ア 平成29年度市場公募都市に係るもの 0.0383イ 平成29年度市場公募都市以外の市町村に係るもの 0.0400J30ア 平成30年度市場公募都市に係るもの 0.03727イ 平成30年度市場公募都市以外の市町村に係るもの 0.03922J令元ア 令和元年度市場公募都市に係るもの 0.02755イ 令和元年度市場公募都市以外の市町村に係るもの 0.02996J令2ア 令和2年度市場公募都市に係るもの 0.00135イ 令和2年度市場公募都市以外の市町村に係るもの 0.00137J令3ア 令和3年度市場公募都市に係るもの 0.00215イ 令和3年度市場公募都市以外の市町村に係るもの 0.00221J令4ア 令和4年度市場公募都市に係るもの 0.00424イ 令和4年度市場公募都市以外の市町村に係るもの 0.00432Kn 廃棄物の処理及び清掃に関する法律に基づき市町村が単独で施行した清掃施設の整備事業(清掃施設用地取得事業、清掃運搬施設等整備事業及び符号Inのbにおける清掃施設の整備事業を除く。)に係る経費に充てるためn年度に発行について同意又は許可を得た地方債(地方税の減収に伴い発行について同意又は許可を得た地方債、符号Bにおいて別表第3の13に定める乗率を乗じて得た額を譲受代金とした清掃施設に係るもの及び総務大臣の指定する充当率を超える部分に係るものを除く。)の額に相当する額。この場合において、市町村が組織する組合に係る額については、符号Cに準ずるものとする。L18ア 平成18年度市場公募都市に係るもの 0.0032イ 平成18年度市場公募都市以外の市町村に係るもの 0.0000L19ア 平成19年度市場公募都市に係るもの 0.0018イ 平成19年度市場公募都市以外の市町村に係るもの 0.0000L20ア 平成20年度市場公募都市に係るもの 0.02509イ 平成20年度市場公募都市以外の市町村に係るもの 0.02590L21ア 平成21年度市場公募都市に係るもの 0.02479イ 平成21年度市場公募都市以外の市町村に係るもの 0.02561L22ア 平成22年度市場公募都市に係るもの 0.02456イ 平成22年度市場公募都市以外の市町村に係るもの 0.02548L23ア 平成23年度市場公募都市に係るもの 0.02428イ 平成23年度市場公募都市以外の市町村に係るもの 0.02521L24ア 平成24年度市場公募都市に係るもの 0.02413イ 平成24年度市場公募都市以外の市町村に係るもの 0.02494L25ア 平成25年度市場公募都市に係るもの 0.0242イ 平成25年度市場公募都市以外の市町村に係るもの 0.0250L26ア 平成26年度市場公募都市に係るもの 0.0227イ 平成26年度市場公募都市以外の市町村に係るもの 0.0241L27ア 平成27年度市場公募都市に係るもの 0.0243イ 平成27年度市場公募都市以外の市町村に係るもの 0.0248L28ア 平成28年度市場公募都市に係るもの 0.0236イ 平成28年度市場公募都市以外の市町村に係るもの 0.0244L29ア 平成29年度市場公募都市に係るもの 0.0230イ 平成29年度市場公募都市以外の市町村に係るもの 0.0240L30ア 平成30年度市場公募都市に係るもの 0.02236イ 平成30年度市場公募都市以外の市町村に係るもの 0.02353L令元ア 令和元年度市場公募都市に係るもの 0.01653イ 令和元年度市場公募都市以外の市町村に係るもの 0.01798L令2ア 令和2年度市場公募都市に係るもの 0.00081イ 令和2年度市場公募都市以外の市町村に係るもの 0.00082L令3ア 令和3年度市場公募都市に係るもの 0.00129イ 令和3年度市場公募都市以外の市町村に係るもの 0.00133L令4ア 令和4年度市場公募都市に係るもの 0.00254イ 令和4年度市場公募都市以外の市町村に係るもの 0.00259
 十四 農業行政費農家数算式
算式の符号A 測定単位の数値B 農林水産大臣が調査した国営土地改良事業(昭和63年4月1日以降に事業が完了するものに限る。)に係る市町村の負担金(その支払期間の始期が平成13年度以前のものに限る。)のうち、対象施設に係る土地改良法第90条第9項の規定に基づく負担金、土地改良法等の一部を改正する法律(平成3年法律第58号。以下「土地改良法等改正法」という。)第1条の規定による改正前の土地改良法第90条第5項の規定に基づく負担金及び同法第91条第6項の規定に基づく負担金(当該国営土地改良事業が市町村特別申請事業であつて、その関連土地改良事業が都道府県営土地改良事業である場合に限る。)を基礎として総務大臣が算定して通知した額
   C 農林水産大臣が調査した国立研究開発法人森林研究・整備機構の業務のうち旧緑資源機構及び旧農用地整備公団から継承された業務(平成元年4月1日以降に業務が完了するものに限る。)に係る市町村の負担金(その支払期間の始期が平成13年度以前のものに限る。)のうち、対象施設に係る旧農用地整備公団法第27条第7項及び附則第19条第2項の規定によりなおその効力を有するものとされる農用地開発公団法改正法による改正前の農用地開発公団法第27条第3項の規定に基づく負担金(旧農用地整備公団法施行令第16条第2項に規定する方法により支払われるものを除く。符号F及び符号Iにおいて同じ。)を基礎として総務大臣が算定して通知した額D 農林水産大臣が調査した独立行政法人水資源機構の業務(平成元年4月1日以降に業務が完了するものに限る。)に係る市町村の負担金(その支払期間の始期が平成13年度以前のものに限る。)のうち、対象施設に係る独立行政法人水資源機構法附則第7条の規定により同法第26条第2項の規定に基づく負担金とみなすこととされた旧水資源開発公団法第30条第2項の規定に基づく負担金を基礎として総務大臣が算定して通知した額E 農林水産大臣が調査した国営土地改良事業(昭和63年4月1日以降に事業が完了するものに限る。)に係る市町村の負担金(その支払期間の始期が平成14年度以降のものに限る。)のうち、ダムに係る土地改良法第90条第9項の規定に基づく負担金、土地改良法等改正法第1条の規定による改正前の土地改良法第90条第5項の規定に基づく負担金及び同法第91条第6項の規定に基づく負担金(当該国営土地改良事業が市町村特別申請事業であつて、その関連土地改良事業が都道府県営土地改良事業である場合に限る。)を基礎として総務大臣が算定して通知した額F 農林水産大臣が調査した国立研究開発法人森林研究・整備機構の業務のうち旧緑資源機構及び旧農用地整備公団から継承された業務(平成元年4月1日以降に業務が完了するものに限る。)に係る市町村の負担金(その支払期間の始期が平成14年度以降のものに限る。)のうち、ダムに係る旧農用地整備公団法第27条第7項及び附則第19条第2項の規定によりなおその効力を有するものとされる農用地開発公団法改正法による改正前の農用地開発公団法第27条第3項の規定に基づく負担金を基礎として総務大臣が算定して通知した額G 農林水産大臣が調査した独立行政法人水資源機構の業務(平成元年4月1日以降に業務が完了するものに限る。)に係る市町村の負担金(その支払期間の始期が平成14年度以降のものに限る。)のうち、ダムに係る独立行政法人水資源機構法附則第7条の規定により同法第26条第2項の規定に基づく負担金とみなすこととされた旧水資源開発公団法第30条第2項の規定に基づく負担金を基礎として総務大臣が算定して通知した額H 農林水産大臣が調査した国営土地改良事業(昭和63年4月1日以降に事業が完了するものに限る。)に係る市町村の負担金(その支払期間の始期が平成14年度以降であり、かつ、事業実施年度が平成22年度までのものに限る。)のうち、対象施設(ダムを除く。)に係る土地改良法第90条第9項の規定に基づく負担金、土地改良法等改正法第1条の規定による改正前の土地改良法第90条第5項の規定に基づく負担金及び同法第91条第6項の規定に基づく負担金(当該国営土地改良事業が市町村特別申請事業であつて、その関連土地改良事業が都道府県営土地改良事業である場合に限る。)を基礎として総務大臣が算定して通知した額I 農林水産大臣が調査した国立研究開発法人森林研究・整備機構の業務のうち旧緑資源機構及び旧農用地整備公団から継承された業務(平成元年4月1日以降に業務が完了するものに限る。)に係る市町村の負担金(その支払期間の始期が平成14年度以降であり、かつ、事業実施年度が平成22年度までのものに限る。)のうち、対象施設(ダムを除く。)に係る旧農用地整備公団法第27条第7項及び附則第19条第2項の規定によりなおその効力を有するものとされる農用地開発公団法改正法による改正前の農用地開発公団法第27条第3項の規定に基づく負担金を基礎として総務大臣が算定して通知した額J 農林水産大臣が調査した独立行政法人水資源機構の業務(平成元年4月1日以降に業務が完了するものに限る。)に係る市町村の負担金(その支払期間の始期が平成14年度以降であり、かつ、事業実施年度が平成22年度までのものに限る。)のうち、対象施設(ダムを除く。)に係る独立行政法人水資源機構法附則第7条の規定により同法第26条第2項の規定に基づく負担金とみなすこととされた旧水資源開発公団法第30条第2項の規定に基づく負担金を基礎として総務大臣が算定して通知した額K 農林水産大臣が調査した国営土地改良事業(昭和63年4月1日以降に事業が完了するものに限る。)に係る市町村の負担金(事業実施年度が平成23年度以降のものに限る。)のうち、対象施設(ダムを除く。)に係る土地改良法第90条第9項の規定に基づく負担金、土地改良法等改正法第1条の規定による改正前の土地改良法第90条第5項の規定に基づく負担金及び同法第91条第6項の規定に基づく負担金(当該国営土地改良事業が市町村特別申請事業であつて、その関連土地改良事業が都道府県営土地改良事業である場合に限る。)を基礎として総務大臣が算定して通知した額L 農林水産大臣が調査した国立研究開発法人森林研究・整備機構の業務のうち旧緑資源機構及び旧農用地整備公団から継承された業務(平成元年4月1日以降に業務が完了するものに限る。)に係る市町村の負担金(事業実施年度が平成23年度以降のものに限る。)のうち、対象施設(ダムを除く。)に係る旧農用地整備公団法第27条第7項及び附則第19条第2項の規定によりなおその効力を有するものとされる農用地開発公団法改正法による改正前の農用地開発公団法第27条第3項の規定に基づく負担金を基礎として総務大臣が算定して通知した額M 農林水産大臣が調査した独立行政法人水資源機構の業務(平成元年4月1日以降に業務が完了するものに限る。)に係る市町村の負担金(事業実施年度が平成23年度以降のものに限る。)のうち、対象施設(ダムを除く。)に係る独立行政法人水資源機構法附則第7条の規定により同法第26条第2項の規定に基づく負担金とみなすこととされた旧水資源開発公団法第30条第2項の規定に基づく負担金を基礎として総務大臣が算定して通知した額Nn n年度において発行について同意又は許可を得た都道府県営土地改良事業(農業生産基盤整備系統に限る。)における市町村の負担金に係る地方債(災害復旧事業債、公害防止事業債、平成22年度から令和4年度までの各年度において地方税の減収に伴い発行について同意又は許可を得た地方債、平成22年度から令和4年度までの各年度において発行について同意又は許可を得た補正予算債、地域財政特例対策債、臨時財政特例債、公共事業等臨時特例債、平成22年度から令和4年度までの各年度の財源対策のため当該各年度において発行について同意又は許可を得た地方債及び地方債計画に計上されない地方債を除く。)(平成22年度から令和4年度までの各年度において発行について同意又は許可を得たものについては、平成21年度以前に着手した継続事業として総務大臣が調査した事業に係る地方債に限る。)の同意等額(平成22年度から令和4年度までの各年度にあつては、ダムに係るものとして総務大臣が通知した額とする。)O22=0.045O23=0.044O24=0.044O25=0.044O26=0.043O27=0.042O28=0.0422O29=0.0422O30=0.04180O令元=0.04180O令2=0.00100O令3=0.00175O令4=0.00350
   Pn n年度において発行について同意又は許可を得た都道府県営土地改良事業(農地等保全管理事業及び農業施設災害関連事業に限る。)における市町村の負担金に係る地方債(災害復旧事業債、公害防止事業債、平成20年度から令和4年度までの各年度において地方税の減収に伴い発行について同意又は許可を得た地方債、平成20年度から令和4年度までの各年度において発行について同意又は許可を得た補正予算債、地域財政特例対策債、臨時財政特例債、公共事業等臨時特例債、平成20年度から令和4年度までの各年度の財源対策のため当該各年度において発行について同意又は許可を得た地方債及び地方債計画に計上されない地方債を除く。)(ダムに係るもので平成22年度から令和4年度までの各年度において発行について同意又は許可を得たものについては、平成21年度以前に着手した継続事業として総務大臣が調査した事業に係る地方債に限る。)の同意等額に相当する額(平成20年度から令和2年度までの各年度にあつてはダムに係るものとして総務大臣が通知した額とし、令和3年度及び令和4年度にあつてはダムに係るもの又は防災重点農業用ため池緊急整備事業に係るものとして総務大臣が通知した額とする。)
   Q20=0.046Q21=0.045Q22=0.045Q23=0.027Q24=0.026Q25=0.026Q26=0.025Q27=0.024Q28=0.0241Q29=0.0241Q30=0.02364Q令元=0.02337Q令2=0.00200Q令3=0.00325Q令4=0.00550Rn n年度において発行について同意又は許可を得た国営土地改良事業(国営かんがい排水事業及び国営農用地再編開発事業等に限る。)における市町村の負担金(土地改良法施行令第52条の2第1項第1号に規定する方法のうち事業完了年度の翌年度以降に一括して支払う方法により支払われるものに限る。)に係る地方債(発行について地方財政法第5条の3第6項の規定による届出がされた地方債のうち同条第1項の規定による協議を受けたならば同条第10項に規定する基準に照らして同意をすることとなると認められるものとして総務大臣が指定するものを含む。以下同じ。)(災害復旧事業債、公害防止事業債、平成22年度から令和4年度までの各年度において地方税の減収に伴い発行について同意又は許可を得た地方債、平成22年度から令和4年度までの各年度において発行について同意又は許可を得た補正予算債、平成22年度から令和4年度までの各年度において財源対策のため発行について同意又は許可を得た地方債及び地方債計画に計上されない地方債を除く。)の同意等額のうちダムに係るものとして総務大臣が通知した額S22=0.045S23=0.044S24=0.044S25=0.044S26=0.043S27=0.042S28=0.0422S29=0.0422S30=0.04180S令元=0.04180S令2=0.00100S令3=0.00175S令4=0.00350Tn n年度において発行について同意又は許可を得た国営土地改良事業(国営総合農地防災事業等に限る。)における市町村の負担金(土地改良法施行令第52条の2第1項第1号に規定する方法のうち事業完了年度の翌年度以降に一括して支払う方法により支払われるものに限る。)に係る地方債(発行について地方財政法第5条の3第6項の規定による届出がされた地方債のうち同条第1項の規定による協議を受けたならば同条第10項に規定する基準に照らして同意をすることとなると認められるものとして総務大臣が指定するものを含む。以下同じ。)(災害復旧事業債、公害防止事業債、平成20年度から令和4年度までの各年度において地方税の減収に伴い発行について同意又は許可を得た地方債、平成20年度から令和4年度までの各年度において発行について同意又は許可を得た補正予算債、平成20年度から令和4年度までの各年度において財源対策のため発行について同意又は許可を得た地方債及び地方債計画に計上されない地方債を除く。)の同意等額のうちダムに係るものとして総務大臣が通知した額U20=0.046U21=0.045U22=0.045U23=0.027U24=0.026U25=0.026U26=0.025U27=0.024U28=0.0241U29=0.0241U30=0.02364U令元=0.02337U令2=0.00200U令3=0.00325U令4=0.00550Vn n年度において発行について同意又は許可を得た団体営土地改良事業(防災重点農業用ため池緊急整備事業に限る。)における市町村の負担金に係る地方債(発行について地方財政法第5条の3第6項の規定による届出がされた地方債のうち同条第1項の規定による協議を受けたならば同条第10項に規定する基準に照らして同意をすることとなると認められるものとして総務大臣が指定するものを含む。以下同じ。)(災害復旧事業債、公害防止事業債、令和3年度及び令和4年度において地方税の減収に伴い発行について同意又は許可を得た地方債、令和3年度及び令和4年度において発行について同意又は許可を得た補正予算債、令和3年度及び令和4年度において財源対策のため発行について同意又は許可を得た地方債並びに地方債計画に計上されない地方債を除く。)の同意等額に相当する額として総務大臣が通知した額W令3=0.00325W令4=0.00550Xn n年度において発行について同意又は許可を得た国立研究開発法人森林研究・整備機構、旧緑資源機構、旧緑資源公団及び旧農用地整備公団の業務における市町村の負担金(旧農用地整備公団法施行令第16条に規定する方法により支払われるものに限る。)及び独立行政法人水資源機構の業務における市町村の負担金(平成22年度以降に同意又は許可を得たものに限る。)に係る地方債(発行について地方財政法第5条の3第6項の規定による届出がされた地方債のうち同条第1項の規定による協議を受けたならば同条第10項に規定する基準に照らして同意をすることとなると認められるものとして総務大臣が指定するものを含む。以下同じ。)(災害復旧事業債、公害防止事業債、平成22年度から令和4年度までの各年度において地方税の減収に伴い発行について同意又は許可を得た地方債、平成22年度から令和4年度までの各年度において発行について同意又は許可を得た補正予算債、臨時財政特例債、平成22年度から令和4年度までの各年度において財源対策のため発行について同意又は許可を得た地方債(臨時公共事業債分)及び地方債計画に計上されない地方債を除く。)の同意等額(平成22年度から令和4年度までの各年度にあつては、ダムに係るものとして総務大臣が通知した額とする。)Y22=0.045Y23=0.044Y24=0.044Y25=0.044Y26=0.043Y27=0.042Y28=0.0422Y29=0.0422Y30=0.04180Y令元=0.04180Y令2=0.00100Y令3=0.00175Y令4=0.00350
   Zn 平成n年度において発行について同意又は許可を得た臨時地方道整備事業に係る地方債(総務大臣の指定する充当の率を超える部分に係るものを除く。)のうちふるさと農道緊急整備事業に係るもの(平成15年度から平成20年度までの各年度において財源対策のため発行について同意又は許可を得た地方債として総務大臣が指定するものを除く。)の額に相当する額AA15=0.006AA16=0.003AA17ア 平成17年度市場公募都市に係るもの 0.012イ 平成17年度市場公募都市以外の市町村に係るもの 0.000AA18ア 平成18年度市場公募都市に係るもの 0.011イ 平成18年度市場公募都市以外の市町村に係るもの 0.000AA19ア 平成19年度市場公募都市に係るもの 0.011イ 平成19年度市場公募都市以外の市町村に係るもの 0.000AA20ア 平成20年度市場公募都市に係るもの 0.01278イ 平成20年度市場公募都市以外の市町村に係るもの 0.01785ABn 平成n年度において発行について同意又は許可を得た臨時地方道整備事業に係る地方債(総務大臣の指定する充当の率を超える部分に係るものを除く。)のうちふるさと農道緊急整備事業に係るものの額(平成15年度から平成20年度までの各年度において財源対策のため発行について同意又は許可を得た地方債の額として総務大臣が指定するものに限る。)AC15=0.010AC16=0.005AC17ア 平成17年度市場公募都市に係るもの 0.020イ 平成17年度市場公募都市以外の市町村に係るもの 0.000AC18ア 平成18年度市場公募都市に係るもの 0.019イ 平成18年度市場公募都市以外の市町村に係るもの 0.000AC19ア 平成19年度市場公募都市に係るもの 0.019イ 平成19年度市場公募都市以外の市町村に係るもの 0.000AC20ア 平成20年度市場公募都市に係るもの 0.02130イ 平成20年度市場公募都市以外の市町村に係るもの 0.02976ADn 平成n年度において発行について同意又は許可を得た臨時地方道整備事業に係る地方債(総務大臣の指定する充当の率を超える部分に係るものを除く。)のうちふるさと林道緊急整備事業に係るもの(平成15年度から平成20年度までの各年度において財源対策のため発行について同意又は許可を得た地方債として総務大臣が指定するものを除く。)の額に相当する額(林野水産行政費における林業及び水産業の従業者数がない団体のみ適用する。)AE15=0.006AE16=0.003AE17ア 平成17年度市場公募都市に係るもの 0.012イ 平成17年度市場公募都市以外の市町村に係るもの 0.000AE18ア 平成18年度市場公募都市に係るもの 0.011イ 平成18年度市場公募都市以外の市町村に係るもの 0.000AE19ア 平成19年度市場公募都市に係るもの 0.011イ 平成19年度市場公募都市以外の市町村に係るもの 0.000AE20ア 平成20年度市場公募都市に係るもの 0.01278イ 平成20年度市場公募都市以外の市町村に係るもの 0.01785AFn 平成n年度において発行について同意又は許可を得た臨時地方道整備事業に係る地方債(総務大臣の指定する充当の率を超える部分に係るものを除く。)のうちふるさと林道緊急整備事業に係るものの額(平成15年度から平成20年度までの各年度において財源対策のため発行について同意又は許可を得た地方債の額として総務大臣が指定するものに限る。)(林野水産行政費における林業及び水産業の従業者数がない団体のみ適用する。)AG15=0.010AG16=0.005AG17ア 平成17年度市場公募都市に係るもの 0.020イ 平成17年度市場公募都市以外の市町村に係るもの 0.000AG18ア 平成18年度市場公募都市に係るもの 0.019イ 平成18年度市場公募都市以外の市町村に係るもの 0.000AG19ア 平成19年度市場公募都市に係るもの 0.019イ 平成19年度市場公募都市以外の市町村に係るもの 0.000AG20ア 平成20年度市場公募都市に係るもの 0.02130イ 平成20年度市場公募都市以外の市町村に係るもの 0.02976AHn 平成n年度において発行について同意又は許可を得た一般補助施設整備等事業(一般分)に係る地方債のうち特定間伐等促進対策に係るものの額に相当する額(林野水産行政費における林業及び水産業の従事者数がない団体のみ適用する。)AI20ア 平成20年度市場公募都市に係るもの 0.01278イ 平成20年度市場公募都市以外の市町村に係るもの 0.01785AI21ア 平成21年度市場公募都市に係るもの 0.01440イ 平成21年度市場公募都市以外の市町村に係るもの 0.01867AI22ア 平成22年度市場公募都市に係るもの 0.01406イ 平成22年度市場公募都市以外の市町村に係るもの 0.01877AJn 平成n年度において発行について同意又は許可を得た地方道路等整備事業に係る地方債(総務大臣の指定する充当の率を超える部分に係るものを除く。)のうちふるさと農道緊急整備事業(平成22年度から平成24年度までの各年度において発行について同意又は許可を得たものについては、平成21年度以前に着手した継続事業として総務大臣が調査した事業に限る。)に係るもの(平成21年度から平成24年度までの各年度において財源対策のため発行について同意又は許可を得た地方債として総務大臣が指定するものを除く。)の額に相当する額AK21ア 平成21年度市場公募都市に係るもの 0.01440イ 平成21年度市場公募都市以外の市町村に係るもの 0.01867AK22ア 平成22年度市場公募都市に係るもの 0.01406イ 平成22年度市場公募都市以外の市町村に係るもの 0.01877AK23ア 平成23年度市場公募都市に係るもの 0.01456イ 平成23年度市場公募都市以外の市町村に係るもの 0.01881AK24ア 平成24年度市場公募都市に係るもの 0.01502イ 平成24年度市場公募都市以外の市町村に係るもの 0.01930ALn 平成n年度において発行について同意又は許可を得た地方道路等整備事業に係る地方債(総務大臣の指定する充当の率を超える部分に係るものを除く。)のうちふるさと農道緊急整備事業に係るものの額(平成21年度から平成24年度までの各年度において財源対策のため発行について同意又は許可を得た地方債の額として総務大臣が指定するものに限る。)AM21ア 平成21年度市場公募都市に係るもの 0.02400イ 平成21年度市場公募都市以外の市町村に係るもの 0.03112AM22ア 平成22年度市場公募都市に係るもの 0.02344イ 平成22年度市場公募都市以外の市町村に係るもの 0.03129AM23ア 平成23年度市場公募都市に係るもの 0.02427イ 平成23年度市場公募都市以外の市町村に係るもの 0.03135AM24ア 平成24年度市場公募都市に係るもの 0.02504イ 平成24年度市場公募都市以外の市町村に係るもの 0.03217ANn 平成n年度において発行について同意又は許可を得た地方道路等整備事業に係る地方債(総務大臣の指定する充当の率を超える部分に係るものを除く。)のうちふるさと林道緊急整備事業に係るもの(平成21年度から平成24年度までの各年度において財源対策のため発行について同意又は許可を得た地方債として総務大臣が指定するものを除く。)の額に相当する額(林野水産行政費における林業及び水産業の従業者数がない団体のみ適用する。)AO21ア 平成21年度市場公募都市に係るもの 0.01440イ 平成21年度市場公募都市以外の市町村に係るもの 0.01867AO22ア 平成22年度市場公募都市に係るもの 0.01406イ 平成22年度市場公募都市以外の市町村に係るもの 0.01877AO23ア 平成23年度市場公募都市に係るもの 0.01456イ 平成23年度市場公募都市以外の市町村に係るもの 0.01881AO24ア 平成24年度市場公募都市に係るもの 0.01502イ 平成24年度市場公募都市以外の市町村に係るもの 0.01930APn 平成n年度において発行について同意又は許可を得た地方道路等整備事業に係る地方債(総務大臣の指定する充当の率を超える部分に係るものを除く。)のうちふるさと林道緊急整備事業に係るものの額(平成21年度から平成24年度までの各年度において財源対策のため発行について同意又は許可を得た地方債の額として総務大臣が指定するものに限る。)(林野水産行政費における林業及び水産業の従業者数がない団体のみ適用する。)AQ21ア 平成21年度市場公募都市に係るもの 0.02400イ 平成21年度市場公募都市以外の市町村に係るもの 0.03112AQ22ア 平成22年度市場公募都市に係るもの 0.02344イ 平成22年度市場公募都市以外の市町村に係るもの 0.03129AQ23ア 平成23年度市場公募都市に係るもの 0.02427イ 平成23年度市場公募都市以外の市町村に係るもの 0.03135AQ24ア 平成24年度市場公募都市に係るもの 0.02504イ 平成24年度市場公募都市以外の市町村に係るもの 0.03217ARn n年度において発行について同意又は許可を得た一般補助施設整備等事業に係る地方債(総務大臣の指定する充当の率を超える部分に係るものを除く。)のうち農地耕作条件改善事業に係るものの額に相当する額として総務大臣が通知した額AS令元ア 令和元年度市場公募都市に係るもの 0.00786イ 令和元年度市場公募都市以外の市町村に係るもの 0.01107AS令2ア 令和2年度市場公募都市に係るもの 0.00046イ 令和2年度市場公募都市以外の市町村に係るもの 0.00048AS令3ア 令和3年度市場公募都市に係るもの 0.00059イ 令和3年度市場公募都市以外の市町村に係るもの 0.00069AS令4ア 令和4年度市場公募都市に係るもの 0.00146イ 令和4年度市場公募都市以外の市町村に係るもの 0.00162ATn n年度において発行について同意又は許可を得た一般補助施設整備等事業に係る地方債(総務大臣の指定する充当の率を超える部分に係るものを除く。)のうち農業水路等長寿命化・防災減災事業に係るものの額に相当する額として総務大臣が通知した額AU令元ア 令和元年度市場公募都市に係るもの 0.00786イ 令和元年度市場公募都市以外の市町村に係るもの 0.01107AU令2ア 令和2年度市場公募都市に係るもの 0.00046イ 令和2年度市場公募都市以外の市町村に係るもの 0.00048AU令3ア 令和3年度市場公募都市に係るもの 0.00059イ 令和3年度市場公募都市以外の市町村に係るもの 0.00069AU令4ア 令和4年度市場公募都市に係るもの 0.00146イ 令和4年度市場公募都市以外の市町村に係るもの 0.00162
 十五 林野水産行政費林業及び水産業の従業者数算式
算式の符号A 測定単位の数値Bn 平成n年度において発行について同意又は許可を得た臨時地方道整備事業に係る地方債(総務大臣の指定する充当の率を超える部分に係るものを除く。)のうちふるさと林道緊急整備事業に係るもの(平成15年度から平成20年度までの各年度において財源対策のため発行について同意又は許可を得た地方債として総務大臣が指定するものを除く。)の額に相当する額C15=0.006C16=0.003C17ア 平成17年度市場公募都市に係るもの 0.012イ 平成17年度市場公募都市以外の市町村に係るもの 0.000C18ア 平成18年度市場公募都市に係るもの 0.011イ 平成18年度市場公募都市以外の市町村に係るもの 0.000C19ア 平成19年度市場公募都市に係るもの 0.011イ 平成19年度市場公募都市以外の市町村に係るもの 0.000C20ア 平成20年度市場公募都市に係るもの 0.01278イ 平成20年度市場公募都市以外の市町村に係るもの 0.01785
   Dn 平成n年度において発行について同意又は許可を得た臨時地方道整備事業に係る地方債(総務大臣の指定する充当の率を超える部分に係るものを除く。)のうちふるさと林道緊急整備事業に係るものの額(平成15年度から平成20年度までの各年度において財源対策のため発行について同意又は許可を得た地方債の額として総務大臣が指定するものに限る。)E15=0.010E16=0.005E17ア 平成17年度市場公募都市に係るもの 0.020イ 平成17年度市場公募都市以外の市町村に係るもの 0.000E18ア 平成18年度市場公募都市に係るもの 0.019イ 平成18年度市場公募都市以外の市町村に係るもの 0.000E19ア 平成19年度市場公募都市に係るもの 0.019イ 平成19年度市場公募都市以外の市町村に係るもの 0.000E20ア 平成20年度市場公募都市に係るもの 0.02130イ 平成20年度市場公募都市以外の市町村に係るもの 0.02976Fn 平成n年度において発行について同意又は許可を得た一般補助施設整備等事業(一般分)に係る地方債のうち特定間伐等促進対策に係るものの額に相当する額G20ア 平成20年度市場公募都市に係るもの 0.01278イ 平成20年度市場公募都市以外の市町村に係るもの 0.01785G21ア 平成21年度市場公募都市に係るもの 0.01440イ 平成21年度市場公募都市以外の市町村に係るもの 0.01867G22ア 平成22年度市場公募都市に係るもの 0.01406イ 平成22年度市場公募都市以外の市町村に係るもの 0.01877Hn 平成n年度において発行について同意又は許可を得た地方道路等整備事業に係る地方債(総務大臣の指定する充当の率を超える部分に係るものを除く。)のうちふるさと林道緊急整備事業(平成22年度から平成24年度までの各年度において発行について同意又は許可を得たものについては、平成21年度以前に着手した継続事業として総務大臣が調査した事業に限る。)に係るもの(平成21年度から平成24年度までの各年度において財源対策のため発行について同意又は許可を得た地方債として総務大臣が指定するものを除く。)の額に相当する額I21ア 平成21年度市場公募都市に係るもの 0.01440イ 平成21年度市場公募都市以外の市町村に係るもの 0.01867I22ア 平成22年度市場公募都市に係るもの 0.01406イ 平成22年度市場公募都市以外の市町村に係るもの 0.01877I23ア 平成23年度市場公募都市に係るもの 0.01456イ 平成23年度市場公募都市以外の市町村に係るもの 0.01881I24ア 平成24年度市場公募都市に係るもの 0.01502イ 平成24年度市場公募都市以外の市町村に係るもの 0.01930Jn 平成n年度において発行について同意又は許可を得た地方道路等整備事業に係る地方債(総務大臣の指定する充当の率を超える部分に係るものを除く。)のうちふるさと林道緊急整備事業に係るものの額(平成21年度から平成24年度までの各年度において財源対策のため発行について同意又は許可を得た地方債の額として総務大臣が指定するものに限る。)K21ア 平成21年度市場公募都市に係るもの 0.02400イ 平成21年度市場公募都市以外の市町村に係るもの 0.03112K22ア 平成22年度市場公募都市に係るもの 0.02344イ 平成22年度市場公募都市以外の市町村に係るもの 0.03129K23ア 平成23年度市場公募都市に係るもの 0.02427イ 平成23年度市場公募都市以外の市町村に係るもの 0.03135K24ア 平成24年度市場公募都市に係るもの 0.02504イ 平成24年度市場公募都市以外の市町村に係るもの 0.03217
 十六 地域振興費人口算式Ⅰ
算式Ⅰの符号A 測定単位の数値Bn n年度において発行について同意又は許可を得た地域活性化事業債(平成15年度から令和4年度までの各年度において財源対策のため発行について同意又は許可を得た地方債として総務大臣が指定するもの、平成19年度補正予算債及び平成22年度補正予算債、平成21年度において発行について同意又は許可を得た地域活性化事業債のうち定住自立圏推進事業に係るもの並びに総務大臣の指定する充当の率を超える部分に係るものを除く。)の額に相当する額。この場合において、市町村が組織する組合に係る額は、当該額を当該組合を構成する市町村の長が協議して定め、総務大臣が承認した率(協議が成立しないときは、総務大臣が定める率)により按分したものをそれぞれの市町村に係る額とみなす。C15=1.000C16=0.526C17ア 平成17年度市場公募都市に係るもの 2.053イ 平成17年度市場公募都市以外の市町村に係るもの 0.000C18ア 平成18年度市場公募都市に係るもの 2.000イ 平成18年度市場公募都市以外の市町村に係るもの 0.000C19ア 平成19年度市場公募都市に係るもの 2.000イ 平成19年度市場公募都市以外の市町村に係るもの 0.000C20ア 平成20年度市場公募都市に係るもの 2.24158イ 平成20年度市場公募都市以外の市町村に係るもの 3.13211C21ア 平成21年度市場公募都市に係るもの 2.52579イ 平成21年度市場公募都市以外の市町村に係るもの 3.27526C22ア 平成22年度市場公募都市に係るもの 2.46684イ 平成22年度市場公募都市以外の市町村に係るもの 3.29316C23ア 平成23年度市場公募都市に係るもの 2.55474イ 平成23年度市場公募都市以外の市町村に係るもの 3.29947C24ア 平成24年度市場公募都市に係るもの 2.63526イ 平成24年度市場公募都市以外の市町村に係るもの 3.38579C25ア 平成25年度市場公募都市に係るもの 2.737イ 平成25年度市場公募都市以外の市町村に係るもの 3.421C26ア 平成26年度市場公募都市に係るもの 2.684イ 平成26年度市場公募都市以外の市町村に係るもの 3.368C27ア 平成27年度市場公募都市に係るもの 2.579イ 平成27年度市場公募都市以外の市町村に係るもの 3.263C28ア 平成28年度市場公募都市に係るもの 2.5000イ 平成28年度市場公募都市以外の市町村に係るもの 3.2526C29ア 平成29年度市場公募都市に係るもの 2.5105イ 平成29年度市場公募都市以外の市町村に係るもの 3.2632C30ア 平成30年度市場公募都市に係るもの 1.91368イ 平成30年度市場公募都市以外の市町村に係るもの 2.66105C令元ア 令和元年度市場公募都市に係るもの 1.86158イ 令和元年度市場公募都市以外の市町村に係るもの 2.62263C令2ア 令和2年度市場公募都市に係るもの 0.10947イ 令和2年度市場公募都市以外の市町村に係るもの 0.11421C令3ア 令和3年度市場公募都市に係るもの 0.14053イ 令和3年度市場公募都市以外の市町村に係るもの 0.16263C令4ア 令和4年度市場公募都市に係るもの 0.34579イ 令和4年度市場公募都市以外の市町村に係るもの 0.38263Dn n年度において発行について同意又は許可を得た地域活性化事業債の額(平成21年度までに提出された地域活性化計画に位置づけられている継続の事業等の地方債の額として総務大臣が調査したものに限る。)E22ア 平成22年度市場公募都市に係るもの 2.46684イ 平成22年度市場公募都市以外の市町村に係るもの 3.29316E23ア 平成23年度市場公募都市に係るもの 2.55474イ 平成23年度市場公募都市以外の市町村に係るもの 3.29947E24ア 平成24年度市場公募都市に係るもの 2.63526イ 平成24年度市場公募都市以外の市町村に係るもの 3.38579E25ア 平成25年度市場公募都市に係るもの 2.737イ 平成25年度市場公募都市以外の市町村に係るもの 3.421E26ア 平成26年度市場公募都市に係るもの 2.684イ 平成26年度市場公募都市以外の市町村に係るもの 3.368E27ア 平成27年度市場公募都市に係るもの 2.579イ 平成27年度市場公募都市以外の市町村に係るもの 3.263E28ア 平成28年度市場公募都市に係るもの 2.5000イ 平成28年度市場公募都市以外の市町村に係るもの 3.2526E29ア 平成29年度市場公募都市に係るもの 2.5105イ 平成29年度市場公募都市以外の市町村に係るもの 3.2632E30ア 平成30年度市場公募都市に係るもの 1.91368イ 平成30年度市場公募都市以外の市町村に係るもの 2.66105E令元ア 令和元年度市場公募都市に係るもの 1.86158イ 令和元年度市場公募都市以外の市町村に係るもの 2.62263E令2ア 令和2年度市場公募都市に係るもの 0.10947イ 令和2年度市場公募都市以外の市町村に係るもの 0.11421E令3ア 令和3年度市場公募都市に係るもの 0.14053イ 令和3年度市場公募都市以外の市町村に係るもの 0.16263E令4ア 令和4年度市場公募都市に係るもの 0.34579イ 令和4年度市場公募都市以外の市町村に係るもの 0.38263F21 平成21年度において発行について同意又は許可を得た地域活性化事業債(総務大臣の指定する充当の率を超える部分に係るもの及び平成21年度において財源対策のため発行について同意又は許可を得た地方債として総務大臣が指定するものを除く。)のうち、定住自立圏推進事業に係るものの額に相当する額。この場合において、市町村が組織する組合に係る額については符号Bnに準ずることとする。G21ア 平成21年度市場公募都市に係るもの 0.01680イ 平成21年度市場公募都市以外の市町村に係るもの 0.02178Hn n年度において発行について同意又は許可を得た地域活性化事業債の額(平成15年度から令和4年度までの各年度において財源対策のため発行について同意又は許可を得た地方債の額として総務大臣が指定するものに限る。)(平成22年度から令和4年度までの各年度において発行について同意又は許可を得たものについては、平成21年度以前に着手した継続の事業等の地方債として総務大臣が調査したものに限る。)I15=1.000I16=0.149I17ア 平成17年度市場公募都市に係るもの 0.582イ 平成17年度市場公募都市以外の市町村に係るもの 0.000I18ア 平成18年度市場公募都市に係るもの 0.567イ 平成18年度市場公募都市以外の市町村に係るもの 0.000I19ア 平成19年度市場公募都市に係るもの 0.567イ 平成19年度市場公募都市以外の市町村に係るもの 0.000I20ア 平成20年度市場公募都市に係るもの 0.63567イ 平成20年度市場公募都市以外の市町村に係るもの 0.88821I21ア 平成21年度市場公募都市に係るもの 0.71627イ 平成21年度市場公募都市以外の市町村に係るもの 0.92881I22ア 平成22年度市場公募都市に係るもの 0.69955イ 平成22年度市場公募都市以外の市町村に係るもの 0.93388I23ア 平成23年度市場公募都市に係るもの 0.72448イ 平成23年度市場公募都市以外の市町村に係るもの 0.93567I24ア 平成24年度市場公募都市に係るもの 0.74731イ 平成24年度市場公募都市以外の市町村に係るもの 0.96015I25ア 平成25年度市場公募都市に係るもの 0.776イ 平成25年度市場公募都市以外の市町村に係るもの 0.970I26ア 平成26年度市場公募都市に係るもの 0.761イ 平成26年度市場公募都市以外の市町村に係るもの 0.955I27ア 平成27年度市場公募都市に係るもの 0.731イ 平成27年度市場公募都市以外の市町村に係るもの 0.925I28ア 平成28年度市場公募都市に係るもの 0.7090イ 平成28年度市場公募都市以外の市町村に係るもの 0.9224I29ア 平成29年度市場公募都市に係るもの 0.7119イ 平成29年度市場公募都市以外の市町村に係るもの 0.9254I30ア 平成30年度市場公募都市に係るもの 0.54269イ 平成30年度市場公募都市以外の市町村に係るもの 0.75463I令元ア 令和元年度市場公募都市に係るもの 0.52791イ 令和元年度市場公募都市以外の市町村に係るもの 0.74373I令2ア 令和2年度市場公募都市に係るもの 0.03104イ 令和2年度市場公募都市以外の市町村に係るもの 0.03239I令3ア 令和3年度市場公募都市に係るもの 0.03985イ 令和3年度市場公募都市以外の市町村に係るもの 0.04612I令4ア 令和4年度市場公募都市に係るもの 0.09806イ 令和4年度市場公募都市以外の市町村に係るもの 0.10851Jn 平成n年度において発行について同意又は許可を得た旧地域総合整備事業債特別分(平成15年度から平成19年度までの各年度において財源対策のため発行について同意又は許可を得た地方債として総務大臣が指定するものを除く。)の額に相当する額。この場合において、市町村が組織する組合に係る額については符号Bnに準ずるものとする。K15=1.000K16=0.526K17ア 平成17年度市場公募都市に係るもの 2.053イ 平成17年度市場公募都市以外の市町村に係るもの 0.000K18ア 平成18年度市場公募都市に係るもの 2.000イ 平成18年度市場公募都市以外の市町村に係るもの 0.000K19ア 平成19年度市場公募都市に係るもの 2.000イ 平成19年度市場公募都市以外の市町村に係るもの 0.000α 当該市町村の財政力指数(当該市町村に係る基準財政収入額(錯誤に係る額として加減した額を除く。)を基準財政需要額(錯誤に係る額として加減した額を除く。)で除して得た数値(小数点以下2位未満の端数があるときは、その端数を四捨五入する。)で当該年度前3年度内の各年度に係るものを合算して得たものを3で除して得た数値(小数点以下2位未満の端数があるときは、その端数を四捨五入する。)をいい、当該年度の4月1日以前3年の間に市町村の廃置分合又は境界変更によつてその区域に異動のあつた市町村については、当該市町村が当該年度の4月1日現在の区域をもつて存在していたものとみなして算定し、これらの額の分別の方法については、第49条及び第50条の規定を準用する。)に別表第3の9Aに定める当該財政力指数の段階に応ずる率を乗じて得た数(小数点以下3位未満の端数があるときは、その端数を四捨五入する。)と同表Bに定める当該財政力指数の段階に応ずる数値との合計数とする。ただし、当該合計数が0.300に満たないときは0.300とし、0.550を超えるときは0.550とする。Ln 平成n年度において発行について同意又は許可を得た旧地域総合整備事業債特別分の額(平成15年度から平成19年度までの各年度において財源対策のため発行について同意又は許可を得た地方債の額として総務大臣が指定するものに限る。)M15=1.000M16=0.149M17ア 平成17年度市場公募都市に係るもの 0.582イ 平成17年度市場公募都市以外の市町村に係るもの 0.000M18ア 平成18年度市場公募都市に係るもの 0.567イ 平成18年度市場公募都市以外の市町村に係るもの 0.000M19ア 平成19年度市場公募都市に係るもの 0.567イ 平成19年度市場公募都市以外の市町村に係るもの 0.000Nn 平成n年度において発行について同意又は許可を得た地域総合整備資金貸付事業債(用地事業に係るものを除く。)の額に相当する額O20ア 平成20年度市場公募都市に係るもの 1.00000イ 平成20年度市場公募都市以外の市町村に係るもの 1.00000O21ア 平成21年度市場公募都市に係るもの 1.05000イ 平成21年度市場公募都市以外の市町村に係るもの 1.10000O22ア 平成22年度市場公募都市に係るもの 2.60000イ 平成22年度市場公募都市以外の市町村に係るもの 2.75000Pn 平成n年度において発行について同意又は許可を得た地域総合整備資金貸付事業債(用地事業に係るものに限る。)の額に相当する額のうち平成n年度市場公募都市に係るものQ20=1.00000Q21=1.05000Q22=2.60000P'n 平成n年度において発行について同意又は許可を得た地域総合整備資金貸付事業債(用地事業に係るものに限る。)の額に相当する額のうち平成n年度市場公募都市以外の市町村に係るものQ'20=1.00000Q'21=1.10000Q'22=2.75000Rn n年度において発行について同意又は許可を得た半島振興道路整備事業に係る地方債(総務大臣の指定する充当の率を超える部分に係るものを除く。)の額に相当する額。この場合において、市町村が組織する組合に係る額については符号Bnに準ずるものとする。S15=1.000S16=0.526S17ア 平成17年度市場公募都市に係るもの 2.053イ 平成17年度市場公募都市以外の市町村に係るもの 0.000S18ア 平成18年度市場公募都市に係るもの 2.000イ 平成18年度市場公募都市以外の市町村に係るもの 0.000S19ア 平成19年度市場公募都市に係るもの 2.000イ 平成19年度市場公募都市以外の市町村に係るもの 0.000S20ア 平成20年度市場公募都市に係るもの 2.24158イ 平成20年度市場公募都市以外の市町村に係るもの 3.13211S21ア 平成21年度市場公募都市に係るもの 2.52579イ 平成21年度市場公募都市以外の市町村に係るもの 3.27526S22ア 平成22年度市場公募都市に係るもの 2.46684イ 平成22年度市場公募都市以外の市町村に係るもの 3.29316S23ア 平成23年度市場公募都市に係るもの 2.55474イ 平成23年度市場公募都市以外の市町村に係るもの 3.29947S24ア 平成24年度市場公募都市に係るもの 2.63526イ 平成24年度市場公募都市以外の市町村に係るもの 3.38579S25ア 平成25年度市場公募都市に係るもの 2.737イ 平成25年度市場公募都市以外の市町村に係るもの 3.421S26ア 平成26年度市場公募都市に係るもの 2.684イ 平成26年度市場公募都市以外の市町村に係るもの 3.368S27ア 平成27年度市場公募都市に係るもの 2.579イ 平成27年度市場公募都市以外の市町村に係るもの 3.263S28ア 平成28年度市場公募都市に係るもの 2.5000イ 平成28年度市場公募都市以外の市町村に係るもの 3.2526S29ア 平成29年度市場公募都市に係るもの 2.5105イ 平成29年度市場公募都市以外の市町村に係るもの 3.2632S30ア 平成30年度市場公募都市に係るもの 1.91368イ 平成30年度市場公募都市以外の市町村に係るもの 2.66105S令元ア 令和元年度市場公募都市に係るもの 1.86158イ 令和元年度市場公募都市以外の市町村に係るもの 2.62263S令2ア 令和2年度市場公募都市に係るもの 0.10947イ 令和2年度市場公募都市以外の市町村に係るもの 0.11421S令3ア 令和3年度市場公募都市に係るもの 0.14053イ 令和3年度市場公募都市以外の市町村に係るもの 0.16263S令4ア 令和4年度市場公募都市に係るもの 0.34579イ 令和4年度市場公募都市以外の市町村に係るもの 0.38263Tn 平成n年度において発行を許可された地方拠点都市整備事業に係る地方債(総務大臣の指定する充当の率を超える部分に係るものを除く。)の額に相当する額。この場合において、市町村が組織する組合に係る額については符号Bnに準ずるものとする。U15=1.000U16=0.526Vn 平成n年度において発行について同意又は許可を得た中心市街地再活性化等特別対策事業に係る地方債(総務大臣の指定する充当の率を超える部分に係るものを除く。)の額に相当する額。この場合において、市町村が組織する組合に係る額については符号Bnに準ずるものとする。W15=1.000W16=0.526W17ア 平成17年度市場公募都市に係るもの 2.053イ 平成17年度市場公募都市以外の市町村に係るもの 0.000W18ア 平成18年度市場公募都市に係るもの 2.000イ 平成18年度市場公募都市以外の市町村に係るもの 0.000W19ア 平成19年度市場公募都市に係るもの 2.000イ 平成19年度市場公募都市以外の市町村に係るもの 0.000W20ア 平成20年度市場公募都市に係るもの 2.24158イ 平成20年度市場公募都市以外の市町村に係るもの 3.13211W21ア 平成21年度市場公募都市に係るもの 2.52579イ 平成21年度市場公募都市以外の市町村に係るもの 3.27526W22ア 平成22年度市場公募都市に係るもの 2.46684イ 平成22年度市場公募都市以外の市町村に係るもの 3.29316Xn 合併特例法に基づき実施する市町村合併推進事業に係る経費に充てるためn年度において発行について同意又は許可を得た地方債(総務大臣の指定する充当の率を超える部分に係るものを除く。)の額に相当する額。この場合において、市町村が組織する組合に係る額については符号Bnに準ずるものとする。Y15=1.000Y16=0.526Y17ア 平成17年度市場公募都市に係るもの 2.053イ 平成17年度市場公募都市以外の市町村に係るもの 0.000Y18ア 平成18年度市場公募都市に係るもの 2.000イ 平成18年度市場公募都市以外の市町村に係るもの 0.000Y19ア 平成19年度市場公募都市に係るもの 2.000イ 平成19年度市場公募都市以外の市町村に係るもの 0.000Y20ア 平成20年度市場公募都市に係るもの 2.24158イ 平成20年度市場公募都市以外の市町村に係るもの 3.13211Y21ア 平成21年度市場公募都市に係るもの 2.52579イ 平成21年度市場公募都市以外の市町村に係るもの 3.27526Y22ア 平成22年度市場公募都市に係るもの 2.46684イ 平成22年度市場公募都市以外の市町村に係るもの 3.29316Y23ア 平成23年度市場公募都市に係るもの 2.55474イ 平成23年度市場公募都市以外の市町村に係るもの 3.29947Y24ア 平成24年度市場公募都市に係るもの 2.63526イ 平成24年度市場公募都市以外の市町村に係るもの 3.38579Y25ア 平成25年度市場公募都市に係るもの 2.737イ 平成25年度市場公募都市以外の市町村に係るもの 3.421Y26ア 平成26年度市場公募都市に係るもの 2.684イ 平成26年度市場公募都市以外の市町村に係るもの 3.368Y27ア 平成27年度市場公募都市に係るもの 2.579イ 平成27年度市場公募都市以外の市町村に係るもの 3.263Y28ア 平成28年度市場公募都市に係るもの 2.5000イ 平成28年度市場公募都市以外の市町村に係るもの 3.2526Y29ア 平成29年度市場公募都市に係るもの 2.5105イ 平成29年度市場公募都市以外の市町村に係るもの 3.2632Y30ア 平成30年度市場公募都市に係るもの 1.91368イ 平成30年度市場公募都市以外の市町村に係るもの 2.66105Y令元ア 令和元年度市場公募都市に係るもの 1.86158イ 令和元年度市場公募都市以外の市町村に係るもの 2.62263Y令2ア 令和2年度市場公募都市に係るもの 0.10947イ 令和2年度市場公募都市以外の市町村に係るもの 0.11421Y令3ア 令和3年度市場公募都市に係るもの 0.14053イ 令和3年度市場公募都市以外の市町村に係るもの 0.16263Y令4ア 令和4年度市場公募都市に係るもの 0.34579イ 令和4年度市場公募都市以外の市町村に係るもの 0.38263Zn 合併新法に基づき実施する市町村合併推進事業(既存の公共施設等を廃止して行う統合施設の整備等であつて市町村合併による行政コストの合理化効果の発現に繋がる事業を除く。)に係る経費に充てるためn年度において発行について同意又は許可を得た地方債(総務大臣の指定する充当の率を超える部分に係るものを除く。)の額に相当する額。この場合において、市町村が組織する組合に係る額については符号Bnに準ずるものとする。AA18ア 平成18年度市場公募都市に係るもの 0.019イ 平成18年度市場公募都市以外の市町村に係るもの 0.000AA19ア 平成19年度市場公募都市に係るもの 0.015イ 平成19年度市場公募都市以外の市町村に係るもの 0.000AA20ア 平成20年度市場公募都市に係るもの 0.01704イ 平成20年度市場公募都市以外の市町村に係るもの 0.02380AA21ア 平成21年度市場公募都市に係るもの 0.01920イ 平成21年度市場公募都市以外の市町村に係るもの 0.02489AA22ア 平成22年度市場公募都市に係るもの 0.01875イ 平成22年度市場公募都市以外の市町村に係るもの 0.02503AA23ア 平成23年度市場公募都市に係るもの 0.01942イ 平成23年度市場公募都市以外の市町村に係るもの 0.02508AA24ア 平成24年度市場公募都市に係るもの 0.02003イ 平成24年度市場公募都市以外の市町村に係るもの 0.02573AA25ア 平成25年度市場公募都市に係るもの 0.021イ 平成25年度市場公募都市以外の市町村に係るもの 0.026AA26ア 平成26年度市場公募都市に係るもの 0.020イ 平成26年度市場公募都市以外の市町村に係るもの 0.026AA27ア 平成27年度市場公募都市に係るもの 0.020イ 平成27年度市場公募都市以外の市町村に係るもの 0.025AA28ア 平成28年度市場公募都市に係るもの 0.0190イ 平成28年度市場公募都市以外の市町村に係るもの 0.0247AA29ア 平成29年度市場公募都市に係るもの 0.0191イ 平成29年度市場公募都市以外の市町村に係るもの 0.0248AA30ア 平成30年度市場公募都市に係るもの 0.01454イ 平成30年度市場公募都市以外の市町村に係るもの 0.02022AA令元ア 令和元年度市場公募都市に係るもの 0.01415イ 令和元年度市場公募都市以外の市町村に係るもの 0.01993AA令2ア 令和2年度市場公募都市に係るもの 0.00083イ 令和2年度市場公募都市以外の市町村に係るもの 0.00087AA令3ア 令和3年度市場公募都市に係るもの 0.00107イ 令和3年度市場公募都市以外の市町村に係るもの 0.00124AA令4ア 令和4年度市場公募都市に係るもの 0.00263イ 令和4年度市場公募都市以外の市町村に係るもの 0.00291ABn 合併新法に基づき実施する市町村合併推進事業(既存の公共施設等を廃止して行う統合施設の整備等であつて市町村合併による行政コストの合理化効果の発現に繋がる事業分)に係る経費に充てるためn年度において発行について同意又は許可を得た地方債(総務大臣の指定する充当の率を超える部分に係るものを除く。)の額に相当する額。この場合において、市町村が組織する組合に係る額については符号Bnに準ずるものとする。AC18ア 平成18年度市場公募都市に係るもの 0.024イ 平成18年度市場公募都市以外の市町村に係るもの 0.000AC19ア 平成19年度市場公募都市に係るもの 0.019イ 平成19年度市場公募都市以外の市町村に係るもの 0.000AC20ア 平成20年度市場公募都市に係るもの 0.02130イ 平成20年度市場公募都市以外の市町村に係るもの 0.02976AC21ア 平成21年度市場公募都市に係るもの 0.02400イ 平成21年度市場公募都市以外の市町村に係るもの 0.03112AC22ア 平成22年度市場公募都市に係るもの 0.02344イ 平成22年度市場公募都市以外の市町村に係るもの 0.03129AC23ア 平成23年度市場公募都市に係るもの 0.02427イ 平成23年度市場公募都市以外の市町村に係るもの 0.03135AC24ア 平成24年度市場公募都市に係るもの 0.02504イ 平成24年度市場公募都市以外の市町村に係るもの 0.03217AC25ア 平成25年度市場公募都市に係るもの 0.026イ 平成25年度市場公募都市以外の市町村に係るもの 0.032AC26ア 平成26年度市場公募都市に係るもの 0.025イ 平成26年度市場公募都市以外の市町村に係るもの 0.032AC27ア 平成27年度市場公募都市に係るもの 0.025イ 平成27年度市場公募都市以外の市町村に係るもの 0.031AC28ア 平成28年度市場公募都市に係るもの 0.0238イ 平成28年度市場公募都市以外の市町村に係るもの 0.0309AC29ア 平成29年度市場公募都市に係るもの 0.0239イ 平成29年度市場公募都市以外の市町村に係るもの 0.0310AC30ア 平成30年度市場公募都市に係るもの 0.01818イ 平成30年度市場公募都市以外の市町村に係るもの 0.02528AC令元ア 令和元年度市場公募都市に係るもの 0.01769イ 令和元年度市場公募都市以外の市町村に係るもの 0.02492AC令2ア 令和2年度市場公募都市に係るもの 0.00104イ 令和2年度市場公募都市以外の市町村に係るもの 0.00109AC令3ア 令和3年度市場公募都市に係るもの 0.00134イ 令和3年度市場公募都市以外の市町村に係るもの 0.00155AC令4ア 令和4年度市場公募都市に係るもの 0.00329イ 令和4年度市場公募都市以外の市町村に係るもの 0.00364AD 段階補正Ⅰ係数算式Ⅱ
算式Ⅱの符号A 測定単位の数値Bn 防災対策事業(防災基盤整備事業分(特に推進すべきものを除く。))に係る経費に充てるためn年度において発行について同意又は許可を得た地方債(総務大臣の指定する充当の率を超える部分に係るものを除く。)の額に相当する額。この場合において、市町村が組織する組合に係る額は、当該額を当該組合を構成する市町村の長が協議して定め、総務大臣が承認した率(協議が成立しないときは、総務大臣が定める率)により按分したものをそれぞれの市町村に係る額とみなす。C15=0.006C16=0.003C17ア 平成17年度市場公募都市に係るもの 0.012イ 平成17年度市場公募都市以外の市町村に係るもの 0.000C18ア 平成18年度市場公募都市に係るもの 0.011イ 平成18年度市場公募都市以外の市町村に係るもの 0.000C19ア 平成19年度市場公募都市に係るもの 0.011イ 平成19年度市場公募都市以外の市町村に係るもの 0.000C20ア 平成20年度市場公募都市に係るもの 0.01278イ 平成20年度市場公募都市以外の市町村に係るもの 0.01785C21ア 平成21年度市場公募都市に係るもの 0.01440イ 平成21年度市場公募都市以外の市町村に係るもの 0.01867C22ア 平成22年度市場公募都市に係るもの 0.01406イ 平成22年度市場公募都市以外の市町村に係るもの 0.01877C23ア 平成23年度市場公募都市に係るもの 0.01456イ 平成23年度市場公募都市以外の市町村に係るもの 0.01881C24ア 平成24年度市場公募都市に係るもの 0.01502イ 平成24年度市場公募都市以外の市町村に係るもの 0.01930C25ア 平成25年度市場公募都市に係るもの 0.016イ 平成25年度市場公募都市以外の市町村に係るもの 0.019C26ア 平成26年度市場公募都市に係るもの 0.015イ 平成26年度市場公募都市以外の市町村に係るもの 0.019C27ア 平成27年度市場公募都市に係るもの 0.015イ 平成27年度市場公募都市以外の市町村に係るもの 0.019C28ア 平成28年度市場公募都市に係るもの 0.0143イ 平成28年度市場公募都市以外の市町村に係るもの 0.0185C29ア 平成29年度市場公募都市に係るもの 0.0143イ 平成29年度市場公募都市以外の市町村に係るもの 0.0186C30ア 平成30年度市場公募都市に係るもの 0.01091イ 平成30年度市場公募都市以外の市町村に係るもの 0.01517C令元ア 令和元年度市場公募都市に係るもの 0.01061イ 令和元年度市場公募都市以外の市町村に係るもの 0.01495C令2ア 令和2年度市場公募都市に係るもの 0.00062イ 令和2年度市場公募都市以外の市町村に係るもの 0.00065C令3ア 令和3年度市場公募都市に係るもの 0.00080イ 令和3年度市場公募都市以外の市町村に係るもの 0.00093C令4ア 令和4年度市場公募都市に係るもの 0.00197イ 令和4年度市場公募都市以外の市町村に係るもの 0.00218Dn 防災対策事業(防災基盤整備事業分(特に推進すべきもの))に係る経費に充てるためn年度において発行について同意又は許可を得た地方債(総務大臣の指定する充当の率を超える部分に係るものを除く。)の額に相当する額。この場合において、市町村が組織する組合に係る額については符号Bnに準ずるものとする。E17ア 平成17年度市場公募都市に係るもの 0.020イ 平成17年度市場公募都市以外の市町村に係るもの 0.000E18ア 平成18年度市場公募都市に係るもの 0.019イ 平成18年度市場公募都市以外の市町村に係るもの 0.000E19ア 平成19年度市場公募都市に係るもの 0.019イ 平成19年度市場公募都市以外の市町村に係るもの 0.000E20ア 平成20年度市場公募都市に係るもの 0.02130イ 平成20年度市場公募都市以外の市町村に係るもの 0.02976E21ア 平成21年度市場公募都市に係るもの 0.02400イ 平成21年度市場公募都市以外の市町村に係るもの 0.03112E22ア 平成22年度市場公募都市に係るもの 0.02344イ 平成22年度市場公募都市以外の市町村に係るもの 0.03129E23ア 平成23年度市場公募都市に係るもの 0.02427イ 平成23年度市場公募都市以外の市町村に係るもの 0.03135E24ア 平成24年度市場公募都市に係るもの 0.02504イ 平成24年度市場公募都市以外の市町村に係るもの 0.03217E25ア 平成25年度市場公募都市に係るもの 0.026イ 平成25年度市場公募都市以外の市町村に係るもの 0.032E26ア 平成26年度市場公募都市に係るもの 0.025イ 平成26年度市場公募都市以外の市町村に係るもの 0.032E27ア 平成27年度市場公募都市に係るもの 0.025イ 平成27年度市場公募都市以外の市町村に係るもの 0.031E28ア 平成28年度市場公募都市に係るもの 0.0238イ 平成28年度市場公募都市以外の市町村に係るもの 0.0309E29ア 平成29年度市場公募都市に係るもの 0.0239イ 平成29年度市場公募都市以外の市町村に係るもの 0.0310E30ア 平成30年度市場公募都市に係るもの 0.01818イ 平成30年度市場公募都市以外の市町村に係るもの 0.02528E令元ア 令和元年度市場公募都市に係るもの 0.01769イ 令和元年度市場公募都市以外の市町村に係るもの 0.02492E令2ア 令和2年度市場公募都市に係るもの 0.00104イ 令和2年度市場公募都市以外の市町村に係るもの 0.00109E令3ア 令和3年度市場公募都市に係るもの 0.00134イ 令和3年度市場公募都市以外の市町村に係るもの 0.00155E令4ア 令和4年度市場公募都市に係るもの 0.00329イ 令和4年度市場公募都市以外の市町村に係るもの 0.00364Fn 防災対策事業(公共施設等耐震化事業分)に係る経費に充てるためn年度において発行について同意又は許可を得た地方債(平成21年度から令和4年度までの各年度においてIs値が0.3未満の施設を対象とした事業分及び総務大臣の指定する充当の率を超える部分に係るものを除く。)の額に相当する額。この場合において、市町村が組織する組合に係る額については符号Bnに準ずるものとする。G15=0.009G16=0.005G17ア 平成17年度市場公募都市に係るもの 0.020イ 平成17年度市場公募都市以外の市町村に係るもの 0.000G18ア 平成18年度市場公募都市に係るもの 0.019イ 平成18年度市場公募都市以外の市町村に係るもの 0.000G19ア 平成19年度市場公募都市に係るもの 0.019イ 平成19年度市場公募都市以外の市町村に係るもの 0.000G20ア 平成20年度市場公募都市に係るもの 0.02130イ 平成20年度市場公募都市以外の市町村に係るもの 0.02976G21ア 平成21年度市場公募都市に係るもの 0.02400イ 平成21年度市場公募都市以外の市町村に係るもの 0.03112G22ア 平成22年度市場公募都市に係るもの 0.02344イ 平成22年度市場公募都市以外の市町村に係るもの 0.03129G23ア 平成23年度市場公募都市に係るもの 0.02427イ 平成23年度市場公募都市以外の市町村に係るもの 0.03135G24ア 平成24年度市場公募都市に係るもの 0.02504イ 平成24年度市場公募都市以外の市町村に係るもの 0.03217G25ア 平成25年度市場公募都市に係るもの 0.026イ 平成25年度市場公募都市以外の市町村に係るもの 0.032G26ア 平成26年度市場公募都市に係るもの 0.025イ 平成26年度市場公募都市以外の市町村に係るもの 0.032G27ア 平成27年度市場公募都市に係るもの 0.025イ 平成27年度市場公募都市以外の市町村に係るもの 0.031G28ア 平成28年度市場公募都市に係るもの 0.0238イ 平成28年度市場公募都市以外の市町村に係るもの 0.0309G29ア 平成29年度市場公募都市に係るもの 0.0239イ 平成29年度市場公募都市以外の市町村に係るもの 0.0310G30ア 平成30年度市場公募都市に係るもの 0.01818イ 平成30年度市場公募都市以外の市町村に係るもの 0.02528G令元ア 令和元年度市場公募都市に係るもの 0.01769イ 令和元年度市場公募都市以外の市町村に係るもの 0.02492G令2ア 令和2年度市場公募都市に係るもの 0.00104イ 令和2年度市場公募都市以外の市町村に係るもの 0.00109G令3ア 令和3年度市場公募都市に係るもの 0.00134イ 令和3年度市場公募都市以外の市町村に係るもの 0.00155G令4ア 令和4年度市場公募都市に係るもの 0.00329イ 令和4年度市場公募都市以外の市町村に係るもの 0.00364Hn 防災対策事業(公共施設等耐震化事業のうち、Is値が0.3未満の施設を対象とした事業分)に係る経費に充てるため、n年度において発行について同意又は許可を得た地方債(総務大臣の指定する充当の率を超える部分に係るものを除く。)の額に相当する額。この場合において、市町村が組織する組合に係る額については符号Bnに準ずるものとする。I21ア 平成21年度市場公募都市に係るもの 0.03215イ 平成21年度市場公募都市以外の市町村に係るもの 0.04169I22ア 平成22年度市場公募都市に係るもの 0.03140イ 平成22年度市場公募都市以外の市町村に係るもの 0.04192I23ア 平成23年度市場公募都市に係るもの 0.03252イ 平成23年度市場公募都市以外の市町村に係るもの 0.04200I24ア 平成24年度市場公募都市に係るもの 0.03355イ 平成24年度市場公募都市以外の市町村に係るもの 0.04310I25ア 平成25年度市場公募都市に係るもの 0.035イ 平成25年度市場公募都市以外の市町村に係るもの 0.043I26ア 平成26年度市場公募都市に係るもの 0.034イ 平成26年度市場公募都市以外の市町村に係るもの 0.043I27ア 平成27年度市場公募都市に係るもの 0.033イ 平成27年度市場公募都市以外の市町村に係るもの 0.042I28ア 平成28年度市場公募都市に係るもの 0.0318イ 平成28年度市場公募都市以外の市町村に係るもの 0.0414I29ア 平成29年度市場公募都市に係るもの 0.0320イ 平成29年度市場公募都市以外の市町村に係るもの 0.0415I30ア 平成30年度市場公募都市に係るもの 0.02436イ 平成30年度市場公募都市以外の市町村に係るもの 0.03388I令元ア 令和元年度市場公募都市に係るもの 0.02370イ 令和元年度市場公募都市以外の市町村に係るもの 0.03339I令2ア 令和2年度市場公募都市に係るもの 0.00139イ 令和2年度市場公募都市以外の市町村に係るもの 0.00145I令3ア 令和3年度市場公募都市に係るもの 0.00179イ 令和3年度市場公募都市以外の市町村に係るもの 0.00207I令4ア 令和4年度市場公募都市に係るもの 0.00440イ 令和4年度市場公募都市以外の市町村に係るもの 0.00487Jn 防災対策事業(旧緊急防災基盤整備事業(継続事業分))に係る経費に充てるため平成n年度において発行を許可された地方債(総務大臣の指定する充当の率を超える部分に係るものを除く。)の額に相当する額。この場合において、市町村が組織する組合に係る額については符号Bnに準ずるものとする。K15=0.009K16=0.005K17ア 平成17年度市場公募都市に係るもの 0.020イ 平成17年度市場公募都市以外の市町村に係るもの 0.000Ln 沖縄米軍基地所在市町村活性化特別事業に係る経費に充てるためn年度において発行について同意又は許可を得た地方債(総務大臣の指定する充当の率を超える部分に係るものを除く。)の額に相当する額M15=0.017M16=0.009M17=0.000M18=0.000M19=0.000M20=0.05356M21=0.05601M22=0.05631M23=0.05642M24=0.05790M25=0.058M26=0.058M27=0.056M28=0.0556M29=0.0558M30=0.04550M令元=0.04485M令2=0.00195M令3=0.00278Nn 沖縄北部特別振興対策に係る経費に充てるため平成n年度において発行について同意又は許可を得た地方債(総務大臣の指定する充当の率を超える部分に係るものを除く。)の額に相当する額。この場合において、市町村が組織する組合に係る額については符号Bnに準ずるものとする。O15=0.017O16=0.009O17=0.000O18=0.000O19=0.000O20=0.05356O21=0.05601P 国が行う第二種(A)空港の整備事業に係る法令に基づく市町村負担金に充てるため昭和57年度から平成11年度までの各年度において発行を許可された地方債(災害復旧事業債、公害防止事業債、昭和57年度から昭和61年度までの各年度及び平成3年度から平成11年度までの各年度において地方税の減収に伴い発行を許可された地方債、昭和57年度及び昭和59年度において財政健全化のため発行を許可された地方債、財源対策債、昭和61年度、昭和62年度及び平成4年度から平成11年度までの各年度において発行を許可された補正予算債、地域財政特例対策債、臨時財政特例債、公共事業等臨時特例債、地方債計画に計上されない地方債並びに総務大臣の指定する充当の率を超える部分に係るものを除く。)の当該年度における元利償還金Q 国庫の補助金を受けて道府県が施行する第二種(B)空港(第二種空港のうち道府県が管理するものに限る。)の整備事業に係る法令に基づく市町村負担金に充てるため昭和57年度から平成11年度までの各年度において発行を許可された地方債(災害復旧事業債、公害防止事業債、昭和57年度及び昭和61年度までの各年度及び平成3年度から平成11年度までの各年度において地方税の減収に伴い発行を許可された地方債、昭和57年度及び昭和59年度において財政健全化のため発行を許可された地方債、財源対策債、昭和61年度、昭和62年度及び平成4年度から平成11年度までの各年度において発行を許可された補正予算債、地域財政特例対策債、臨時財政特例債、公共事業等臨時特例債、地方債計画に計上されない地方債並びに総務大臣の指定する充当の率を超える部分に係るものを除く。)の当該年度における元利償還金R 国庫の補助金を受けて道府県が施行した第三種空港の整備事業に係る法令に基づく市町村負担金に充てるため昭和57年度から平成11年度までの各年度において発行を許可された地方債(災害復旧事業債、公害防止事業債、昭和57年度から昭和61年度までの各年度及び平成3年度から平成11年度までの各年度において地方税の減収に伴い発行を許可された地方債、昭和57年度及び昭和59年度において財政健全化のため発行を許可された地方債、財源対策債、昭和61年度、昭和62年度及び平成4年度から平成11年度までの各年度において発行を許可された補正予算債、地域財政特例対策債、臨時財政特例債、公共事業等臨時特例債、地方債計画に計上されない地方債並びに総務大臣の指定する充当の率を超える部分に係るものを除く。)の当該年度における元利償還金S 国庫の補助金を受けて市町村が施行する第二種(B)空港(第二種空港のうち市町村が管理するものに限る。)の整備事業に係る経費に充てるため昭和57年度から平成11年度までの各年度において発行を許可された地方債(災害復旧事業債、公害防止事業債、昭和57年度から昭和61年度までの各年度及び平成3年度から平成11年度までの各年度において地方税の減収に伴い発行を許可された地方債、昭和57年度から昭和59年度において財政健全化のため発行を許可された地方債、財源対策債、昭和61年度、昭和62年度及び平成4年度から平成11年度までの各年度において発行を許可された補正予算債、地域財政特例対策債、臨時財政特例債、公共事業等臨時特例債、地方債計画に計上されない地方債並びに総務大臣の指定する充当の率を超える部分に係るものを除く。)の当該年度における元利償還金Tn PFI事業者が整備してn年度に供用を開始した公共施設等の施設整備費相当額(当該地方団体が当該施設を建設したとみなした場合に一般財源所要額として基準財政需要額に算入されるべき額の年次ごとの合計額)として当該地方団体の長の申告に基づき総務大臣が通知した額U20=0.01354U21ア 愛知県名古屋市に対して総務大臣が通知した額のうち、補助事業分に係るもの 0.03367イ ア以外の総務大臣が通知した額に係るもの 0.01347U22ア 北海道札幌市及び愛知県豊田市に対して総務大臣が通知した額に係るもの並びに愛知県豊橋市及び静岡県静岡市に対して総務大臣が通知した額のうち①に係るもの 0.01428イ 東京都稲城市に対して総務大臣が通知した額に係るもの及び愛知県豊橋市に対して総務大臣が通知した額のうち②に係るもの 0.01607ウ 三重県鈴鹿市に対して総務大臣が通知した額に係るもの並びに愛知県豊橋市及び静岡県静岡市に対して総務大臣が通知した額のうち③に係るもの 0.03571エ 京都府京都市に対して総務大臣が通知した額に係るもの 0.07142U23ア 山形県東根市に対して総務大臣が通知した額に係るもの 0.01410イ 岡山県笠岡市に対して総務大臣が通知した額に係るもの 0.02115ウ 三重県鈴鹿市に対して総務大臣が通知した額に係るもの 0.03525エ 富山県黒部市に対して総務大臣が通知した額に係るもの 0.02961U24ア 大阪府泉佐野市に対して総務大臣が通知した額に係るもの 0.01406イ 大阪府門真市に対して総務大臣が通知した額に係るもの 0.02109ウ 大阪府吹田市に対して総務大臣が通知した額に係るもの 0.03515エ 静岡県静岡市に対して総務大臣が通知した額に係るもの 0.04921U25ア 香川県まんのう町に対して総務大臣が通知した額に係るもの 0.014イ 愛知県豊橋市に対して総務大臣が通知した額に係るもの 0.035U26ア 大阪府大阪市に対して総務大臣が通知した額に係るもの 0.029イ 福岡県福岡市に対して総務大臣が通知した額に係るもの 0.035ウ 愛知県田原市に対して総務大臣が通知した額に係るもの及び兵庫県川西市に対して総務大臣が通知した額のうち①に係るもの 0.049エ 兵庫県川西市に対して総務大臣が通知した額のうち②に係るもの 0.055U27ア 兵庫県川西市に対して総務大臣が通知した額のうち①に係るもの 0.048イ 兵庫県川西市に対して総務大臣が通知した額のうち②に係るもの 0.055U28ア 兵庫県川西市に対して総務大臣が通知した額に係るもの及び愛知県岡崎市に対して総務大臣が通知した額のうち②に係るもの 0.0135イ 神奈川県横浜市及び福岡県福岡市に対して総務大臣が通知した額に係るもの 0.0339U29ア 愛知県岡崎市、西尾市及び幸田町並びに福岡県福岡市に対して総務大臣が通知した額に係るもの 0.0135イ 神奈川県茅ヶ崎市、愛知県豊橋市及び福岡県粕屋町に対して総務大臣が通知した額に係るもの 0.0339U30ア 静岡県静岡市、愛知県西尾市及び滋賀県大津市に対して総務大臣が通知した額に係るもの並びに愛知県岡崎市及び幸田町並びに福岡県福岡市に対して総務大臣が通知した額のうち①に係るもの 0.01354イ 兵庫県川西市に対して総務大臣が通知した額に係るもの及び福岡県福岡市に対して総務大臣が通知した額のうち②に係るもの 0.03385U令元ア 北海道帯広市、神奈川県小田原市、南足柄市、大井町、松田町及び箱根町並びに岐阜県美濃加茂市、可児市、坂祝町、富加町、川辺町、七宗町、八百津町及び御嵩町に対して総務大臣が通知した額に係るものに係るもの 0.01347イ 茨城県神栖市に対して総務大臣が通知した額に係るもの 0.03367U令2ア 埼玉県所沢市並びに愛知県岡崎市及び西尾市に対して総務大臣が通知した額に係るもの 0.01354イ 愛知県名古屋市に対して総務大臣が通知した額のうち①に係るもの 0.02031ウ 静岡県浜松市に対して総務大臣が通知した額のうち②に係るもの 0.02491エ 静岡県沼津市及び山口県周南市に対して総務大臣が通知した額に係るもの、愛知県名古屋市に対して総務大臣が通知した額のうち②に係るもの並びに福岡県福岡市に対して総務大臣が通知した額のうち①に係るもの 0.03386オ 福岡県福岡市に対して総務大臣が通知した額のうち②に係るもの 0.04740カ 静岡県浜松市に対して総務大臣が通知した額のうち①に係るもの 0.02505U令3ア 埼玉県所沢市、神奈川県藤沢市、富山県富山市並びに愛知県豊橋市及び西尾市に対して総務大臣が通知した額に係るもの 0.01360イ 福岡県福岡市に対して総務大臣が通知した額に係るもの 0.03401ウ 高知県中土佐町に対して総務大臣が通知した額に係るもの 0.04761U令4ア 埼玉県さいたま市、千葉県木更津市、愛知県名古屋市及び岡山県倉敷市に対して総務大臣が通知した額に係るもの 0.01405イ 山形県山形市及び千葉県鴨川市に対して総務大臣が通知した額に係るもの並びに秋田県大館市に対して総務大臣が通知した額のうち②に係るもの 0.02107ウ 静岡県浜松市に対して総務大臣が通知した額に係るもの 0.02599エ 神奈川県横浜市、静岡県沼津市、大阪府貝塚市及び長崎県佐世保市に対して総務大臣が通知した額に係るもの並びに秋田県大館市に対して総務大臣が通知した額のうち①に係るもの 0.03512オ 愛媛県大洲市及び西予市に対して総務大臣が通知した額に係るもの 0.04917Vn 特定産業廃棄物に起因する支障の除去等に関する特別措置法に基づき指定都市及び保健所設置市が実施する産業廃棄物不法投棄対策事業に係る経費に充てるため平成n年度において発行について同意又は許可を得た地方債(総務大臣の指定する充当の率を超える部分に係るものを除く。)の額に相当する額W18ア 平成18年度市場公募都市に係るもの 0.019イ 平成18年度市場公募都市以外の市町村に係るもの 0.000W19ア 平成19年度市場公募都市に係るもの 0.019イ 平成19年度市場公募都市以外の市町村に係るもの 0.000W20ア 平成20年度市場公募都市に係るもの 0.02130イ 平成20年度市場公募都市以外の市町村に係るもの 0.02976W21ア 平成21年度市場公募都市に係るもの 0.02400イ 平成21年度市場公募都市以外の市町村に係るもの 0.03112W22ア 平成22年度市場公募都市に係るもの 0.02344イ 平成22年度市場公募都市以外の市町村に係るもの 0.03129Xn 石綿対策事業に係る経費に充てるため平成n年度において発行について同意又は許可を得た地方債(総務大臣の指定する充当の率を超える部分に係るものを除く。)の額に相当する額。この場合において、市町村が組織する組合に係る額については符号Bnに準ずるものとする。Y17ア 平成17年度市場公募都市に係るもの 0.016イ 平成17年度市場公募都市以外の市町村に係るもの 0.000Y18ア 平成18年度市場公募都市に係るもの 0.015イ 平成18年度市場公募都市以外の市町村に係るもの 0.000Y19ア 平成19年度市場公募都市に係るもの 0.015イ 平成19年度市場公募都市以外の市町村に係るもの 0.000Y20ア 平成20年度市場公募都市に係るもの 0.01704イ 平成20年度市場公募都市以外の市町村に係るもの 0.02380Y21ア 平成21年度市場公募都市に係るもの 0.01920イ 平成21年度市場公募都市以外の市町村に係るもの 0.02489Y22ア 平成22年度市場公募都市に係るもの 0.01875イ 平成22年度市場公募都市以外の市町村に係るもの 0.02503Zn 広域化対象市町村等(地方自治法第284条第1項の地方公共団体の組合で広域化を行つた広域化対象市町村(消防組織法第33条第2項第3号の広域化対象市町村をいう。以下同じ。)の加入するもの若しくは広域化を行つた広域化対象市町村又は地方自治法第284条第1項の地方公共団体の組合で広域化を行う広域化対象市町村の加入するもの若しくは広域化を行う広域化対象市町村をいう。)が広域消防運営計画(消防組織法第34条第1項の広域消防運営計画をいう。)を達成するために行う事業に係る経費に充てるため平成n年度において発行について同意又は許可を得た地方債(総務大臣の指定する充当の率を超える部分に係るものを除く。)の額に相当する額。この場合において、市町村が組織する組合に係る額については符号Bnに準ずるものとする。AA19ア 平成19年度市場公募都市に係るもの 0.011イ 平成19年度市場公募都市以外の市町村に係るもの 0.000AA20ア 平成20年度市場公募都市に係るもの 0.01278イ 平成20年度市場公募都市以外の市町村に係るもの 0.01785AA21ア 平成21年度市場公募都市に係るもの 0.01440イ 平成21年度市場公募都市以外の市町村に係るもの 0.01867AA22ア 平成22年度市場公募都市に係るもの 0.01406イ 平成22年度市場公募都市以外の市町村に係るもの 0.01877AA23ア 平成23年度市場公募都市に係るもの 0.01456イ 平成23年度市場公募都市以外の市町村に係るもの 0.01881AA24ア 平成24年度市場公募都市に係るもの 0.01502イ 平成24年度市場公募都市以外の市町村に係るもの 0.01930ABn 公共施設等地上デジタル放送移行事業に充てるため、平成n年度において発行について同意又は許可を得た一般単独(一般)事業債(総務大臣の指定する充当の率を超える部分に係るものを除く。)の額に相当する額。この場合において、市町村が組織する組合に係る額については符号Bnに準ずるものとする。AC21ア 平成21年度市場公募都市に係るもの 0.01440イ 平成21年度市場公募都市以外の市町村に係るもの 0.01867AC22ア 平成22年度市場公募都市に係るもの 0.01406イ 平成22年度市場公募都市以外の市町村に係るもの 0.01877AC23ア 平成23年度市場公募都市に係るもの 0.01456イ 平成23年度市場公募都市以外の市町村に係るもの 0.01881ADn 公共施設等地上デジタル放送移行事業に充てるため、平成n年度において発行について同意又は許可を得た学校教育施設等整備事業債(小中学校分及び総務大臣の指定する充当の率を超える部分に係るものを除く。)の額に相当する額。この場合において、市町村が組織する組合に係る額については符号Bnに準ずるものとする。AE21ア 平成21年度市場公募都市に係るもの 0.01478イ 平成21年度市場公募都市以外の市町村に係るもの 0.01725AE22ア 平成22年度市場公募都市に係るもの 0.01437イ 平成22年度市場公募都市以外の市町村に係るもの 0.01713AE23ア 平成23年度市場公募都市に係るもの 0.01444イ 平成23年度市場公募都市以外の市町村に係るもの 0.01693AFn 被災施設復旧関連事業に係る経費に充てるためn年度において発行について同意又は許可を得た一般単独(一般)事業債(総務大臣の指定する充当の率を超える部分に係るものを除く。)の額に相当する額AG24ア 平成24年度市場公募都市に係るもの 0.03505イ 平成24年度市場公募都市以外の市町村に係るもの 0.04503AG25ア 平成25年度市場公募都市に係るもの 0.036イ 平成25年度市場公募都市以外の市町村に係るもの 0.045AG26ア 平成26年度市場公募都市に係るもの 0.036イ 平成26年度市場公募都市以外の市町村に係るもの 0.045AG27ア 平成27年度市場公募都市に係るもの 0.034イ 平成27年度市場公募都市以外の市町村に係るもの 0.044AG28ア 平成28年度市場公募都市に係るもの 0.0333イ 平成28年度市場公募都市以外の市町村に係るもの 0.0433AG29ア 平成29年度市場公募都市に係るもの 0.0334イ 平成29年度市場公募都市以外の市町村に係るもの 0.0434AG30ア 平成30年度市場公募都市に係るもの 0.02545イ 平成30年度市場公募都市以外の市町村に係るもの 0.03539AG令元ア 令和元年度市場公募都市に係るもの 0.02476イ 令和元年度市場公募都市以外の市町村に係るもの 0.03488AG令2ア 令和2年度市場公募都市に係るもの 0.00146イ 令和2年度市場公募都市以外の市町村に係るもの 0.00152AG令3ア 令和3年度市場公募都市に係るもの 0.00187イ 令和3年度市場公募都市以外の市町村に係るもの 0.00216AG令4ア 令和4年度市場公募都市に係るもの 0.00460イ 令和4年度市場公募都市以外の市町村に係るもの 0.00509AHn 沖縄振興特別推進交付金事業に係る経費に充てるためn年度において発行について同意又は許可を得た地方債(総務大臣の指定する充当の率を超える部分に係るものを除く。)の額に相当する額AI24=0.03217AI25=0.032AI26=0.032AI27=0.031AI28=0.0309AI29=0.0310AI30=0.02528AI令元=0.02492AI令2=0.00109AI令3=0.00155AI令4=0.00364AJn 奄美群島振興交付金事業に係る経費に充てるためn年度において発行について同意又は許可を得た地方債(総務大臣の指定する充当の率を超える部分に係るものを除く。)の額に相当する額AK26=0.032AK27=0.031AK28=0.0309AK29=0.0310AK30=0.02528AK令元=0.02492AK令2=0.00109AK令3=0.00155AK令4=0.00364ALn 津波避難対策緊急事業に係る経費に充てるためn年度において発行について同意又は許可を得た地方債(総務大臣の指定する充当の率を超える部分に係るものを除く。)の額に相当する額AM26ア 平成26年度市場公募都市に係るもの 0.026イ 平成26年度市場公募都市以外の市町村に係るもの 0.031AM27ア 平成27年度市場公募都市に係るもの 0.025イ 平成27年度市場公募都市以外の市町村に係るもの 0.030AM28ア 平成28年度市場公募都市に係るもの 0.0243イ 平成28年度市場公募都市以外の市町村に係るもの 0.0303AM29ア 平成29年度市場公募都市に係るもの 0.0241イ 平成29年度市場公募都市以外の市町村に係るもの 0.0303AM30ア 平成30年度市場公募都市に係るもの 0.02411イ 平成30年度市場公募都市以外の市町村に係るもの 0.03026AM令元ア 令和元年度市場公募都市に係るもの 0.02368イ 令和元年度市場公募都市以外の市町村に係るもの 0.03001AM令2ア 令和2年度市場公募都市に係るもの 0.00113イ 令和2年度市場公募都市以外の市町村に係るもの 0.00117AM令3ア 令和3年度市場公募都市に係るもの 0.00153イ 令和3年度市場公募都市以外の市町村に係るもの 0.00170AM令4ア 令和4年度市場公募都市に係るもの 0.00345イ 令和4年度市場公募都市以外の市町村に係るもの 0.00375ANn 公共施設最適化事業に係る経費に充てるため平成n年度において発行について同意又は許可を得た地方債(総務大臣の指定する充当の率を超える部分に係るものを除く。)の額に相当する額AO27ア 平成27年度市場公募都市に係るもの 0.025イ 平成27年度市場公募都市以外の市町村に係るもの 0.031AO28ア 平成28年度市場公募都市に係るもの 0.0238イ 平成28年度市場公募都市以外の市町村に係るもの 0.0309AP28 地方創生推進交付金事業に係る経費に充てるため平成28年度において発行について同意又は許可を得た地方債(総務大臣の指定する充当の率を超える部分に係るものを除く。)の額に相当する額AQ28ア 平成28年度市場公募都市に係るもの 0.0143イ 平成28年度市場公募都市以外の市町村に係るもの 0.0185AR 災害対策基本法第102条第1項第2号に掲げる場合に係る経費に充てるため発行について同意又は許可を得た地方債(平成28年熊本地震、平成30年7月豪雨、令和元年台風第15号、令和元年台風第19号及び令和2年7月豪雨による災害に係る災害廃棄物処理対策、平成28年熊本地震及び平成30年7月豪雨による災害に係る中小企業等グループ施設等復旧整備対策並びに令和2年7月豪雨による災害に係るなりわい再建支援事業に係る経費に充てるため発行について同意又は許可を得た地方債(平成30年7月豪雨による災害に係る災害廃棄物処理対策に係る経費に充てるため発行について同意又は許可を得た地方債にあつては、「平成三十年度補正予算(第二号)に係る地方債の取扱いについて」に基づき発行について同意又は許可を得た地方債を除く。)に限る。)の当該年度における元利償還金ASn 公共施設等適正管理推進事業のうち、集約化・複合化事業に係る経費に充てるためn年度において発行について同意又は許可を得た地方債(総務大臣の指定する充当の率を超える部分に係るものを除く。)の額に相当する額AT29ア 平成29年度市場公募都市に係るもの 0.0239イ 平成29年度市場公募都市以外の市町村に係るもの 0.0310AT30ア 平成30年度市場公募都市に係るもの 0.01818イ 平成30年度市場公募都市以外の市町村に係るもの 0.02528AT令元ア 令和元年度市場公募都市に係るもの 0.01769イ 令和元年度市場公募都市以外の市町村に係るもの 0.02492AT令2ア 令和2年度市場公募都市に係るもの 0.00104イ 令和2年度市場公募都市以外の市町村に係るもの 0.00109AT令3ア 令和3年度市場公募都市に係るもの 0.00134イ 令和3年度市場公募都市以外の市町村に係るもの 0.00155AT令4ア 令和4年度市場公募都市に係るもの 0.00329イ 令和4年度市場公募都市以外の市町村に係るもの 0.00364AU29 公共施設等適正管理推進事業のうち、長寿命化事業、転用事業、立地適正化事業及び市町村役場緊急保全事業に係る経費に充てるため平成29年度において発行について同意又は許可を得た地方債(総務大臣の指定する充当の率を超える部分に係るものを除く。)の額に相当する額(市町村役場緊急保全事業については、起債対象経費の75%を上限とした額。)AV29ア 平成29年度市場公募都市に係るもの 0.0143イ 平成29年度市場公募都市以外の市町村に係るもの 0.0186AWn 公共施設等適正管理推進事業のうち、長寿命化事業、転用事業、立地適正化事業、ユニバーサルデザイン化事業及び脱炭素化事業(義務教育施設の大規模改造事業分を除く。)に係る経費に充てるためn年度において発行について同意又は許可を得た地方債(総務大臣の指定する充当の率を超える部分に係るものを除く。)の額に相当する額AX30ア 平成30年度市場公募都市に係るもの 0.01091イ 平成30年度市場公募都市以外の市町村に係るもの 0.01517AX令元ア 令和元年度市場公募都市に係るもの 0.01061イ 令和元年度市場公募都市以外の市町村に係るもの 0.01495AX令2ア 令和2年度市場公募都市に係るもの 0.00062イ 令和2年度市場公募都市以外の市町村に係るもの 0.00065AX令3ア 令和3年度市場公募都市に係るもの 0.00080イ 令和3年度市場公募都市以外の市町村に係るもの 0.00093AX令4ア 令和4年度市場公募都市に係るもの 0.00197イ 令和4年度市場公募都市以外の市町村に係るもの 0.00218α 当該市町村の財政力指数(当該市町村に係る基準財政収入額(錯誤に係る額として加減した額を除く。)を基準財政需要額(錯誤に係る額として加減した額を除く。)で除して得た数値(小数点以下2位未満の端数があるときは、その端数を四捨五入する。)で当該年度前3年度内の各年度に係るものを合算して得たものを3で除して得た数値(小数点以下2位未満の端数があるときは、その端数を四捨五入する。)をいい、当該年度の4月1日以前3年の間に市町村の廃置分合又は境界変更によつてその区域に異動のあつた市町村については、当該市町村が当該年度の4月1日現在の区域をもつて存在していたものとみなして算定し、これらの額の分別の方法については、第49条及び第50条の規定を準用する。)に-0.50を乗じて得た数(小数点以下3位未満の端数があるときは、その端数を四捨五入する。)と0.70との合計数とする。ただし、当該合計数が、0.300に満たないときは0.300とし、0.500を超えるときは0.500とする。AYn 公共施設等適正管理推進事業のうち、長寿命化事業、ユニバーサルデザイン化事業及び脱炭素化事業(義務教育施設の大規模改造事業分)に係る経費に充てるためn年度において発行について同意又は許可を得た地方債(総務大臣の指定する充当の率を超える部分に係るものを除く。)の額に相当する額AZ30ア 平成30年度市場公募都市に係るもの 0.01091イ 平成30年度市場公募都市以外の市町村に係るもの 0.01517AZ令元ア 令和元年度市場公募都市に係るもの 0.01061イ 令和元年度市場公募都市以外の市町村に係るもの 0.01495AZ令2ア 令和2年度市場公募都市に係るもの 0.00062イ 令和2年度市場公募都市以外の市町村に係るもの 0.00065AZ令3ア 令和3年度市場公募都市に係るもの 0.00080イ 令和3年度市場公募都市以外の市町村に係るもの 0.00093AZ令4ア 令和4年度市場公募都市に係るもの 0.00197イ 令和4年度市場公募都市以外の市町村に係るもの 0.00218β 当該市町村の財政力指数(当該市町村に係る基準財政収入額(錯誤に係る額として加減した額を除く。)を基準財政需要額(錯誤に係る額として加減した額を除く。)で除して得た数値(小数点以下2位未満の端数があるときは、その端数を四捨五入する。)で当該年度前3年度内の各年度に係るものを合算して得たものを3で除して得た数値(小数点以下2位未満の端数があるときは、その端数を四捨五入する。)をいい、当該年度の4月1日以前3年の間に市町村の廃置分合又は境界変更によつてその区域に異動のあつた市町村については、当該市町村が当該年度の4月1日現在の区域をもつて存在していたものとみなして算定し、これらの額の分別の方法については、第49条及び第50条の規定を準用する。)に-0.20を乗じて得た数(小数点以下3位未満の端数があるときは、その端数を四捨五入する。)と0.58との合計数とする。ただし、当該合計数が、0.420に満たないときは0.420とし、0.500を超えるときは0.500とする。BAn 公共施設等適正管理推進事業のうち、市町村役場緊急保全事業に係る経費に充てるためn年度において発行について同意又は許可を得た地方債(総務大臣の指定する充当の率を超える部分に係るものを除く。)の額に相当する額(起債対象経費の75%を上限とした額)BB30ア 平成30年度市場公募都市に係るもの 0.01091イ 平成30年度市場公募都市以外の市町村に係るもの 0.01517BB令元ア 令和元年度市場公募都市に係るもの 0.01061イ 令和元年度市場公募都市以外の市町村に係るもの 0.01495BB令2ア 令和2年度市場公募都市に係るもの 0.00062イ 令和2年度市場公募都市以外の市町村に係るもの 0.00065BB令3ア 令和3年度市場公募都市に係るもの 0.00080イ 令和3年度市場公募都市以外の市町村に係るもの 0.00093BB令4ア 令和4年度市場公募都市に係るもの 0.00197イ 令和4年度市場公募都市以外の市町村に係るもの 0.00218BCn まち・ひと・しごと創生交付金事業に係る経費に充てるためn年度において発行について同意又は許可を得た地方債(総務大臣の指定する充当の率を超える部分に係るものを除く。)の額に相当する額BD29ア 平成29年度市場公募都市に係るもの 0.0143イ 平成29年度市場公募都市以外の市町村に係るもの 0.0186BD30ア 平成30年度市場公募都市に係るもの 0.01091イ 平成30年度市場公募都市以外の市町村に係るもの 0.01517BD令元ア 令和元年度市場公募都市に係るもの 0.01061イ 令和元年度市場公募都市以外の市町村に係るもの 0.01495BD令2ア 令和2年度市場公募都市に係るもの 0.00062イ 令和2年度市場公募都市以外の市町村に係るもの 0.00065BD令3ア 令和3年度市場公募都市に係るもの 0.00080イ 令和3年度市場公募都市以外の市町村に係るもの 0.00093BD令4ア 令和4年度市場公募都市に係るもの 0.00197イ 令和4年度市場公募都市以外の市町村に係るもの 0.00218BEn 沖縄離島活性化推進事業に係る経費に充てるためn年度において発行について同意又は許可を得た地方債(総務大臣の指定する充当の率を超える部分に係るものを除く。)の額に相当する額BF29ア 平成29年度市場公募都市に係るもの 0.0310イ 平成29年度市場公募都市以外の市町村に係るもの 0.0310BF30ア 平成30年度市場公募都市に係るもの 0.02528イ 平成30年度市場公募都市以外の市町村に係るもの 0.02528BF令元ア 令和元年度市場公募都市に係るもの 0.02492イ 令和元年度市場公募都市以外の市町村に係るもの 0.02492BF令2ア 令和2年度市場公募都市に係るもの 0.00109イ 令和2年度市場公募都市以外の市町村に係るもの 0.00109BF令3ア 令和3年度市場公募都市に係るもの 0.00155イ 令和3年度市場公募都市以外の市町村に係るもの 0.00155BF令4ア 令和4年度市場公募都市に係るもの 0.00364イ 令和4年度市場公募都市以外の市町村に係るもの 0.00364BGn 沖縄製糖業体制強化対策事業に係る経費に充てるためn年度において発行について同意又は許可を得た地方債(総務大臣の指定する充当の率を超える部分に係るものを除く。)の額に相当する額BH30ア 平成30年度市場公募都市に係るもの 0.01818イ 平成30年度市場公募都市以外の市町村に係るもの 0.02528BH令元ア 令和元年度市場公募都市に係るもの 0.01769イ 令和元年度市場公募都市以外の市町村に係るもの 0.02492BH令2ア 令和2年度市場公募都市に係るもの 0.00104イ 令和2年度市場公募都市以外の市町村に係るもの 0.00109BH令3ア 令和3年度市場公募都市に係るもの 0.00134イ 令和3年度市場公募都市以外の市町村に係るもの 0.00155BH令4ア 令和4年度市場公募都市に係るもの 0.00329イ 令和4年度市場公募都市以外の市町村に係るもの 0.00364BIn 地方大学・地方産業創生事業に係る経費に充てるためn年度において発行について同意又は許可を得た地方債(総務大臣の指定する充当の率を超える部分に係るものを除く。)の額に相当する額BJ30ア 平成30年度市場公募都市に係るもの 0.01091イ 平成30年度市場公募都市以外の市町村に係るもの 0.01517BJ令元ア 令和元年度市場公募都市に係るもの 0.01061イ 令和元年度市場公募都市以外の市町村に係るもの 0.01495BJ令2ア 令和2年度市場公募都市に係るもの 0.00062イ 令和2年度市場公募都市以外の市町村に係るもの 0.00065BJ令3ア 令和3年度市場公募都市に係るもの 0.00080イ 令和3年度市場公募都市以外の市町村に係るもの 0.00093BJ令4ア 令和4年度市場公募都市に係るもの 0.00197イ 令和4年度市場公募都市以外の市町村に係るもの 0.00218BKn 文化財保存・活用事業(国宝重要文化財等保存・活用事業及び史跡等購入事業に限る。)に係る経費に充てるためn年度において発行について同意又は許可を得た地方債(総務大臣の指定する充当の率を超える部分に係るものを除く。)の額に相当する額BL30ア 平成30年度市場公募都市に係るもの 0.01091イ 平成30年度市場公募都市以外の市町村に係るもの 0.01517BL令元ア 令和元年度市場公募都市に係るもの 0.01061イ 令和元年度市場公募都市以外の市町村に係るもの 0.01495BL令2ア 令和2年度市場公募都市に係るもの 0.00062イ 令和2年度市場公募都市以外の市町村に係るもの 0.00065BL令3ア 令和3年度市場公募都市に係るもの 0.00080イ 令和3年度市場公募都市以外の市町村に係るもの 0.00093BL令4ア 令和4年度市場公募都市に係るもの 0.00197イ 令和4年度市場公募都市以外の市町村に係るもの 0.00218BMn 甘味資源作物・砂糖製造業緊急支援事業に係る経費に充てるためn年度において発行について同意又は許可を得た地方債(総務大臣の指定する充当の率を超える部分に係るものを除く。)の額に相当する額BN令元ア 令和元年度市場公募都市に係るもの 0.01769イ 令和元年度市場公募都市以外の市町村に係るもの 0.02492BN令2ア 令和2年度市場公募都市に係るもの 0.00104イ 令和2年度市場公募都市以外の市町村に係るもの 0.00109BN令3ア 令和3年度市場公募都市に係るもの 0.00134イ 令和3年度市場公募都市以外の市町村に係るもの 0.00155BN令4ア 令和4年度市場公募都市に係るもの 0.00329イ 令和4年度市場公募都市以外の市町村に係るもの 0.00364BOn 沖縄振興特定事業推進事業に係る経費に充てるためn年度において発行について同意又は許可を得た地方債(総務大臣の指定する充当の率を超える部分に係るものを除く。)の額に相当する額BP令元ア 令和元年度市場公募都市に係るもの 0.01769イ 令和元年度市場公募都市以外の市町村に係るもの 0.02492BP令2ア 令和2年度市場公募都市に係るもの 0.00104イ 令和2年度市場公募都市以外の市町村に係るもの 0.00109BP令3ア 令和3年度市場公募都市に係るもの 0.00134イ 令和3年度市場公募都市以外の市町村に係るもの 0.00155BP令4ア 令和4年度市場公募都市に係るもの 0.00329イ 令和4年度市場公募都市以外の市町村に係るもの 0.00364BQn 沖縄北部連携促進特別振興事業に係る経費に充てるためn年度において発行について同意又は許可を得た地方債(総務大臣の指定する充当の率を超える部分に係るものを除く。)の額に相当する額BR令元ア 令和元年度市場公募都市に係るもの 0.01769イ 令和元年度市場公募都市以外の市町村に係るもの 0.02492BR令2ア 令和2年度市場公募都市に係るもの 0.00104イ 令和2年度市場公募都市以外の市町村に係るもの 0.00109BR令3ア 令和3年度市場公募都市に係るもの 0.00134イ 令和3年度市場公募都市以外の市町村に係るもの 0.00155BR令4ア 令和4年度市場公募都市に係るもの 0.00329イ 令和4年度市場公募都市以外の市町村に係るもの 0.00364BSn アイヌ政策推進交付金事業に係る経費に充てるためn年度において発行について同意又は許可を得た地方債(総務大臣の指定する充当の率を超える部分に係るものを除く。)の額に相当する額BT令元ア 令和元年度市場公募都市に係るもの 0.01769イ 令和元年度市場公募都市以外の市町村に係るもの 0.02492BT令2ア 令和2年度市場公募都市に係るもの 0.00104イ 令和2年度市場公募都市以外の市町村に係るもの 0.00109BT令3ア 令和3年度市場公募都市に係るもの 0.00134イ 令和3年度市場公募都市以外の市町村に係るもの 0.00155BT令4ア 令和4年度市場公募都市に係るもの 0.00329イ 令和4年度市場公募都市以外の市町村に係るもの 0.00364BUn 有明海・八代海等再生事業に係る経費に充てるためn年度において発行について同意又は許可を得た地方債(総務大臣の指定する充当の率を超える部分に係るものを除く。)の額に相当する額BV令3ア 令和3年度市場公募都市に係るもの 0.00134イ 令和3年度市場公募都市以外の市町村に係るもの 0.00155BV令4ア 令和4年度市場公募都市に係るもの 0.00329イ 令和4年度市場公募都市以外の市町村に係るもの 0.00364BWn n年度において発行について同意又は許可を得た公共事業等(宅地耐震化推進事業(特別分)及び盛土緊急対策事業(特別分)に限る。)に係る地方債(総務大臣の指定する充当の率を超える部分に係るもの及び令和4年度において財源対策のため発行について同意又は許可を得た地方債として総務大臣が指定するものを除く。)の額に相当する額BX令4ア 令和4年度市場公募都市に係るもの 0.00345イ 令和4年度市場公募都市以外の市町村に係るもの 0.00375BYn 脱炭素化事業(病院事業並びに上水道及び簡易水道事業に係るものを除く。)に係る経費に充てるためn年度において発行について同意又は許可を得た地方債(総務大臣の指定する充当の率を超える部分に係るものを除く。)のうち公営企業債の額に相当する額BZ令4ア 令和4年度市場公募都市に係るもの 0.00297イ 令和4年度市場公募都市以外の市町村に係るもの 0.00307γ 当該市町村の財政力指数(当該市町村に係る基準財政収入額(錯誤に係る額として加減した額を除く。)を基準財政需要額(錯誤に係る額として加減した額を除く。)で除して得た数値(小数点以下2位未満の端数があるときは、その端数を四捨五入する。)で当該年度前3年度内の各年度に係るものを合算して得たものを3で除して得た数値(小数点以下2位未満の端数があるときは、その端数を四捨五入する。)をいい、当該年度の4月1日以前3年の間に市町村の廃置分合又は境界変更によつてその区域に異動のあつた市町村については、当該市町村が当該年度の4月1日現在の区域をもつて存在していたものとみなして算定し、これらの額の分別の方法については、第49条及び第50条の規定を準用する。)に-0.50を乗じて得た数(小数点以下3位未満の端数があるときは、その端数を四捨五入する。)と0.70との合計数とする。ただし、当該合計数が、0.300に満たないときは0.300とし、0.500を超えるときは0.500とする。算式Ⅲ
平成28年熊本地震による災害に係る歳入欠かん債については、α×0.475が0.750に満たないときは0.750とする。また、平成28年度において発行について同意又は許可を得た歳入欠かん債(平成28年熊本地震による災害に係るものを除く。)については、α×0.475が0.570に満たないときは0.570とする。ただし、それぞれの災害について、同意等年度ごとに算出し、合算することとする。
算式Ⅲの符号A 測定単位の数値B 災害対策基本法第102条第1項第1号に掲げる場合に係る経費に充てるため平成28年度以降の各年度において発行について同意又は許可を得た地方債の当該年度における元利償還金α 符号Bの地方債に係る同意等額を当該地方債の同意等年度における災害対策基本法施行令第43条第2項に規定する標準税収入額で除して得た数(小数点以下3位未満の端数があるときは、その端数を四捨五入する。)に100,000を乗じて得た数(以下この号において「発行割合」という。)に別表第3の14のAに定める当該発行割合の段階に応ずる率を乗じて得た数と同表のBに定める当該発行割合の段階に応ずる数値との合計数を当該発行割合で除して得た数(小数点以下3位未満の端数があるときは、その端数を四捨五入し、当該発行割合が200以下のときは1.000とする。)
  面積算式
算式の符号A 測定単位の数値B15 平成15年度において発行を許可された臨時河川等整備事業に係る地方債(地方特定河川等環境整備事業に係るもの及び総務大臣の指定する充当の率を超える部分に係るものを除く。)の額に相当する額C15=0.006Dn 平成n年度において発行を許可された臨時河川等整備事業に係る地方債(総務大臣の指定する充当の率を超える部分に係るもの及び平成15年度から平成17年度までの各年度において財源対策のため発行を許可された地方債として総務大臣が指定するものを除く。)のうち地方特定河川等環境整備事業に係るものの額に相当する額E15=0.006E16=0.003E17ア 平成17年度市場公募都市に係るもの 0.012イ 平成17年度市場公募都市以外の市町村に係るもの 0.000Fn 平成n年度において発行を許可された臨時河川等整備事業に係る地方債(総務大臣の指定する充当の率を超える部分に係るものを除く。)のうち地方特定河川等環境整備事業に係るものの額(平成15年度から平成17年度までの各年度において財源対策のため発行を許可された地方債の額として総務大臣が指定するものに限る。)G15=0.009G16=0.005G17ア 平成17年度市場公募都市に係るもの 0.020イ 平成17年度市場公募都市以外の市町村に係るもの 0.000Hn n年度に国庫の補助金を受けて施行した河川事業及び砂防事業(管理権限が指定都市の長に移譲された指定区間内の1級河川及び2級河川に係る事業に限る。)に係る経費又は国が行うこれらの事業に係る法令に基づく負担金に充てるため発行について同意又は許可を得た地方債(災害復旧事業債、公害防止事業債、地方税の減収に伴い発行を許可された地方債、財政健全化のため発行を許可された地方債、財源対策債、補正予算債、地域財政特例対策債、臨時財政特例債、公共事業等臨時特例債、地方債計画に計上されない地方債及び総務大臣の指定する充当の率を超える部分に係るものを除く。)の額(ただし、ダム、災害関連及び砂防(国が行う事業に限る。)に係るものとして総務大臣が通知した額とする。)I18ア 平成18年度市場公募都市に係るもの 0.025イ 平成18年度市場公募都市以外の市町村に係るもの 0.025I19ア 平成19年度市場公募都市に係るもの 0.026イ 平成19年度市場公募都市以外の市町村に係るもの 0.026I20ア 平成20年度市場公募都市に係るもの 0.02653イ 平成20年度市場公募都市以外の市町村に係るもの 0.02653I21ア 平成21年度市場公募都市に係るもの 0.02693イ 平成21年度市場公募都市以外の市町村に係るもの 0.02693I22ア 平成22年度市場公募都市に係るもの 0.02644イ 平成22年度市場公募都市以外の市町村に係るもの 0.02644I23ア 平成23年度市場公募都市に係るもの 0.02555イ 平成23年度市場公募都市以外の市町村に係るもの 0.02555I24ア 平成24年度市場公募都市に係るもの 0.02591イ 平成24年度市場公募都市以外の市町村に係るもの 0.02591I25ア 平成25年度市場公募都市に係るもの 0.027イ 平成25年度市場公募都市以外の市町村に係るもの 0.027I26ア 平成26年度市場公募都市に係るもの 0.026イ 平成26年度市場公募都市以外の市町村に係るもの 0.026I27ア 平成27年度市場公募都市に係るもの 0.025イ 平成27年度市場公募都市以外の市町村に係るもの 0.025I28ア 平成28年度市場公募都市に係るもの 0.0243イ 平成28年度市場公募都市以外の市町村に係るもの 0.0243I29ア 平成29年度市場公募都市に係るもの 0.0241イ 平成29年度市場公募都市以外の市町村に係るもの 0.0241I30ア 平成30年度市場公募都市に係るもの 0.02411イ 平成30年度市場公募都市以外の市町村に係るもの 0.02411I令元ア 令和元年度市場公募都市に係るもの 0.02368イ 令和元年度市場公募都市以外の市町村に係るもの 0.02368I令2ア 令和2年度市場公募都市に係るもの 0.00113イ 令和2年度市場公募都市以外の市町村に係るもの 0.00113I令3ア 令和3年度市場公募都市に係るもの 0.00153イ 令和3年度市場公募都市以外の市町村に係るもの 0.00153I令4ア 令和4年度市場公募都市に係るもの 0.00345イ 令和4年度市場公募都市以外の市町村に係るもの 0.00345Jn n年度において発行について同意又は許可を得た緊急浚渫推進事業に係る地方債(総務大臣の指定する充当の率を超える部分に係るものを除く。)の額に相当する額K令2ア 令和2年度市場公募都市に係るもの 0.07110イ 令和2年度市場公募都市以外の市町村に係るもの 0.07116K令3ア 令和3年度市場公募都市に係るもの 0.07135イ 令和3年度市場公募都市以外の市町村に係るもの 0.07169K令4ア 令和4年度市場公募都市に係るもの 0.07415イ 令和4年度市場公募都市以外の市町村に係るもの 0.07477
6第一項から前項までの規定によつて投資補正、投資補正Ⅱ及び事業費補正に用いる指標を算定する場合において、地方団体の廃置分合又は境界変更があり、かつ、当該指標の算定の基礎となる数値(測定単位の数値であるものを除く。)が、当該地方団体が当該年度の四月一日現在における区域と異なる区域をもつて存在する日若しくは当該地方団体が存在しない日又はこれらの日を含む期間における数値によることとされているときは、第九条第二項の規定を準用する。

(寒冷補正係数の算定方法)

第十三条寒冷補正係数は、当該経費に係る別表第一に掲げる寒冷の理由(給与の差、寒冷の差又は積雪の差をいう。以下同じ。)について第三項及び第四項の規定によつて算定した率(以下「寒冷補正率」という。)又はその合算率に一を加えた率とする。
2寒冷補正を行う場合における種別ごとの測定単位の数値に表示単位未満の端数があるときは、その端数を四捨五入する。ただし、市町村の「道路橋りよう費」に係る橋りようの面積に表示単位以下二位未満の端数があるときは、その端数を四捨五入する。
3都道府県の経費に係る寒冷補正率は、「特別支援学校費」のうち教職員数を測定単位とするものについては当該都道府県庁所在地の属する地域の次条の規定による地域区分に応ずる別表第一に定める率とし、次の表の経費の種類の欄に掲げる経費については当該都道府県の次条の規定による地域区分に応ずる同表下欄に掲げる数値にそれぞれ別表第一に定める率を乗じて得た数(道路橋りよう費に係る積雪の差によるものについては、整数未満の端数があるときは、その端数を四捨五入する。)の合計数を当該率を乗ずる前の数値で除して得た率(小数点以下三位未満の端数があるときは、その端数を四捨五入する。)とする。
経費の種類寒冷補正率の算定に用いる数値
道路橋りよう費、小学校費、中学校費、高等学校費のうち教職員数を測定単位とするもの及び地域振興費のうち人口を測定単位とするもの人口(道路橋りよう費に係る積雪の差によるものにあつては、測定単位の数値とし、小学校費及び中学校費にあつては、当該都道府県の区域内の指定都市の人口を除く。)
4市町村の経費に係る寒冷補正率は、次条の規定による地域区分に応ずる別表第一に定める率とする。ただし、「道路橋りよう費」のうち道路の面積を測定単位とするものに係る積雪の差による寒冷補正率は、次条の規定による地域区分及び別表第一に定める道路幅員区分等に係る測定単位の数値にそれぞれ別表第一に定める率を乗じて得た数(整数未満の端数があるときは、その端数を四捨五入する。)の合計数を種別補正後の測定単位の数値で除して得た率(小数点以下三位未満の端数があるときは、その端数を四捨五入する。)とし、道路の延長を測定単位とするものに係る積雪の差による寒冷補正率は、次条の規定による地域区分及び別表第一に定める道路区分に係る測定単位の数値にそれぞれ別表第一に定める率を乗じて得た数(小数点三位未満の端数があるときは、その端数を四捨五入する。)の合計数を測定単位の数値で除して得た率(小数点三位未満の端数があるときは、その端数を四捨五入する。)とする。
5生活保護費については、前二項の規定にかかわらず、都道府県の経費に係る寒冷補正率は、当該地方団体の別表第四(2)の地域区分に応ずる別表第一に定める率に一を加えた率とし、市(福祉事務所設置町村を含む。別表第四(2)において同じ。)の経費に係る寒冷補正率は、寒冷補正Ⅰ係数(別表第一に掲げる寒冷の理由について次条の規定による地域区分(別表第四(2)の生活保護費に係る寒冷の差による地域区分を除く。)に応ずる別表第一に定める率をいう。)と寒冷補正Ⅱ係数(当該地方団体の別表第四(2)の地域区分に応ずる別表第一に定める率をいう。)との合算率に一を加えた率とする。

(寒冷補正に用いる地域区分)

第十四条法第十三条第九項の規定による地域区分は、次の各号に定めるところによる。
一給与の差による地域区分
当該市町村役場の所在地の属する国家公務員の寒冷地手当に関する法律別表に定める支給地域で当該年度の四月一日現在におけるもの
二寒冷の差又は積雪の差による地域区分
別表第四に掲げる地域

(数値急増補正)

第十五条法第十三条第十項の規定による測定単位の数値が急激に増加した地方団体に係る補正(以下「数値急増補正」という。)は、次の表に掲げる地方団体の種類、数値急増補正の種類、経費の種類及び測定単位ごとにそれぞれ同表の算式及び算式の符号の欄に定める方法によつて算定した率(当該率又は当該率の算定の過程に小数点以下三位未満の端数があるときは、その端数を四捨五入する。)が正数となる地方団体について、当該率に一を加えた数値(以下「数値急増補正係数」という。)を用いて行うものとする。
地方団体の種類数値急増補正の種類経費の種類測定単位算式及び算式の符号
都道府県七十五歳以上人口急増補正Ⅰ高齢者保健福祉費七十五歳以上人口算式
(A/B-1.046)×0.847
算式の符号A 当該都道府県のその年の1月1日現在の住民基本台帳登載人口のうち75歳以上の者の数(以下「75歳以上住民基本台帳登載人口」という。)B 当該都道府県の令和3年1月1日現在の75歳以上住民基本台帳登載人口
市町村一 人口急増補正地域振興費人口算式
(A/B-1.008)×31.7
(A/B-1.008)が負数のときは、0とする。
算式の符号A 当該市町村のその年の1月1日現在の住民基本台帳登載人口B 当該市町村の令和2年9月30日現在の住民基本台帳登載人口
 二 六十五歳以上人口急増補正I高齢者保健福祉費六十五歳以上人口算式
(A/B-1.007)×0.274
算式の符号A 当該市町村のその年の1月1日現在の住民基本台帳登載人口のうち65歳以上の者の数(以下「65歳以上住民基本台帳登載人口」という。)B 当該市町村の令和3年1月1日現在の65歳以上住民基本台帳登載人口
 三 七十五歳以上人口急増補正I高齢者保健福祉費七十五歳以上人口算式
(A/B-1.044)×0.942
算式の符号A 当該市町村のその年の1月1日現在の75歳以上住民基本台帳登載人口B 当該市町村の令和3年1月1日現在の75歳以上住民基本台帳登載人口
2前項の規定による調査期日現在における地方団体の区域がその年の四月一日現在における当該地方団体の区域と異なる場合においては、当該地方団体がその年の四月一日現在の区域をもつて存在していたものとみなして同項の規定を適用する。この場合において、住民基本台帳登載人口の算定方法については、第五条第二項第三号の規定を準用する。

(数値急減補正)

第十六条法第十三条第十項の規定により測定単位の数値が急激に減少した地方団体に係る補正(以下「数値急減補正」という。)は、次の表に掲げる地方団体の種類、数値急減補正の種類、経費の種類及び測定単位ごとにそれぞれ同表の算式及び算式の符号の欄に定める算式によつて算定した率(当該率又は当該率の算定の過程に小数点以下三位未満の端数があるときは、その端数を四捨五入する。)が正数となる地方団体について、当該率に一を加えた数値(以下「数値急減補正係数」という。)を用いて行うものとする。
地方団体の種類数値急減補正の種類経費の種類測定単位算式及び算式の符号
都道府県一 農家数急減補正農業行政費農家数算式
(B-A)/A×0.3
B-A
が負数となるときは、0とする。
算式の符号A 測定単位の数値B 農林業センサス規則によつて調査した平成27年2月1日現在における農家数
二 水産業者数急減補正水産行政費水産業者数算式
{(B-A)/A}×0.3
B-A
が負数となるときは、0とする。
算式の符号A 測定単位の数値B 漁業センサス規則によつて調査した平成25年11月1日現在における水産業者数
三 人口急減補正地域振興費人口算式
{(B-A)/A-0.016}×0.5×58.3
算式の符号A 測定単位の数値B 当該都道府県の平成27年人口
市町村一 人口急減補正地域振興費人口算式Ⅰ
{(B-A)/A-0.018}×0.5×37.6×β-(α-β)×0.5×37.6
算式Ⅱ
{(C-A)/A-0.130}×9.3+[D×1.72/1.74+{(B-A)/A-0.018}×37.6×β-(α-β)×37.6-{(C-A)/A-0.130}×9.3]×[0.4+0.3×{(C-A)/C-0.3}/0.1]
算式Ⅱにより算定した数値が算式Ⅰにより算定した数値を上回る市町村(過疎地域持続的発展法第2条第1項及び旧過疎地域自立促進特別措置法第2条第1項に基づく過疎地域の市町村、過疎地域持続的発展法第42条及び旧過疎地域自立促進特別措置法第33条第1項の規定に基づき過疎地域とみなされた市町村、離島振興法第2条第2項に基づき公示された離島をその区域の全部若しくは一部とする市町村、沖縄振興特別措置法第3条第1項第3号に規定する島をその区域の全部若しくは一部とする市町村、奄美振興法第1条に規定する奄美群島をその区域の全部若しくは一部とする市町村、小笠原諸島振興開発特別措置法第4条に規定する小笠原諸島をその区域の全部若しくは一部とする市町村、山村振興法第7条に基づき指定された振興山村をその区域の全部とする市町村又は半島振興法第2条に基づき指定された半島地域をその区域の全部とする市町村)にあつては算式Ⅱを用い、その他の市町村にあつては算式Ⅰを用いる。この場合において、(B-A)、(C-A)、(α-β)、{(B-A)/A-0.018}、{(B-A)/A-0.018}×0.5×37.6×β-(α-β)×0.5×37.6、{(C-A)/A-0.130}、{(B-A)/A-0.018}×37.6×β-(α-β)×37.6又はD×1.72/1.74+{(B-A)/A-0.018}×37.6×β-(α-β)×37.6-{(C-A)/A-0.130}×9.3が負数となるときは、それぞれ0とする。
αが3.335を超えるときは3.335とする。βが3.335を超えるときは3.335とする。
[0.4+0.3×{(C-A)/C-0.3}/0.1]が0.7を超えるときは0.7とし、0.4を下回るときは0.4とする。
算式の符号A 測定単位の数値B 当該市町村の平成27年人口C 当該市町村の国勢調査令によつて調査した平成12年10月1日現在における人口D 令和3年度における普通交付税に関する省令の一部を改正する省令(令和3年総務省令第76号)による改正前の普通交付税に関する省令(以下「令和3年改正前の省令」という。)第16条第1項の規定に基づく人口急減補正算式Ⅱを用いる市町村においては、当該人口急減補正係数α 測定単位の数値に別表第1(2)に定める数値急減補正の人口段階による補正率Aに定める率を乗じて得た率(整数未満の端数があるときは、その端数を四捨五入する。)と同表のBに定める率とを合算した率を測定単位の数値で除して得た率(小数点以下3位未満の端数があるときは、その端数を四捨五入する。)β 当該市町村の平成27年人口に別表第1(2)に定める数値急減補正の人口段階による補正率Aに定める率を乗じて得た率(整数未満の端数があるときは、その端数を四捨五入する。)と同表のBに定める率とを合算した率を平成27年人口で除して得た率(小数点以下3位未満の端数があるときは、その端数を四捨五入する。)
二 学級数急減補正小学校費中学校費学級数学級数算式
(B-A)
、
(C-B)
又は
(D-C)
が負数となるときは、それぞれ0とし、AがB、C又はDのいずれよりも小さくない場合にあつては、
(B-A)
、
(C-B)
及び
(D-C)
は0とする。
算式の符号A 当該市町村のその年の5月1日現在における小学校若しくは義務教育学校の前期課程の学級数又は中学校、義務教育学校の後期課程若しくは中等教育学校の前期課程の学級数(当該年度の5月1日現在において公立義務教育諸学校の学級編制及び教職員定数の標準に関する法律第3条第1項及び第2項(小学校費にあつては、標準法改正法附則第2条第1項の規定により読み替えて適用する標準法改正法による改正後の公立義務教育諸学校の学級編制及び教職員数の標準に関する法律第3条第2項)並びに公立義務教育諸学校の学級編制及び教職員定数の標準に関する法律施行令第1条に規定する学級編制の標準によつて算定した学級数。以下この号において「学級数」という。)B 当該市町村の前年の5月1日現在における学級数C 当該市町村の2年前の5月1日現在における学級数D 当該市町村の3年前の5月1日現在における学級数
 三 学校数急減補正小学校費学校数算式
((B-A)×1.0+(C-B)×1.0+(D-C)×0.9+(E-D)×0.6+(F-E)×0.3)/A
(B-A)
、
(C-B)
、
(D-C)
、
(E-D)
又は
(F-E)
が負数となるときは、それぞれ0とし、AがB、C、D、E、Fのいずれよりも小さくない場合にあつては、
(B-A)
、
(C-B)
、
(D-C)
、
(E-D)
及び
(F-E)
は0とする。
算式の符号A 当該市町村のその年の5月1日現在における小学校若しくは義務教育学校の前期課程の学校数又は中学校、義務教育学校の後期課程若しくは中等教育学校の前期課程の学校数(ただし、在学児童又は在学生徒を有しない学校の数を除くこととする。以下この号において「学校数」という。)B 当該市町村の前年の5月1日現在における学校数C 当該市町村の2年前の5月1日現在における学校数D 当該市町村の3年前の5月1日現在における学校数E 当該市町村の4年前の5月1日現在における学校数F 当該市町村の5年前の5月1日現在における学校数
 中学校費学校数
四 農家数急減補正農業行政費農家数算式
{(B-A)/A}×0.5
B-A
が負数となるときは、0とする。
算式の符号A 測定単位の数値B 農林業センサス規則によつて調査した平成27年2月1日現在における農家数
 五 従業者数急減補正林野水産行政費林業及び水産業の従業者数算式
(α×0.7)/A
算式の符号A 測定単位の数値α 次の算式によつて算定した数算式
(D/B-1.205)×B×2.75+(E/C-1.216)×C×0.17
(D/B-1.205)
又は
(E/C-1.216)
が負数となるときは、それぞれ0とする。
算式の符号B 産業分類別就業者数のうちA農業、林業のうち林業の就業者数C 産業分類別就業者数のうちB漁業の就業者数D 平成27年度産業分類別就業者数のうちA農業、林業のうち林業の就業者数E 平成27年度産業分類別就業者数のうちB漁業の就業者数
2前項の規定における調査期日現在の地方団体の区域がその年の四月一日現在の当該地方団体の区域と異なる場合においては、当該地方団体がその年の四月一日現在の区域をもつて存在していたものとみなして同項の規定を適用する。この場合において、人口、学級数、学校数、農家数並びに林業及び水産業の従業者数の算定方法については、第五条第二項第一号又は第四十九条第二項第九号から第十一号まで、第十八号若しくは第十九号の規定を準用する。

(「災害復旧費」に係る補正の方法)

第十七条法第十三条第十一項の規定による補正は、「災害復旧費」のうち単独災害復旧事業債償還費(地方交付税法等の一部を改正する法律(昭和五十七年法律第四十五号)第三条の規定による改正前の激甚じん災害に対処するための特別の財政援助等に関する法律(次項において「改正前の激甚財政援助法」という。)第二十四条第二項の規定の適用を受けるものを除く。以下この項において同じ。)及び小災害債償還費(農地等小災害債に係るものを除く。以下この項において同じ。)について行うものとし、その方法は、単独災害復旧事業債償還費にあつては次項及び第三項に定めるところによつて算定した当該地方団体に係る指数について、別表第一に定めるそれぞれの率を乗じて得た数の合計数を当該地方団体の指数で除して得た率、小災害債償還費にあつては当該率に〇・四〇を加えた率(当該加えた率が二・〇〇を超えるときは、二・〇〇とする。)をそれぞれこれらの測定単位の数値に乗じて行うものとする。
2前項の指数は、当該地方団体の当該年度の単独災害復旧事業債の元利償還金(改正前の激甚財政援助法第二十四条第二項の規定の適用を受けるものを除く。)及び小災害債の元利償還金(農地等小災害債に係るものを除く。)を次項の規定によつて算定した当該地方団体の標準財政収入額で除して得た数(小数点以下三位未満の端数があるときは、その端数を四捨五入する。)を〇・〇〇一で除して得た数に一〇〇を乗じて得た数(整数未満の端数があるときは、その端数を四捨五入する。)とする。
3当該地方団体の標準財政収入額は、次の表の上欄に掲げる地方団体の区分に従い、それぞれ下欄に定める方法によつて算定したもの(五百円未満の端数があるときはその端数金額を切り捨て、五百円以上千円未満の端数があるときはその端数金額を千円とする。)とする。
区分算定方法
都道府県1 当該都道府県に係る当該年度前三年度内の各年度における基準財政収入額(錯誤に係る額として加減した額を除く。)に分離課税所得割交付金の交付見込額を加算した額から地方揮発油譲与税、石油ガス譲与税、自動車重量譲与税、航空機燃料譲与税、森林環境譲与税及び交通安全対策特別交付金の収入見込額、道府県民税所得割に係る税源移譲相当額(地方交付税法附則第七条の二第一項第二号に掲げる額から同項第三号に掲げる額を控除した額)に〇・二五を乗じて得た額(五百円未満の端数があるときはその端数金額を切り捨て、五百円以上千円未満の端数があるときはその端数金額を千円とする。)から道府県民税所得割に係る税源移譲相当額(同項第二号に掲げる額から同項第一号に掲げる額を控除した額)に〇・二五を乗じて得た額(五百円未満の端数があるときはその端数金額を切り捨て、五百円以上千円未満の端数があるときはその端数金額を千円とする。)を控除した額並びに地方税法第七十二条の百十五第二項に規定する合計額の見込額から同項の規定により当該道府県内の市町村に交付する額の見込額を除いた額に〇・二五を乗じて得た額(五百円未満の端数があるときはその端数金額を切り捨て、五百円以上千円未満の端数があるときはその端数金額を千円とする。)の合算額を控除した額に一・三三三三を乗じて得た額(五百円未満の端数があるときはその端数金額を切り捨て、五百円以上千円未満の端数があるときはその端数金額を千円とする。)と地方揮発油譲与税、石油ガス譲与税及び自動車重量譲与税の収入見込額との合算額から分離課税所得割交付金の交付見込額を控除した額の合計額を三で除して算定する。2 当該年度の四月一日以前三年の間に都道府県の境界変更があつた場合における当該境界変更に係る区域の額は、関係都道府県知事が協議して分別した額による。
市町村1 当該市町村に係る当該年度前三年度内の各年度における基準財政収入額(錯誤に係る額として加減した額を除く。)から地方揮発油譲与税、特別とん譲与税、石油ガス譲与税、自動車重量譲与税、航空機燃料譲与税、森林環境譲与税及び交通安全対策特別交付金の収入見込額、市町村民税所得割に係る税源移譲相当額(地方交付税法附則第七条の二第二項第二号に掲げる額から同項第三号に掲げる額を控除した額)に〇・二五を乗じて得た額(五百円未満の端数があるときはその端数金額を切り捨て、五百円以上千円未満の端数があるときはその端数金額を千円とする。)、市町村民税所得割に係る税源移譲相当額(同項第一号に掲げる額から同項第二号に掲げる額を控除した額)に〇・二五を乗じて得た額(五百円未満の端数があるときはその端数金額を切り捨て、五百円以上千円未満の端数があるときはその端数金額を千円とする。)、地方税法第七十二条の百十五第二項の規定により道府県から交付を受ける額の見込額に〇・二五を乗じて得た額(五百円未満の端数があるときはその端数金額を切り捨て、五百円以上千円未満の端数があるときはその端数金額を千円とする。)並びに分離課税所得割交付金の収入見込額を控除した額に一・三三三三を乗じて得た額(五百円未満の端数があるときはその端数金額を切り捨て、五百円以上千円未満の端数があるときはその端数金額を千円とする。)と地方揮発油譲与税、特別とん譲与税、石油ガス譲与税及び自動車重量譲与税の収入見込額並びに分離課税所得割交付金の収入見込額の合算額の合計額を三で除して算定する。2 当該年度の四月一日以前三年の間に市町村の廃置分合又は境界変更によつてその区域に異動のあつた市町村については、当該市町村が当該年度の四月一日現在の区域をもつて存在していたものとみなして1の規定を適用する。この場合において、これらの額の分別の方法については、第五十条の規定を準用する。
4「災害復旧費」に係る種別補正は、第一項の規定によつて補正した後の数値について行うものとする。この場合において、「災害復旧費」に係る種別ごとの種別補正後の数値に五百円未満の端数があるときはその端数金額を切り捨て、五百円以上千円未満の端数があるときはその端数金額を千円とする。

第三章 基準財政収入額の算定方法

第一節 都道府県分

(道府県民税の基準税額の算定方法)

第十八条道府県民税の基準税額(基準税率をもつて算定した収入見込額をいう。以下同じ。)は、均等割に係る基準税額、所得割に係る基準税額、法人税割に係る基準税額、利子割に係る基準税額、配当割に係る基準税額及び株式等譲渡所得割に係る基準税額の合算額とする。
2均等割に係る基準税額は、次の各号に定めるところによつて算定した額の合算額とする。
一地方税法第二十四条第一項第一号又は第二号に掲げる者に対するもの
一、一〇九円に令和四年度の市町村税課税状況調の第一表の「個人均等割」のうち「納税義務者数」の「計」欄の当該都道府県内の市町村ごとの数の合計数を乗じて得た額
二地方税法第二十四条第一項第三号又は第四号に掲げる者に対するもの
前年度の道府県税の課税状況等に関する調(以下「道府県税課税状況調」という。)第一表(法人の道府県民税に関する調)の表側「合計」、表頭「均等割」の「納税義務者数」のうち「50億円超」欄の数に六〇〇、〇〇〇円を乗じて得た額と「10億円超50億円以下」欄の数に四〇五、〇〇〇円を乗じて得た額と「1億円超10億円以下」欄の数に九七、五〇〇円を乗じて得た額と「1,000万円超1億円以下」欄の数に三七、五〇〇円を乗じて得た額と「左記以外」欄の数に一五、〇〇〇円を乗じて得た額との合算額
3所得割に係る基準税額は、次の各号に定めるところによつて算定した額の合算額とする。
一当該年度に係る額
次の算式によつて算定した額(整数未満の端数があるときは、その端数を四捨五入する。)
算式
[{(79,400円×α)×A+B-C-D-E}×0.986-F+G]×0.75
79,400円×αに円未満の端数があるときは、その端数を四捨五入し、(79,400円×α)×A及び{(79,400円×α)×A+B-C-D-E}×0.986に千円未満の端数があるときは、その端数を四捨五入する。
算式の符号
A 市町村税課税状況調第12表の表側「道府県民税」の「合計」の表頭「納税義務者数」のうち「計」欄の当該都道府県内の市町村ごとの数の合計数に次の算式によつて算定した率(小数点以下3位未満の端数があるときは、その端数を四捨五入する。)を乗じて得た数(整数未満の端数があるときは、その端数を四捨五入する。)
算式
a/b
算式の符号
a 当該都道府県のその年の1月1日現在の住民基本台帳登載人口のうち20歳以上の者の数(以下「20歳以上住民基本台帳登載人口」という。)
b 当該都道府県の前年の1月1日現在の20歳以上住民基本台帳登載人口
B 分離長期譲渡所得、分離短期譲渡所得、一般株式等に係る譲渡所得等、上場株式等に係る譲渡所得等、上場株式等の配当所得等及び先物取引に係る雑所得等に係る当該年度の当初調定に係る額として総務大臣が調査した当該都道府県内の市町村ごとの額の合算額
C 次の算式によつて算定した額(整数未満の端数があるときは、その端数を四捨五入する。)
算式
(c+d+e+f)×1.020
算式の符号
c 市町村税課税状況調第12表の表側「道府県民税」のうち「合計」、表頭「税額控除額」のうち「配当控除」欄の当該都道府県内の市町村ごとの額の合計額
d 市町村税課税状況調第12表の表側「道府県民税」のうち「合計」、表頭「税額控除額」のうち「外国税額控除」欄の当該都道府県内の市町村ごとの額の合計額
e 市町村税課税状況調第12表の表側「道府県民税」のうち「合計」、表頭「配当割額の控除額」欄の当該都道府県内の市町村ごとの額の合計額
f 市町村税課税状況調第12表の表側「道府県民税」のうち「合計」、表頭「株式等譲渡所得割額の控除額」欄の当該都道府県内の市町村ごとの額の合計額
D 市町村税課税状況調第12表の表側「道府県民税」のうち「合計」、表頭「税額控除額」のうち「寄附金税額控除」欄の当該都道府県内の市町村ごとの額の合計額から市町村税課税状況調第42表の表側「道府県民税」、表頭「条例で定めるものに対する寄附金」のうち「控除額(千円)」欄の当該都道府県内の市町村ごとの額の合計額を控除した額に1.000(ただし、東京都にあつては1.047)を乗じて得た額の合算額(整数未満の端数があるときは、その端数を四捨五入する。)
E 市町村税課税状況調第12表の表側「道府県民税」のうち「合計」、表頭「税額控除額」のうち「調整控除額」欄の当該都道府県内の市町村ごとの額の合計額に1.001を乗じて得た額(整数未満の端数があるときは、その端数を四捨五入する。)
F 地方税法附則第5条の4及び第5条の4の2の規定に基づく当該年度の5月末現在における道府県民税の住宅借入金等特別税額控除額として総務大臣が調査した当該都道府県の額
G 市町村税課税状況調第20表の表側「令和3年度」のうち「7月」から「3月」まで及び「令和4年度」のうち「計」、表頭「税額(千円)」欄に係る当該都道府県内の市町村ごとの額の合計額に1.037を乗じて得た額(整数未満の端数があるときは、その端数を四捨五入する。)に0.667を乗じて得た額(整数未満の端数があるときは、その端数を四捨五入する。)
α 別表第6のA欄に定める単位額補正率
二前年度における分離短期譲渡所得、分離長期譲渡所得、一般株式等に係る譲渡所得等、上場株式等に係る譲渡所得等、上場株式等の配当所得及び先物取引に係る雑所得等に係る過大算定額又は過少算定額
次の算式によつて算定した額
算式
H×0.986×0.75-I×0.986×0.75
H×0.986×0.75及びI×0.986×0.75に整数未満の端数があるときは、その端数を四捨五入する。
算式の符号
H 市町村税課税状況調第59表の表側「市町村民税」のうち「合計」、表頭「算出税額」のうち、「分離長期譲渡所得分」のうち「小計」欄、「分離短期譲渡所得分」のうち「小計」欄、「一般株式等に係る譲渡所得等分」欄、「上場株式等に係る譲渡所得等分」欄、「上場株式等に係る配当所得等分」欄及び「先物取引に係る雑所得等分」欄の当該都道府県内の市町村ごとの額の合算額
I 前年度における普通交付税に関する省令の一部を改正する省令(令和5年総務省令第61号)による改正前の普通交付税に関する省令(以下「令和5年改正前の省令」という。)第18条第3項第1号算式の符号Bの額
4法人税割に係る基準税額は、次の各号に定めるところによつて算定した額の合算額とする。
一当該年度に係る額
次の算式によつて算定した額
算式
(A×α+B)×0.75
算式の符号
A 前年の2月1日からその年の1月31日までの間に事業年度が終了した法人に係る当該事業年度分の法人税割の課税標準となるべき額(二以上の都道府県に事務所又は事業所を有する法人の当該都道府県の課税標準となるべき額については、地方税法第57条及び第58条の規定の例による。以下この項において「課税標準額」という。)に同法第51条第1項に規定する標準税率(以下この項において「標準税率」という。)を乗じて得た額のうち、前年の4月1日からその年の3月31日までの間の納付すべきものとして確定した税額(同法第6条の規定により課税をしなかつた場合又は不均一の課税をした場合における減収額として総務大臣が調査した額を含むものとする。以下この項において「調定額」という。)から当該期間における当該事業年度分の法人税割に係る還付すべきことが確定した額で前年の4月1日の属する年度の歳出として還付すべき額(以下この項において「当該年度の歳出還付額」という。)を控除した額
B 前年の1月31日以前に事業年度が終了した法人に係る同日以前に終了した事業年度分の法人税割の課税標準額に標準税率を乗じて得た額のうち、前年の4月1日からその年の3月31日までの間の調定額から当該期間における当該事業年度分の法人税割に係る当該年度の歳出還付額を控除した額
α 1.01
二前年度における前号の額の過大算定額又は過少算定額
次の算式によつて算定した額
算式
(C+D)×0.75-E
算式の符号
C 前年の2月1日からその年の1月31日までの間に事業年度が終了した法人に係る当該事業年度分の法人税割の課税標準額に標準税率を乗じて得た額のうち、前年の4月1日からその年の3月31日までの間の調定額から当該期間における当該事業年度分の法人税割に係る前年度の歳出還付額を控除した額
D 前年の1月31日以前に事業年度が終了した法人に係る同日以前に終了した事業年度分の法人税割の課税標準額に標準税率を乗じて得た額のうち、前年の4月1日からその年の3月31日までの間の調定額から当該期間における当該事業年度分の法人税割に係る前年度の歳出還付額を控除した額
E 前年度における前号の額
三前年度以前の年度における前号の額について総務大臣が修正すべきものと認めた額
5利子割に係る基準税額は、次の各号に定めるところによつて算定した額の合算額とする。ただし、当該合算額が負となる場合には当該額は零とする。
一当該年度に係る額
次の算式によつて算定した額
算式
{(A×0.05-B)×1.471}×0.75-(C×1.592)×0.75
算式の符号
A 前年度の収入額となるべき利子割の課税標準額
B 前年度の歳出予算から支出した過誤納に係る利子割の還付金の額
C 前年度において地方税法施行令(昭和25年政令第245号)第9条の15の規定により当該都道府県の区域内の市町村に対し交付した利子割交付金の額
二前年度における前号の額の過大算定額又は過少算定額
次の算式によつて算定した額
算式
{(D×0.05-E)×0.75-F×0.75}-G
算式の符号
D 前号の算式の符号Aに同じ。
E 前号の算式の符号Bに同じ。
F 前号の算式の符号Cに同じ。
G 前年度における前号の額
三前年度以前の年度における前号の額について総務大臣が修正すべきものと認めた額
6配当割に係る基準税額は、次に定めるところによつて算定した額とする。
算式
{(A×0.05-B)×α}×0.75-(C×β)×0.75
算式の符号
A 前年度の収入額となるべき配当割の課税標準額
B 前年度の歳出予算から支出した過誤納に係る配当割の還付金の額
C 前年度において地方税法施行令第9条の19の規定により当該都道府県の区域内の市町村に対し交付した配当割交付金の額
α 1.257
β 1.249
7株式等譲渡所得割に係る基準税額は、次に定めるところによつて算定した額とする。
算式
{(A×0.05-B)×α}×0.75-(C×β)×0.75
算式の符号
A 前年度の収入額となるべき株式等譲渡所得割の課税標準額
B 前年度の歳出予算から支出した過誤納に係る株式等譲渡所得割の還付金の額
C 前年度において地方税法施行令第9条の23の規定により当該都道府県の区域内の市町村に対し交付した株式等譲渡所得割交付金の額
α 1.103
β 1.098

(事業税の基準税額の算定方法)

第十九条事業税の基準税額は、個人の行う事業に対する事業税(以下「個人事業税」という。)に係る基準税額及び法人の行う事業に対する事業税(以下「法人事業税」という。)に係る基準税額の合算額とする。
2個人事業税に係る基準税額は、次の算式によつて算定した額とする。
算式
{4,069千円×(A×B)+1,263千円×(C×D)}×0.03705
(A×B)
又は
(C×D)
に整数未満の端数があるときは、その端数を四捨五入する。
算式の符号
A 前年度において同年度分の個人事業税の課税の基礎となつた納税義務者数(地方税法第6条の規定により、当該都道府県が課税をしないこととしている者の数を含む。)のうち所得税を課税されたものの数
B 別表第七のA欄に定める率
C Aに0.022を乗じて得た数(整数未満の端数があるときは、その端数を四捨五入する。)
D 別表第七のB欄に定める率
3法人事業税に係る基準税額は、次の各号に定めるところによつて算定した額の合算額とする。
一当該年度に係る額
次の算式によつて算定した額
算式
{(A+B)×α+C×β-(A+B+C)×γ+D+E+F}×0.75
算式の符号
A 前年の2月1日からその年の1月31日までの間に事業年度が終了した法人で所得を課税標準とするものに係る当該事業年度分の法人事業税の課税標準となるべき額(二以上の都道府県に事務所又は事業所を有する法人の当該都道府県の課税標準となるべき額については、地方税法第72条の48及び第72条の48の2の規定の例による。以下この項において「課税標準額」という。)に同法第72条の24の7第1項から第5項までの各項に規定する標準税率(以下この項において「標準税率」という。)を乗じて得た額のうち、前年の4月1日からその年の3月31日までの間の納付すべきものとして確定した税額(同法第6条の規定により課税をしなかつた場合又は不均一の課税をした場合における減収額として総務大臣が調査した額を含むものとし、同法第72条の26の規定により納付すべきことが確定した税額にあつては、総務大臣が調査した額とする。以下この項において「調定額」という。)から当該期間における当該事業年度分の法人事業税額に係る還付すべきことが確定した額で前年の4月1日の属する年度の歳出として還付すべき額(以下この項において「当該年度の歳出還付額」という。)を控除した額
B 前年の2月1日からその年の1月31日までの間に事業年度が終了した法人で収入金額を課税標準とするものに係る当該事業年度分の法人事業税の課税標準額に標準税率を乗じて得た額のうち、前年の4月1日からその年の3月31日までの間の調定額から当該期間における当該事業年度分の法人事業税額に係る当該年度の歳出還付額を控除した額
C 前年の2月1日からその年の1月31日までの間に事業年度が終了した法人で付加価値額及び資本等の金額を課税標準とするものに係る当該事業年度分の法人事業税の課税標準額に標準税率を乗じて得た額のうち、前年の4月1日からその年の3月31日までの間の調定額から当該期間における当該事業年度分の法人事業税額に係る当該年度の歳出還付額を控除した額
D 前年の1月31日以前に事業年度が終了した法人で所得を課税標準とするものに係る同日以前に終了した事業年度分の法人事業税の課税標準額に標準税率を乗じて得た額のうち、前年の4月1日からその年の3月31日までの間の調定額から当該期間における当該事業年度分の法人事業税額に係る当該年度の歳出還付額を控除した額
E 前年の1月31日以前に事業年度が終了した法人で収入金額を課税標準とするものに係る同日以前に終了した事業年度分の法人事業税の課税標準額に標準税率を乗じて得た額のうち、前年の4月1日からその年の3月31日までの間の調定額から当該期間における当該事業年度分の法人事業税額に係る当該年度の歳出還付額を控除した額
F 前年の1月31日以前に事業年度が終了した法人で付加価値額及び資本等の金額を課税標準とするものに係る同日以前に終了した事業年度分の法人事業税の課税標準額に標準税率を乗じて得た額のうち、前年の4月1日からその年の3月31日までの間の調定額から当該期間における当該事業年度分の法人事業税額に係る当該年度の歳出還付額を控除した額
α 0.90
β 0.94
γ 0.07
二前年度における前号の額の過大算定額又は過少算定額
次の算式によつて算定した額
算式
(G+H+I+J+K+L-M)×0.75-N
算式の符号
G 前年の2月1日からその年の1月31日までの間に事業年度が終了した法人で所得を課税標準とするものに係る当該事業年度分の法人事業税の課税標準額に標準税率を乗じて得た額のうち、前年の4月1日からその年の3月31日までの間の調定額から当該期間における当該事業年度分の法人事業税額に係る前年度の歳出還付額を控除した額
H 前年の2月1日からその年の1月31日までの間に事業年度が終了した法人で収入金額を課税標準とするものに係る当該事業年度分の法人事業税の課税標準額に標準税率を乗じて得た額のうち、前年の4月1日からその年の3月31日までの間の調定額から当該期間における当該事業年度分の法人事業税額に係る前年度の歳出還付額を控除した額
I 付加価値額及び資本等の金額を課税標準とするものに係る前年度の収入額となるべき法人事業税の課税標準額に標準税率を乗じて得た額のうち、前年の4月1日からその年の3月31日までの間の調定額から当該期間における法人事業税額に係る前年度の歳出還付額を控除した額
J 前年の1月31日以前に事業年度が終了した法人で所得を課税標準とするものに係る同日以前に終了した事業年度分の法人事業税の課税標準額に標準税率を乗じて得た額のうち、前年の4月1日からその年の3月31日までの間の調定額から当該期間における当該事業年度分の法人事業税額に係る前年度の歳出還付額を控除した額
K 前年の1月31日以前に事業年度が終了した法人で収入金額を課税標準とするものに係る同日以前に終了した事業年度分の法人事業税の課税標準額に標準税率を乗じて得た額のうち、前年の4月1日からその年の3月31日までの間の調定額から当該期間における当該事業年度分の法人事業税額に係る前年度の歳出還付額を控除した額
L 前年の1月31日以前に事業年度が終了した法人で付加価値額及び資本等の金額を課税標準とするものに係る同日以前に終了した事業年度分の法人事業税の課税標準額に標準税率を乗じて得た額のうち、前年の4月1日からその年の3月31日までの間の調定額から当該期間における当該事業年度分の法人事業税額に係る前年度の歳出還付額を控除した額
M 前年度における法人事業税交付金の額
N 前年度における前号の額
三前年度以前の年度における前号の額について総務大臣が修正すべきものと認めた額

(地方消費税の基準税額の算定方法)

第十九条の二地方消費税の基準税額は、譲渡割に係る基準税額及び貨物割に係る基準税額の合算額とする。
2譲渡割に係る基準税額は、次の算式によつて算定した額とする。
算式
(A×0.00611477)×0.75-(A×0.00303342)×0.75+(A×0.00733772)×0.75-(A×0.00366011)×0.75
算式の符号
A 地方税法第72条の114第4項に規定する各都道府県ごとの消費に相当する額
3貨物割に係る基準税額は、次の算式によつて算定した額とする。
算式
(A×0.00357008)×0.75-(A×0.00173102)×0.75+(A×0.00428409)×0.75-(A×0.00209026)×0.75
算式の符号
A 地方税法第72条の114第4項に規定する各都道府県ごとの消費に相当する額

(不動産取得税の基準税額の算定方法)

第二十条不動産取得税の基準税額は、次の算式によつて算定した額とする。
算式
{(A+B)/2}×0.02095
算式の符号
A 前々年度の道府県税課税状況調第26表(家屋に関する調)の表側「合計」、表頭「課税標準」のうち「価格」欄の額と第28表(土地に関する調)の表側「計」、表頭「課税標準額」欄の額との合算額に道府県税課税状況調第33表(課税標準の特例の適用状況に関する調(附則・合計))の表側「計」、表頭「法附則第11条第7項(認定都市再生計画)(実績)」のうち「控除額」欄の額及び道府県税課税状況調第32表(課税標準の特例の適用状況に関する調(本法))の表側「計」、表頭「法第73条の14第11項に該当するもの(家庭的保育事業)(実績)」のうち「控除額」欄の額、同表の表側「計」、表頭「法第73条の14第12項に該当するもの(居宅訪問型保育事業)(実績)」のうち「控除額」欄の額及び同表の表側「計」、表頭「法第73条の14第13項に該当するもの(事業所内保育事業)(実績)」のうち「控除額」欄の額の合算額を加算し、道府県税課税状況調第33表の表側「計」、表頭「法附則第11条第7項(認定都市再生計画)(参酌基準によった場合)」のうち「控除額」欄の額及び道府県税課税状況調第32表の表側「計」、表頭「法第73条の14第11項に該当するもの(家庭的保育事業)(参酌基準によった場合)」のうち「控除額」欄の額、同表の表側「計」、表頭「法第73条の14第12項に該当するもの(居宅訪問型保育事業)(参酌基準によった場合)」のうち「控除額」欄の額及び同表の表側「計」、表頭「法第73条の14第13項に該当するもの(事業所内保育事業)(参酌基準によった場合)」のうち「控除額」欄の額の合算額を控除した額
B 前年度の道府県税課税状況調第26表(家屋に関する調)の表側「合計」、表頭「課税標準」のうち「価格」欄の額と第28表(土地に関する調)の表側「計」、表頭「課税標準額」欄の額との合算額に道府県税課税状況調第33表(課税標準の特例の適用状況に関する調(附則・合計))の表側「計」、表頭「法附則第11条第7項(認定都市再生計画)(実績)」のうち「控除額」欄の額及び道府県税課税状況調第32表(課税標準の特例の適用状況に関する調(本法))の表側「計」、表頭「法第73条の14第12項に該当するもの(家庭的保育事業)(実績)」のうち「控除額」欄の額、同表の表側「計」、表頭「法第73条の14第13項に該当するもの(居宅訪問型保育事業)(実績)」のうち「控除額」欄の額及び同表の表側「計」、表頭「法第73条の14第14項に該当するもの(事業所内保育事業)(実績)」のうち「控除額」欄の額の合算額を加算し、「道府県税課税状況調第33表の表側「計」、表頭「法附則第11条第7項(認定都市再生計画)((参酌基準によった場合)」のうち「控除額」欄の額及び道府県税課税状況調第32表の表側「計」、表頭「法第73条の14第12項に該当するもの(家庭的保育事業)(参酌基準によった場合)」のうち「控除額」欄の額、同表の表側「計」、表頭「法第73条の14第13項に該当するもの(居宅訪問型保育事業)(参酌基準によった場合)」のうち「控除額」欄の額及び同表の表側「計」、表頭「法第73条の14第14項に該当するもの(事業所内保育事業)(参酌基準によった場合)」のうち「控除額」欄の額の合算額を控除した額

(道府県たばこ税の基準税額の算定方法)

第二十一条道府県たばこ税の基準税額は、次の算式によつて算定した額とする。
算式
(A×α)×0.8025
(A×α)が500未満であるときは0とし、(A×α)に500未満の端数があるときはその端数を切り捨て、500以上1,000未満の端数があるときはその端数を1,000とする。
算式の符号
A 前々年度の3月1日から前年度の2月末日までの間の当該都道府県の区域内における地方税法第74条の2第1項の売渡し又は同条第2項の売渡し若しくは消費等(以下この条において「売渡し等」という。)に係る製造たばこの本数(喫煙用の紙巻たばこ以外の製造たばこの本数については地方税法第74条の4第2項及び第3項の規定によつて換算した本数とし、当該売渡し等に係る製造たばこの本数が500未満であるときは0とし、当該売渡し等に係る製造たばこの本数に500未満の端数があるときはその端数を切り捨て、500以上1,000未満の端数があるときはその端数を1,000とする。)
α 別表第八に定める率

(ゴルフ場利用税の基準税額の算定方法)

第二十二条ゴルフ場利用税の基準税額は、次の算式によつて算定した額とする。
算式
(A×α)×52,600円
算式の符号
A 前年の3月1日からその年の2月末日までの施設ごとの延利用者の1日当たりの数(1人未満の端数があるときは、その端数を四捨五入する。)の合計数(その年の3月31日までに廃止された施設に係る延利用者の1日当たりの数を除く。)として総務大臣が調査した数
α 別表第九に定める率
第二十三条削除

(軽油引取税の基準税額の算定方法)

第二十三条の二軽油引取税の基準税額は、一一、二五〇円に、前年度における軽油引取税の課税標準となつた数量(一キロリットル未満の端数があるときは、その端数を四捨五入する。)に別表第十一に定める率を乗じて得た数量(一キロリットル未満の端数があるときは、その端数を四捨五入する。)を乗じて得た額とする。ただし、指定都市を包括する都道府県の基準税額は、当該額から当該都道府県の区域内の指定都市ごとに第三十八条の規定によつて算定した額を控除した額とする。

(自動車税の基準税額の算定方法)

第二十四条自動車税の基準税額は、環境性能割に係る基準税額及び種別割に係る基準税額の合算額とする。
2環境性能割に係る基準税額は、次の算式によつて算定した額に〇・四四三六二五を乗じて得た額とする。ただし、指定都市を包括する都道府県の基準税額は、当該額から当該都道府県の区域内の指定都市ごとに第三十八条の二第一号の規定によつて算定した額(地方税法第百七十七条の六第二項に係る額に限る。)を控除した額とする。
算式
(61,300円×α)×(A×0.981)
(61,300円×α)に円未満の端数があるときは、その端数を四捨五入し、(A×0.981)に整数未満の端数があるときは、その端数を四捨五入する。
算式の符号
A 前年度において自動車税の環境性能割の課税の対象となつた自動車(地方税法第146条第2項の規定によつてその取得が課税対象とならない自動車、同法第148条、第149条、第150条、第158条若しくは附則第12条の2の10の規定によつてその取得に対して自動車税の環境性能割を課することができない自動車又は同法第164条第1項若しくは第165条第1項の規定によつてその取得に対する自動車税の環境性能割の納税義務が免除された自動車を除く。)の台数
α 別表第12(1)に定める率
3種別割に係る基準税額は、次の算式によつて算定した額とする。
算式
(26,100円×α)×(A×0.913)+(29,900円×β)×(B×0.913)+(6,100円×γ)×(C×0.913)+(9,900円×δ)×D
(26,100円×α)、(29,900円×β)、(6,100円×γ)及び(9,900円×δ)に円未満の端数があるときは、その端数を四捨五入し、(A×0.913)、(B×0.913)及び(C×0.913)に整数未満の端数があるときは、その端数を四捨五入する。
算式の符号
A 前年度の3月31日現在において道路運送車両法(昭和26年法律第185号)第6条に規定する自動車登録フアイルに登録されている自動車の台数(大型特殊自動車の台数、地方税法第148条の規定により自動車税を課することができない又は自動車税の納税義務が免除された自動車の台数、同フアイルに登録されている自動車の台数のうち東日本大震災により滅失した自動車の台数並びに同フアイルに登録されている自動車の台数のうち道路運送車両法第15条第1項の規定による永久抹消登録をする場合、同法第13条第1項の規定による移転登録及び同法第16条第1項の規定による一時抹消登録を同時にする場合並びに同法第13条第1項の規定による移転登録及び同法第15条の2第1項の規定による輸出抹消仮登録を同時にする場合の手続に伴う地方税法第177条の13の規定による申告がされた自動車であつて、その年の3月末日までに申告の事由が生じ、かつ、当該事由が生じた日から15日以内に当該申告がされた自動車の台数を除く。以下この条において「課税台数」という。)のうち地方税法附則第12条の3及び第12条の4第3項における税率の特例の対象となる台数(以下この条において「グリーン化に係る台数」という。)並びに日本国とアメリカ合衆国との間の相互協力及び安全保障条約第六条に基づく施設及び区域並びに日本国における合衆国軍隊の地位に関する協定第13条第3項及び第14条第6項の規定の適用を受ける者の所有するものの台数(以下この条において「合衆国軍隊構成員等所有台数」という。)を控除した台数
B 課税台数のうちグリーン化に係る台数(地方税法附則第12条の3第1項及び第12条の4第3項の対象となるものに限る。)
C 課税台数のうちグリーン化に係る台数(地方税法附則第12条の3第2項及び第3項の対象となるものに限る。)
D 課税台数のうち合衆国軍隊構成員等所有台数
α 別表第12(2)のA欄に定める基準税率補正率
β 別表第12(2)のB欄に定める基準税率補正率
γ 別表第12(2)のC欄に定める基準税率補正率
δ 別表第12(2)のD欄に定める基準税率補正率

(鉱区税の基準税額の算定方法)

第二十五条鉱区税の基準税額は、次の各号に定めるところによつて算定した額の合算額とする。
一当該年度の四月一日現在において鉱業法(昭和二十五年法律第二百八十九号)第五十九条に規定する鉱業原簿のうち試掘原簿に登録されている試掘権の鉱区(地方税法第百七十九条の規定によつて鉱区税を課さないものを除く。以下この号において「試掘鉱区」という。)及び当該鉱業原簿のうち採掘原簿に登録されている採掘権の鉱区(地方税法第百七十九条の規定によつて鉱区税を課さないものを除く。以下この号において「採掘鉱区」という。)について、次の表の鉱区の種類ごとの額欄に掲げる額に、同表の表示単位欄に掲げる表示単位による鉱区の種類ごとの数値(表示単位未満の端数があるときは、その端数を切り上げる。)をそれぞれ乗じて得た額
鉱区の種類表示単位額
砂鉱を目的としない鉱業権の鉱区石油又は可燃性天然ガスを目的とする鉱業権の鉱区試掘鉱区面積(百アール)一〇〇円
採掘鉱区面積(百アール)二〇〇
石油又は可燃性天然ガスを目的としない鉱業権の鉱区試掘鉱区面積(百アール)一五〇
採掘鉱区面積(百アール)三〇〇
砂鉱を目的とする鉱業権の鉱区河床でないもの面積(百アール)一五〇
河床面積を課税標準とするもの面積(百アール)一五〇
延長を課税標準とするもの延長(千メートル)四五〇
二当該年度の四月一日現在において日本国と大韓民国との間の両国に隣接する大陸棚だなの南部の共同開発に関する協定の実施に伴う石油及び可燃性天然ガス資源の開発に関する特別措置法(昭和五十三年法律第八十一号)第三十二条に規定する特定鉱業原簿に登録されている探査権の共同開発鉱区(以下この号において「探査鉱区」という。)及び採掘権の共同開発鉱区(以下この号において「採掘鉱区」という。)について、一七円に当該都道府県に係る探査鉱区の面積(表示単位は百アールとし、表示単位未満の端数があるときは、その端数を切り上げる。)を乗じて得た額と一〇〇円に当該都道府県に係る採掘鉱区の面積(表示単位は百アールとし、表示単位未満の端数があるときは、その端数を切り上げる。)を乗じて得た額の合算額
第二十六条削除

(固定資産税の基準税額の算定方法)

第二十七条固定資産税の基準税額は、大規模の償却資産(地方税法第七百四十条の規定により、都道府県が固定資産税を課すものとされている償却資産をいう。以下同じ。)について、次の各号に定めるところによつて算定した額の合算額とする。ただし、当該合算額が負となる場合には、当該合算額は零とする。
一大規模の償却資産に係る都道府県分の課税標準額(地方税法第七百四十条の規定により、当該都道府県が課すものとされる当該年度分の固定資産税の課税標準となるべき額をいう。ただし、当該償却資産のうち同法第三百四十九条の三第二十七項から第二十九項まで若しくは附則第十五条第二項第一号若しくは第五号、第十四項、第二十一項、第二十三項、第二十五項、第二十八項、第三十二項若しくは第四十二項、地方税法等の一部を改正する法律(平成三十年法律第三号。以下「平成三十年地方税法等改正法」という。)附則第二十条第二項、第三項、第五項若しくは第六項、地方税法等の一部を改正する法律(令和二年法律第五号。以下「令和二年地方税法等改正法」という。)附則第十四条第八項、第十四項若しくは第十七項、地方税法等の一部を改正する法律(令和三年法律第七号。以下「令和三年地方税法等改正法」という。)附則第十二条第二項若しくは第七項又は地方税法等の一部を改正する法律(令和四年法律第一号。以下「令和四年地方税法等改正法」という。)附則第十三条第四項に規定するものにあつては当該償却資産に係る固定資産税の課税標準となるべき価格に、地方税法附則第十五条第四十二項及び平成三十年地方税法等改正法附則第二十条第二項(平成三十年地方税法等改正法第一条の規定による改正前の地方税法(以下「平成三十年改正前地方税法」という。)附則第十五条第二項第一号に係るものに限る。)に係るものにあつては三分の一、地方税法第三百四十九条の三第二十七項から第二十九項まで並びに附則第十五条第二項第一号、第十四項ただし書、第二十一項、第二十三項第二号、第二十五項第三号及び第三十二項、平成三十年地方税法等改正法附則第二十条第二項(平成三十年改正前地方税法附則第十五条第二項第二号及び第三号に係るものに限る。)及び第五項並びに令和二年地方税法等改正法附則第十四条第八項(令和二年地方税法等改正法第一条の規定による改正前の地方税法(以下「令和二年改正前地方税法」という。)附則第十五条第二項第一号及び第二号に係るものに限る。)に係るものにあつては二分の一、地方税法附則第十五条第二十五項第二号、平成三十年地方税法等改正法附則第二十条第二項(平成三十年改正前地方税法附則第十五条第二項第七号に係るものに限る。)、令和三年地方税法等改正法附則第十二条第二項及び令和四年地方税法等改正法附則第十三条第四項(令和四年地方税法等改正法第一条の規定による改正前の地方税法附則第十五条第二項第五号に係るものに限る。)に係るものにあつては四分の三、地方税法附則第十五条第二十三項第一号、第二十五項第一号及び第二十八項、平成三十年地方税法等改正法附則第二十条第三項及び第六項(平成三十年改正前地方税法附則第十五条第三十二項第一号に係るものに限る。)並びに令和二年地方税法等改正法附則第十四条第十四項(令和二年改正前地方税法附則第十五条第三十三項第一号ハに係るものに限る。)に係るものにあつては三分の二、地方税法附則第十五条第十四項本文に係るものにあつては五分の三、地方税法附則第十五条第二項第五号及び令和二年地方税法等改正法附則第十四条第十七項に係るものにあつては五分の四、令和三年地方税法等改正法附則第十二条第七項に係るものにあつては法律の範囲内において各市町村が条例で定める割合をそれぞれ乗じて得た額とし、当該償却資産のうち令和三年地方税法等改正法附則第十二条第九項の規定によりなお従前の例によることとされた令和三年地方税法等改正法第一条の規定による改正前の地方税法(以下「令和三年改正前地方税法」という。)附則第六十四条及び令和三年地方税法等改正法附則第十三条第一項の規定によりなお従前の例によることとされた令和三年地方税法等改正法第二条の規定による改正前の地方税法(以下「令和五年改正前地方税法」という。)附則第六十四条に規定するものにあつてはこれらの規定の適用がないものとした場合における当該償却資産の課税標準となるべき価格とする。以下この条において同じ。)のうち地方税法第三百八十九条の規定により、総務大臣又は都道府県知事が評価し、価格等を決定するものに係る額にそれぞれ〇・〇一〇五を乗じて得た額
二大規模の償却資産に係る都道府県分の課税標準額のうち地方税法第四百十条の規定により、市町村長が価格等を決定するものに係る額に〇・〇一〇五を乗じて得た額
三大規模の償却資産に係る都道府県分の課税標準額のうち地方税法第七百四十三条の規定により、都道府県知事が評価し、価格等を決定するものに係る額に〇・〇一〇五を乗じて得た額
四前年度以前の各年度における第一号から前号までの各号に掲げる都道府県の課税標準額について総務大臣が過大又は過少と認めた額にそれぞれ〇・〇一〇五を乗じて得た額
第二十八条削除

(市町村たばこ税都道府県交付金の基準額の算定方法)

第二十八条の二市町村たばこ税都道府県交付金の基準額は、当該都道府県が包括する市町村に係る第三十四条算式の符号Cに掲げる額の合算額とする。

(特別法人事業譲与税の基準税額の算定方法)

第二十八条の三特別法人事業譲与税の基準税額は、特別法人事業税及び特別法人事業譲与税に関する法律(平成三十一年法律第四号)第三十一条の規定によつて当該都道府県に対して前年度の五月、八月、十一月及び二月に譲与された特別法人事業譲与税の額の合算額に〇・九〇〇を乗じて得た額に〇・七五を乗じて得た額とする。

(地方揮発油譲与税の基準税額の算定方法)

第二十九条地方揮発油譲与税法(昭和三十年法律第百十三号)第四条の規定によつて前年度の六月、十一月及び三月に譲与された地方揮発油譲与税の額のうち同法第二条に係る額(地方税法等の一部を改正する法律(平成二十一年法律第九号)第三条の規定による改正前の地方道路譲与税法(以下「改正前の地方道路譲与税法」という。)第四条の規定によつて前年度の六月、十一月及び三月に譲与された地方道路譲与税の額のうち改正前の地方道路譲与税法第二条に係る額を含む。)の合算額に〇・九八〇を乗じて得た額とする。

(石油ガス譲与税の基準税額の算定方法)

第二十九条の二石油ガス譲与税の基準税額は、石油ガス譲与税法(昭和四十年法律第百五十七号)第三条の規定によつて当該都道府県に対して前年度の六月、十一月及び三月に譲与された石油ガス譲与税の額の合算額に一・〇六四を乗じて得た額とする。

(自動車重量譲与税の基準税額の算定方法)

第二十九条の二の二自動車重量譲与税の基準税額は、自動車重量譲与税法(昭和四十六年法律第九十号)第一条の規定によつて自動車重量譲与税を譲与されるべき都道府県について、同法第三条の規定によつて前年度の六月、十一月及び三月に譲与された自動車重量譲与税の額の合算額に〇・九七五を乗じて得た額とする。

(航空機燃料譲与税の基準税額の算定方法)

第二十九条の三航空機燃料譲与税の基準税額は、航空機燃料譲与税法第二条の二の規定によつて航空機燃料譲与税を譲与されるべき空港関係都道府県について、同法第三条の規定により前年度の九月及び三月に譲与された航空機燃料譲与税の額の合算額に一・一一四を乗じて得た額とする。

(森林環境譲与税の基準税額の算定方法)

第二十九条の四森林環境譲与税の基準税額は、森林環境税法第二十九条の規定によつて森林環境譲与税を譲与されるべき都道府県について、同法第三十条の規定により前年度の九月及び三月に譲与された森林環境譲与税の額の合算額に一・〇〇〇を乗じて得た額とする。

(都道府県交付金の基準額の算定方法)

第三十条都道府県交付金の基準額は、次の各号に定めるところによつて算定した額の合算額とする。
一国有資産等所在市町村交付金法(昭和三十一年法律第八十二号。以下「交付金法」という。)第五条及び第六条に規定する大規模の償却資産について、各省各庁の長又は地方公共団体の長が交付金法第十四条第四項において準用する交付金法第七条、第八条又は第九条第二項の規定によつて通知(当該年度の四月一日以後の通知を除く。)した価格を基礎として、交付金法の規定(第十五条第一項及び第二項の規定を除くものとし、交付金法第五条及び第六条の規定の適用については、特別区は指定都市とみなす。)によつて算定した当該年度の当該都道府県の交付金算定標準額に〇・〇一〇五を乗じて得た額
二前年度以前の年度における当該都道府県の前号に規定する交付金算定標準額について、同号に規定する日以後において同号の規定による価格の通知が変更されたことその他の理由により総務大臣が過大又は過少と認めた額にそれぞれ〇・〇一〇五を乗じて得た額

第二節 市町村分

(市町村民税の基準税額の算定方法)

第三十一条市町村民税の基準税額は、均等割に係る基準税額、所得割に係る基準税額及び法人税割に係る基準税額の合算額とする。
2均等割に係る基準税額は、次の各号に定めるところによつて算定した額の合算額とする。
一地方税法第二百九十四条第一項第一号又は第二号に掲げる者に対するもの
市町村の市町村税課税状況調第一表の「個人均等割」のうち「納税義務者数」の「計」欄の数に二、五八八円を乗じて得た額
二地方税法第二百九十四条第一項第三号又は第四号に掲げる者に対するもの
市町村税課税状況調第一表の「法人均等割納税義務者数」の次の表の上欄に掲げる法人等の区分に応じた各欄の数を下欄に掲げる単位額にそれぞれ乗じて得た額の合算額
法人等の区分単位額
資本金等の金額が五十億円を超える法人で、従業者数の合計数が五十人を超えるもの二、二五〇、〇〇〇円
資本金等の金額が十億円を超え五十億円以下である法人で、従業者数の合計数が五十人を超えるもの一、三一二、五〇〇
資本金等の金額が十億円を超える法人で、従業者数の合計数が五十人以下であるもの三〇七、五〇〇
資本金等の金額が一億円を超え十億円以下である法人で、従業者数の合計数が五十人を超えるもの三〇〇、〇〇〇
資本金等の金額が一億円を超え十億円以下である法人で、従業者数の合計数が五十人以下であるもの一二〇、〇〇〇
資本金等の金額が一千万円を超え一億円以下である法人で、従業者数の合計数が五十人を超えるもの一一二、五〇〇
資本金等の金額が一千万円を超え一億円以下である法人で、従業者数の合計数が五十人以下であるもの九七、五〇〇
資本金等の金額が一千万円以下である法人で、従業者数の合計数が五十人を超えるもの九〇、〇〇〇
(A)から(H)までの法人等以外の法人等をいうもの及び法人でない社団等三七、五〇〇
3所得割に係る基準税額は、次の各号に定めるところによつて算定した額の合算額とする。ただし、当該合算額が負となる場合には当該額は零とする。
一市町村の当該年度に係る基準税額
次の算式によつて算定した額(整数未満の端数があるときは、その端数を四捨五入する。)
算式
[{((145,400円×α)×A)+B-C-D-E}×0.986-F+G]×0.75
145,400円×αに円未満の端数があるときは、その端数を四捨五入し、(145,400円×α)×A及び{((145,400円×α)×A)+B-C-D-E}×0.986に千円未満の端数があるときは、その端数を四捨五入する。
算式の符号
A 市町村税課税状況調第12表の表側「市町村民税」の「合計」の表頭「納税義務者数」のうち「計」欄の当該市町村の数に次の算式によつて算定した率(小数点以下3位未満の端数があるときは、その端数を四捨五入する。)を乗じて得た数(整数未満の端数があるときは、その端数を四捨五入する。)
算式
a/b
算式の符号
a 当該市町村のその年の1月1日現在の20歳以上住民基本台帳登載人口
b 当該市町村の前年の1月1日現在の20歳以上住民基本台帳登載人口
B 分離長期譲渡所得、分離短期譲渡所得、一般株式等に係る譲渡所得等、上場株式等に係る譲渡所得等、上場株式等の配当所得等及び先物取引に係る雑所得等に係る当該年度の当初調定に係る額として総務大臣が調査した当該市町村の額
C 次の算式によつて算定した額(整数未満の端数があるときは、その端数を四捨五入する。)
算式
(c+d+e+f)×1.021
算式の符号
c 市町村税課税状況調第12表の表側「市町村民税」のうち「合計」、表頭「税額控除額」のうち「配当控除」欄の当該市町村の額
d 市町村税課税状況調第12表の表側「市町村民税」のうち「合計」、表頭「税額控除額」のうち「外国税額控除」欄の当該市町村の額
e 市町村税課税状況調第12表の表側「市町村民税」のうち「合計」、表頭「配当割額の控除額」欄の当該市町村の額
f 市町村税課税状況調第12表の表側「市町村民税」のうち「合計」、表頭「株式等譲渡所得割額の控除額」欄の当該市町村の額
D 市町村税課税状況調第12表の表側「市町村民税」のうち「合計」、表頭「税額控除額」のうち「寄附金税額控除」欄の当該市町村の額から市町村税課税状況調第42表の表側「市町村民税」、表頭「条例で定めるものに対する寄附金」のうち「控除額(千円)」欄の当該市町村の額を控除した額に1.000(ただし、特別区にあつては1.043)を乗じて得た額(整数未満の端数があるときは、その端数を四捨五入する。)
E 市町村税課税状況調第12表の表側「市町村民税」のうち「合計」、表頭「税額控除額」のうち「調整控除」欄の当該市町村の額に1.003を乗じて得た額(整数未満の端数があるときは、その端数を四捨五入する。)
F 地方税法附則第5条の4及び第5条の4の2の規定に基づく当該年度の5月末現在における市町村民税の住宅借入金等特別税額控除額として総務大臣が調査した当該市町村の額
G 市町村税課税状況調第20表の表側「令和3年度」のうち「7月」から「3月」まで及び「令和4年度」のうち「計」、表頭「税額(千円)」欄に係る当該市町村の額に1.037を乗じて得た額(整数未満の端数があるときは、その端数を四捨五入する。)
α 次の算式によつて算定した率(小数点以下3位未満の端数があるときは、その端数を四捨五入する。)
算式
(g/h)/144,080
算式の符号
g 市町村税課税状況調第59表の表側「市町村民税」の「合計」の表頭「総所得金額、山林所得金額及び退職所得金額分(超過税率課税分を含む)」欄のうち、「(B)について標準税率で算出したもの(超過税率課税分等を除いた額)」欄の当該市町村の額
h 市町村税課税状況調第12表の表側「市町村民税」の「合計」の表頭「納税義務者数」のうち「計」欄の当該市町村の数
二前年度における分離長期譲渡所得、分離短期譲渡所得、一般株式等に係る譲渡所得等、上場株式等に係る譲渡所得等、上場株式等に係る配当所得等及び先物取引に係る雑所得等に係る過大算定額又は過少算定額
次の算式によつて算定した額
算式
(H×0.986×0.75-I×0.986×0.75)+J
H×0.986×0.75、I×0.986×0.75及びJに整数未満の端数があるときは、その端数を四捨五入する。
算式の符号
H 市町村税課税状況調第59表の表側「市町村民税」のうち「合計」、表頭「算出税額」のうち、「分離長期譲渡所得分」のうち「小計」欄、「分離短期譲渡所得分」のうち「小計」欄、「一般株式等に係る譲渡所得等分」欄、「上場株式等に係る譲渡所得等分」欄、「上場株式等に係る配当所得等分」欄及び「先物取引に係る雑所得等分」欄の当該市町村の額
I 令和5年改正前の省令第31条第3項第1号算式の符号Bの額
J 次の算式によつて算定した額。ただし、指定都市以外の市町村にあつては零とする。
算式
(i×0.986×0.75-j×0.986×0.75)×2/8×25/75
i×0.986×0.75、j×0.986×0.75、(i×0.986×0.75-j×0.986×0.75)×2/8及び(i×0.986×0.75-j×0.986×0.75)×2/8×25/75に整数未満の端数があるときは、その端数を四捨五入する。
算式の符号
i 符号Hに同じ。
j 符号Iに同じ。
三前年度における前二号の合算額について総務大臣が修正すべきものと認めた額
4法人税割に係る基準税額は、次の各号に定めるところによつて算定した額の合算額とする。ただし、当該合算額が負となる場合には、当該合算額は零とする。
一当該年度に係る額
次の算式によつて算定した額
算式
(A×α+B)×0.75
算式の符号
A 前年の2月1日からその年の1月31日までの間に事業年度が終了した法人に係る当該事業年度分の法人税割の課税標準となるべき額(二以上の市町村に事務所又は事業所を有する法人の当該市町村の課税標準となるべき額については、地方税法第321条の13及び第321条の14の規定の例による。以下この項において「課税標準額」という。)に同法第314条の4第1項に規定する標準税率(以下この項において「標準税率」という。)を乗じて得た額のうち、前年の4月1日からその年の3月31日の間の納付すべきものとして確定した税額(同法第6条の規定により課税をしなかつた場合又は不均一の課税をした場合における減収額として総務大臣が調査した額を含むものとする。以下この項において「調定額」という。)から当該期間における当該事業年度分の法人税割に係る還付すべきことが確定した額でその年の4月1日の属する年度の歳出として還付すべき額(以下この項において「当該年度の歳出還付額」という。)を控除した額
B 前年の1月31日以前に事業年度が終了した法人に係る同日以前に終了した事業年度分の法人税割の課税標準額に標準税率を乗じて得た額のうち、前年の4月1日からその年の3月31日までの間の調定額から当該期間における当該事業年度分の法人税割に係る当該年度の歳出還付額を控除した額
α 0.97
二前年度における前号の額の過大算定額又は過少算定額
次の算式によつて算定した額
算式
(C+D)×0.75-E
算式の符号
C 前年の2月1日からその年の1月31日までの間に事業年度が終了した法人に係る当該事業年度分の法人税割の課税標準額に標準税率を乗じて得た額のうち、前年の4月1日からその年の3月31日までの間の調定額から当該期間における当該事業年度分の法人税割に係る前年度の歳出還付額を控除した額
D 前年の1月31日以前に事業年度が終了した法人に係る同日以前に終了した事業年度分の法人税割の課税標準額に標準税率を乗じて得た額のうち、前年の4月1日からその年の3月31日までの間の調定額から当該期間における当該事業年度分の法人税割に係る前年度の歳出還付額を控除した額
E 前年度における前号の額
三前年度以前の年度における前号の額について総務大臣が修正すべきものと認めた額

(固定資産税の基準税額の算定方法)

第三十二条固定資産税の基準税額は、土地に係る基準税額、家屋に係る基準税額及び償却資産に係る基準税額の合算額とする。
2土地に係る基準税額は、次の算式によつて算定した額とする。
算式
[{(A1×B1)+(A2×B2)+(A3×B3)+(A4×B4)+(A5×B5)-C}×0.014-(D-E+F+G)]×0.7395
算式の符号
A1 当該市町村の区域内に所在する土地(前年度の1月1日現在において土地課税台帳及び土地補充課税台帳に登録されるべきであつた土地をいう。以下この項において同じ。)のうち一般田(地方税法第388条第1項に基づく固定資産評価基準(以下「固定資産評価基準」という。)第1章第2節一ただし書又は同章第2節の2の規定により評価した田以外の田をいう。以下この項において同じ。)の総地積(地方税法第348条又は附則第55条第2項の規定に該当するものを除く。)
A2 当該市町村の区域内に所在する土地のうち一般畑(固定資産評価基準第1章第2節一ただし書又は同章第2節の2の規定により評価した畑以外の畑をいう。以下この項において同じ。)の総地積(地方税法第348条又は附則第55条第2項の規定に該当するものを除く。)
A3 当該市町村の区域内に所在する土地のうち宅地(固定資産評価基準第1章第3節四及び五の規定により評価した宅地を除く(ただし、同規定ただし書の規定により評価した宅地についてはこの限りではない。)。)の総地積(地方税法第348条又は附則第55条第2項の規定に該当するものを除く。)
A4 当該市町村の区域内に所在する土地のうち一般山林(固定資産評価基準第1章第7節一ただし書の規定により評価した山林以外の山林をいう。以下この項において同じ。)の総地積(地方税法第348条又は附則第55条第2項の規定に該当するものを除く。)
A5 当該市町村の区域内に所在する土地のうちその他の土地(一般田、一般畑、宅地及び一般山林以外の土地をいう。)の総地積(地方税法第348条又は附則第55条第2項の規定に該当するものを除く。)
B1 地方税法第422条の概要調書による市町村ごとの一般田の当該年度の単位当たり平均価格
B2 地方税法第422条の概要調書による市町村ごとの一般畑の当該年度の単位当たり平均価格
B3 地方税法第422条の概要調書による市町村ごとの宅地(固定資産評価基準第1章第3節四及び五の規定により評価した宅地を除く(ただし、同規定ただし書の規定により評価した宅地はこの限りではない。)。)の当該年度の単位当たり平均価格
B4 地方税法第422条の概要調書による市町村ごとの一般山林の当該年度の単位当たり平均価格
B5 地方税法第422条の概要調書による市町村ごとのその他の土地(固定資産評価基準第1章第3節四及び五の規定により評価した宅地を含む(ただし、同規定ただし書の規定により評価した宅地はこの限りではない。)。)の当該年度の単位当たり平均価格
C 地方税法第351条の規定に該当する法定免税点未満のものの額、同法第349条の3第9項、第11項、第18項、第21項、第22項、第25項、第30項及び第33項、第349条の3の2、第349条の3の3、附則第15条第9項、第16項、第19項、第31項から第35項まで、第38項、第39項及び第43項、第15条の2第2項、第15条の3第1項、第16条の2第1項、第2項、第6項及び第7項、第16条の3第1項、第2項、第6項及び第7項、第16条の4第1項、第2項、第6項及び第7項、第29条の7第2項並びに第56条第1項、第10項及び第13項、地方税法等の一部を改正する法律(平成10年法律第27号)附則第6条第9項、地方税法の一部を改正する法律(平成11年法律第15号)附則第8条第8項、地方税法等の一部を改正する法律(平成18年法律第7号)附則第13条第9項並びに地方税法等の一部を改正する法律(平成26年法律第4号。以下「平成26年地方税法等改正法」という。)附則第12条第8項の規定に該当する課税標準の特例による減少額として総務大臣が調査した額並びに地方税法附則第18条、第19条、第19条の3及び第19条の4の規定に基づく特例による課税標準の減少額(ただし、同法附則第15条第32項、第33項、第38項及び第43項の規定に該当する課税標準の特例による減少額にあつては、当該土地に係る固定資産税の課税標準となるべき価格に乗じる割合を、同条第32項に係るものにあつては2分の1、同条第33項及び第38項に係るものにあつては3分の2、同条第43項に係るものにあつては4分の3として算定した額とする。)として総務大臣が調査した額
D 地方税法附則第29条の5第1項、第3項、第7項及び第8項の規定により当該年度おいて徴収を免除、又は猶予した額
E 地方税法附則第29条の5第9項の規定により前年度中に徴収猶予を取り消した税額
F 地方税法附則第29条の5第11項及び第12項の規定により前年度中に還付すべきこが確定した税額
G 地方税法附則第29条の5第16項及び第17項並びに第55条第4項、第6項及び第8項の規定により当該年度において減額した税額
3家屋に係る基準税額は、地方税法第四百二十二条の概要調書による市町村ごとの木造、非木造別の家屋の当該年度の単位当たり平均価格に、前年度の一月一日現在において家屋課税台帳及び家屋補充課税台帳に登録されるべきであつた家屋の床面積の木造、非木造別の合計面積(同法第三百四十八条及び附則第五十五条第二項の規定に該当するものを除く。)をそれぞれ乗じて得た額から当該年度分の同法第三百五十一条の規定に該当する法定免税点未満のもの(令和三年改正前地方税法附則第六十四条及び令和五年改正前地方税法附則第六十四条の規定の適用により法定免税点未満となるものを除く。)の額並びに地方税法第三百四十九条の三第九項から第十一項まで、第十五項から第十八項まで、第二十項、第二十二項、第二十三項、第二十五項、第二十七項から第三十項まで、第三十二項及び第三十三項並びに附則第十五条第一項、第九項、第十三項から第十七項まで、第十九項、第二十項、第二十二項、第二十四項、第二十七項、第三十二項及び第三十九項、第十五条の二第二項並びに第十五条の三第一項、地方税法の一部を改正する法律(昭和四十七年法律第十一号)附則第八条第三項、地方税法及び国有資産等所在市町村交付金及び納付金に関する法律の一部を改正する法律(昭和六十一年法律第九十四号)附則第三条第十項、地方税法及び国有資産等所在市町村交付金法の一部を改正する法律(平成三年法律第七号)附則第八条第三項、地方税法の一部を改正する法律(平成七年法律第四十号)附則第六条第三項及び第五項、地方税法等の一部を改正する法律(平成十年法律第二十七号)附則第六条第五項及び第九項、地方税法等の一部を改正する法律(平成十三年法律第八号)附則第八条第八項、地方税法等の一部を改正する法律(平成十五年法律第九号)附則第十一条第九項及び第十一項、地方税法等の一部を改正する法律(平成十七年法律第五号)附則第七条第九項及び第十項、地方税法の一部を改正する法律(平成十九年法律第四号)附則第六条第二項、地方税法等の一部を改正する法律(平成二十年法律第二十一号)附則第十条第四項、地方税法等の一部を改正する法律(平成二十二年法律第四号)附則第十一条第十九項及び第二十項、現下の厳しい経済状況及び雇用情勢に対応して税制の整備を図るための地方税法等の一部を改正する法律(平成二十三年法律第八十三号)附則第七条第六項から第八項まで及び第二十五項、平成二十六年地方税法等改正法附則第十二条第七項及び第八項、平成二十八年地方税法等改正法附則第十八条第十七項、平成三十年地方税法等改正法附則第二十条第四項、地方税法等の一部を改正する法律(平成三十一年法律第二号)附則第十六条第二項、令和二年地方税法等改正法附則第十四条第七項、第十一項、第十三項及び第十七項、令和三年地方税法等改正法附則第十二条第五項並びに地方税法等の一部を改正する法律(令和五年法律第一号。以下「令和五年地方税法等改正法」という。)附則第十六条第四項の規定に該当する課税標準等の特例による減少額(地方税法第三百四十九条の三第二十七項から第二十九項まで並びに附則第十五条第十四項、第二十二項及び第三十二項、平成三十年地方税法等改正法附則第二十条第四項並びに令和二年地方税法等改正法附則第十四条第十七項の規定に該当する課税標準の特例による減少額にあつては、当該家屋に係る固定資産税の課税標準となるべき価格に乗じる割合を、地方税法附則第十五条第十四項本文に係るものにあつては五分の三、同法第三百四十九条の三第二十七項から第二十九項まで並びに附則第十五条第十四項ただし書、第二十二項第二号及び第三号並びに第三十二項並びに平成三十年地方税法等改正法附則第二十条第四項に係るものにあつては二分の一、令和二年地方税法等改正法附則第十四条第十七項に係るものにあつては五分の四、地方税法附則第十五条第二十二項第一号に係るものにあつては三分の二として算定した額とする。)として総務大臣が調査した額を控除した額に〇・〇一四を乗じて得た額から、地方税法第三百五十二条の三第一項並びに附則第十五条の六、第十五条の七第一項及び第二項、第十五条の八、第十五条の九第一項、第四項、第五項、第九項及び第十項、第十五条の九の二第一項、第四項及び第五項、第十五条の九の三第一項、第十五条の十第一項、第十五条の十一第一項、第十六条の二第十項、第十六条の三第十項、第五十五条第四項、第六項及び第八項並びに第五十六条第十一項及び第十四項並びに平成三十年地方税法等改正法附則第二十条第八項の規定により当該年度分の固定資産税から減額された額(地方税法附則第十五条の八第二項の規定に該当する当該年度の固定資産税から減額された額にあつては、同項の規定による条例で定める割合を三分の二として算定した額とする。)として総務大臣が調査した額を控除した額に〇・七三八七五を乗じて得た額とする。
4償却資産に係る基準税額は、次の各号に定める方法によつて算定した額の合算額とする。
一地方税法第三百八十九条の規定により、総務大臣又は都道府県知事が評価し、価格等を決定する償却資産に係る当該年度分の固定資産税の市町村分の課税標準額(当該償却資産のうち同法第三百四十九条の三第二十七項から第二十九項まで若しくは附則第十五条第二項第一号若しくは第五号、第十四項、第二十一項、第二十三項、第二十五項、第二十八項、第三十二項若しくは第四十二項、平成三十年地方税法等改正法附則第二十条第二項、第三項若しくは第五項、令和二年地方税法等改正法附則第十四条第八項、第十四項若しくは第十七項、令和三年地方税法等改正法附則第十二条第二項若しくは第七項又は令和四年地方税法等改正法附則第十三条第四項に規定するものにあつては当該償却資産に係る固定資産税の課税標準となるべき価格に、地方税法附則第十五条第四十二項及び平成三十年地方税法等改正法附則第二十条第二項(平成三十年改正前地方税法附則第十五条第二項第一号に係るものに限る。)に係るものにあつては三分の一、地方税法第三百四十九条の三第二十七項から第二十九項まで並びに附則第十五条第二項第一号、第十四項ただし書、第二十一項、第二十三項第二号、第二十五項第三号及び第三十二項、平成三十年地方税法等改正法附則第二十条第二項(平成三十年改正前地方税法附則第十五条第二項第二号及び第三号に係るものに限る。)、第五項及び第六項(平成三十年改正前地方税法附則第十五条第三十二項第二号に係るものに限る。)並びに令和二年地方税法等改正法附則第十四条第八項(令和二年改正前地方税法附則第十五条第二項第一号及び第二号に係るものに限る。)に係るものにあつては二分の一、地方税法附則第十五条第二十五項第二号、平成三十年地方税法等改正法附則第二十条第二項(平成三十年改正前地方税法附則第十五条第二項第七号に係るものに限る。)、令和三年地方税法等改正法附則第十二条第二項及び令和四年地方税法等改正法附則第十三条第四項(令和四年地方税法等改正法第一条の規定による改正前の地方税法附則第十五条第二項第五号に係るものに限る。)に係るものにあつては四分の三、地方税法附則第十五条第二十三項第一号、第二十五項第一号及び第二十八項、平成三十年地方税法等改正法附則第二十条第三項及び第六項(平成三十年改正前地方税法附則第十五条第三十二項第一号に係るものに限る。)並びに令和二年地方税法等改正法附則第十四条第十四項(令和二年改正前地方税法附則第十五条第三十三項第一号ハに係るものに限る。)に係るものにあつては三分の二、地方税法附則第十五条第十四項本文に係るものにあつては五分の三、地方税法附則第十五条第二項第五号及び令和二年地方税法等改正法附則第十四条第十七項に係るものにあつては五分の四、令和三年地方税法等改正法附則第十二条第七項に係るものにあつては法律の範囲内において各市町村が条例で定める割合をそれぞれ乗じて得た額とし、当該償却資産のうち令和三年改正前地方税法附則第六十四条及び令和五年改正前地方税法附則第六十四条に規定するものにあつてはこれらの規定の適用がないものとした場合における当該償却資産の課税標準となるべき価格とし、地方税法第三百五十一条本文の規定に該当するもの(令和三年改正前地方税法附則第六十四条及び令和五年改正前地方税法附則第六十四条の規定の適用により地方税法第三百五十一条本文の規定に該当することとなるものを除く。)がある場合における当該償却資産に係る額及び大規模の償却資産に係る都道府県分の課税標準額のうち当該償却資産に係る額は含まれないものとする。以下この項において同じ。)にそれぞれ〇・〇一〇五を乗じて得た額
二地方税法第七百四十三条の規定により、都道府県知事が評価し、価格等を決定する償却資産に係る当該年度分の固定資産税の市町村分の課税標準額に〇・〇一〇五を乗じて得た額
三地方税法第四百十条の規定により、市町村長が価格等を決定する償却資産に係る当該年度分の固定資産税の市町村分の課税標準額に〇・〇一〇三九五を乗じて得た額
四前年度以前の年度における第一号から前号までの各号に掲げる市町村分の課税標準額について総務大臣が過大又は過少と認めた額に、第一号及び第二号に係るものにあつては〇・〇一〇五を、前号に係るものにあつては〇・〇一〇三九五をそれぞれ乗じて得た額の合算額

(軽自動車税の基準税額の算定方法)

第三十三条軽自動車税の基準税額は、環境性能割に係る基準税額及び種別割に係る基準税額及び種別割に係る基準税額の合算額とする。
2環境性能割に係る基準税額は、次の算式によつて算定した額とする。
算式
A×{(B/A)/α}×β×0.75
B/Aに円単位未満の端数があるときは、その端数を四捨五入し、(B/A)/αに小数点以下3位未満の端数があるときは、その端数を四捨五入し、{(B/A)/α}×βに円単位未満の端数があるときは、その端数を四捨五入し、A×{(B/A)/α}×βに千円未満の端数があるときは、その端数を四捨五入する。
算式の符号
A 前年度中に地方税法附則第29条の12第2項の規定により市町村に払い込まれた軽自動車税の環境性能割額に係る台数
B 前年度中に地方税法附則第29条の12第2項の規定により市町村に払い込まれた軽自動車税の環境性能割額(千円未満の端数があるときは、その端数を四捨五入する。)
α 20,922
β 19,741
3種別割に係る基準税額は、次の各号に定めるところによつて算定した額の合算額とする。
一次の表に掲げる区分ごとの下欄の額に、軽自動車等(地方税法第四百四十二条各号に掲げるものをいい、同法第四百四十五条の規定により軽自動車税の種別割を課することができないもの又は同条の規定により納税義務を免除するものを除く。以下同じ。)の当該年度の四月一日現在の台数(次の各号に規定する軽自動車等の台数を除く。)を同表の上欄の区分に従い区分し、当該区分した台数をそれぞれ乗じて得た額の合算額に〇・九七二を乗じて得た額
区分額
原動機付自転車イ 総排気量が〇・〇五リットル以下のもの又は定格出力が〇・六キロワット以下のもの(ニに掲げるものを除く。)一、五〇〇円
ロ 二輪のもので、総排気量が〇・〇五リットルを超え〇・〇九リットル以下のもの又は定格出力が〇・六キロワットを超え〇・八キロワット以下のもの一、五〇〇
ハ 二輪のもので、総排気量が〇・〇九リットルを超えるもの又は定格出力が〇・八キロワットを超えるもの一、八〇〇
ニ 三輪以上のもの(地方税法施行規則(昭和二十九年総理府令第二十三号)第十五条の十五で定めるものを除く。)で、総排気量が〇・〇二リットルを超えるもの又は定格出力が〇・二五キロワットを超えるもの二、七七五
軽自動車二輪のもの(側車付のものを含む。)二、七〇〇
三輪のもの平成二十六年度までに初めて車両番号の指定を受けたもの二、三二五
平成二十七年四月一日以後に初めて車両番号の指定を受けたもの二、九二五
四輪以上のもの乗用営業用平成二十六年度までに初めて車両番号の指定を受けたもの四、一二五
平成二十七年四月一日以後に初めて車両番号の指定を受けたもの五、一七五
自家用平成二十六年度までに初めて車両番号の指定を受けたもの五、四〇〇
平成二十七年四月一日以後に初めて車両番号の指定を受けたもの八、一〇〇
貨物用営業用平成二十六年度までに初めて車両番号の指定を受けたもの二、二五〇
平成二十七年四月一日以後に初めて車両番号の指定を受けたもの二、八五〇
自家用平成二十六年度までに初めて車両番号の指定を受けたもの三、〇〇〇
平成二十七年四月一日以後に初めて車両番号の指定を受けたもの三、七五〇
専ら雪上を走行するもの二、六二五
小型特殊自動車農耕作業用自動車一、七二五
その他のもの四、四二五
二輪の小型自動車四、五〇〇
二地方税法附則第三十条における税率の特例の対象となる軽自動車等について、次の算式によつて算定した額
算式
[{(7,800円×α)×A}+{(2,000円×β)×B}]×0.972
ただし、(7,800円×α)及び(2,000円×β)に円未満の端数があるときは、その端数を四捨五入し、(7,800円×α)×A及び(2,000円×β)×Bに千円未満の端数があるときは、その端数を四捨五入する。
算式の符号
A 軽自動車等のうち地方税法附則第30条第1項の規定の対象となるものの当該年度の4月1日現在の台数(以下この号において「重課に係る台数」という。)
B 軽自動車等のうち地方税法附則第30条第2項から第4項までの規定の対象となるものの当該年度の4月1日現在の台数(以下この号において「軽課に係る台数」という。)
α 次の算式によつて算定した市町村ごとの基準税率補正率(小数点以下3位未満の端数があるときは、その端数を四捨五入する。)
算式
(b/a)×(1/7,800)
ただし、b/aに整数未満の端数があるときは、その端数を四捨五入する。
算式の符号
a 重課に係る台数
b 地方税法附則第30条第1項の規定により読み替えられた同法第463条の15第1項第2号ロ及びハに規定する標準税率に0.75を乗じた額に、税率区分ごとの重課に係る台数をそれぞれ乗じて得た額(千円未満の端数があるときは、その端数を四捨五入する。)の合算額
β 次の算式によつて算定した市町村ごとの基準税率補正率(小数点以下3位未満の端数があるときは、その端数を四捨五入する。)
算式
(d/c)×(1/1,971)
ただし、d/cに整数未満の端数があるときは、その端数を四捨五入する。
算式の符号
c 軽課に係る台数
d 地方税法附則第30条第2項から第4項までの規定により読み替えられた同法第463条の15第1項第2号ロ及びハに規定する標準税率に0.75を乗じた額に、税率区分ごとの軽課に係る台数をそれぞれ乗じて得た額(千円未満の端数があるときは、その端数を四捨五入する。)の合算額
三次の表に掲げる区分ごとの下欄の額に、地位協定第十三条第三項及び第十四条第六項の規定の適用を受ける者が所有する軽自動車等の当該年度の四月一日現在の台数を同表の上欄の区分に従い区分し、当該区分した台数をそれぞれ乗じて得た額の合算額
区分額
原動機付自転車三七五円
軽自動車二輪のもの(側車付のものを含む。)及び三輪のもの七五〇
四輪以上のもの二、二五〇
二輪の小型自動車七五〇

(市町村たばこ税の基準税額の算定方法)

第三十四条市町村たばこ税の基準税額は、次の算式によつて算定した額とする。ただし、当該額が負となる場合には、当該額は零とする。
算式
(A×B)×4.9140-C
(A×B)が500未満であるときは0とし、(A×B)に500未満の端数があるときはその端数を切り捨て、500以上1,000未満の端数があるときはその端数を1,000とする。
算式の符号
A 前々年度の3月1日から前年度の2月末日までの間の当該市町村の区域内において地方税法第465条第1項に規定する売渡し又は同条第2項に規定する売渡し若しくは消費等(以下この条において「売渡し等」という。)が行われた製造たばこの本数(喫煙用の紙巻たばこ以外の製造たばこの本数については、同法第467条第2項及び第3項の規定によつて換算した本数とし、当該売渡し等に係る製造たばこの本数が500未満であるときは0とし、当該売渡し等に係る製造たばこの本数に500未満の端数があるときはその端数を切り捨て、500以上1,000未満の端数があるときはその端数を1,000とする。以下この条において同じ。)
B 次の算式によつて算定した市町村ごとの乗率(算定の過程及び当該乗率に小数点以下4位未満の端数があるときは、その端数を四捨五入する。以下この条において同じ。)
算式
はbが0であるときは0とする。
算式の符号
a 符号Aに同じ。
b 当該年度の前4年度の3月1日から前3年度の2月末日までの間の当該市町村の区域内において売渡し等が行われた製造たばこの本数
C 次の算式によつて算定した額
算式
(c×d-e)×0.75
(c×d-e)×0.75に千円未満の端数があるときはその端数を切り上げ、c×d-eが負数となるときは0とする。
算式の符号
c 前々年度の3月1日から前年度の2月末日までの間に当該市町村の区域内において売渡し等が行われた製造たばこの本数
d 地方税法第468条に定める市町村たばこ税の税率
e 前3年度の全国のたばこ税の額の合計額に当該市町村のたばこ消費基礎人口(地方税法第485条の13に規定するたばこ消費基礎人口をいう。以下同じ。)に2.00を乗じて得た数を全国のたばこ消費基礎人口の合計数で除して得た割合を乗じて得た額(千円未満の端数があるときは、その端数を切り上げる。)

(鉱産税の基準税額の算定方法)

第三十五条鉱産税の基準税額は、次の算式によつて算定した額とする。
算式
A×0.0075+B×0.00525
A×0.0075及びB×0.00525に整数未満の端数があるときは、その端数を四捨五入する。
算式の符号
A 前年度において鉱産税の課税標準となつた額(同年度中に申告書の提出又は更正若しくは決定(以下この条において「申告書の提出等」という。)があつた場合における最終の申告書の提出等に係る課税標準額(当該年度の4月1日現在において閉鎖している作業場に係るものとして総務大臣が調査した額を除く。)をいう。以下この条において同じ。)から前々年度以前の年度において申告書の提出等があつたものについて前年度中に更正があつた場合における当該前々年度以前の年度において鉱産税の課税標準となつた額を控除した額のうち地方税法第520条第1項本文の規定の適用を受けるものの額
B 前年度において鉱産税の課税標準となつた額から前々年度以前の年度において申告書の提出等があつたものについて前年度中に更正があつた場合における当該前々年度以前の年度において鉱産税の課税標準となつた額を控除した額のうち地方税法第520条第1項ただし書の規定の適用を受けるものの額

(特別土地保有税の基準税額の算定方法)

第三十六条特別土地保有税の基準税額は、次の各号に定めるところによつて算定した額の合算額とする。ただし、当該合算額が負となる場合には、当該合算額は零とする。
一土地に対して課する分
次の算式によつて算定した額。
算式
〔{(A-C)×(1.4/100)-(B-D)×(1.4/100)}-E-(F-G+H)〕×0.735
算式の符号
A 前年度に課税の対象となつた土地(地方税法第586条、第587条第1項、第587条の2、同法附則第31条の2、第39条第6項又は同条第7項の規定により非課税となるもの又は同法第595条の規定による免税点未満のものを除く。)の取得価額(前年度中に申告書若しくは修正申告書の提出、更正又は決定(以下この号において「申告書の提出等」という。)があつた場合における最終の申告書の提出等による額(地方税法第6条の規定により当該市町村が課税をしないこととしている土地に係る課税標準となるべき取得価額を含む。)をいう。以下この条において同じ。)
B Aに係る土地の固定資産税の課税標準となるべき価額
C Aに係る土地のうち固定資産税の課税標準となるべき価額が取得価額を超えるものの取得価額
D Aに係る土地のうち固定資産税の課税標準となるべき価額が取得価額を超えるものの課税標準となるべき価額
E Aに係る土地のうち、前々年度以前の年度において申告書の提出等があつたものについて、前年度中に修正申告書の提出又は更正があつた場合における当該修正申告書の提出又は更正に係る前々年度までにすでに納付の確定した税額
F 地方税法第601条第3項(同法第602条第2項、第603条の2の2第3項、同法附則第31条の3の2第4項及び第31条の3の3第3項において準用する場合を含む。)若しくは第4項(同法第602条第2項、第603条の2の2第3項、同法附則第31条の3の2第4項及び第31条の3の3第3項において準用する場合を含む。)、第603条第3項、第603条の2第6項、同法附則第31条の3の2第3項又は第31条の3の3第2項の規定によつて前年度中に徴収猶予した税額
G 地方税法第601条第5項(同法第602条第2項、第603条第4項、第603条の2の2第3項、附則第31条の3の2第4項及び第31条の3の3第3項において準用する場合を含む。)、同法附則第31条の3の2第3項又は第31条の3の3第2項の規定により前年度中に徴収猶予を取り消した税額(同法附則第31条の3の2第1項の認定を受けない決定をした額を除く。)並びに同法第603条の2第6項、同法附則第31条の3の2第3項又は第31条の3の3第2項の規定によつて徴収猶予されていた者が、前年度中に同法第603条の2第1項、同法附則第31条の3の2第1項又は第31条の3の3第1項の認定を受けないこととなつた場合における当該税額
H 地方税法第601条第7項(同法第602条第2項、第603条第4項、第603条の2第7項、第603条の2の2第3項、同法附則第31条の3の2第4項及び第31条の3の3第3項において準用する場合を含む。)の規定によつて前年度中に還付すべきことが確定した税額(同法第603条の2第6項ただし書、附則第31条の3の2第3項ただし書又は第31条の3の3第2項ただし書の規定の適用を受けていた者が、同法第603条の2第1項、附則第31条の3の2第1項又は第31条の3の3第1項の認定を受けた場合における当該税額のうち未納となつていた額を含む。)
二土地の取得に対して課する分
次の算式によつて算定した額
算式
〔{(A-C)×(3/100)-(B-D)×(4/100)}-E-(F-G+H)〕×0.735
算式の符号
A 前年度に課税の対象となつた土地(地方税法第586条、第587条第2項、附則第31条の2、第31条の2の2、第38条第4項、第39条第6項若しくは同条第7項の規定により非課税となるもの又は同法第595条の規定による免税点未満のものを除く。)の取得価額
B Aに係る土地の不動産取得税の課税標準となるべき価額
C Aに係る土地のうち不動産取得税の課税標準となるべき価額に4/3を乗じて得た額が取得価額を超えるものの取得価額
D Aに係る土地のうち不動産取得税の課税標準となるべき価額に4/3を乗じて得た額が取得価額を超えるものの課税標準となるべき価額
E 前号の算式の符号中Eに同じ。
F 前号の算式の符号中Fに同じ。
G 前号の算式の符号中Gに同じ。
H 前号の算式の符号中Hに同じ。
三遊休土地に対して課する分
次の算式によつて算定した額
算式
[(A×(1.4/100))-{(B×(1.4/100))+C}-D-(E-F+G)]×0.735
算式の符号
A 前年度に課税の対象となつた地方税法第621条に規定する遊休土地(同法第586条第1項の規定により非課税となるものを除く。以下「遊休土地」という。)の時価又は遊休土地である土地の取得価額のいずれか高い金額
B Aに係る土地の固定資産税の課税標準となるべき価額
C Aに係る土地のうち土地に対して課する特別土地保有税が課される土地がある場合にあつては、当該土地に対して地方税法第585条の規定により市町村が課すべき前年度分の同法第596条に規定する同法第599条第1項第1号の特別土地保有税の税額の合計額
D 前号の算式の符号中Eに同じ
E 地方税法第629条第5項の規定により前年度中に徴収猶予した税額
F 地方税法第629条第5項の規定により徴収猶予されていた者が、前年度中に同条第1項の認定を受けないこととなつた場合における当該税額
G 地方税法第629条第8項の規定により前年度中に還付すべきことが確定した税額(同条第5項ただし書の規定の適用を受けていた者が、同条第1項の認定を受けた場合における当該税額のうち未納となつていた額を含む。)

(事業所税の基準税額の算定の方法)

第三十七条事業所税の基準税額は、地方税法第七百一条の三十の規定によつて事業所税を課するものとされている指定都市等(同法第七百一条の三十一第一項第一号に掲げる市をいう。以下同じ。)について、次の算式によつて算定した額とする。
算式
(A×600円+B×(0.25/100)-C)×0.74925
算式の符号
A 前年度の事業に係る事業所税の資産割に係る課税の対象となつた事業所床面積の数値(前年度中に申告書若しくは修正申告書の提出、更正又は決定(以下この条において「申告書の提出等」という。)があつた場合における最終の申告書の提出等による数値をいい、表示単位は平方メートルとし、表示単位未満の端数があるときは、その端数を四捨五入する。以下同じ。)
B 前年度の事業に係る事業所税の従業者割に係る課税の対象となつた従業者給与総額(前年度中に申告書の提出等があつた場合における最終の申告書の提出等による額をいう。以下同じ。)
C A及びBに係る税額のうち、前々年度以前の年度において申告書の提出等があつたものについて、前年度中に修正申告書の提出又は更正があつた場合における当該修正申告書の提出又は更正に係る前々年度までに既に納付の確定した税額

(利子割交付金の基準額の算定方法)

第三十七条の二利子割交付金の基準額は、次の各号に定めるところによつて算定した額の合算額とする。ただし、当該合算額が負となる場合には当該額は零とする。
一当該年度に係る額
地方税法施行令第九条の十五の規定により前年度の八月、十二月及び三月に交付された利子割交付金の額の合算額に一・五九二を乗じて得た額に〇・七五を乗じて得た額
二前年度における前号の額の過大算定額又は過少算定額
次の算式によつて算定した額
算式
A×0.75-B
算式の符号
A 前年度の8月、12月及び3月に交付された利子割交付金の額の合算額
B 前年度における前号の額
三前年度以前の年度における前号の額について総務大臣が修正すべきものと認めた額

(配当割交付金の基準額の算定方法)

第三十七条の三配当割交付金の基準額は、地方税法施行令第九条の十九の規定により前年度の八月、十二月及び三月に交付された配当割交付金の額の合算額に一・二四九を乗じて得た額に〇・七五を乗じて得た額とする。

(株式等譲渡所得割交付金の基準額の算定方法)

第三十七条の四株式等譲渡所得割交付金の基準額は、地方税法施行令第九条の二十三の規定により前年度の三月に交付された株式等譲渡所得割交付金の額の合算額に一・〇九八を乗じて得た額に〇・七五を乗じて得た額とする。

(法人事業税交付金の基準額の算定方法)

第三十七条の四の二法人事業税交付金の基準額は、次の各号に定めるところによつて算定した額の合算額とする。ただし、当該額が負となる場合には、当該額は零とする。
一当該年度に係る額
次の算式によつて算定した額
算式
{(A×α×B/C)×0.75
A×α及びA×α×B/Cに小数点未満の端数があるときは、その端数を四捨五入する。
算式の符号
A 当該市町村を包括する道府県の前年度の法人事業税調定額(標準税率分)として総務大臣が通知した数
B 当該市町村従業者数(当該市町村の地方税法第72条の76に規定する従業者数。ただし、地方税法施行令第7条の2の2の規定の適用を受ける市町村にあつては、当該規定による従業者数)
C 当該道府県の区域内の市町村に係る符号Bの合計
α 0.07
二令和五年改正前の省令第三十七条の四の二の額の過大算定額又は過少算定額
次の算式によつて算定した額
算式
A×0.75-B
算式の符号
A 前年度の8月、12月及び3月に交付された法人事業税交付金の額の合算額
B 前年度における令和5年改正前の省令第37条の4の2の額

(地方消費税交付金の基準額の算定方法等)

第三十七条の四の三地方消費税交付金の基準額は、次の算式によつて算定した額とする。
算式
A+B
算式の符号
A 次の算式Ⅰによつて算定した地方税法第72条の115第1項の規定による基準額(以下「地方消費税交付金基準額(従来分)」という。)
算式Ⅰ
a×α×0.75
算式Ⅰの符号
a 地方税法第72条の115第1項の規定により当該市町村に前年度の6月、9月、12月及び3月に交付された地方消費税交付金の額
α 1.031
B 次の算式Ⅱによつて算定した地方税法第72条の115第2項の規定による基準額(以下「地方消費税交付金基準額(引上げ分)」という。)
算式Ⅱ
b×β×0.75
算式Ⅱの符号
b 地方税法第72条の115第2項の規定により当該市町村に前年度の6月、9月、12月及び3月に交付された地方消費税交付金の額
β 1.031

(ゴルフ場利用税交付金の基準額の算定方法)

第三十七条の五ゴルフ場利用税交付金の基準額は、地方税法第百三条の規定によつてゴルフ場利用税交付金を交付されるべきゴルフ場所在市町村について、当該市町村の所在する都道府県の条例により定められた当該年度の四月一日現在のゴルフ場に係る一人一日当たりの税率(これにより難いと認められる場合は、総務大臣が定める率)に一九二を乗じて得た額に、総務大臣が調査した前年の三月一日からその年の二月末日までの当該市町村のゴルフ場(その年の三月三十一日までに廃止されたものを除く。)ごとの延利用者数の一日当たりの数(当該ゴルフ場が二以上の市町村の区域にまたがつて所在する場合には、当該ゴルフ場の総面積に対する当該市町村に係る当該ゴルフ場の面積の割合によつて按分した数とし、一人未満の端数があるときは、その端数を四捨五入する。)に〇・九四六を乗じて得た数(一人未満の端数があるときは、その端数を四捨五入する。)を乗じて得た額の合算額とする。

(軽油引取税交付金の基準額の算定方法)

第三十八条軽油引取税交付金の基準額は、地方税法第百四十四条の六十の規定によつて軽油引取税交付金を交付されるべき指定都市について、地方税法施行規則第八条の五十五の規定により前年度の八月、十二月及び三月に交付された軽油引取税交付金の額の合算額に、別表第十一に定める率を乗じて得た額に〇・七五を乗じて得た額とする。

(環境性能割交付金の基準額の算定方法)

第三十八条の二環境性能割交付金の基準額は、指定都市にあつては地方税法第百七十七条の六第一項に係るもの(以下「市町村道分」という。)及び同条第二項に係るもの(以下「一般国道等分」という。)ごとに第一号に定める方法によつて算定した額の合算額とし、指定都市以外の市町村にあつては第二号に定める方法によつて市町村ごとに算定した額とする。
一指定都市の基準額
算式
(A×B)×0.75
(A×B)及び(A×B)×0.75に千円未満の端数があるときは、その端数を四捨五入する。
算式の符号
A 前年度中に環境性能割交付金(平成28年地方税法等改正法による改正前の地方税法第143条の規定により市町村に交付するものとされる自動車取得税に係る交付金を含む。以下この条及び第50条において同じ。)として当該指定都市に対して交付された額のうち市町村道分の額又は一般国道等分の額
B 次の算式によつて算定した環境性能割交付金の指定都市別の市町村道分又は一般国道等分ごとの伸び率
算式
×0.7479
(a/b)、
及び
×0.7479に小数点以下4位未満の端数があるときは、その端数を四捨五入する。
算式の符号
a 符号Aに同じ
b 当該年度の前3年度に環境性能割交付金として当該指定都市に対して交付された額のうち市町村道分の額又は一般国道等分の額
二指定都市以外の市町村の基準額
算式
(A×B)×0.75
(A×B)及び(A×B)×0.75に千円未満の端数があるときは、その端数を四捨五入する。
算式の符号
A 前年度中に環境性能割交付金として当該市町村に対して交付された額
B 次の算式によつて算定した環境性能割交付金の伸び率
算式
×0.7479
(a/b)、
及び
×0.7479に小数点以下4位未満の端数があるときは、その端数を四捨五入する。
算式の符号
a 符号Aに同じ
b 当該年度の前3年度に環境性能割交付金として当該市町村に対して交付された額

(地方揮発油譲与税の基準税額の算定方法)

第三十九条地方揮発油譲与税の基準税額は、指定都市にあつては第一号及び第二号に定める額の合算額とし、指定都市以外の市町村にあつては第一号に定める額とする。
一地方揮発油譲与税法第四条の規定によつて前年度の六月、十一月及び三月に譲与された地方揮発油譲与税の額のうち同法第三条に係る額(改正前の地方道路譲与税法第四条の規定によつて前年度の六月、十一月及び三月に譲与された地方道路譲与税の額のうち改正前の地方道路譲与税法第三条に係る額を含む。)の合算額に〇・九七八を乗じて得た額
二地方揮発油譲与税法第四条の規定によつて前年度の六月、十一月及び三月に譲与された地方揮発油譲与税の額のうち同法第二条に係る額(改正前の地方道路譲与税法第四条の規定によつて前年度の六月、十一月及び三月に譲与された地方道路譲与税の額のうち改正前の地方道路譲与税法第二条に係る額を含む。)の合算額に〇・九八〇を乗じて得た額

(特別とん譲与税の基準税額の算定方法)

第四十条特別とん譲与税の基準税額は、特別とん譲与税法(昭和三十二年法律第七十七号)第二条の規定によつて特別とん譲与税を譲与されるべき開港所在市町村について、次の各号に定めるところによつて算定した額の合算額とする。ただし、当該合算額が負となる場合には、当該合算額は零とする。
一特別とん譲与税法第三条の規定によつて前年度の九月及び三月に譲与された特別とん譲与税の額の合算額(五百円未満の端数があるときはその端数金額を切り捨て、五百円以上千円未満の端数があるときはその端数金額を千円とする。次号において同じ。)に〇・九七〇を乗じて得た額
二前年度における前号の額の過大算定額又は過少算定額
次の算式によつて算定した額
算式
A-B
算式の符号
A 前年度の9月及び3月に譲与された特別とん譲与税の額の合算額
B 前年度における前号の額

(石油ガス譲与税の基準税額の算定方法)

第四十条の二石油ガス譲与税の基準税額は、石油ガス譲与税法第二条の規定によつて石油ガス譲与税を譲与されるべき指定都市について、同法第三条の規定により前年度の六月、十一月及び三月に譲与された石油ガス譲与税の額の合算額に一・〇六四を乗じて得た額とする。

(自動車重量譲与税の基準税額の算定方法)

第四十条の三自動車重量譲与税の基準税額は、自動車重量譲与税法第一条の規定によつて自動車重量譲与税を譲与されるべき市町村について、同法第三条の規定によつて前年度の六月、十一月及び三月に譲与された自動車重量譲与税の額の合算額に〇・九七五を乗じて得た額とする。

(航空機燃料譲与税の基準税額の算定方法)

第四十条の四航空機燃料譲与税の基準税額は、航空機燃料譲与税法第二条の規定によつて航空機燃料譲与税を譲与されるべき空港関係市町村について、同法第三条の規定により前年度の九月及び三月に譲与された航空機燃料譲与税の額の合算額に一・一三三を乗じて得た額とする。

(森林環境譲与税の基準税額の算定方法)

第四十条の五森林環境譲与税の基準税額は、森林環境税及び森林環境譲与税に関する法律第二十八条の規定によつて森林環境譲与税が譲与されるべき市町村について、同法第三十条の規定により前年度の九月及び三月に譲与された森林環境譲与税の額の合算額に〇・九九九を乗じて得た額とする。

(市町村交付金の基準額の算定方法)

第四十一条市町村交付金の基準額は、第一号及び第二号に定める額の合算額とする。ただし、当該合算額が負となる場合には、当該合算額は零とする。
一(一)から(六)までに定める額の合算額に〇・〇一〇五を乗じて得た額
(一)交付金法第二条第一項第一号の固定資産(同条第三項各号に掲げるものを除く。)について、各省各庁の長又は地方公共団体の長が交付金法第七条、第八条、第九条第二項(交付金法第十条第四項において準用する場合を含む。)又は第十条第一項若しくは第二項の規定により通知(当該年度の四月一日以後の通知を除く。)した価格を基礎として交付金法の規定(第十五条第一項及び第二項の規定を除くものとし、交付金法第五条及び第六条の規定の適用については、特別区は指定都市とみなす。)によつて算定した当該市町村の当該年度の交付金算定標準額
(二)交付金法第二条第一項第二号の固定資産(同条第四項に規定するものを除く。)について、各省各庁の長又は地方公共団体の長が交付金法第七条、第八条、第九条第二項(交付金法第十条第四項において準用する場合を含む。)又は第十条第一項若しくは第二項の規定により通知(当該年度の四月一日以後の通知を除く。)した価格を基礎として交付金法の規定(第十五条第一項及び第二項の規定を除くものとし、交付金法第五条及び第六条の規定の適用については、特別区は指定都市とみなす。)によつて算定した当該市町村の当該年度の交付金算定標準額
(三)交付金法第二条第一項第三号の国有林野に係る土地(同条第三項各号に掲げるものを除く。)について、各省各庁の長が交付金法第七条、第八条又は第九条第二項の規定により通知(当該年度の四月一日以後の通知を除く。)した価格を基礎として交付金法の規定(第十五条第一項及び第二項の規定を除く。)によつて算定した当該市町村の当該年度の交付金算定標準額
(四)交付金法第二条第一項第四号の固定資産(同法第二十条に規定する多目的ダムを含む。)について、各省各庁の長又は地方公共団体の長が同法第七条、第八条、第九条第二項(同法第十条第四項において準用する場合を含む。)又は第十条第一項若しくは第二項の規定により通知(当該年度の四月一日以後の通知を除く。)した価格を基礎として同法の規定(第十五条第一項及び第二項の規定を除くものとし、同法第五条及び第六条の規定の適用については、特別区は指定都市とみなす。)によつて算定した当該市町村の当該年度の交付金算定標準額
(五)交付金法第二条第一項第五号の水道施設若しくは工業用水道施設のうちダム以外のものの用に供する土地又は水道若しくは工業用水道の用に供するダムの用に供する固定資産(同法第二十条に規定する多目的ダムを含む。ただし、(四)に掲げるものを除く。)について、各省各庁の長又は地方公共団体の長が同法第七条、第八条又は第九条第二項の規定により通知(当該年度の四月一日以後の通知を除く。)した価格を基礎として同法の規定(第十五条第一項及び第二項の規定を除く。)によつて算定した当該市町村の当該年度の交付金算定標準額
(六)交付金法第二条第一項第六号の固定資産(同条第三項各号に掲げるものを除く。)について、各省各庁の長が交付金法第七条、第八条又は第九条第二項の規定により通知(当該年度の四月一日以後の通知を除く。)した価格を基礎として交付金法の規定(第十五条第一項及び第二項の規定を除く。)によつて算定した当該市町村の当該年度の交付金算定標準額
二前年度以前の年度の市町村交付金の基準額の算定に用いた交付金算定標準額について、当該各年度の四月一日以後において前号(一)から(六)までに規定する価格の通知が変更されたことその他の理由により総務大臣が過大又は過少と認めた額に〇・〇一〇五を乗じて得た額

第三節 低開発地域工業開発促進法等による特例

(都道府県に係る控除額の算定方法)

第四十二条低開発地域工業開発促進法(昭和三十六年法律第二百十六号。以下この条において「低工法」という。)第五条、近畿圏の近郊整備区域及び都市開発区域の整備及び開発に関する法律(昭和三十九年法律第百四十五号。以下この条及び次条において「近畿圏法」という。)第四十七条、首都圏の近郊整備地帯及び都市開発区域の整備に関する法律(昭和三十三年法律第九十八号。以下この条及び次条において「首都圏法」という。)第三十三条の二、中部圏の都市整備区域、都市開発区域及び保全区域の整備等に関する法律(昭和四十二年法律第百二号。以下この条及び次条において「中部圏法」という。)第八条、沖縄振興特別措置法(以下この条及び次条において「沖縄振興法」という。)第九条、第三十二条、第三十七条、第五十一条、第五十八条及び第八十九条、沖縄振興特別措置法の一部を改正する法律(平成二十四年法律第十三号。以下この条及び次条において「平成二十四年沖縄振興法改正法」という。)附則第二条、沖縄振興特別措置法の一部を改正する法律(平成二十六年法律第七号。以下この条及び次条において「平成二十六年沖縄振興法改正法」という。)附則第五条、沖縄振興特別措置法等の一部を改正する法律(令和四年法律第七号。以下この条及び次条において「令和四年沖縄振興法等改正法」という。)附則第八条、半島振興法第十七条、総合保養地域整備法(昭和六十二年法律第七十一号。以下この条及び次条において「リゾート法」という。)第九条、関西文化学術研究都市建設促進法(昭和六十二年法律第七十二号。以下この条及び次条において「関西学研法」という。)第十一条、多極分散型国土形成促進法(昭和六十三年法律第八十三号。以下この条及び次条において「多極法」という。)第十四条、過疎地域持続的発展法第二十四条、過疎地域持続的発展法附則第四条第三項の規定によりなお効力を有することとされた過疎地域自立促進特別措置法(以下この条において「旧過疎法」という。)第三十一条、山村振興法第十四条、離島振興法第二十条、地方拠点都市地域の整備及び産業業務施設の再配置の促進に関する法律(平成四年法律第七十六号。以下この条及び次条において「地方拠点法」という。)第十二条及び第三十六条、特定農山村地域における農林業等の活性化のための基盤整備の促進に関する法律(平成五年法律第七十二号。以下この条及び次条において「特定農山村法」という。)第十六条、大阪湾臨海地域開発整備法(平成四年法律第百十号。以下この条及び次条において「ベイエリア法」という。)第十四条、奄美振興法第三十八条、奄美群島振興開発特別措置法及び小笠原諸島振興開発特別措置法の一部を改正する法律(平成二十六年法律第六号。以下この条において「奄美振興法等改正法」という。)附則第二条、原子力発電施設等立地地域の振興に関する特別措置法(平成十二年法律第百四十八号。以下この条及び次条において「原発等立地地域振興法」という。)第十条、地域経済牽引事業の促進による地域の成長発展の基盤強化に関する法律(平成十九年法律第四十号。次条において「地域未来投資促進法」という。)第二十六条、企業立地の促進等による地域における産業集積の形成及び活性化に関する法律の一部を改正する法律(平成二十九年法律第四十七号)附則第三条第二項の規定によりなお従前の例によることとされた同法による改正前の企業立地の促進等による地域における産業集積の形成及び活性化に関する法律第二十条並びに地域再生法(平成十七年法律第二十四号)第十七条の六の規定(以下「課税免除等の特例規定」と総称する。)によつて都道府県の基準財政収入額から控除する額は、次の各号に掲げる区分に従い、それぞれ当該各号に定める方法によつて算定した額の合算額とする。
一事業税
(一)及び(二)によつて算定した額の合算額とする。
(一)個人事業税
次の算式によつて算定した額
算式
A×0.0375+B×(0.0375-C×0.75)+D×0.03+E×(0.03-F×0.75)+G×(0.0375-H×0.75)+I×(0.0375-J×0.75)+K×(0.0375-L×0.75)+M×0.01875×α+N×0.009375×α+O×0.0046875×α+P×(0.0375-Q×0.75)×α+R×(0.0375-S×0.75)×α+T×(0.0375-U×0.75)×α
算式の符号
A 低工法第5条、沖縄振興法第9条、第32条、第37条、第51条、第58条及び第89条、平成24年沖縄振興法改正法附則第2条、平成26年沖縄振興法改正法附則第5条、令和4年沖縄振興法等改正法附則第8条、過疎地域持続的発展法第24条、旧過疎法第31条、離島振興法第20条、奄美振興法第38条並びに奄美振興法等改正法附則第2条の規定の適用を受ける課税免除に係る課税標準額のうち個人の行う事業(畜産業、水産業及び薪炭製造業を除く。)に係るもの
B 低工法第5条、沖縄振興法第9条、第32条、第37条、第51条、第58条及び第89条、平成24年沖縄振興法改正法附則第2条、平成26年沖縄振興法改正法附則第5条、令和4年沖縄振興法等改正法附則第8条、過疎地域持続的発展法第24条、旧過疎法第31条、離島振興法第20条、奄美振興法第38条並びに奄美振興法等改正法附則第2条の規定の適用を受ける不均一課税に係る課税標準額のうち個人の行う事業(畜産業、水産業及び薪炭製造業を除く。)に係るもの
C 当該都道府県が符号Bに係る不均一課税に際して適用する税率。ただし、当該率が0.05を超えるときは、0.05とする。
D 沖縄振興法第89条、令和4年沖縄振興法等改正法附則第8条、過疎地域持続的発展法第24条、旧過疎法第31条、離島振興法第20条、奄美振興法第38条及び奄美振興法等改正法附則第2条の規定の適用を受ける課税免除に係る課税標準額のうち個人の行う畜産業、水産業又は薪炭製造業に係るもの
E 沖縄振興法第89条、令和4年沖縄振興法等改正法附則第8条、過疎地域持続的発展法第24条、旧過疎法第31条、離島振興法第20条、奄美振興法第38条及び奄美振興法等改正法附則第2条の規定の適用を受ける不均一課税に係る課税標準額のうち個人の行う畜産業、水産業又は薪炭製造業に係るもの
F 当該都道府県が符号Eに係る不均一課税に際して適用する税率。ただし、当該率が0.04を超えるときは、0.04とする。
G 半島振興法第17条及び原発等立地地域振興法第10条の規定の適用を受ける不均一課税に係る課税標準額で個人の行う事業に係るもののうちその適用の初年度に係るもの
H 当該都道府県が符号Gに係る不均一課税に際して適用する税率。ただし、当該率が0.05を超えるときは0.05とし、当該率が0.025に満たないときは0.025とする。
I 符号Gに同じ。この場合において、符号G中「初年度」とあるのは「第二年度分」と読み替えるものとする。
J 符号Hに同じ。この場合において、符号H中「符号G」とあるのは「符号I」と、「0.025」とあるのは「0.0375」とそれぞれ読み替えるものとする。
K 符号Gに同じ。この場合において、符号G中「初年度」とあるのは「第三年度分」と読み替えるものとする。
L 符号Hに同じ。この場合において、符号H中「符号G」とあるのは「符号K」と、「0.025」とあるのは「0.04375」とそれぞれ読み替えるものとする。
M 地域再生法第17条の6の規定の適用を受ける課税免除に係る課税標準額(同条第1号の措置に係るものに限る。)で個人の行う事業に係るもののうちその適用の初年度に係るもの
N 符号Mに同じ。この場合において、符号M中「初年度」とあるのは「第二年度分」と読み替えるものとする。
O 符号Mに同じ。この場合において、符号M中「初年度」とあるのは「第三年度分」と読み替えるものとする。
P 地域再生法第17条の6の規定の適用を受ける不均一課税に係る課税標準額(同条第1号の措置に係るものに限る。)で個人の行う事業に係るもののうちその適用の初年度に係るもの
Q 当該都道府県が符号Pに係る不均一課税に際して適用する税率。ただし、当該率が0.05を超えるときは0.05とし、当該率が0.025に満たないときは0.025とする。
R 符号Pに同じ。この場合において、符号P中「初年度」とあるのは「第二年度分」と読み替えるものとする。
S 符号Qに同じ。この場合において、符号Q中「符号P」とあるのは「符号R」と、「0.025」とあるのは「0.0375」とそれぞれ読み替えるものとする。
T 符号Pに同じ。この場合において、同符号中「初年度」とあるのは「第三年度分」と読み替えるものとする。
U 符号Qに同じ。この場合において、符号Q中「符号P」とあるのは「符号T」と、「0.025」とあるのは「0.04375」とそれぞれ読み替えるものとする。
α 地域再生法第5条第18項(同法第7条第2項において準用する場合を含む。)の規定により当該都道府県の区域に係る同法第5条第1項の地域再生計画(同条第4項第5号に規定する地方活力向上地域等特定業務施設整備事業に関する事項が記載されたものに限る。)が公示された日(地域再生法の一部を改正する法律(平成27年法律第49号)の施行の日以降最初に公示された日に限る。)の属する年度前3年度以内の各年度に係る地方交付税法第14条の規定により算定した基準財政収入額を同法第11条の規定により算定した基準財政需要額で除して得た数値を合算したものの3分の1の数値(以下この条及び次条において「財政力要件の判定に用いた財政力指数」という。)が0.52未満の都道府県にあつては1、0.52以上0.69未満の都道府県にあつては2/3、0.69以上0.85未満の都道府県にあつては1/3。ただし、地域再生法第十七条の六の地方公共団体等を定める省令の一部を改正する省令(平成30年総務省令第33号。以下この条及び次条において「平成30年地域再生省令改正省令」という。)の施行の日前に設備を新設し、又は増設した事業者に係る不均一課税については、財政力要件の判定に用いた財政力指数が0.47未満の都道府県にあつては1、0.47以上0.63未満の都道府県にあつては2/3、0.63以上0.78未満の都道府県にあつては1/3とする。
(二)法人事業税
次の算式によつて算定した額
算式
Σa×b×0.75+Σc×(d-e)×0.75+Σf×g×0.75+Σh×(i-j)×0.75+Σk×(l-m)×0.75+Σn×(o-p)×0.75+Σq×(r-s)×0.75+Σt×u×0.375×α+Σv×w×0.1875×α+Σx×y×0.09375×α+Σz×(aa-ab)×0.75×α+Σac×(ad-ae)×0.75×α+Σaf×(ag-ah)×0.75×α+Σai×aj×0.375×α+Σak×al×0.1875×α+Σam×an×0.09375×α+Σao×(ap-aq)×0.75×α+Σar×(as-at)×0.75×α+Σau×(av-aw)×0.75×α
算式の符号
a 低工法第5条、沖縄振興法第9条、第32条、第37条、第51条、第58条及び第89条、平成24年沖縄振興法改正法附則第2条、平成26年沖縄振興法改正法附則第5条、令和4年沖縄振興法等改正法附則第8条、過疎地域持続的発展法第24条、旧過疎法第31条、離島振興法第20条、奄美振興法第38条並びに奄美振興法等改正法附則第2条の規定の適用を受ける課税免除に係る所得金額を課税標準とする法人の税率区分ごとの課税標準額
b 符号aに係る標準税率
c 低工法第5条、沖縄振興法第9条、第32条、第37条、第51条、第58条及び第89条、平成24年沖縄振興法改正法附則第2条、平成26年沖縄振興法改正法附則第5条、令和4年沖縄振興法等改正法附則第8条、過疎地域持続的発展法第24条、旧過疎法第31条、離島振興法第20条、奄美振興法第38条並びに奄美振興法等改正法附則第2条の規定の適用を受ける不均一課税に係る所得金額を課税標準とする法人の税率区分ごとの課税標準額
d 符号cに係る標準税率
e 当該都道府県がcに係る不均一課税に際して適用する税率区分ごとの税率。ただし、当該率がそれぞれの税率区分に係る標準税率を超えるときは、当該標準税率とする。
f 沖縄振興法第9条、第32条、第37条、第51条及び第58条の規定の適用を受ける課税免除に係る課税標準額のうち収入金額を課税標準とする法人の課税標準額
g 符号fに係る標準税率
h 沖縄振興法第9条、第32条、第37条、第51条及び第58条の規定の適用を受ける不均一課税に係る課税標準額のうち収入金額を課税標準とする法人の課税標準額
i 符号hに係る標準税率
j 当該都道府県がhに係る不均一課税に際して適用する税率。ただし、当該率が標準税率を超えるときは、当該標準税率とする。
k 半島振興法第17条及び原発等立地地域振興法第10条の規定の適用を受ける不均一課税に係る所得金額を課税標準とする法人の税率区分ごとの課税標準額のうちその適用の初年度に係るもの
l 符号kに係る標準税率
m 当該都道府県が符号kに係る不均一課税に際して適用する税率区分ごとの税率。ただし、当該率がそれぞれの税率区分に係る標準税率を超えるときは、当該標準税率とし、当該率がそれぞれの税率区分に係る標準税率に0.5を乗じて得た率に満たないときは、当該標準税率に0.5を乗じて得た率とする。
n 符号kに同じ。この場合において、符号k中「初年度」とあるのは「第二年度分」と読み替えるものとする。
o 符号nに係る標準税率
p 符号mに同じ。この場合において、符号m中「符号k」とあるのは「符号n」と、「0.5」とあるのは「0.75」とそれぞれ読み替えるものとする。
q 符号kに同じ。この場合において、符号k中「初年度」とあるのは「第三年度分」と読み替えるものとする。
r 符号qに係る標準税率
s 符号mに同じ。この場合において、符号m中「符号k」とあるのは「符号q」と、「0.5」とあるのは「0.875」とそれぞれ読み替えるものとする。
t 地域再生法第17条の6の規定の適用を受ける課税免除に係る課税標準額(同条第1号の措置に係るものに限る。)で所得金額を課税標準とする法人の税率区分ごとの課税標準額のうちその適用の初年度に係るもの
u 符号tに係る標準税率
v 符号tに同じ。この場合において、符号t中「初年度」とあるのは「第二年度分」と読み替えるものとする。
w 符号vに係る標準税率
x 符号tに同じ。この場合において、符号t中「初年度」とあるのは「第三年度分」と読み替えるものとする。
y 符号xに係る標準税率
z 地域再生法第17条の6の規定の適用を受ける不均一課税に係る課税標準額(同条第1号の措置に係るものに限る。)で所得金額を課税標準とする法人の税率区分ごとの課税標準額のうちその適用の初年度に係るもの
aa 符号zに係る標準税率
ab 当該都道府県が符号zに係る不均一課税に際して適用する税率区分ごとの税率。ただし、当該率がそれぞれの税率区分に係る標準税率を超えるときは、当該標準税率とし、当該率がそれぞれの税率区分に係る標準税率に0.5を乗じて得た率に満たないときは、当該標準税率に0.5を乗じて得た率とする。
ac 符号zに同じ。この場合において、符号z中「初年度」とあるのは「第二年度分」と読み替えるものとする。
ad 符号acに係る標準税率
ae 符号abに同じ。この場合において、符号ab中「符号z」とあるのは「符号ac」と、「0.5」とあるのは「0.75」とそれぞれ読み替えるものとする。
af 符号zに同じ。この場合において、符号z中「初年度」とあるのは「第三年度分」と読み替えるものとする。
ag 符号afに係る標準税率
ah 符号abに同じ。この場合において、符号ab中「符号z」とあるのは「符号af」と、「0.5」とあるのは「0.875」とそれぞれ読み替えるものとする。
ai 地域再生法第17条の6の規定の適用を受ける課税免除に係る課税標準額(同条第1号の措置に係るものに限る。)で収入金額を課税標準とする法人の税率区分ごとの課税標準額のうちその適用の初年度に係るもの
aj 符号aiに係る標準税率
ak 符号aiに同じ。この場合において、符号ai中「初年度」とあるのは「第二年度分」と読み替えるものとする。
al 符号akに係る標準税率
am 符号aiに同じ。この場合において、符号ai中「初年度」とあるのは「第三年度分」と読み替えるものとする。
an 符号amに係る標準税率
ao 地域再生法第17条の6の規定の適用を受ける不均一課税に係る課税標準額(同条第1号の措置に係るものに限る。)で収入金額を課税標準とする法人の税率区分ごとの課税標準額のうちその適用の初年度に係るもの
ap 符号aoに係る標準税率
aq 当該都道府県が符号aoに係る不均一課税に際して適用する税率区分ごとの税率。ただし、当該率がそれぞれの税率区分に係る標準税率を超えるときは、当該標準税率とし、当該率がそれぞれの税率区分に係る標準税率に0.5を乗じて得た率に満たないときは、当該標準税率に0.5を乗じて得た率とする。
ar 符号aoに同じ。この場合において、符号ao中「初年度」とあるのは「第二年度分」と読み替えるものとする。
as 符号arに係る標準税率
at 符号aqに同じ。この場合において、符号aq中「符号ao」とあるのは「符号ar」と、「0.5」とあるのは「0.75」とそれぞれ読み替えるものとする。
au 符号aoに同じ。この場合において、符号ao中「初年度」とあるのは「第三年度分」と読み替えるものとする。
av 符号auに係る標準税率
aw 符号aqに同じ。この場合において、符号aq中「符号ao」とあるのは「符号au」と、「0.5」とあるのは「0.875」とそれぞれ読み替えるものとする。
α (一)の算式の符号αに同じ。
二不動産取得税
次の算式によつて算定した額
算式
A×0.0225+B×(0.0225-C×0.75)+D×0.030+E×(0.030-F×0.75)+G×0.0225×α+H×(0.0225-I×0.75)×α+J×0.030×α+K×(0.030-L×0.75)×α
算式の符号
A 課税免除等の特例規定の適用を受ける土地の課税免除に係る課税標準額。ただし、地域再生法第17条の6の規定の適用を受けるものを除く。
B 課税免除等の特例規定の適用を受ける土地の不均一課税に係る課税標準額。ただし、地域再生法第17条の6の規定の適用を受けるもののうち、同条第1号の措置に係るものを除く。
C 当該都道府県が符号Bに係る不均一課税に際して適用する税率。ただし、当該率が0.03を超えるときは0.03とし、近畿圏法第47条、首都圏法第33条の2及び中部圏法第8条の規定の適用に係るものにあつては当該率が0.015に満たないときは0.015とする。
D 課税免除等の特例規定の適用を受ける家屋の課税免除に係る課税標準額。ただし、地域再生法第17条の6の規定の適用を受けるものを除く。
E 課税免除等の特例規定の適用を受ける家屋の不均一課税に係る課税標準額。ただし、地域再生法第17条の6の規定の適用を受けるもののうち、同条第1号の措置に係るものを除く。
F 当該都道府県が符号Eに係る不均一課税に際して適用する税率。ただし、当該率が0.04を超えるときは0.04とし、近畿圏法第47条、首都圏法第33条の2及び中部圏法第8条の規定の適用に係るものにあつては当該率が0.02に満たないときは0.02とする。
G 地域再生法第17条の6の規定の適用を受ける土地の課税免除に係る課税標準額
H 地域再生法第17条の6の規定の適用を受ける土地の不均一課税に係る課税標準額のうち、同条第1号の措置に係るもの
I 当該都道府県が符号Hに係る不均一課税に際して適用する税率。ただし、当該率が0.03を超えるときは0.03とする。
J 地域再生法第17条の6の規定の適用を受ける家屋の課税免除に係る課税標準額
K 地域再生法第17条の6の規定の適用を受ける家屋の不均一課税に係る課税標準額のうち、同条第1号の措置に係るもの
L 当該都道府県が符号Kに係る不均一課税に際して適用する税率。ただし、当該率が0.04を超えるときは0.04とする。
α 財政力要件の判定に用いた財政力指数が0.52未満の都道府県にあつては1、0.52以上0.69未満の都道府県にあつては2/3、0.69以上0.85未満の都道府県にあつては1/3。ただし、平成30年地域再生省令改正省令の施行の日前に新設され、又は増設された設備に係る不均一課税については、財政力要件の判定に用いた財政力指数が0.47未満の都道府県にあつては1、0.47以上0.63未満の都道府県にあつては2/3、0.63以上0.78未満の都道府県にあつては1/3とする。
三固定資産税
第二十七条第一号から第三号までの区分ごとに次の算式によつて算定した額の合算額
算式
A×0.0105+B×(0.0105-C×0.75)+D×(0.0105-E×0.75)+F×(0.0105-G×0.75)+H×(0.0105-I×0.75)+J×(0.0105-K×0.75)+L×0.0105×α+M×0.007875×α+N×0.00525×α+O×(0.0105-P×0.75)×α+Q×(0.0105-R×0.75)×α+S×(0.0105-T×0.75)×α
算式の符号
A 課税免除等の特例規定の適用を受ける課税免除に係る課税標準額。ただし、地域再生法第17条の6の規定の適用を受けるものを除く。
B 課税免除等の特例規定の適用を受ける不均一課税に係る課税標準額(令和3年改正前地方税法附則第64条及び令和5年改正前地方税法附則第64条に規定するものにあつては、これらの規定の適用がないものとした場合に課税標準となるべき価格とし、地域再生法第17条の6の規定の適用を受けるもののうち、同条第1号の措置に係るものを除く。)。ただし、近畿圏法第47条、首都圏法第33条の2、中部圏法第8条、半島振興法第17条、リゾート法第9条、関西学研法第11条、多極法第14条、山村振興法第14条、地方拠点法第12条、特定農山村法第16条、ベイエリア法第14条、原発等立地地域振興法第10条及び地域再生法第17条の6の規定(以下この条及び次条において「不均一課税の特例規定」と総称する。)の適用を受けるものに係るものにあつては、その適用の初年度に係るものに限る。
C 当該都道府県が符号Bに係る不均一課税に際して適用する税率。ただし、当該率が0.014を超えるときは0.014とし、近畿圏法第47条、首都圏法第33条の2及び中部圏法第8条の規定の適用に係るものにあつては当該率が0.007に満たないときは0.007とする。
D 不均一課税の特例規定の適用を受ける不均一課税に係る課税標準額(令和3年改正前地方税法附則第64条及び令和5年改正前地方税法附則第64条に規定するものにあつては、これらの規定の適用がないものとした場合に課税標準となるべき価格とし、地域再生法第17条の6の規定の適用を受けるもののうち、同条第1号の措置に係るものを除く。)のうちその適用の第二年度分に係るもの
E 当該都道府県が符号Dに係る不均一課税に際して適用する税率。ただし、当該率が0.014を超えるときは0.014とし、近畿圏法第47条、首都圏法第33条の2及び中部圏法第8条の規定の適用に係るものにあつては当該率が0.0105に満たないときは0.0105とし、関西学研法第11条、山村振興法第14条及び特定農山村法第16条の規定の適用に係るものにあつては当該率が0.007に満たないときは0.007とし、半島振興法第17条、リゾート法第9条、多極法第14条、地方拠点法第12条、ベイエリア法第14条及び原発等立地地域振興法第10条の規定の適用に係るものにあつては当該率が0.0035に満たないときは0.0035とし、地域再生法第17条の6の規定の適用を受けるものにあつては当該率が0.00467に満たないときは0.00467とする。
F 符号Dに同じ。この場合において、符号D中「第二年度分」とあるのは「第三年度分」と読み替えるものとする。
G 符号Eに同じ。この場合において、符号E中「符号D」とあるのは「符号F」と、「0.0105」とあるのは「0.01225」と、「0.007」とあるのは「0.0105」と、「0.0035」とあるのは「0.007」と、「0.00467」とあるのは「0.00933」とそれぞれ読み替えるものとする。
H 沖縄振興法第9条、第32条、第37条、第51条、第58条及び第89条、平成24年沖縄振興法改正法附則第2条、平成26年沖縄振興法改正法附則第5条並びに令和4年沖縄振興法等改正法附則第8条の規定の適用を受ける不均一課税に係る課税標準額(令和3年改正前地方税法附則第64条及び令和5年改正前地方税法附則第64条に規定するものにあつては、これらの規定の適用がないものとした場合に課税標準となるべき価格)のうちその適用の第四年度分に係るもの
I 当該都道府県が符号Hに係る不均一課税に際して適用する税率。ただし、当該率が0.014を超えるときは0.014とする。
J 符号Hに同じ。この場合において、符号H中「第四年度分」とあるのは「第五年度分」と読み替えるものとする。
K 符号Iに同じ。この場合において、符号I中「符号H」とあるのは「符号J」と読み替えるものとする。
L 地域再生法第17条の6の規定の適用を受ける課税免除に係る課税標準額のうちその適用の初年度に係るもの
M 符号Lに同じ。この場合において、符号L中「初年度」とあるのは「第二年度分」と読み替えるものとする。
N 符号Lに同じ。この場合において、符号L中「初年度」とあるのは「第三年度分」と読み替えるものとする。
O 地域再生法第17条の6の規定の適用を受ける不均一課税に係る課税標準額(令和3年改正前地方税法附則第64条及び令和5年改正前地方税法附則第64条に規定するものにあつては、これらの規定の適用がないものとした場合に課税標準となるべき価格とし、地域再生法第17条の6第1号の措置に係るものに限る。)のうちその適用の初年度に係るもの
P 当該都道府県が符号Oに係る不均一課税に際して適用する税率。ただし、当該率が0.014を超えるときは0.014とする。
Q 符号Oに同じ。この場合において、符号O中「初年度」とあるのは「第二年度分」と読み替えるものとする。
R 当該都道府県が符号Qに係る不均一課税に際して適用する税率。ただし、当該率が0.014を超えるときは0.014とし、当該率が0.0035に満たないときは0.0035とする。
S 符号Oに同じ。この場合において、符号O中「初年度」とあるのは「第三年度分」と読み替えるものとする。
T 符号Rに同じ。この場合において、符号R中「符号Q」とあるのは「符号S」と、「0.0035」とあるのは「0.007」と読み替えるものとする。
α 前号算式の符号αに同じ。

(市町村に係る控除額の算定方法)

第四十三条課税免除等の特例規定(この条においては、水源地域対策特別措置法(昭和四十八年法律第百十八号。以下この条において「水特法」という。)第十三条の規定を含む。)及び法第十四条の二の規定によつて市町村の基準財政収入額から控除する額は、次の各号に掲げる区分に従い、それぞれ当該各号に定める方法によつて算定した額の合算額とする。
一課税免除等の特例規定によつて市町村の基準財政収入額から控除する額は、課税免除等の特例規定の適用を受ける課税標準額を、土地に係るもの、家屋に係るもの及び第三十二条第四項各号に定める区分ごとの償却資産に係るものに区分し、当該区分ごとに次の算式によつて算定した額を合算した額とする。
算式
算式の符号
A 課税免除等の特例規定の適用を受ける課税免除に係る課税標準額。ただし、地域未来投資促進法第26条及び地域再生法第17条の6の規定の適用を受けるものを除く。
B 課税免除等の特例規定の適用を受ける不均一課税に係る課税標準額(令和3年改正前地方税法附則第64条及び令和5年改正前地方税法附則第64条に規定するものにあつては、これらの規定の適用がないものとした場合に課税標準となるべき価格とし、地域未来投資促進法第26条の規定の適用を受けるもの並びに地域再生法第17条の6の規定の適用を受けるもののうち同条第1号の措置に係るもの及び同条第2号の措置に係るものであつて、平成29年4月1日以後に設備を新設し、又は増設した事業者に係る不均一課税に係るものを除く。)。ただし、不均一課税の特例規定の適用を受けるものに係るものにあつては、その適用の初年度分に係るものに限る。
C 当該市町村が符号Bに係る不均一課税に際して適用する税率。ただし、当該率が0.014を超えるときは0.014とし、近畿圏法第47条、首都圏法第33条の2、中部圏法第8条及び水特法第13条の規定の適用に係るものにあつては当該率が0.007に満たないときは0.007とする。
D 不均一課税の特例規定の適用を受ける不均一課税に係る課税標準額(令和3年改正前地方税法附則第64条及び令和5年改正前地方税法附則第64条に規定するものにあつては、これらの規定の適用がないものとした場合に課税標準となるべき価格とし、地域再生法第17条の6の規定の適用を受けるもののうち、同条第1号の措置に係るもの及び同条第2号の措置に係るものであつて、平成29年4月1日以後に設備を新設し、又は増設した事業者に係る不均一課税に係るものを除く。)のうちその適用の第二年度分に係るもの
E 当該市町村が符号Dに係る不均一課税に際して適用する税率。ただし、当該率が0.014を超えるときは0.014とし、近畿圏法第47条、首都圏法第33条の2及び中部圏法第8条の規定の適用に係るものにあつては当該率が0.0105に満たないときは0.0105とし、関西学研法第11条、山村振興法第14条、特定農山村法第16条及び水特法第13条の規定の適用に係るものにあつては当該率が0.007に満たないときは0.007とし、半島振興法第17条、リゾート法第9条、多極法第14条、地方拠点法第12条、ベイエリア法第14条及び原発等立地地域振興法第10条の規定の適用に係るものにあつては当該率が0.0035に満たないときは0.0035とし、地域再生法第17条の6の規定の適用を受けるものにあつては当該率が0.00467に満たないときは0.00467とする。
F 符号Dに同じ。この場合において、符号D中「第二年度分」とあるのは「第三年度分」と読み替えるものとする。
G 符号Eに同じ。この場合において、符号E中「符号D」とあるのは「符号F」と、「0.0105」とあるのは「0.01225」と、「0.007」とあるのは「0.0105(水特法第13条の規定の適用に係るものにあつては0.007)」と、「0.0035」とあるのは「0.007」とそれぞれ読み替えるものとする。
H 沖縄振興法第9条、第32条、第37条、第51条、第58条及び第89条、平成24年沖縄振興法改正法附則第2条、平成26年沖縄振興法改正法附則第5条並びに令和4年沖縄振興法等改正法附則第8条の規定の適用を受ける不均一課税に係る課税標準額(令和3年改正前地方税法附則第64条及び令和5年改正前地方税法附則第64条に規定するものにあつては、これらの規定の適用がないものとした場合に課税標準となるべき価格)のうちその適用の第四年度分に係るもの
I 当該市町村が符号Hに係る不均一課税に際して適用する税率。ただし、当該率が0.014を超えるときは0.014とする。
J 符号Hに同じ。この場合において、符号H中「第四年度分」とあるのは「第五年度分」と読み替えるものとする。
K 符号Iに同じ。この場合において、符号I中「符号H」とあるのは「符号J」と読み替えるものとする。
L 地域再生法第17条の6の規定の適用を受ける課税免除に係る課税標準額のうちその適用の初年度に係るもの
M 符号Lに同じ。この場合において、符号L中「初年度」とあるのは「第二年度分」と読み替えるものとする。
N 符号Lに同じ。この場合において、符号L中「初年度」とあるのは「第三年度分」と読み替えるものとする。
O 地域再生法第17条の6の規定の適用を受ける不均一課税に係る課税標準額(令和3年改正前地方税法附則第64条及び令和5年改正前地方税法附則第64条に規定するものにあつては、これらの規定の適用がないものとした場合に課税標準となるべき価格とし、地域再生法第17条の6第1号の措置に係るものに限る。)のうちその適用の初年度に係るもの
P 当該市町村が符号Oに係る不均一課税に際して適用する税率。ただし、当該率が0.014を超えるときは0.014とする。
Q 符号Oに同じ。この場合において、符号O中「初年度」とあるのは「第二年度分」と読み替えるものとする。
R 当該市町村が符号Qに係る不均一課税に際して適用する税率。ただし、当該率が0.014を超えるときは0.014とし、当該率が0.0035に満たないときは0.0035とする。
S 符号Oに同じ。この場合において、符号O中「初年度」とあるのは「第三年度分」と読み替えるものとする。
T 符号Rに同じ。この場合において、符号R中「符号Q」とあるのは「符号S」と、「0.0035」とあるのは「0.007」と読み替えるものとする。
U 地域再生法第17条の6の規定の適用を受ける不均一課税に係る課税標準額(令和3年改正前地方税法附則第64条及び令和5年改正前地方税法附則第64条に規定するものにあつては、これらの規定の適用がないものとした場合に課税標準となるべき価格とし、地域再生法第17条の6第2号の措置に係るものであつて、平成29年4月1日以後に設備を新設し、又は増設した事業者に係る不均一課税に係るものに限る。)のうちその適用の初年度に係るもの
V 当該市町村が符号Uに係る不均一課税に際して適用する税率。ただし、当該率が0.014を超えるときは0.014とする。
W 符号Uに同じ。この場合において、符号U中「初年度」とあるのは「第二年度分」と読み替えるものとする。
X 当該市町村が符号Wに係る不均一課税に際して適用する税率。ただし、当該率が0.014を超えるときは0.014とし、当該率が0.00467に満たないときは0.00467とする。
Y 符号Uに同じ。この場合において、符号U中「初年度」とあるのは「第三年度分」と読み替えるものとする。
Z 符号Xに同じ。この場合において、符号X中「符号W」とあるのは「符号Y」と、「0.00467」とあるのは「0.00933」と読み替えるものとする。
AA 地域未来投資促進法第26条の規定の適用を受ける課税免除に係る課税標準額
AB 地域未来投資促進法第26条の規定の適用を受ける不均一課税に係る課税標準額(令和3年改正前地方税法附則第64条及び令和5年改正前地方税法附則第64条に規定するものにあつては、これらの規定の適用がないものとした場合に課税標準となるべき価格とする。)
AC 当該市町村が符号ABに係る不均一課税に際して適用する税率。ただし、当該率が0.014を超えるときは0.014とする。
β 財政力要件の判定に用いた財政力指数が0.64未満の市町村にあつては1、0.64以上0.79未満の市町村にあつては2/3、0.79以上0.93未満の市町村にあつては1/3。ただし、平成30年地域再生省令改正省令の施行の日前に新設され、又は増設された設備に係る不均一課税については、財政力要件の判定に用いた財政力指数が0.63未満の市町村にあつては1、0.63以上0.77未満の市町村にあつては2/3、0.77以上0.90未満の市町村にあつては1/3とする。
γ 財政力要件の判定に用いた財政力指数が0.63未満の市町村にあつては1、0.63以上0.74未満の市町村にあつては1/2
δ 地域未来投資促進法第4条第6項の規定による地域経済牽引事業の促進に関する基本的な計画の同意の日の属する年度前3年度以内の各年度に係る地方交付税法第14条の規定により算定した基準財政収入額を同法第11条の規定により算定した基準財政需要額で除して得た数値を合算したものの3分の1の数値が0.67未満の市町村にあつては1、0.67以上0.80未満の市町村にあつては1/3
二法第十四条の二の規定によつて市町村の基準財政収入額から控除する額は、次の(一)及び(二)によつて算定した額を合算した額とする。
(一)法第十四条の二に規定する土地又は家屋で、(二)に規定するもの以外のもの
法第十四条の二の規定の適用を受ける課税標準額を土地に係るもの及び家屋に係るものに区分し、当該区分ごとにそれぞれ次のア及びイの算式によつて算定した額を合算した額
ア土地に係るもの
算式
A×0.0105+B×(0.0105-C×0.75)
算式の符号
A 法第14条の2の規定の適用を受ける課税免除に係る課税標準額
B 法第14条の2の規定の適用を受ける不均一課税に係る課税標準額
C 当該市町村が符号Bに係る不均一課税に際して適用する税率。ただし、当該税率が0.014を超えるときは0.014とする。
イ家屋に係るもの
算式
A×0.00525+B×(0.0105-C×0.75)
算式の符号
A アの算式の符号Aに同じ。
B アの算式の符号Bに同じ。この場合において、アの算式の符号B中「課税標準額」とあるのは「課税標準額(令和3年改正前地方税法附則第64条及び令和5年改正前地方税法附則第64条に規定するものにあつては、これらの規定の適用がないものとした場合に課税標準となるべき価格とする。)」と読み替えるものとする。
C 当該市町村が符号Bに係る不均一課税に際して適用する税率。ただし、当該税率が0.007に満たないときは0.007とし、0.014を超えるときは0.014とする。
(二)明日香村における歴史的風土の保存及び生活環境の整備等に関する特別措置法(昭和五十五年法律第六十号)第三条の規定により指定を受けた第二種歴史的風土保存地区の区域内における土地又は家屋
法第十四条の二の規定の適用を受ける課税標準額を土地に係るもの及び家屋に係るものに区分し、当該区分ごとにそれぞれ次のア及びイの算式によつて算定した額を合算した額
ア土地に係るもの
算式
A×0.00525+B×(0.0105-C×0.75)
算式の符号
A (一)のアの算式の符号Aに同じ。
B (一)のアの算式の符号Bに同じ。
C 明日香村が符号Bに係る不均一課税に際して適用する税率。ただし、当該税率が0.007に満たないときは0.007とし、0.014を超えるときは0.014とする。
イ家屋に係るもの
算式
A×0.002625+B×(0.0105-C×0.75)
算式の符号
A アの算式の符号Aに同じ。
B アの算式の符号Bに同じ。この場合において、(一)のアの算式の符号B中「課税標準額」とあるのは「課税標準額(令和3年改正前地方税法附則第64条及び令和5年改正前地方税法附則第64条に規定するものにあつては、これらの規定の適用がないものとした場合に課税標準となるべき価格とする。)」と読み替えるものとする。
C 明日香村が符号Bに係る不均一課税に際して適用する税率。ただし、当該税率が0.0105に満たないときは0.0105とし、0.014を超えるときは0.014とする。

(控除額算定の年度区分)

第四十四条課税免除等の特例規定及び法第十四条の二の規定によつて翌年度の基準財政収入額となるべき額から減収額に係る額を控除する場合における総務省令で定める日は、当該年度の五月一日とする。

第四節 補則

(廃置分合又は境界変更があつた場合の数値の修正)

第四十五条本章の規定によつて基準財政収入額を算定する場合において、当該年度の四月一日以前の日に地方団体の廃置分合又は境界変更があり、かつ、基準財政収入額の算定の基礎となる数値が同日前におけるものによることとされているときは、特別の定めがある場合のほか、当該廃置分合又は境界変更の区域に係る数値は、関係地方団体の長が協議して分別した数値による。

第四章 錯誤にかかる措置

(普通交付税の額の算定の基礎に用いた数の錯誤にかかる措置)

第四十六条普通交付税の額の算定の基礎に用いた数について錯誤があつたことを発見した場合における法第十九条第一項の規定による措置は、同条第二項に規定する場合を除き、次の各号に定めるところによる。
一錯誤にかかる数を普通交付税の額の算定の基礎に用いた年度(以下「交付年度」という。)分の基準財政需要額が基準財政収入額をこえるものとされた地方団体で、当該錯誤がなかつたものと仮定した場合においても基準財政需要額が基準財政収入額をこえるものについては、当該錯誤にかかる額を、錯誤があつたことを発見した年度(六月一日以後に発見した錯誤については、総務大臣が特に指定するものを除き、その翌年度とする。以下本条において「発見年度」という。)の基準財政需要額若しくは基準財政収入額に加算し、又はこれらから減額するものとする。
二交付年度分の基準財政需要額が基準財政収入額をこえるものとされた地方団体で、当該錯誤がなかつたものと仮定した場合においては基準財政需要額が基準財政収入額に満たなくなるものについては、交付年度分の基準財政需要額が基準財政収入額をこえる額(以下「財源不足額」という。)とされた額を、発見年度の基準財政需要額から減額するものとする。
三交付年度分の基準財政需要額が基準財政収入額に満たないものとされた地方団体で、当該錯誤がなかつたものと仮定した場合においては基準財政需要額が基準財政収入額をこえることとなるものについては、当該こえることとなる額を発見年度の基準財政需要額に加算するものとする。
2当該年度の四月一日以前に市町村の廃置分合又は境界変更があつた場合においては、関係市町村の前年度以前の年度の基準財政需要額又は基準財政収入額にかかる錯誤の額は、当該錯誤を生じた区域が明らかであるときはこれを当該区域が属することとなつた市町村の基準財政需要額若しくは基準財政収入額に加算し、又はこれらから減額するものとし、当該錯誤を生じた区域が明らかでないときは第四十九条又は第五十条の規定に準じて廃置分合又は境界変更にかかる区域ごとに算定した基準財政需要額又は基準財政収入額によつてこれをあん分し、当該あん分した額をそれぞれ廃置分合又は境界変更にかかる区域が属することとなつた市町村の基準財政需要額若しくは基準財政収入額に加算し、又はこれらから減額するものとする。
3第一項の規定によつて基準財政需要額若しくは基準財政収入額に加算し、又はこれらから減額する場合において、当該地方団体に対して交付すべき普通交付税の額が著しく少額となるときその他特別の理由があるときは、総務大臣は、当該加算し、又は減額すべき額の一部を発見年度の翌年度以降に繰り延べてそれぞれ加算し、又は減額することができる。
4前項の規定によつて基準財政需要額若しくは基準財政収入額に加算し、又はこれらから減額すべき額の一部を発見年度の翌年度以降に繰り延べてそれぞれ加算し、又は減額することとする場合において、当該繰り延べられた加算し、又は減額すべき額(以下この項において「繰り延べ額」という。)を加算し、又は減額しないこととしても当該地方団体に交付すべき普通交付税の額の算定に用いられるべき当該年度の基準財政収入額が基準財政需要額を超えるとき又は繰り延べ額を加算し、又は減額した結果基準財政収入額が基準財政需要額を超えるときは、繰り延べ額を加算し、又は減額しないこととし、次の各号に定めるところによつて算定した額を返還させることができる。
一繰り延べ額が基準財政需要額から減額すべき額である場合次の算式により算定した額
算式
繰り延べ額-繰り延べ額×((当該年度の財源不足額の合算額-当該年度の普通交付税の総額)/当該年度において基準財政需要額が基準財政収入額を超える地方団体の当該年度の基準財政需要額の合算額)
二繰り延べ額が基準財政収入額に加算すべき額である場合繰り延べ額
第四十六条の二法第十九条第二項に規定する地方団体で、交付年度分として交付を受けた普通交付税の額が交付を受けるべきであつた普通交付税の額に満たないものに対し、当該不足額を交付年度以後の年度において交付するときは、当該年度の特別交付税から交付するものとする。
2法第十九条第二項に規定する地方団体で、交付年度分として交付を受けた普通交付税の額が交付を受けるべきであつた普通交付税の額をこえるものは、総務大臣の定める方法によつて、交付年度以後の年度において当該超過額を返還しなければならない。
3第一項の規定により地方交付税の交付を受けるべき地方団体が同一年度において、前項の規定により地方交付税を返還しなければならない場合においては、前二項の規定にかかわらず、当該交付を受けるべき額から当該返還すべき額を控除した額を交付し、又は当該返還すべき額から当該交付を受けるべき額を控除した額を返還させることができる。
4第四十八条第五項の規定の適用を受ける市町村は、当該措置がなされた年度において、同項の規定によつて加算し、又は減額しないこととされた額に相当する額を総務大臣の定める方法によつて返還しなければならない。
5前三項の規定によつて返還する額が著しく多額であるとき、その他特別の理由があると認める場合においては、総務大臣は、当該返還額の一部を前三項の規定により返還すべき年度の翌年度以降に繰り延べて返還させることができる。

第五章 合併市町村の特例

第四十七条削除

(新市町村の財源不足額の算定方法の特例)

第四十八条新市町村のうち平成十一年四月一日から平成十七年三月三十一日まで(平成十七年三月三十一日までに都道府県知事に申請を行い、平成十八年三月三十一日までに合併を行う場合は平成十八年三月三十一日まで)に行われた合併特例法第二条第一項の市町村の合併又は平成十七年四月一日から令和五年三月三十一日までに行われた合併新法第二条第一項の市町村の合併(以下この条及び第四十九条において「適用合併」という。)に係る日が当該年度の前十五年度の四月一日から当該年度の四月一日までの間であるもの(合併新法を適用する合併のうち、当該市町村の合併が平成十七年度又は平成十八年度に行われた場合にあつては当該年度の前十四年度の四月一日から当該年度の四月一日までの間であるもの、当該市町村の合併が平成十九年度又は平成二十年度に行われた場合にあつては当該年度の前十二年度の四月一日から当該年度の四月一日までの間であるもの、当該市町村の合併が平成二十一年度から令和四年度までの間に行われた場合にあつては当該年度の前十年度の四月一日から当該年度の四月一日までの間であるもの)については、当該新市町村の財源不足額は、次の算式によつて算定した額とする。
算式
(A-B)×α+B
(A-B)
が負数となるときは0とする。
算式の符号
A 当該新市町村に係る合併関係市町村(当該年度の前15年度の4月1日から当該年度の4月1日までの間(合併新法を適用する合併のうち平成17年度又は平成18年度に行われた場合にあつては当該年度の前14年度の4月1日から当該年度の4月1日までの間、平成19年度又は平成20年度に行われた場合にあつては当該年度の前12年度の4月1日から当該年度の4月1日までの間、平成21年度から令和4年度までの間に行われた場合にあつては当該年度の前10年度の4月1日から当該年度の4月1日までの間)において適用合併を行つた合併関係市町村に限る。以下この章において同じ。)が当該年度の4月1日現在においてすべてなお従前の区域をもつて存続していたものと仮定した場合において各合併関係市町村につきそれぞれ第49条の規定によつて算定した基準財政需要額が第50条の規定によつて算定した基準財政収入額を超える額の合算額
B 前条までの規定によつて算定した当該新市町村の財源不足額
α 当該年度の前10年度の4月1日から当該年度の4月1日までの間(合併新法を適用する合併のうち平成17年度又は平成18年度に行われた場合にあつては当該年度の前9年度の4月1日から当該年度の4月1日までの間、平成19年度又は平成20年度に行われた場合にあつては当該年度の前7年度の4月1日から当該年度の4月1日までの間、平成21年度から令和4年度までの間に行われた場合にあつては当該年度の前5年度の4月1日から当該年度の4月1日までの間)において合併を行つた場合
1.0
合併新法を適用する以外の合併が行われた場合で当該年度の前n年度の4月1日から当該年度の前
(n-1)
年度の4月1日の前日までの間において合併を行つた場合(ただし、nは11以上15以下の整数)
1.1-(n-10)×0.2
合併新法を適用する合併が行われた場合で平成17年度又は平成18年度に行われた場合であつて当該年度の前n年度の4月1日から当該年度の前
(n-1)
年度の4月1日の前日までの間において合併を行つた場合(ただし、nは10以上14以下の整数)
1.1-(n-9)×0.2
合併新法を適用する合併が行われた場合で平成19年度又は平成20年度に行われた場合であつて当該年度の前n年度の4月1日から当該年度の前
(n-1)
年度の4月1日の前日までの間において合併を行つた場合(ただし、nは8以上12以下の整数)
1.1-(n-7)×0.2
合併新法を適用する合併が行われた場合で平成21年度から令和4年度までの間に行われた場合であつて当該年度の前n年度の4月1日から当該年度の前
(n-1)
年度の4月1日の前日までの間において合併を行つた場合(ただし、nは6以上10以下の整数)
1.1-(n-5)×0.2
2前項の場合において、合併関係市町村のうちに適用合併以外の合併を行つたものがあるときは、これらの合併関係市町村に係る財源不足額から合併関係市町村のうちその基準財政収入額が基準財政需要額を超えるものの当該超える額を控除するものとする。
3第一項の場合において、第四十六条の規定によつて錯誤に係る額として当該市町村の基準財政需要額若しくは基準財政収入額に加算し、又はこれらから減額した額は、当該錯誤を生じた合併関係市町村が明らかであるときはこれを当該合併関係市町村の基準財政需要額若しくは基準財政収入額に加算し、又はこれらから減額するものとし、当該錯誤を生じた合併関係市町村が明らかでないときはこれを第四十九条又は第五十条の規定によつて算定した合併関係市町村に係る基準財政需要額又は基準財政収入額によつてこれを按分し、当該按分した額をそれぞれ合併関係市町村の基準財政需要額若しくは基準財政収入額に加算し、又はこれらから減額するものとする。
4前項の規定を適用した場合において生ずる各合併関係市町村の財源不足額の増加額又は減少額の合算額が、当該錯誤に係る額を交付年度において各合併関係市町村の基準財政需要額若しくは基準財政収入額に加算し、又はこれらから減額した場合において生ずることとなる各合併関係市町村の財源不足額の増加額又は減少額の合算額(以下本項において「錯誤がなかつたと仮定した場合における交付年度の当該新市町村の財源不足額の増加額又は減少額」という。)と異なることとなるときは、同項の規定にかかわらず、当該錯誤に係る額は、適用合併を行つた合併関係市町村で基準財政需要額が基準財政収入額を超えるものに係る基準財政需要額若しくは基準財政収入額に加算し、又はこれらから減額するものとする。ただし、当該錯誤が交付年度において基準財政収入額が基準財政需要額を超える合併関係市町村に係るものである場合その他本文の規定を適用することが適当でないと総務大臣が認めた場合においては、錯誤がなかつたと仮定した場合における交付年度の当該新市町村の財源不足額の増加額又は減少額に相当する額を、適用合併を行つた合併関係市町村で基準財政需要額が基準財政収入額を超えるものに係る基準財政需要額に加算し、又はこれから減額するものとする。
5前項の場合において、同項本文の規定によつて基準財政需要額から減額し、若しくは基準財政収入額に加算すべき額の合算額又は前項ただし書の規定によつて基準財政需要額から減額すべき額が、当該錯誤に係る措置をしないこととした場合における当該年度の各合併関係市町村の財源不足額(同項の規定によつて基準財政需要額に加算し、又は基準財政収入額から減額すべき額があるときは、当該措置をした後の額とする。)の合算額を超えるときは、当該加算し、又は減額する額の合算額は、当該財源不足額の合算額に相当する額とする。
6前二項の場合において、適用合併を行つた合併関係市町村で基準財政需要額が基準財政収入額を超えるものが二以上あるときは、それぞれの基準財政需要額若しくは基準財政収入額に加算し、又はこれらから減額すべき額は、これらの規定による錯誤の措置をしなかつた場合におけるこれらの合併関係市町村の財源不足額で按分した額とする。

(指定団体の指定)

第四十八条の二総務大臣は、新市町村のうち当該新市町村に係る測定単位その他の数値の合併関係市町村への分別又は按分について次条及び第五十条並びに附則第四条に定める特別な方法を用いるもの(以下「指定団体」という。)を指定することができる。

(合併関係市町村に係る基準財政需要額の算定方法)

第四十九条合併関係市町村に係る基準財政需要額は、第五条の規定によつて算定した当該新市町村に係る測定単位の数値を次項に定める方法によつてそれぞれ合併関係市町村に分別又は按分し、当該分別又は按分した数値を第三項に定める方法によつて補正したものを当該測定単位ごとの単位費用に乗じて得た額の合算額とする。
2当該新市町村の測定単位の数値の合併関係市町村への分別又は按分は、次の各号に定めるところによる。この場合において、境界変更により当該新市町村に編入された区域がある場合にあつては当該区域は隣接する合併関係市町村に属するものとし、境界変更により当該新市町村の区域が分割された場合にあつては当該区域は当該境界変更前に属していた合併関係市町村から除いたものとし、分割合併に係る合併関係市町村にあつては第五条第二項の規定に準じて分別又は按分するものとし、端数計算については、特別の定めがあるもののほか、同条第四項に定めるところによる。
一人口
第五条第一項の表中一の規定に準じて合併関係市町村に分別するものとする。ただし、平成二十二年十月二日から平成二十七年十月一日までの間に合併を行つた場合においては、当該期間内の合併に係る合併関係市町村の区域の人口は、令和二年十月一日現在において当該合併関係市町村の区域を包括していた市町村の同日現在における人口を合併関係市町村の区域に係る国勢調査令によつて調査した平成二十二年十月一日現在における人口によつて按分したものとし、平成二十七年十月二日から令和二年十月一日までの間に合併を行つた場合においては、当該期間内の合併に係る合併関係市町村の区域の人口は、令和二年十月一日現在において当該合併関係市町村の区域を包括していた市町村の同日現在における人口を合併関係市町村の区域に係る国勢調査令によつて調査した平成二十七年十月一日現在における人口によつて按分したものとする。
二面積
第五条第一項の表中二の規定に準じて合併関係市町村の区域ごとに分別するものとする。ただし、宅地の面積、田畑の面積及び森林の面積にあつては、第四十八条の規定に基づき当該新市町村の財源不足額を算定した初年度(平成十五年四月一日以前に合併した新市町村にあつては、平成十五年度をいう。以下「算定初年度」という。)においては分別し、算定初年度の次年度以降においては同項の表中二の規定によつて算定した当該新市町村に係る当該数値を算定初年度の算定に用いた当該数値によつてそれぞれ按分するものとする。
三道路の面積
算定初年度にあつては第五条第一項の表中四の規定に準じて合併関係市町村の区域ごとに分別し、算定初年度の次年度以降にあつては同項の表中四の規定に準じて算定した当該新市町村に係る第七条第一項の表市町村の項第一号に規定された種別ごとの道路の面積を算定初年度の算定に用いた合併関係市町村ごとの当該数値によつて按分するものとする。この場合において、当該新市町村が当該年度の四月一日現在において指定都市であるときは、合併前において指定都市以外の市町村であつた合併関係市町村については、国道及び道府県道(橋りようを含む。)の数値を零とする。ただし、算定初年度以降に道路法第十七条第二項又は第三項の規定により国道及び道府県道の管理を開始した市町村にあつては、国道及び道府県道(橋りようを除く。)の面積を算定初年度の算定に用いた市町村道の各幅員の数値の合計によつて按分し、国道及び道府県道(橋りように限る。)の面積を算定初年度の算定に用いた市町村道の橋りようの面積によつて按分するものとする。
四道路の延長
算定初年度にあつては第五条第一項の表中五の規定に準じて合併関係市町村の区域ごとに分別し、算定初年度の次年度以降にあつては同項の表中五の規定に準じて算定した当該新市町村に係る第七条第一項の表市町村の項第一号に規定された種別ごとの道路の延長を算定初年度の算定に用いた合併関係市町村ごとの当該数値によつて按分するものとする。この場合において、当該新市町村が当該年度の四月一日現在において指定都市であるときは、合併前において指定都市以外の市町村であつた合併関係市町村については、国道及び道府県道(橋りようを含む。)の数値を零とする。ただし、算定初年度以降に道路法第十七条第二項又は第三項の規定により国道及び道府県道の管理を開始した市町村にあつては、国道及び道府県道(橋りようを除く。)の延長を算定初年度の算定に用いた市町村道の各幅員の数値の合計で按分し、国道及び道府県道(橋りように限る。)の延長を算定初年度の算定に用いた市町村道の橋りようの数値で按分するものとする。
五港湾及び漁港における係留施設及び外郭施設の延長
第五条第一項の表中七から同項の表中十までの規定によつてそれぞれ算定した当該新市町村に係る港湾又は漁港ごとの係留施設又は外郭施設の延長は、当該港湾又は漁港の所在する合併関係市町村に属するものとする。ただし、港湾若しくは漁港が当該市町村の区域内に所在しない場合又は二以上の合併関係市町村にまたがつて所在する場合においては、港湾又は漁港ごとの係留施設又は外郭施設の延長を当該都道府県知事が定める割合によつて按分したものをそれぞれの合併関係市町村の係留施設又は外郭施設の延長とする。
六都市計画区域における人口
(1)算定初年度にあつては第五条第一項の表中十一の規定に準じて合併関係市町村に分別し、算定初年度の次年度以降にあつては同項の表中十一の規定によつて算定した当該新市町村に係る都市計画区域における人口を算定初年度の算定に用いた合併関係市町村ごとの当該数値によつて按分するものとする。ただし、算定初年度の前年度(平成十五年四月一日以前に合併した団体にあつては、平成十五年度をいう。以下「算定前年度」という。)四月二日以降に新たに都市計画区域を有することとなつた合併関係市町村にあつては、当該新たな都市計画区域を含めた算定前年度四月一日現在の都市計画区域における人口によつて按分するものとする。
(2)(1)の場合において、(1)の規定により算出した数が前年四月一日における都市計画区域内の人口を超える合併関係市町村があるときは、当該超える合併関係市町村にあつては前年四月一日における都市計画区域内の人口を都市計画区域における人口とし、当該超える合併関係市町村以外の合併関係市町村にあつては当該超える数の合計数を当該超える合併関係市町村以外の合併関係市町村の前年四月一日における都市計画区域内の人口によつて按分した数を(1)に定める方法により按分した数に加算するものとする。
(3)(2)の場合においても、なお(2)の規定により算出した数が前年四月一日における都市計画区域内の人口を超える合併関係市町村があるときは、当該超える合併関係市町村にあつては前年四月一日における都市計画区域内の人口を都市計画区域における人口とし、当該超える合併関係市町村以外の合併関係市町村にあつては当該超える数の合計数を総務大臣が定める率によつて按分した数と(2)に定める方法により算出した数との合計数とする。
七都市公園の面積
第五条第一項の表中十二の規定に準じて合併関係市町村に分別するものとする。この場合において、二以上の合併関係市町村にまたがる都市公園にあつては、合併関係市町村ごとの人口によつて按分したものとする。
八小学校の児童数
第五条第一項の表中十四の規定によつて算定した当該新市町村に係る小学校の児童数を算定前年度の算定に用いた合併関係市町村ごとの当該数値によつて按分するものとする。
九小学校の学級数
第五条第一項の表中十五の規定によつて算定した当該新市町村に係る小学校の学級数は当該小学校の所在する合併関係市町村に属するものとする。この場合において、二以上の合併関係市町村の区域に係る在学児童をもつて編制された学級については、当該都道府県知事が定める率によつて按分するものとし、按分後の数値に小数点以下一位未満の端数があるときはその端数を四捨五入する。
十小学校の学校数
第五条第一項の表中十六の規定によつて算定した当該新市町村に係る小学校の学校数は当該小学校の所在する合併関係市町村に属するものとする。この場合において、二以上の合併関係市町村の区域に係る在学児童を有する学校にあつては、当該都道府県知事が定める率によつて按分するものとし、按分後の数値に小数点以下二位未満の端数があるときは、その端数を四捨五入する。
十一中学校の生徒数、学級数及び学校数
第八号から前号までの規定に準じてそれぞれ合併関係市町村に分別又は按分するものとする。
十二高等学校の教職員数
第五条第一項の表中二十一の規定によつて算定した当該新市町村に係る第七条第一項の表市町村の項第三号に規定された種別ごとの高等学校の教職員数のうち、合併前に合併関係市町村が単独で設置していた高等学校の教職員数は当該合併関係市町村に属するものとし、合併後に設置された高等学校の教職員数は合併関係市町村の人口で按分するものとし、当該按分した数値に小数点以下二位未満の端数があるときは、その端数を四捨五入する。ただし、当該新市町村が当該年度の四月一日現在において指定都市であるときは、合併前において指定都市以外の市町村であつた合併関係市町村については、当該合併関係市町村に係る数値から定時制の課程に係る教職員(養護教諭、養護助教諭、実習助手及び事務職員を除く。)の数(小数点以下二位未満の端数があるときは、その端数を四捨五入する。)を除くものとする。
十三高等学校の生徒数
前号前段の規定に準じて第七条第一項の表市町村の項第三号に規定された種別ごとに合併関係市町村に按分するものとする。
十四幼稚園及び幼保連携型認定こども園の小学校就学前子どもの数
第五条第一項の表第二十七号の規定によつて算定した当該新市町村に係る幼稚園及び幼保連携型認定こども園の小学校就学前子どもの数を算定前年度の算定に用いた合併関係市町村ごとの当該数値によつて按分するものとする。ただし、平成二十七年四月一日以前に合併を行つた場合においては、算定前年度の算定に用いた合併関係市町村ごとの学校基本調査規則によつて調査した当該年度の五月一日現在における当該市町村立幼稚園に在学する幼児数によつて按分するものとする。
十五市部人口
第一号の規定に準じて合併関係市町村に分別又は按分するものとする。
十六六十五歳以上人口
第五条第一項の表中三十の規定に準じて合併関係市町村に分別するものとする。ただし、平成二十二年十月二日から平成二十七年十月一日までの間に合併を行つた場合においては、当該期間内の合併に係る合併関係市町村の区域の六十五歳以上人口は、令和二年十月一日現在において当該合併関係市町村の区域を包括していた市町村の同日現在における六十五歳以上人口を合併関係市町村の区域に係る平成二十二年六十五歳以上人口によつて按分したものとし、平成二十七年十月二日から令和二年十月一日までの間に合併を行つた場合においては、当該期間内の合併に係る合併関係市町村の区域の六十五歳以上人口は、令和二年十月一日現在において当該合併関係市町村の区域を包括していた市町村の同日現在における六十五歳以上人口を合併関係市町村の区域に係る国勢調査令によつて調査した平成二十七年十月一日現在における六十五歳以上人口によつて按分したものとする。
十七七十五歳以上人口
前号の規定に準じて合併関係市町村に按分するものとする。
十八農家数
第五条第一項の表中三十二の規定に準じて合併関係市町村に分別するものとする。ただし、平成二十二年二月二日から平成二十七年二月一日までの間に合併を行つた場合においては、当該期間内の合併に係る合併関係市町村の農家数は、令和二年二月一日現在において当該合併関係市町村の区域を包括していた市町村の同日現在における農家数を平成二十二年二月一日現在の合併関係市町村の区域に係る農家数によつて按分したものとし、平成二十七年二月二日から令和二年二月一日までの間に合併を行つた場合においては、当該期間内の合併に係る合併関係市町村の農家数は、令和二年二月一日現在において当該合併関係市町村の区域を包括していた市町村の同日現在における農家数を平成二十七年二月一日現在の合併関係市町村の区域に係る農家数によつて按分したものとする。
十九林業及び水産業の従業者数
第五条第一項の表中三十六の規定に準じて合併関係市町村に分別するものとする。ただし、平成二十二年十月二日から平成二十七年十月一日までの間に合併を行つた場合においては、当該期間内の合併に係る合併関係市町村の林業及び水産業の従業者数は、令和二年十月一日現在において当該合併関係市町村の区域を包括していた市町村の同日現在における林業及び水産業の従業者数を国勢調査令によつて調査した平成二十二年十月一日現在における合併関係市町村の区域に係る林業及び水産業の従業者数によつて按分したものとし、平成二十七年十月二日から令和二年十月一日までの間に合併を行つた場合においては、当該期間内の合併に係る合併関係市町村の林業及び水産業の従業者数は、令和二年十月一日現在において当該合併関係市町村の区域を包括していた市町村の同日現在における林業及び水産業の従業者数を国勢調査令によつて調査した平成二十七年十月一日現在における合併関係市町村の区域に係る林業及び水産業の従業者数によつて按分したものとする。
二十戸籍数
第五条第一項の表中三十七の規定によつて算定した当該新市町村に係る戸籍数を算定前年度の算定に用いた合併関係市町村ごとの当該数値によつて按分するものとする。
二十一世帯数
第五条第一項の表中三十八の規定に準じて合併関係市町村に分別するものとする。ただし、平成二十二年十月二日から平成二十七年十月一日までの間に合併を行つた場合においては、当該期間内の合併に係る合併関係市町村の区域の世帯数は、令和二年十月一日現在において当該合併関係市町村の区域を包括していた市町村の同日現在における世帯数を合併関係市町村の区域に係る国勢調査令によつて調査した平成二十二年十月一日現在における世帯数によつて按分したものとし、平成二十七年十月二日から令和二年十月一日までの間に合併を行つた場合においては、当該期間内の合併に係る合併関係市町村の区域の世帯数は、令和二年十月一日現在において当該合併関係市町村の区域を包括していた市町村の同日現在における世帯数を合併関係市町村の区域に係る国勢調査令によつて調査した平成二十七年十月一日現在における世帯数によつて按分したものとする。
二十二災害復旧事業費の財源に充てた地方債の元利償還金
第五条第一項の表中四十の規定によつて算定した災害復旧事業費の財源に充てた地方債の元利償還金のうち、合併した日の属する年度の前年度までに合併関係市町村が同意を得た当該地方債に係るもの又は合併前に当該合併関係市町村が許可を得た当該地方債に係るものにあつては当該合併関係市町村に属するものとし、合併した日の属する年度の以後の年度に当該合併関係市町村若しくは当該新市町村が同意を得た当該地方債に係るもの又は合併後に当該新市町村が許可を得た当該地方債に係るものにあつては当該額を算定前年度の合併関係市町村の基準財政需要額のうち投資的経費に係る額によつて按分するものとする。ただし、指定団体にあつては、事業施行区域によつて分別(ただし、事業施行区域が二以上の合併関係市町村にまたがる場合その他の場合においては、算定前年度の当該合併関係市町村の基準財政需要額のうち投資的経費(ただし、平成十九年四月二日以降に合併した団体にあつては、事業費補正による増加需要額)に係る額によつて按分)するものとする。
二十三辺地対策事業債の元利償還金
第五条第一項の表中四十一の規定によつて算定した当該新市町村に係る辺地対策事業債の元利償還金は、当該地方債に係る辺地対策事業を施行した地域の属する合併関係市町村に属するものとする。ただし、事業施行区域が二以上の合併関係市町村にまたがる場合その他の場合においては、算定前年度の当該合併関係市町村の基準財政需要額のうち投資的経費(ただし、平成十九年四月二日以降に合併した団体にあつては、事業費補正による増加需要額)に係る額によつて按分するものとする。
二十四補正予算債の元利償還金
第二十二号の規定に準じて合併関係市町村に分別又は按分するものとする。ただし、指定団体にあつては、事業施行区域によつて分別(ただし、事業施行区域が二以上の合併関係市町村にまたがる場合その他の場合においては、算定前年度の当該合併関係市町村の基準財政需要額のうち投資的経費(ただし、平成十九年四月二日以降に合併した団体にあつては、事業費補正による増加需要額)に係る額によつて按分)するものとする。
二十五補正予算債の額
第二十二号の規定に準じて合併関係市町村に分別又は按分するものとする。ただし、指定団体にあつては、事業施行区域によつて分別(ただし、事業施行区域が二以上の合併関係市町村にまたがる場合その他の場合においては、算定前年度の当該合併関係市町村の基準財政需要額のうち投資的経費(ただし、平成十九年四月二日以降に合併した団体にあつては、事業費補正による増加需要額)に係る額によつて按分)するものとする。
二十六地方税減収補塡債の額
第五条第一項の表中四十四の規定によつて算定した当該新市町村に係る地方税減収補塡債の額のうち、合併した日の属する年度の前年度までに合併関係市町村が同意を得た当該地方債に係るもの又は合併前に当該合併関係市町村が許可を得た当該地方債に係るものにあつては当該合併関係市町村に属するものとし、合併した日の属する年度の以後の年度に当該合併関係市町村若しくは当該新市町村が同意を得た当該地方債又は合併後に当該新市町村が許可を得た当該地方債で市町村民税の所得割の減収分に係るものにあつては当該地方債の発行について同意又は許可を得た年度の基準財政収入額の合併関係市町村ごとの市町村民税の所得割に係る基準税額によつて、市町村民税の法人税割の減収分に係るものにあつては同年度の基準財政収入額の合併関係市町村ごとの市町村民税の法人税割に係る基準税額によつて、利子割交付金の減収に係るものにあつては同年度の基準財政収入額の合併関係市町村ごとの利子割交付金の基準額によつて按分するものとする。
二十七財源対策債の額
第二十二号の規定に準じて合併関係市町村に分別又は按分するものとする。ただし、指定団体にあつては、事業施行区域によつて分別(ただし、事業施行区域が二以上の合併関係市町村にまたがる場合その他の場合においては、算定前年度の当該合併関係市町村の基準財政需要額のうち投資的経費(ただし、平成十九年四月二日以降に合併した団体にあつては、事業費補正による増加需要額)に係る額によつて按分)するものとする。
二十八減税補塡債
平成六年度から平成十八年度までの各年度における減税補塡債については、当該各年度における当該新市町村に係る第五条第一項の表第四十六号の規定によつて算定した額を当該各年度における合併関係市町村ごとの基準財政収入額の算定方法の特例として基準財政収入額に加算した額の合算額によつて按分するものとする。
二十九臨時財政対策債の額
各年度における第五条第一項の表第四十七号の規定によつて算定した当該新市町村に係る臨時財政対策債の額を当該各年度における合併関係市町村ごとの地方財政法第三十三条の五の二第一項の額の算定方法を定める省令第一条に定める算定方法に準じて算定した額によつて按分するものとする。
三十東日本大震災全国緊急防災施策等債の額
第二十二号の規定に準じて合併関係市町村に分別又は按分するものとする。ただし、指定団体にあつては、事業施行区域によつて分別(ただし、事業施行区域が二以上の合併関係市町村にまたがる場合その他の場合においては、算定前年度の当該合併関係市町村の基準財政需要額のうち投資的経費(ただし、平成十九年四月二日以降に合併した団体にあつては、事業費補正による増加需要額)に係る額によつて按分)するものとする。
三十一国土強靭化施策債の額
第二十二号の規定に準じて合併関係市町村に分別又は按分するものとする。ただし、指定団体にあつては、事業施行区域によつて分別(ただし、事業施行区域が二以上の合併関係市町村にまたがる場合その他の場合においては、算定前年度の当該合併関係市町村の基準財政需要額のうち投資的経費(ただし、平成十九年四月二日以降に合併した団体にあつては、事業費補正による増加需要額)に係る額によつて按分)するものとする。
3前項の規定によつて合併関係市町村に分別された測定単位の数値の補正は、次の各号に定める方法によつて行うものとする。ただし、合併関係市町村のうち分割合併に係るものにあつては当該分割前の市町村の区域によつて算定した補正後の数値を当該分割に係る補正前の数値(種別補正を行うものにあつては、種別補正後の数値とする。以下この項において同じ。)によつて按分したものをもつて当該合併関係市町村の補正後の数値とし、合併関係市町村のうち適用合併以外の合併を行つたものにあつては当該合併関係市町村の区域に係る補正前の数値に当該新市町村に係る補正係数を乗じたものをもつてその補正後の数値とする。
一種別補正
法第十三条第一項及び第二項の規定に準じて補正するものとする。
二段階補正
法第十三条第四項第一号の規定に準じて補正するものとする。
三密度補正
法第十三条第四項第二号及びこの省令第九条の規定に準じて補正するものとする。この場合において、次の表の上欄に掲げる密度補正に用いる密度については、それぞれ同表の下欄に掲げる算定方法によるものとする。
「消防費」に係る密度補正Ⅱに用いる密度当該新市町村の区域指定指数に別表第一のAに定める率を乗じて得た数(小数点以下三位未満の端数があるときは、その端数を四捨五入する。)と同表のBに定める率との合計数を当該新市町村の石油の貯蔵・取扱量及び高圧ガスの取扱量をそれぞれ合併関係市町村に分別して算定した区域指定指数によつて合併関係市町村ごとに按分して算定する。
「消防費」に係る密度補正Ⅲに用いる密度当該新市町村の標準額支払団員数を合併関係市町村ごとの人口によつて按分して算定する。
「下水道費」に係る密度補正に用いる密度当該新市町村の公共下水道に係る排水人口、農業集落排水施設に係る排水人口、漁業集落排水施設に係る排水人口、林業集落排水施設に係る排水人口、簡易排水処理施設に係る排水人口、小規模集合排水処理施設に係る排水人口、合併処理浄化槽のうち特定地域生活排水処理施設に係る排水人口及び合併処理浄化槽のうち個別排水処理施設に係る排水人口、公共下水道に係る排水面積、農業集落排水施設に係る排水面積、漁業集落排水施設に係る排水面積、林業集落排水施設に係る排水面積、簡易排水処理施設に係る排水面積及び小規模集合排水処理施設に係る排水面積を合併関係市町村ごとに分別して算定する。
「その他の土木費」に係る密度補正に用いる密度当該新市町村の近傍同種の家賃の額、旧公営住宅法第十二条第一項又は改良住宅等管理要領第四第一項の規定に基づき算出する月割り額、当該住宅の家賃、公営住宅法施行令第二条第二項の規定による家賃算定基礎額に同条第一項第一号から第三号までに掲げる数値を乗じた額、入居者階層に応じての負担能力を勘案して国土交通省住宅局長が別に定める額及び入居者負担基準額として国土交通大臣が調査した額を合併関係市町村ごとに分別して算定し、当該新市町村の近傍同種の家賃の額、旧公営住宅法第十二条第一項又は改良住宅等管理要領第四第一項の規定に基づき算出する月割り額、当該住宅の家賃、公営住宅法施行令第二条第二項の規定による家賃算定基礎額に同条第一項第一号から第三号までに掲げる数値を乗じた額、入居者階層に応じての負担能力を勘案して国土交通省住宅局長が別に定める額及び入居者負担基準額として国土交通大臣が調査した額を合併関係市町村ごとに分別して算定し、平成八年四月一日以降に合併を行つた場合においては、当該新市町村の公営住宅家賃収入補助基本額、戸数及び収入超過者入居戸数を合併関係市町村ごとに分別して算定する。
「小学校費」のうち児童数を測定単位とするもの及び「中学校費」のうち生徒数を測定単位とするものに係る密度補正に用いる密度当該新市町村のスクールバス等の数を当該スクールバス等の主たる定置場の場所によつて合併関係市町村に分別し、教育扶助受給児童数又は教育扶助受給生徒数、完全学校給食実施児童数又は完全学校給食実施生徒数、補食学校給食実施児童数又は補食学校給食実施生徒数及びミルク学校給食実施児童数又はミルク学校給食実施生徒数を算定前年度の算定に用いた合併関係市町村ごとの当該数値によつて按分して算定する。
「その他の教育費」に係る密度補正Ⅱに用いる密度当該新市町村立の大学に在学する学生数、短期大学に在学する学生数、高等専門学校に在学する学生数、特別支援学校の幼稚部に在学する幼児の数、特別支援学校の小学部及び中学部に在学する児童及び生徒の数、特別支援学校の高等部(別科及び専攻科を除く。)に在学する生徒の数及び特別支援学校の高等部(別科及び専攻科に限る。)に在学する生徒の数を合併関係市町村ごとに分別し、当該新市町村に所在する私立の幼稚園(新制度移行私立幼稚園を除く。)に在学する幼児の数を算定前年度の算定に用いた合併関係市町村ごとの当該数値によつて按分し、市町村立の認定こども園に在籍する一号認定子どもの数(追加分)、市町村立大学授業料減免対象学生数、市町村立短期大学授業料減免対象学生数、市町村立高等専門学校授業料減免対象学生数、市町村立専門学校授業料減免対象学生数、市町村立大学入学金減免対象学生数、市町村立短期大学入学金減免対象学生数、市町村立高等専門学校入学金減免対象学生数及び市町村立専門学校入学金減免対象学生数にあつては、合併関係市町村ごとの人口によつて按分した数値を用い、第九条第一項の表市町村の項第六号1算式イの符号Cにあつては、当該新市町村に係る数値を用いて算定する。
「その他の教育費」に係る密度補正Ⅲに用いる密度私立幼稚園在籍人員数及び私立認定こども園在籍人員数の合計数にあつては、合併関係市町村ごとの人口によつて按分した数値を用い、第九条第一項の表市町村の項第六号2算式の符号Cにあつては当該新市町村に係る数値を用いて算定する。
「その他の教育費」に係る密度補正Ⅳに用いる密度一として算定する。
「生活保護費」に係る密度補正に用いる密度当該新市町村が市の場合においては、当該市の被生活保護者等の数、被生活保護者等の実数及び被生活保護者等のうち生活扶助等を受けた者の数の算出に用いる前年度における生活扶助、住宅扶助、教育扶助、医療扶助、介護扶助、出産扶助、生業扶助及び葬祭扶助を受けた者の数(以下「各扶助人員数」という。)を算定前年度の算定に用いた当該合併関係市町村ごとの当該数値(合併前において福祉事務所設置町村以外の町村であつた合併関係市町村については、算定前年度の当該合併関係市町村に係る数として当該都道府県知事が調査した数とする。)によつてそれぞれ按分し、当該新市町村が福祉事務所設置町村の場合においては、当該福祉事務所設置町村の各扶助人員数を当該合併関係市町村ごとの人口によつてそれぞれ按分して算出した各数値を用いて算定する。
「社会福祉費」に係る密度補正に用いる密度当該新市町村の公立の保育施設在籍人員数(公立保育所在籍人員数、公立幼保連携型認定こども園在籍人員数、公立認定こども園在籍人員数(追加分)及び特別利用保育等に係る子どもの数を除く。)を施設の所在地によつて合併関係市町村ごとに分別し、当該新市町村の障害福祉サービスのうち居住系サービス利用者数、日中活動系サービス利用者数及び訪問系サービス利用者数を算定前年度の合併関係市町村の当該数値(平成二十年四月二日から平成二十四年四月一日までに合併を行つた場合においては、算定前年度の施設入所支援利用者(新体系)、平成十九年四月二日から平成二十年四月一日までに合併を行つた場合においては、算定前年度の施設訓練等支援費支給決定者数、平成十九年四月一日までに合併を行つた場合においては、算定前年度の知的障害者支援措置人員)によつて按分し、前年度私立保育所等費用額、前年度私立保育所等利用者負担額、前年度私立保育所等在籍人員数、前年度子育てのための施設等利用給付支給額、前年度子育てのための施設等利用給付に係る給付認定子ども数及び第九条第一項の表市町村の項第八号1算式ア(1)の符号α及び算式ア(2)の符号αにあつては当該新市町村に係る数値を用い、当該新市町村の公立保育所在籍人員数、公立幼保連携型認定こども園在籍人員数、公立認定こども園在籍人員数(追加分)、特別利用保育等に係る子どもの数、私立保育所在籍人員数、私立認定こども園在籍人員数、保育所等における障害児受入人員数、障害児保育のための加配職員数、児童数(3歳未満)((被用者・本則給付分)及び(施設等受給資格者分)の計)、児童数(3歳未満)(非被用者・本則給付分)、児童数(3歳~小学校)((被用者・本則給付分のうち第1子及び第2子分)及び(施設等受給資格者分)の計)、児童数(3歳~小学校)(非被用者・本則給付分のうち第1子及び第2子分)、児童数(3歳~小学校)(被用者・本則給付分のうち第3子以降分)、児童数(3歳~小学校)(非被用者・本則給付分のうち第3子以降分)、児童数(中学校)((被用者・本則給付分)及び(施設等受給資格者分)の計)、児童数(中学校)(非被用者・本則給付分)、児童数(3歳未満)(地方公務員・本則給付分)、児童数(3歳~小学校)(地方公務員・本則給付分のうち第1子及び第2子分)、児童数(3歳~小学校)(地方公務員・本則給付分のうち第3子以降分)、児童数(中学校)(地方公務員・本則給付分)、児童数(3歳未満)(被用者・特例給付分)、児童数(3歳~小学校)(被用者・特例給付分のうち第1子及び第2子分)、児童数(3歳~小学校)(被用者・特例給付分のうち第3子以降分)、児童数(中学校)(被用者・特例給付分)、児童数(3歳未満)(非被用者・特例給付分)、児童数(3歳~小学校)(非被用者・特例給付分のうち第1子及び第2子分)、児童数(3歳~小学校)(非被用者・特例給付分のうち第3子以降分)、児童数(中学校)(非被用者・特例給付分)、児童数(3歳未満)(地方公務員・特例給付分)、児童数(3歳~小学校)(地方公務員・特例給付分のうち第1子及び第2子分)、児童数(3歳~小学校)(地方公務員・特例給付分のうち第3子以降分)、児童数(中学校)(地方公務員・特例給付分)、児童扶養手当支給者数、地域型保育給付に係る子どもの数(事業区分別)、特例保育給付に係る子どもの数及び子育てのための施設等利用給付に係る給付認定子ども数を合併関係市町村ごとの人口によつて按分して算出した数値を用いて算定する。
「保健衛生費」に係る密度補正Ⅰ及び密度補正Ⅱに用いる密度当該新市町村の診療所の数、診療所の病床数、簡易水道等給水人口、簡易水道事業債元利償還金、簡易水道事業債許可額、高料金対策簡易水道資本費、高料金対策簡易水道有収水量、市町村立等病院病床数、市町村立等病院特例病床数、市町村立大学附属病院病床数及び市町村立リハビリ病院病床数の合計数、市町村立等病院事業債元利償還金、市町村立等病院事業債同意等額、市町村立大学附属病院事業債元利償還金、市町村立大学附属病院事業債同意等額、市町村病院事業一般会計出資債同意等額、救急告示病院数、救急告示等病床数、高料金対策上水道資本費、高料金対策上水道有収水量、上水道水源開発元利償還金、独立行政法人水資源機構負担金、上水道広域化対策元利償還金、上水道一般会計出資債元利償還金、市町村上水道一般会計出資債同意等額並びに市町村立看護師等養成所生徒数を合併関係市町村ごとに分別(ただし、簡易水道事業債元利償還金、簡易水道事業債許可額、上水道水資源開発元利償還金、独立行政法人水資源機構負担金、上水道広域化対策元利償還金、上水道一般会計出資債元利償還金及び市町村上水道一般会計出資債同意等額にあつては、事業施行区域が二以上の合併関係市町村にまたがる場合においては人口によつて按分)し、当該新市町村の七(六)割軽減保険料軽減者数、七(六)割軽減保険料軽減世帯数、減額した被保険者均等割額計、減額した世帯別平等割額計、一般被保険者世帯等数及び一般被保険者数を算定初年度にあつては合併関係市町村ごとに分別し、算定初年度の次年度以降にあつては算定初年度の算定に用いた合併関係市町村ごとの当該数値によつてそれぞれ按分し、当該新市町村の五(四)割軽減保険料軽減者数、二割軽減保険料軽減者数、五(四)割軽減保険料軽減世帯数、二割軽減保険料軽減世帯数を合併関係市町村ごとの人口によつてそれぞれ按分し、当該新市町村の前年度九月三十日現在一般被保険者数及び前年度九月三十日現在一般被保険者数のうち六十歳以上七十五歳未満の者の数を算定前年度の算定に用いた合併関係市町村ごとの当該数値によつてそれぞれ按分した数値を用いて算定する。
「高齢者保健福祉費」に係る密度補正に用いる密度当該新市町村の養護老人ホーム被措置者数、居宅介護サービス等受給者数及び施設介護サービス受給者数を算定前年度の算定に用いた合併関係市町村ごとの当該数値によつて按分して算定し、生活支援ハウスの施設数を施設の所在地で分別して算定し、当該新市町村の第一段階被保険者数、第二段階被保険者数、第三段階被保険者数、二割軽減被保険者数、五割軽減被保険者数及び七割軽減被保険者数を合併関係市町村ごとの人口によつて按分して算定する。
「清掃費」に係る密度補正Ⅰに用いる密度一として算定する。
「清掃費」に係る密度補正Ⅱに用いる密度当該新市町村入湯税納税義務者数を算定初年度にあつては合併関係市町村ごとに分別し、算定初年度の次年度以降にあつては算定初年度の算定に用いた合併関係市町村ごとの当該数値によつて按分(ただし、入湯税について合併特例法第十条又は合併新法第十六条の規定に基づき不均一課税を行つている当該新市町村にあつては合併関係市町村ごとに分別)して算定する。
「農業行政費」に係る密度補正Ⅰに用いる密度当該新市町村の田の面積、畑の面積及び牧草専用地の面積をそれぞれ分別して算定する。平成二十二年二月二日から平成二十七年二月一日までの間に合併を行つた場合においては、当該期間内の合併に係る合併関係市町村の田の面積、畑の面積及び牧草専用地の面積は、令和二年二月一日現在において当該合併関係市町村の区域を包括していた市町村の同日現在における田の面積、畑の面積及び牧草専用地の面積を平成二十二年二月一日現在の合併関係市町村の区域に係る田の面積、畑の面積及び牧草専用地の面積によつて按分し、平成二十七年二月二日から令和二年二月一日までの間に合併を行つた場合においては、当該期間内の合併に係る合併関係市町村の田の面積、畑の面積及び牧草専用地の面積は、令和二年二月一日現在において当該合併関係市町村の区域を包括していた市町村の同日現在における田の面積、畑の面積及び牧草専用地の面積を平成二十七年二月一日現在の合併関係市町村の区域に係る田の面積、畑の面積及び牧草専用地の面積によつて按分して算定する。
「農業行政費」に係る密度補正Ⅱに用いる密度当該新市町村の農道延長を算定前年度の算定に用いた合併関係市町村ごとの当該数値によつて按分して算定する。
「林野水産行政費」に係る密度補正Ⅰに用いる密度当該新市町村又は財産区の所有する森林の面積を合併関係市町村ごとに分別して算定する。この場合において、平成二十二年二月二日から平成二十七年二月一日までに合併を行つた場合における当該期間内の合併に係る合併関係市町村の市町村又は財産区の所有する森林の面積は、令和二年二月一日現在において当該合併関係市町村の区域を包括していた市町村の同日現在における市町村又は財産区の所有する森林の面積を農林業センサス規則によつて調査した平成二十二年二月一日現在における合併関係市町村の区域に係る市町村又は財産区の所有する森林の面積によつて按分し、平成二十七年二月二日から令和二年二月一日までに合併を行つた場合における当該期間内の合併に係る合併関係市町村の市町村又は財産区の所有する森林の面積は、令和二年二月一日現在において当該合併関係市町村の区域を包括していた市町村の同日現在における市町村又は財産区の所有する森林の面積を農林業センサス規則によつて調査した平成二十七年二月一日現在における合併関係市町村の区域に係る市町村又は財産区の所有する森林の面積によつて按分して算定する。
「林野水産行政費」に係る密度補正Ⅱに用いる密度当該新市町村の公有及び私有の林野面積を合併関係市町村ごとに分別して算定する。この場合において、平成二十二年二月二日から平成二十七年二月一日までに合併を行つた場合における当該期間内の合併に係る合併関係市町村の公有及び私有の林野面積は、令和二年二月一日現在において当該合併関係市町村の区域を包括していた市町村の同日現在における市町村の公有及び私有の林野面積を農林業センサス規則によつて調査した平成二十二年二月一日現在における合併関係市町村の区域に係る市町村の公有及び私有の林野面積によつて按分し、平成二十七年二月二日から令和二年二月一日までに合併を行つた場合における当該期間内の合併に係る合併関係市町村の公有及び私有の林野面積は、令和二年二月一日現在において当該合併関係市町村の区域を包括していた市町村の同日現在における市町村の公有及び私有の林野面積を農林業センサス規則によつて調査した平成二十七年二月一日現在における合併関係市町村の区域に係る市町村の公有及び私有の林野面積によつて按分して算定する。
「林野水産行政費」に係る密度補正Ⅲに用いる密度当該新市町村の市町村譲与基準面積を合併関係市町村の公有及び私有の林野面積に用いる数により按分し、当該新市町村の市町村譲与基準林業従業者数及び市町村譲与基準人口を合併関係市町村ごとに分別して算定する。この場合において、平成二十二年十月二日から平成二十七年十月一日までに合併を行つた場合における当該期間内の合併に係る合併関係市町村の市町村譲与基準従業者数及び市町村譲与基準人口は、平成二十七年十月一日現在において当該合併関係市町村の区域を包括していた市町村の同日現在における市町村譲与基準従業者数及び市町村譲与基準人口を国勢調査令によつて調査した平成二十二年十月一日現在における合併関係市町村の区域に係る林業従業者数及び人口によつてそれぞれ按分し、平成二十七年十月二日から令和二年十月一日までに合併を行つた場合における当該期間内の合併に係る合併関係市町村の市町村譲与基準人口は、令和二年十月一日現在において当該合併関係市町村の区域を包括していた市町村の同日現在における市町村譲与基準人口を国勢調査令によつて調査した平成二十七年十月一日現在における合併関係市町村の区域に係る人口によつて按分して算定する。
「地域振興費」のうち人口を測定単位とするものに係る密度補正Ⅲに用いる密度当該新市町村の外国青年招致人員並びに外国自治体との自治体間交流及び外国自治体間との各種分野における交流に基づいて招致した外国籍職員の合計数を合併関係市町村の人口によつて按分して算定する。
四態容補正
法第十三条第四項第三号並びにこの省令第十条第十三項から第二十二項まで、第十一条の二及び第十二条第三項から第五項までの規定に準じて補正するものとする。この場合において、次の表の上欄に掲げる態容補正係数については、それぞれ同表の下欄に掲げる算定方法によるものとする。
「消防費」に係る経常態容補正係数零とする。
「道路橋りよう費」のうち道路の延長を測定単位とするものに係る投資補正係数当該新市町村の交通事故件数比率の算定に用いる交通事故件数を合併関係市町村の合併の日の属する年の前年の当該数値によつて按分し、算定初年度の次年度以降においては算定初年度の算定に用いた合併関係市町村ごとの当該数値によつてそれぞれ按分して算定するものとする。
「下水道費」に係る投資補正係数当該新市町村の有収水量、超過算定対象資本費、使用料等、統合前の有収水量、統合前の超過算定対象資本費及び統合前の使用料等を分別して算定するものとする。
「その他の教育費」のうち人口を測定単位とするものに係る普通態容補正Ⅱ係数当該新市町村の指定都市立小学校教職員数又は指定都市立中学校教職員数をそれぞれ合併関係市町村ごとの「小学校費」又は「中学校費」のうち学級数を測定単位とするものに係る当該測定単位の数値によつて按分した数(整数未満の端数があるときは、その端数を四捨五入し、合併前において指定都市以外の市町村であつた合併関係市町村にあつては、当該按分した数を零とする。)を用い、当該新市町村の指定都市立特別支援学校(小・中学部)教職員数又は指定都市立特別支援学校(高等部)教職員数をそれぞれ合併関係市町村ごとの「その他の教育費」のうち人口を測定単位とするものに係る市町村立特別支援学校(小・中学部)学級数又は市町村立特別支援学校(高等部)学級数によつて按分した数(整数未満の端数があるときは、その端数を四捨五入し、合併前において指定都市以外の市町村であつた合併関係市町村にあつては、当該按分した数を零とする。)を用い、当該新市町村の指定都市立小・中学校教職員平均給与月額又は指定都市立特別支援学校教職員平均給与月額を合併関係市町村の当該額(ただし、合併前において指定都市以外の市町村であつた合併関係市町村にあつては、当該額を零とする。)として算定するものとする。
「その他の教育費」のうち幼稚園等の小学校就学前子どもの数を測定単位とするものに係る経常態容補正係数当該新市町村の「その他の教育費」に係る経常態容補正係数とする。
「その他の教育費」のうち人口を測定単位とするものに係る投資補正Ⅱ係数当該新市町村の特別支援学校の幼稚部の学級数、特別支援学校の小学部及び中学部の学級数並びに特別支援学校の高等部の学級数を当該特別支援学校の所在する合併関係市町村に分別して算定するものとする。
「社会福祉費」に係る普通態容補正係数Ⅱ当該新市町村の虐待相談対応件数を合併関係市町村の児童相談所の数により按分して算定するものとする。
「保健衛生費」に係る経常態容補正係数Ⅱ零とする。
「地域振興費」のうち人口を測定単位とするものに係る普通態容補正Ⅰ係数当該合併関係市町村のうち人口が最も多い団体の連携中枢都市圏人口を当該新市町村における連携中枢都市圏の圏域人口として総務大臣が調査した数とし、その他の合併関係市町村の連携中枢都市圏人口を零として算定するものとする。ただし、合併後に中核市又は特例市(地方自治法等の一部を改正する法律(平成二十六年法律第四十二号)による改正前の地方自治法第二百五十二条の二十六の三第一項の特例市をいう。以下同じ。)に指定された新市に係る合併関係市町村の「地域振興費」のうち人口を測定単位とするものに係る普通態容補正Ⅰ係数は、当該合併関係市町村のうち人口が最も多いものの連携中枢都市圏人口を当該新市町村における連携中枢都市圏の圏域人口として総務大臣が調査した数とし、その他の合併関係市町村の連携中枢都市圏人口を零として算定した率に、当該新市の基準財政需要額から当該新市の法令による行政権能等の差による地域区分が「都市計画費」、「生活保護費」、「社会福祉費」、「保健衛生費」、「高齢者保健福祉費」のうち六十五歳以上人口を測定単位とするもの、「その他の教育費」のうち人口を測定単位とするもの及び「地域振興費」のうち人口を測定単位とするものにあつてはその他の市町村、「保健衛生費」にあつては保健所設置市、「その他の土木費」にあつては建築主事設置市であるものとして算定した基準財政需要額を控除して得た額を当該新市に係る合併関係市町村ごとの人口で按分して得た当該合併関係市町村の額(当該合併関係市町村が施行時特例市であつた場合には、当該額から、当該合併関係市町村の基準財政需要額から当該合併関係市町村の法令による行政権能等の差による地域区分が「都市計画費」及び「地域振興費」のうち人口を測定単位とするものにあつてはその他の市町村であるものとし、かつ、「その他の土木費」にあつては建築主事設置市であるものとして算定した基準財政需要額を控除した額を控除して得た額)と当該合併関係市町村の段階補正係数及びこの号の規定の適用がないものとした場合における普通態容補正Ⅰ係数を乗じ、その率(小数点以下三位未満の端数があるときは、その端数を四捨五入する。)に〇・七九五三を乗じ、その率(小数点以下三位未満の端数があるときは、その端数を四捨五入する。)に測定単位を乗じて得た数(整数未満の端数があるときは、その端数を四捨五入する。)に単位費用を乗じて得た額との合算額を、単位費用で除し、その商(整数未満の端数があるときは、その端数を四捨五入する。)を測定単位で除し、その商(小数点以下三位未満の端数があるときは、その端数を四捨五入する。)を〇・七九五三で除して得た数(小数点以下三位未満の端数があるときは、その端数を四捨五入する。)を、段階補正係数で除して得た率(小数点以下三位未満の端数があるときは、その端数を四捨五入する。)を加えた率とする。
「地域振興費」のうち人口を測定単位とするものに係る普通態容補正Ⅲ係数当該合併関係市町村ごとの島しよ人口を用いて算定するものとする。
「地域振興費」のうち人口を測定単位とするものに係る経常態容補正係数零とする。
「地域振興費」のうち人口を測定単位とするものに係る投資補正係数合併前年度において事業所税を課するものとされていた合併関係市町村の人口が三十万人未満の場合(新市町村の人口が三十万人以上の場合に限る。)又は合併前年度において事業所税を課することができないものとされていた合併関係市町村の人口が三十万人以上の場合においては、当該合併関係市町村に係る第十二条第三項の表市町村の項第三号算式の符号b中「人口」とあるのは「合併前年度における合併関係市町村の人口」と読み替えるものとする。
「地域振興費」のうち面積を測定単位とするものに係る投資補正係数当該新市町村の可住地面積を算定前年度の算定に用いた合併関係村ごとの当該数値によつて按分し、当該新市町村の人口集中地区面積を第十二条第三項の表市町村の項第三号の規定に準じて合併関係市町村ごとに分別又は按分して算定するものとする。
「消防費」、「道路橋りよう費」のうち道路の延長を測定単位とするもの、「港湾費」のうち港湾における外郭施設の延長を測定単位とするもの及び漁港における外郭施設の延長を測定単位とするもの、「都市計画費」、「公園費」のうち人口を測定単位とするもの、「下水道費」、「その他の土木費」、「小学校費」のうち学級数を測定単位とするもの、「中学校費」のうち学級数を測定単位とするもの、「高等学校費」のうち生徒数を測定単位とするもの、「社会福祉費」、「高齢者保健福祉費」のうち六十五歳以上人口を測定単位とするもの、「清掃費」、「農業行政費」、「林野水産行政費」並びに「地域振興費」に係る事業費補正係数当該新市町村の事業費補正係数を算定するための基礎として用いた額を次の1、2、3及び4に定める規定に基づき合併関係市町村ごとに分別又は按分して第十二条第五項の規定に準じて算定するものとする。この場合において、「道路橋りよう費」のうち道路の延長を測定単位とするもの、「その他の土木費」、「農業行政費」、「林野水産行政費」及び「地域振興費」における同項の表市町村の項の算式の符号中αについては、当該新市町村(ただし、二回以上合併を行つた場合においては、直近の合併に係る当該新市町村)に係る率をそれぞれ用いることとする。1 「下水道費」に係る事業費補正係数を算定するための基礎として用いた額(公共下水道、流域下水道、特定公共下水道及び特定環境保全公共下水道の整備事業に係るものに限る。ただし、公共下水道等における処理場、ポンプ場及び管路施設の供用開始後二十五年を経過したものに係る事業で、下水道の処理量の増大又は放流水の水質の改善に資さない事業(以下この号において「更新事業」という。)は除く。)のうち、合併した日の属する年度の前年度までに合併関係市町村が同意を得た当該地方債に係るもの又は負担したもの若しくは合併前に当該合併関係市町村が許可を得た当該地方債に係るもの若しくは負担したものにあつては当該合併関係市町村に属するものとし、合併した日の属する年度の以後の年度に当該合併関係市町村又は当該新市町村が同意を得た当該地方債に係るもの若しくは負担したもの若しくは合併後に当該新市町村が許可を得た当該地方債に係るもの若しくは負担したものにあつては当該額を算定前年度の環境基本法(平成五年法律第九十一号)第十七条の規定により公害防止計画が策定された地域に含まれる合併関係市町村以外の合併関係市町村の基準財政需要額のうち投資的経費(ただし、平成十九年四月二日以降に合併した団体にあつては、事業費補正による増加需要額)に係る額によつて按分するものとする。ただし、指定団体にあつては、事業施行区域によつて分別(ただし、事業施行区域が二以上の合併関係市町村にまたがる場合その他の場合においては、算定前年度の当該合併関係市町村の基準財政需要額のうち投資的経費(ただし、平成十九年四月二日以降に合併した団体にあつては、事業費補正による増加需要額)に係る額によつて按分)するものとする。2 「下水道費」に係る事業費補正係数を算定するための基礎として用いた額(下水道事業債特別措置分発行可能額に係るものに限る。)のうち、合併した日の前日の属する年度以前の年度の下水道事業債特別措置分発行可能額にあつては当該合併関係市町村に属するものとし、合併した日の前日の属する年度の次年度以後の年度の下水道事業債特別措置分発行可能額にあつては合併関係市町村の平成十八年度の算定における「下水道費」の事業費補正係数を算定するための基礎とした額のうち公共下水道及び流域下水道の整備事業に係る経費又は都道府県が行うこれらの事業に対する法令に基づく負担金に充てるため昭和三十四年度以降に発行を許可された地方債の元利償還金に相当する額によつて按分するものとする。3 「高齢者保健福祉費」のうち六十五歳以上人口を測定単位とするものに係る事業費補正係数を算定するための基礎として用いた額のうち、合併した日の属する年度の前年度までに合併関係市町村が同意を得た当該地方債に係るもの又は負担したものにあつては当該合併関係市町村に属するものとし、合併した日の属する年度の以後の年度に当該合併関係市町村又は当該新市町村が同意を得た当該地方債に係るもの又は負担したものにあつては当該合併関係市町村のうち合併前において指定都市又は中核市に属する(ただし、合併関係市町村に指定都市及び中核市を含まない場合は、当該額を算定前年度の合併関係市町村の基準財政需要額のうち投資的経費(ただし、平成十九年四月二日以降に合併した団体にあつては、事業費補正による増加需要額)に係る額によつて按分する)ものとする。4 「下水道費」に係る事業費補正係数を算定するための基礎として用いた額(公共下水道、流域下水道、特定公共下水道及び特定環境保全公共下水道の整備事業に係るもの並びに下水道事業債特別措置分発行可能額に係るものを除く。ただし、更新事業は含む。)並びに「下水道費」及び「高齢者保健福祉費」のうち六十五歳以上人口を測定単位とするもの以外の経費の種類に係る事業費補正係数を算定するための基礎として用いた額のうち、合併した日の属する年度の前年度までに合併関係市町村が同意を得た当該地方債に係るもの又は負担したもの若しくは合併前に当該合併関係市町村が許可を得た当該地方債に係るもの若しくは負担したものにあつては当該合併関係市町村に属するものとし、合併した日の属する年度の以後の年度に当該合併関係市町村又は当該新市町村が同意を得た当該地方債に係るもの若しくは負担したもの若しくは合併後に当該新市町村が許可を得た当該地方債に係るもの若しくは負担したものにあつては当該額を算定前年度の合併関係市町村の基準財政需要額のうち投資的経費(ただし、平成十九年四月二日以降に合併した団体にあつては、事業費補正による増加需要額)に係る額によつて按分(ただし、合併関係市町村の当該年度の測定単位が零である経費の種類に係るものについては、当該測定単位が零の合併関係市町村以外の合併関係市町村の算定前年度の投資的経費によつて按分)するものとする。ただし、指定団体にあつては、事業施行区域によつて分別(ただし、事業施行区域が二以上の合併関係市町村にまたがる場合その他の場合においては、算定前年度の当該合併関係市町村の基準財政需要額のうち投資的経費(ただし、平成十九年四月二日以降に合併した団体にあつては、事業費補正による増加需要額)に係る額によつて按分)するものとする。
五寒冷補正
法第十三条第四項第四号並びにこの省令第十三条第四項及び第五項の規定に準じて補正するものとする。
六数値急増補正
第十五条の規定に準じて補正するものとする。この場合において、六十五歳以上住民基本台帳登載人口、七十五歳以上住民基本台帳登載人口及び住民基本台帳登載人口は算定前年度の算定に用いた合併関係市町村ごとの当該数値によつてそれぞれ按分するものとする。
七数値急減補正
「小学校費」及び「中学校費」のうち学級数を測定単位とするもの及び学校数を測定単位とするものにあつては第十六条の規定に準じて補正するものとし、その他の経費にあつては当該新市町村の数値急減補正係数によるものとする。
八法第十三条第十一項の規定による補正
第十七条の規定によつて算定した当該新市町村に係る補正係数を用い、同条の規定に準じて補正するものとする。
九第一号、第三号、第四号及び第七号において、前項の規定により測定単位の数値として分別又は按分することとされるものにあつては、同項に定める方法により合併関係市町村ごとに分別又は按分して算定するものとする。
4前項の規定によつて測定単位の数値を補正する場合において、補正係数及び補正後の数値の算定方法については、第六条に定めるところによる。ただし、小学校若しくは中学校の学校数若しくは高等学校の教職員の補正後の数値に小数点以下二位未満の端数があるとき、又は小学校若しくは中学校の学級数の補正後の数値に小数点以下一位未満の端数があるときは、その端数を四捨五入する。
5法第十三条第八項の規定による市町村の区分で合併関係市町村に係るものは、次の各号に定めるところによる。
一行政の質及び量の差による種地に係る地域区分
第十一条第一項第一号に定めるところによる。この場合において、合併関係市町村の区域に係る人口、人口集中地区人口、経済構造の算定に用いる産業分類別就業者数、宅地平均価格指数の算定に用いる宅地の平均価格、宅地の評価総地積、商工住宅地区の宅地の平均価格及び全宅地の平均価格並びに昼間流入人口、合併関係市町村の市町村役場の所在地とⅠの地域の市町村の役場の所在地との最短距離並びに合併関係市町村の区域に係る昼間流出人口については次に定めるところによる。
(一)人口又は人口集中地区人口
第二項第一号の規定に準じて合併関係市町村の区域に分別した人口又は人口集中地区人口。ただし、平成十七年十月一日以前に合併を行つた場合においては、同日以前の合併に係る合併関係市町村の区域の人口又は人口集中地区人口は、令和二年十月一日現在において当該合併関係市町村の区域を包括していた市町村の同日現在における人口又は人口集中地区人口を合併関係市町村の区域に係る国勢調査令によつて調査した平成十二年十月一日現在における人口又は人口集中地区人口によつて按分したものとし、平成十七年十月二日から平成二十二年十月一日までに合併を行つた場合においては、当該期間内の合併に係る合併関係市町村の区域の人口又は人口集中地区人口は、令和二年十月一日現在において当該合併関係市町村の区域を包括していた市町村の同日現在における人口又は人口集中地区人口を合併関係市町村の区域に係る国勢調査令によつて調査した平成十七年十月一日現在における人口又は人口集中地区人口によつて按分したものとし、平成二十二年十月二日から平成二十七年十月一日までに合併を行つた場合においては、当該期間内の合併に係る合併関係市町村の区域の人口又は人口集中地区人口は、令和二年十月一日現在において当該合併関係市町村の区域を包括していた市町村の同日現在における人口又は人口集中地区人口を合併関係市町村の区域に係る国勢調査令によつて調査した平成二十二年十月一日現在における人口又は人口集中地区人口によつて按分したものとし、平成二十七年十月二日から令和二年十月一日までに合併を行つた場合においては、当該期間内の合併に係る合併関係市町村の区域の人口又は人口集中地区人口は、令和二年十月一日現在において当該合併関係市町村の区域を包括していた市町村の同日現在における人口又は人口集中地区人口を合併関係市町村の区域に係る国勢調査令によつて調査した平成二十七年十月一日現在における人口又は人口集中地区人口によつて按分したものとする。
(二)経済構造の算定に用いる産業分類別就業者数
合併関係市町村の区域に分別した産業分類別就業者数のうち第一次産業就業者数、第二次産業就業者数又は第三次産業就業者数(以下この号において「第一次産業就業者数等」という。)。ただし、平成十七年十月一日以前に合併を行つた場合においては、同日以前の合併に係る合併関係市町村の区域の第一次産業就業者数等は、令和二年十月一日現在において当該合併関係市町村の区域を包括していた市町村の同日現在における第一次産業就業者数等を合併関係市町村の区域に係る国勢調査令によつて調査した平成十二年十月一日現在における第一次産業就業者数等によつてそれぞれ按分したものとし、平成十七年十月二日から平成二十二年十月一日までに合併を行つた場合においては、当該期間内の合併に係る合併関係市町村の区域の第一次産業就業者数等は、令和二年十月一日現在において当該合併関係市町村の区域を包括していた市町村の同日現在における第一次産業就業者数等を合併関係市町村の区域に係る国勢調査令によつて調査した平成十七年十月一日現在における第一次産業就業者数等によつてそれぞれ按分したものとし、平成二十二年十月二日から平成二十七年十月一日までに合併を行つた場合においては、当該期間内の合併に係る合併関係市町村の区域の第一次産業就業者数等は、令和二年十月一日現在において当該合併関係市町村の区域を包括していた市町村の同日現在における第一次産業就業者数等を合併関係市町村の区域に係る国勢調査令によつて調査した平成二十二年十月一日現在における第一次産業就業者数等によつてそれぞれ按分したものとし、平成二十七年十月二日から令和二年十月一日までに合併を行つた場合においては、当該期間内の合併に係る合併関係市町村の区域の第一次産業就業者数等は、令和二年十月一日現在において当該合併関係市町村の区域を包括していた市町村の同日現在における第一次産業就業者数等を合併関係市町村の区域に係る国勢調査令によつて調査した平成二十七年十月一日現在における第一次産業就業者数等によつてそれぞれ按分したものとする。
(三)宅地平均価格指数の算定に用いる商工住宅地区の宅地の平均価格及び全宅地の平均価格
次の(1)及び(2)に定めるところによる。
(1)商工住宅地区の宅地の平均価格
合併関係市町村の商工住宅地区の宅地の平均価格。ただし、平成十九年一月一日以前に合併を行つた場合においては、同日以前の合併に係る合併関係市町村の商工住宅地区の宅地の平均価格は、令和四年一月一日現在において当該合併関係市町村の区域を包括していた市町村の令和四年度調書に記載されている商業地区、工業地区及び住宅地区の宅地の決定価格を合併関係市町村の平成九年度調書に記載されているこれらの地区の宅地の決定価格によつて按分し、当該按分した数の合計数を令和四年一月一日現在において当該合併関係市町村の区域を包括していた市町村の令和四年度調書に記載されている商業地区、工業地区及び住宅地区の地積を合併関係市町村の平成九年度調書に記載されているこれらの地区の地積によつて按分した数の合計数で除して得た数とし、平成十九年一月二日から平成二十四年一月一日までに合併を行つた場合においては、当該期間内の合併に係る合併関係市町村の商工住宅地区の宅地の平均価格は、令和四年一月一日現在において当該合併関係市町村の区域を包括していた市町村の令和四年度調書に記載されている商業地区、工業地区及び住宅地区の宅地の決定価格を合併関係市町村の平成十九年度調書に記載されているこれらの地区の宅地の決定価格によつて按分し、当該按分した数の合計数を令和四年一月一日現在において当該合併関係市町村の区域を包括していた市町村の令和四年度調書に記載されている商業地区、工業地区及び住宅地区の地積を合併関係市町村の平成十九年度調書に記載されているこれらの地区の地積によつて按分した数の合計数で除して得た数とし、平成二十四年一月二日から平成二十九年一月一日までに合併を行つた場合においては、当該期間内の合併に係る合併関係市町村の商工住宅地区の宅地の平均価格は、令和四年一月一日現在において当該合併関係市町村の区域を包括していた市町村の令和四年度調書に記載されている商業地区、工業地区及び住宅地区の宅地の決定価格を合併関係市町村の平成二十四年度調書に記載されているこれらの地区の宅地の決定価格によつて按分し、当該按分した数の合計数を令和四年一月一日現在において当該合併関係市町村の区域を包括していた市町村の令和四年度調書に記載されている商業地区、工業地区及び住宅地区の地積を合併関係市町村の平成二十四年度調書に記載されているこれらの地区の地積によつて按分した数の合計数で除して得た数とし、平成二十九年一月二日から令和四年一月一日までに合併を行つた場合においては、当該期間内の合併に係る合併関係市町村の商工住宅地区の宅地の平均価格は、令和四年一月一日現在において当該合併関係市町村の区域を包括していた市町村の令和四年度調書に記載されている商業地区、工業地区及び住宅地区の宅地の決定価格を合併関係市町村の平成二十九年度調書に記載されているこれらの地区の宅地の決定価格によつて按分し、当該按分した数の合計数を令和四年一月一日現在において当該合併関係市町村の区域を包括していた市町村の令和四年度調書に記載されている商業地区、工業地区及び住宅地区の地積を合併関係市町村の平成二十九年度調書に記載されているこれらの地区の地積によつて按分した数の合計数で除して得た数とする。
(2)全宅地の平均価格
合併関係市町村の全宅地の平均価格。ただし、平成十九年一月一日以前に合併を行つた場合においては、同日以前の合併に係る合併関係市町村の全宅地の平均価格は、令和四年一月一日現在において当該合併関係市町村の区域を包括していた市町村の令和四年度調書に記載されている宅地の決定価格の総額を合併関係市町村の平成九年度調書に記載されている宅地の決定価格の総額で按分し、当該按分した額を令和四年一月一日現在において当該合併関係市町村の区域を包括していた市町村の令和四年度調書に記載されている宅地の総地積を合併関係市町村の平成九年度調書に記載されている宅地の総地積で按分したもので除して得た数とし、平成十九年一月二日から平成二十四年一月一日までの間に合併を行つた場合においては、当該期間内の合併に係る合併関係市町村の全宅地の平均価格は、令和四年一月一日現在において当該合併関係市町村の区域を包括していた市町村の令和四年度調書に記載されている宅地の決定価格の総額を合併関係市町村の平成十九年度調書に記載されている宅地の決定価格の総額で按分し、当該按分した額を令和四年一月一日現在において当該合併関係市町村の区域を包括していた市町村の令和四年度調書に記載されている宅地の総地積を合併関係市町村の平成十九年度調書に記載されている宅地の総地積で按分したもので除して得た数とし、平成二十四年一月二日から平成二十九年一月一日までの間に合併を行つた場合においては、当該期間内の合併に係る合併関係市町村の全宅地の平均価格は、令和四年一月一日現在において当該合併関係市町村の区域を包括していた市町村の令和四年度調書に記載されている宅地の決定価格の総額を合併関係市町村の平成二十四年度調書に記載されている宅地の決定価格の総額で按分し、当該按分した額を令和四年一月一日現在において当該合併関係市町村の区域を包括していた市町村の令和四年度調書に記載されている宅地の総地積を合併関係市町村の平成二十四年度調書に記載されている宅地の総地積で按分したもので除して得た数とし、平成二十九年一月二日から令和四年一月一日までに合併を行つた場合においては、当該期間内の合併に係る合併関係市町村の全宅地の平均価格は、令和四年一月一日現在において当該合併関係市町村の区域を包括していた市町村の令和四年度調書に記載されている宅地の決定価格の総額を合併関係市町村の平成二十九年度調書に記載されている宅地の決定価格の総額で按分し、当該按分した額を令和四年一月一日現在において当該合併関係市町村の区域を包括していた市町村の令和四年度調書に記載されている宅地の総地積を合併関係市町村の平成二十九年度調書に記載されている宅地の総地積で按分したもので除して得た数とする。
(四)昼間流入人口
合併関係市町村の区域ごとの昼間流入人口。ただし、平成十七年十月一日以前に合併を行つた場合においては、同日以前の合併に係る合併関係市町村については、国勢調査令によつて調査され、平成十二年国勢調査報告に掲げられた当該合併関係市町村に係る昼間流入人口によることとし、平成十七年十月二日から平成二十二年十月一日までの間に合併を行つた場合においては、当該期間内の合併に係る合併関係市町村については、国勢調査令によつて調査され、平成十七年国勢調査報告に掲げられた当該合併関係市町村に係る昼間流入人口によることとし、平成二十二年十月二日から平成二十七年十月一日までの間に合併を行つた場合においては、当該期間内の合併に係る合併関係市町村については、国勢調査令によつて調査され、平成二十二年国勢調査報告に掲げられた当該合併関係市町村に係る昼間流入人口によることとし、平成二十七年十月二日から令和二年十月一日までの間に合併を行つた場合においては、当該期間内の合併に係る合併関係市町村については、国勢調査令によつて調査され、平成二十七年国勢調査報告に掲げられた当該合併関係市町村に係る昼間流入人口によることとする。
(五)市町村役場の所在地とⅠの地域の市町村の役場の所在地との最短距離
合併前の当該合併関係市町村の役場の所在地とⅠの地域の市町村役場の所在地との最短距離
(六)昼間流出人口
合併関係市町村の区域ごとの昼間流出人口。ただし、平成十七年十月一日以前に合併を行つた場合においては、同日以前の合併に係る合併関係市町村については、国勢調査令によつて調査され、平成十二年国勢調査報告に掲げられた当該合併関係市町村に係る昼間流出人口によることとし、平成十七年十月二日から平成二十二年十月一日までの間に合併を行つた場合においては、当該期間内の合併に係る合併関係市町村については、国勢調査令によつて調査され、平成十七年国勢調査報告に掲げられた当該合併関係市町村に係る昼間流出人口によることとし、平成二十二年十月二日から平成二十七年十月一日までの間に合併を行つた場合においては、当該期間内の合併に係る合併関係市町村については、国勢調査令によつて調査され、平成二十二年国勢調査報告に掲げられた当該合併関係市町村に係る昼間流出人口によることとし、平成二十七年十月二日から令和二年十月一日までの間に合併を行つた場合においては、当該期間内の合併に係る合併関係市町村については、国勢調査令によつて調査され、平成二十七年国勢調査報告に掲げられた当該合併関係市町村に係る昼間流出人口によることとする
二農業行政の質及び量の差による級地に係る地域区分
第十一条第一項第二号に定めるところによる。この場合において、合併関係市町村の区域に係る農業就業者数比率の算定に用いる令和二年産業分類別就業者数並びに耕地比率の算定に用いる田畑の面積、牧場の面積及び宅地の面積については、次に定めるところによる。
(一)農業就業者数比率の算定に用いる令和二年産業分類別就業者数
合併関係市町村の区域に分別した令和二年産業分類別就業者数のうち、A農業、林業のうち農業に係る就業者数(以下この号において「農業就業者数」という。)及び産業分類別就業者数の総数。ただし、平成十七年十月一日以前に合併を行つた場合においては、同日以前の合併に係る合併関係市町村の農業就業者数又は産業分類別就業者数の総数は、令和二年十月一日現在において当該合併関係市町村の区域を包括していた市町村の同日現在における農業就業者数又は産業分類別就業者数の総数を合併関係市町村の区域に係る平成十二年産業分類別就業者数のうち農業就業者数又は産業分類別就業者数の総数によつてそれぞれ按分したものとし、平成十七年十月二日から平成二十二年十月一日までの間に合併を行つた場合においては、当該期間内の合併に係る合併関係市町村の農業就業者数又は産業分類別就業者数の総数は、令和二年十月一日現在において当該合併関係市町村の区域を包括していた市町村の同日現在における農業就業者数又は産業分類別就業者数の総数を合併関係市町村の区域に係る平成十七年産業分類別就業者数のうち農業就業者数又は産業分類別就業者数の総数によつてそれぞれ按分したものとし、平成二十二年十月二日から平成二十七年十月一日までの間に合併を行つた場合においては、当該期間内の合併に係る合併関係市町村の農業就業者数又は産業分類別就業者数の総数は、令和二年十月一日現在において当該合併関係市町村の区域を包括していた市町村の同日現在における農業就業者数又は産業分類別就業者数の総数を合併関係市町村の区域に係る平成二十二年産業分類別就業者数のうち農業就業者数又は産業分類別就業者数の総数によつてそれぞれ按分したものとし、平成二十七年十月二日から令和二年十月一日までの間に合併を行つた場合においては、当該期間内の合併に係る合併関係市町村の農業就業者数又は産業分類別就業者数の総数は、令和二年十月一日現在において当該合併関係市町村の区域を包括していた市町村の同日現在における農業就業者数又は産業分類別就業者数の総数を合併関係市町村の区域に係る平成二十七年産業分類別就業者数のうち農業就業者数又は産業分類別就業者数の総数によつてそれぞれ按分したものとする。
(二)耕地比率の算定に用いる田畑の面積、牧場の面積及び宅地の面積
合併関係市町村の区域に分別した令和二年度分の固定資産税に係る概要調書に記載されている田畑の面積、牧場の面積及び宅地の面積。ただし、平成十七年一月一日以前に合併を行つた場合においては、同日以前の合併に係る合併関係市町村の田畑の面積、牧場の面積又は宅地の面積は、令和二年一月一日現在において当該合併関係市町村の区域を包括していた市町村の令和二年度分の固定資産税に係る概要調書に記載されている田畑の面積、牧場の面積又は宅地の面積を合併関係市町村の平成十二年度分の固定資産税に係る概要調書に記載されている田畑の面積、牧場の面積又は宅地の面積によつてそれぞれ按分したものとし、平成十七年一月二日から平成二十二年一月一日までの間に合併を行つた場合においては、当該期間内の合併に係る合併関係市町村の田畑の面積、牧場の面積又は宅地の面積は、令和二年一月一日現在において当該合併関係市町村の区域を包括していた市町村の令和二年度分の固定資産税に係る概要調書に記載されている田畑の面積、牧場の面積又は宅地の面積を合併関係市町村の平成十七年度分の固定資産税に係る概要調書に記載されている田畑の面積、牧場の面積又は宅地の面積によつてそれぞれ按分したものとし、平成二十二年一月二日から平成二十七年一月一日までの間に合併を行つた場合においては、当該期間内の合併に係る合併関係市町村の田畑の面積、牧場の面積又は宅地の面積は、令和二年一月一日現在において当該合併関係市町村の区域を包括していた市町村の平成二十七年度分の固定資産税に係る概要調書に記載されている田畑の面積、牧場の面積又は宅地の面積を合併関係市町村の平成二十二年度分の固定資産税に係る概要調書に記載されている田畑の面積、牧場の面積又は宅地の面積によつてそれぞれ按分したものとし、平成二十七年一月二日から令和二年一月一日までの間に合併を行つた場合においては、当該期間内の合併に係る合併関係市町村の田畑の面積、牧場の面積又は宅地の面積は、令和二年一月一日現在において当該合併関係市町村の区域を包括していた市町村の令和二年度分の固定資産税に係る概要調書に記載されている田畑の面積、牧場の面積又は宅地の面積を合併関係市町村の平成二十七年度分の固定資産税に係る概要調書に記載されている田畑の面積、牧場の面積又は宅地の面積によつてそれぞれ按分したものとする。
三林野行政等の質及び量の差による級地に係る地域区分
第十一条第一項第三号に定めるところによる。この場合において、合併関係市町村の区域に係る林業等就業者数比率の算定に用いる令和二年産業分類別就業者数及び林野面積比率の算定に用いる林野面積については、次に定めるところによる。
(一)林業等就業者数比率の算定に用いる令和二年産業分類別就業者数
合併関係市町村の区域に分別した令和二年産業分類別就業者数のうちA農業、林業のうち林業及びB漁業の数の合計数(以下この号において「林業等就業者数」という。)並びに産業分類別就業者数の総数とする。ただし、平成十七年十月一日以前に合併を行つた場合においては、同日以前の合併に係る合併関係市町村の林業等就業者数又は産業分類別就業者数の総数は、令和二年十月一日現在において当該合併関係市町村の区域を包括していた市町村の同日現在における林業等就業者数又は産業分類別就業者数の総数を合併関係市町村の区域に係る平成十二年産業分類別就業者数のうち林業等就業者数又は産業分類別就業者数の総数によつてそれぞれ按分したものとし、平成十七年十月二日から平成二十二年十月一日までの間に合併を行つた場合においては、当該期間内の合併に係る合併関係市町村の林業等就業者数又は産業分類別就業者数の総数は、令和二年十月一日現在において当該合併関係市町村の区域を包括していた市町村の同日現在における林業等就業者数又は産業分類別就業者数の総数を合併関係市町村の区域に係る平成十七年産業分類別就業者数のうち林業等就業者数又は産業分類別就業者数の総数によつてそれぞれ按分したものとし、平成二十二年十月二日から平成二十七年十月一日までの間に合併を行つた場合においては、当該期間内の合併に係る合併関係市町村の林業等就業者数又は産業分類別就業者数の総数は、令和二年十月一日現在において当該合併関係市町村の区域を包括していた市町村の同日現在における林業等就業者数又は産業分類別就業者数の総数を合併関係市町村の区域に係る平成二十二年産業分類別就業者数のうち林業等就業者数又は産業分類別就業者数の総数によつてそれぞれ按分したものとし、平成二十七年十月二日から令和二年十月一日までの間に合併を行つた場合においては、当該期間内の合併に係る合併関係市町村の林業等就業者数又は産業分類別就業者数の総数は、令和二年十月一日現在において当該合併関係市町村の区域を包括していた市町村の同日現在における林業等就業者数又は産業分類別就業者数の総数を合併関係市町村の区域に係る平成二十七年産業分類別就業者数のうち林業等就業者数又は産業分類別就業者数の総数によつてそれぞれ按分したものとする。
(二)林野面積比率の算定に用いる林野面積
合併関係市町村の区域に分別した林野面積の総数とする。ただし、平成十七年二月一日(沖縄県にあつては、平成十六年十二月一日)以前に合併を行つた場合における林野面積の総数は、令和二年二月一日現在において当該合併関係市町村の区域を包括していた市町村の同日現在における林野面積の総数を農林業センサス規則によつて調査した平成十二年八月一日現在における合併関係市町村の区域に係る林野面積の総数によつて按分し、平成十七年二月二日(沖縄県にあつては、平成十六年十二月二日)から平成二十二年二月一日までの間に合併を行つた場合における林野面積の総数は、令和二年二月一日現在において当該合併関係市町村の区域を包括していた市町村の同日現在における林野面積の総数を農林業センサス規則によつて調査した平成十七年二月一日現在における合併関係市町村の区域に係る林野面積の総数によつて按分したものとし、平成二十二年二月二日から平成二十七年二月一日までの間に合併を行つた場合における林野面積の総数は、令和二年二月一日現在において当該合併関係市町村の区域を包括していた市町村の同日現在における林野面積の総数を農林業センサス規則によつて調査した平成二十二年二月一日現在における合併関係市町村の区域に係る林野面積の総数によつて按分したものとし、平成二十七年二月二日から令和二年二月一日までの間に合併を行つた場合における林野面積の総数は、令和二年二月一日現在において当該合併関係市町村の区域を包括していた市町村の同日現在における林野面積の総数を農林業センサス規則によつて調査した平成二十七年二月一日現在における合併関係市町村の区域に係る林野面積の総数によつて按分したものとする。
(三)林野面積比率の算定に用いる面積
第二項第二号の規定により算出したものとする。
四行政の質及び量の差による隔遠地の級地に係る地域区分
第十一条第一項第四号(一)に掲げる新市町村について、当該新市町村の同号(二)による級地区分による。ただし、合併関係市町村のうち、算定前年度に同号(二)の規定により算定した点数の合計数が、当該新市町村における当該合計数を超える場合においては、算定前年度の級地区分とする。
五行政権能等の差による地域区分
第十一条第一項第五号に定めるところによる。この場合において、「都市計画費」にあつては当該新市町村が当該年度の四月一日現在において指定都市、中核市又は施行時特例市であるときは合併前において指定都市、中核市、特例市又は施行時特例市以外の市町村であつた合併関係市町村については指定都市、中核市又は施行時特例市以外の市町村の区分に応ずる係数によるものとし、「その他の土木費」にあつては当該新市町村が当該年度の四月一日現在において、指定都市、中核市、施行時特例市又は建築主事設置市であるときは合併前において指定都市、中核市、特例市、施行時特例市又は建築主事設置市以外の市町村であつた合併関係市町村については建築主事設置市の区分に応ずる係数によるものとし、当該新市町村が当該年度の四月一日現在において限定特定行政庁設置市町村であるときは合併前において限定特定行政庁設置市町村以外の市町村であつた合併関係市町村については限定特定行政庁設置市町村の区分に応ずる係数によるものとし、「その他の教育費」のうち人口を測定単位とするものにあつては当該新市町村が当該年度の四月一日現在において指定都市又は中核市であるときは合併前において指定都市又は中核市以外の市町村であつた合併関係市町村については指定都市又は中核市以外の市町村の区分に応ずる係数によるものとし、「生活保護費」にあつては当該新市町村(町村については、福祉事務所設置町村に限る。)が当該年度の四月一日現在において指定都市又は中核市であるときは合併前において指定都市又は中核市以外の市町村であつた合併関係市町村については指定都市又は中核市以外の市町村の区分に応ずる係数によるものとし、「社会福祉費」にあつては当該新市町村が当該年度の四月一日現在において指定都市、児童相談所設置中核市、その他の中核市又は指定都市、児童相談所設置中核市若しくはその他の中核市以外の市(福祉事務所設置町村を含む。)であるときは合併前において指定都市、児童相談所設置中核市又はその他の中核市以外の市又は町村であつた合併関係市町村については指定都市、児童相談所設置中核市又はその他の中核市以外の市の区分に応ずる係数によるものとし、「保健衛生費」にあつては当該新市町村が当該年度の四月一日現在において指定都市、中核市又は保健所設置市であるときは合併前において指定都市、中核市又は保健所設置市以外の市町村であつた合併関係市町村については保健所設置市の区分に応ずる係数によるものとし、「高齢者保健福祉費」のうち六十五歳以上人口を測定単位とするものにあつては当該新市町村が当該年度の四月一日現在において指定都市又は中核市であるときは合併前において指定都市又は中核市以外の市町村であつた合併関係市町村については指定都市又は中核市以外の市町村の区分に応ずる係数によるものとし、「商工行政費」にあつては当該新市町村が当該年度の四月一日現在において中小企業支援市及び計量市であるときは合併前において中小企業支援市及び計量市以外の市町村であつた合併関係市町村については中小企業支援市及び計量市の区分に応ずる係数によるものとし、当該新市町村が当該年度の四月一日現在において計量市であるときは合併前において計量市以外の市町村であつた合併関係市町村については計量市の区分に応ずる係数によるものとする。
6寒冷補正に用いる地域区分のうち給与の差による地域区分は、当該新市町村に係る第十四条第一号に定めるところにより、寒冷の差又は積雪の差による地域区分は、当該新市町村に係る第十四条第二号に定めるところによるほか、当該合併関係市町村の合併前における地域区分(ただし、生活保護費に係る寒冷の差による地域区分を除く。)による。

(合併関係市町村に係る基準財政収入額の算定方法)

第五十条合併関係市町村に係る基準財政収入額は、次の各号に定めるところによつて算定した基準税額及び基準額の合算額とする。
一市町村民税の基準税額は、均等割に係る基準税額、所得割に係る基準税額及び法人税割に係る基準税額の合算額とする。
(一)均等割に係る基準税額は、地方税法第二百九十四条第一項第一号又は第二号に掲げる者に対するものにあつては、当該新市町村の納税義務者数を当該算定前年度の合併関係市町村の納税義務者数で按分した上で、第三十一条第二項第一号の規定に準じて算定し、地方税法第二百九十四条第一項第三号又は第四号に掲げる者に対するものにあつては、算定初年度においては、第三十一条第二項第二号の規定に準じて合併関係市町村の区域ごとに納税義務者数を調査分別して算定するものとし、算定初年度の次年度以降においては、当該新市町村の当該年度の基準税額の算定初年度に対する伸び率を合併関係市町村ごとの算定初年度の基準税額に乗じて算定するものとする。
(二)所得割に係る基準税額は、第三十一条第三項に定めるところによつて算定した当該新市町村の所得割に係る基準税額を、当該合併関係市町村の算定前年度の基準税額によつて按分した額とする。
(三)法人税割に係る基準税額は、第三十一条第四項に定めるところによつて算定した当該新市町村に係る基準税額を当該合併関係市町村の算定前年度の基準税額によつて按分した額とする。ただし、指定団体にあつては同項に定めるところによつて算定した当該新市町村に係る基準税額を同項の規定に準じて合併関係市町村の区域ごとに算定した調定額によつて按分した額とする。この場合において、二以上の合併関係市町村の区域にまたがつてその事務所又は事業所を有する法人に係るものの調定額は、地方税法第三百二十一条の十三及び第三百二十一条の十四の規定の例によつて算定するものとする。
二固定資産税の基準税額は、土地に係る基準税額、家屋に係る基準税額及び償却資産に係る基準税額の合算額とする。
(一)土地に係る基準税額は、第三十二条第二項に定めるところによつて算定した当該新市町村に係る基準税額を当該合併関係市町村の算定前年度の基準税額によつて按分した額とする。ただし、指定団体にあつては同項に定めるところによつて算定した当該新市町村に係る基準税額を合併関係市町村の区域ごとに調査した土地の地目ごとの固定資産税の当該年度分の課税標準額の合算によつて分別した額
(二)家屋に係る基準税額は、第三十二条第三項に定めるところによつて算定した当該新市町村に係る基準税額を当該合併関係市町村の算定前年度の基準税額によつて按分した額とする。ただし、指定団体にあつては同項に定めるところによつて算定した当該新市町村に係る基準税額を合併関係市町村の区域ごとに調査した当該年度分の家屋に係る固定資産税の課税標準額(同項の規定により当該年度分の固定資産税額が減額された住宅の所在する合併関係市町村については、当該減額された税額の合算額に七一・四三を乗じて得た額を控除する。)によつて分別した額とする。
(三)償却資産に係る基準税額は、第三十二条第四項に定めるところによつて算定した当該新市町村の基準税額を当該合併関係市町村の算定前年度の基準税額によつて按分した額とする。ただし、指定団体にあつては次に定める方法によつて算定した額の合算額とする。この場合において、合併前指定都市以外の市町村であつた合併関係市町村に所在する償却資産が大規模の償却資産であるときは、当該償却資産に係る課税標準額のうち大規模の償却資産に係る都道府県分の課税標準額に〇・〇一〇五を乗じて得た額を当該償却資産に係る次の(1)又は(2)によつて算定した基準税額から控除した額による。
(1)当該償却資産が合併関係市町村の区域のいずれかに所在する場合においては、当該償却資産に係る基準税額は、当該償却資産が所在する合併関係市町村に属するものとする。
(2)当該償却資産が二以上の合併関係市町村の区域にまたがつて所在する場合においては、地方税法第三百八十九条第一項の規定により道府県知事又は総務大臣が決定する固定資産の価格の配分に関する規則(昭和二十八年総理府令第九十一号)の規定に準じて当該償却資産に係る課税標準額を当該合併関係市町村に按分した額とする。
三軽自動車税の基準税額は、環境性能割に係る基準税額及び種別割に係る基準税額の合算額とする。
(一)環境性能割の基準税額は、第三十三条第二項に定めるところによつて算定した当該新市町村に係る基準税額を当該合併関係市町村の算定前年度の軽自動車税の基準税額によつて按分した額とする。
(二)種別割の基準税額は、第三十三条第三項に定めるところによつて算定した当該新市町村に係る基準税額を当該合併関係市町村の算定前年度の軽自動車税の基準税額によつて按分した額とする。
四市町村たばこ税の基準税額は、第三十四条に定めるところによつて算定した当該新市町村に係る基準税額を当該合併関係市町村の算定前年度の基準税額によつて按分した額とする。
五鉱産税の基準税額は、第三十五条に定めるところによつて算定した当該新市町村に係る基準税額を合併関係市町村の区域ごとに調査した鉱産税の前年度分の課税標準額によつて按分した額とする。
六特別土地保有税の基準税額は、第三十六条に定めるところによつて算定した当該新市町村に係る基準税額を、同条に定める算定方法に準じて算定した合併関係市町村ごとの基準税額で按分した額とする。
この場合において、当該土地、当該取得に係る土地又は当該遊休土地が二以上の合併関係市町村にまたがつて所在し、分別が不可能な場合には、合併関係市町村における当該土地、当該取得に係る土地又は当該遊休土地の面積によつて按分した額とする。
七事業所税の基準税額は、第三十七条に定めるところによつて算定した当該新市町村に係る基準税額を当該合併関係市町村の算定前年度の基準税額で按分した額とする。ただし、合併特例法第十条第一項又は合併新法第十六条第一項の規定に基づき課税免除又は不均一課税をしている場合は、第三十七条に定める算定方法に準じて算定した合併関係市町村ごとの基準税額で分別した額とする。不均一課税をしなくなつたときは、終了年度の次年度については合併関係市町村ごとに分別し、次々年度以降は当該年度の新市町村に係る基準税額を終了年度の次年度に算定した合併関係市町村ごとの基準税額で按分するものとする。この場合において、合併前地方税法第七百一条の三十一第一号イ及びロに規定する市並びに合併前同号ハに規定する市及びこれに準ずる市以外の市町村については、当該分別又は按分した額を零とする。
七の二利子割交付金の基準額は、第三十七条の二に定めるところによつて算定した当該新市町村に係る基準額を当該合併関係市町村の算定前年度の基準税額によつて按分した額とする。
七の三配当割交付金の基準額は、第三十七条の三に定めるところによつて算定した当該新市町村に係る基準額を当該合併関係市町村の算定前年度の基準額によつて按分した額とする。
七の四株式等譲渡所得割交付金の基準額は、第三十七条の四に定めるところによつて算定した当該新市町村に係る基準額を当該合併関係市町村の算定前年度の基準額によつて按分した額とする。
七の四の二法人事業税交付金の基準額は、第三十七条の四の二に定めるところによつて算定した当該新市町村に係る基準額を当該合併関係市町村の算定前年度の第三十一条第四項に定めるところによつて算定した基準税額によつて按分した額とする。ただし、指定団体にあつては第三十七条の四の二に定めるところによつて算定した当該新市町村に係る基準額を同項の規定に準じて合併関係市町村の区域ごとに算定した調定額によつて按分した額とする。この場合において、二以上の合併関係市町村の区域にまたがつてその事務所又は事業所を有する法人に係るものの調定額は、地方税法第三百二十一条の十三及び第三百二十一条の十四の規定の例によつて算定するものとする。
七の四の三地方消費税交付金の基準額は、第三十七条の四の三に定めるところによつて算定した当該新市町村に係る基準額のうち、地方消費税交付金基準額(従来分)を合併関係市町村ごとの算定前年度の基準額によつて按分した額と、地方消費税交付金基準額(引上げ分)を合併関係市町村ごとの人口によつて按分した額とを合算した額とする。
七の五ゴルフ場利用税交付金の基準額は、第三十七条の五に定めるところによつて算定した当該新市町村に係る基準額を同条の規定に準じて算定した合併関係市町村ごとの基準額によつて按分した額とする。
七の六削除
七の七軽油引取税交付金の基準額は、第三十八条に定めるところによつて算定した当該新市町村に係る基準額を合併関係市町村の区域内に存する一般国道及び都道府県道の面積によつて按分した額とする。
この場合における一般国道及び都道府県道の面積は、算定前年度の道路橋りよう費の算定に用いた道路の延長及び面積のうち、環境性能割交付金の計算に用いる種別に係るものとし、合併前指定都市以外の市町村であつた合併関係市町村については、当該按分した額を零とする。
七の八環境性能割交付金の基準額は、当該新市町村が指定都市である場合においては(一)及び(二)に定める額の合算額とし、当該新市町村が指定都市以外の市町村である場合においては(一)に定める額とする。
(一)第三十八条の二に定めるところによつて算定した当該新市町村に係る基準額のうち市町村道(地方税法第百七十七条の六第一項に規定する市町村道をいう。以下この号において同じ。)に係る額を市町村道の延長に係る額及び道路の面積に係る額に区分し、当該区分した額を合併関係市町村の区域内に存する市町村道の延長及び面積でそれぞれ按分した額の合算額。
この場合における市町村道の延長及び面積は、算定前年度の道路橋りよう費の算定に用いた道路の延長及び面積のうち、環境性能割交付金の計算に用いる種別に係るものとする。
(二)第三十八条の二に定めるところによつて算定した当該新市町村に係る基準額のうち一般国道等(地方税法第百七十七条の六第二項に規定する一般国道等をいう。以下この号において同じ。)に係る額を一般国道等の延長に係る額及び道路の面積に係る額に区分し、当該区分した額を合併関係市町村の区域内に存する一般国道等の延長及び面積でそれぞれ按分した額の合算額。
この場合における一般国道等の延長及び面積は、算定前年度の道路橋りよう費の算定に用いた道路の延長及び面積のうち、環境性能割交付金の計算に用いる種別に係るものとする。
八特別とん譲与税の基準税額は、第四十条によつて定めるところによつて算定した当該新市町村に係る基準税額を当該都道府県知事が定める率によつて按分した額とする。
九地方揮発油譲与税の基準税額は、当該新市町村が指定都市である場合においては(一)及び(二)に定める額の合算額とし、指定都市以外の市町村である場合においては(一)に定める額とする。
(一)第三十九条第一号に定めるところによつて算定した当該新市町村に係る額を道路の延長に係る額及び道路の面積に係る額に区分し、当該区分した額を合併関係市町村の区域内に存する市町村道の延長及び面積でそれぞれ按分した額の合算額。
この場合における市町村道の延長及び面積は、算定前年度の道路橋りよう費の算定に用いた道路の延長及び面積のうち、環境性能割交付金の計算に用いる種別に係るものとする。
(二)第三十九条第二号に定めるところによつて算定した当該新市町村に係る額を道路の延長に係る額及び道路の面積に係る額に区分し、当該区分した額を合併関係市町村の区域内に存する一般国道及び都道府県道の延長及び面積でそれぞれ按分した額の合算額。
この場合における一般国道及び都道府県道の延長及び面積は、算定前年度の道路橋りよう費の算定に用いた道路の延長及び面積のうち、環境性能割交付金の計算に用いる種別に係るものとし、合併前指定都市以外の市町村であつた合併関係市町村については、当該按分した額を零とする。
九の二石油ガス譲与税の基準税額は、第四十条の二に定めるところによつて算定した当該新市町村に係る基準税額を道路の延長に係る額及び道路の面積に係る額に区分し、当該区分した額を合併関係市町村の区域内に存する一般国道及び都道府県道の延長及び面積でそれぞれ按分した額の合算額とする。
この場合における一般国道及び都道府県道の延長及び面積は、算定前年度の道路橋りよう費の算定に用いた道路の延長及び面積のうち、環境性能割交付金の計算に用いる種別に係るものとし、合併前指定都市以外の市町村であつた合併関係市町村については、当該按分した額を零とする。
九の三自動車重量譲与税の基準税額は、第四十条の三に定めるところによつて算定した当該新市町村に係る基準税額を道路の延長に係る額及び道路の面積に係る額に区分し、当該区分した額を合併関係市町村の区域内に存する市町村道の延長及び面積によつてそれぞれ按分した額の合算額とする。
この場合における市町村道の延長及び面積は、算定前年度の道路橋りよう費の算定に用いた道路の延長及び面積のうち、自動車重量譲与税の計算に用いる種別に係るものとする。
九の四航空機燃料譲与税の基準税額は、第四十条の四に定めるところによつて算定した当該新市町村に係る基準税額を合併関係市町村の前条第二項第二十一号の規定によつて算定した世帯数によつて按分した額とする。
九の五森林環境譲与税の基準税額は、第四十条の五に定めるところによつて算定した当該新市町村に係る基準税額を当該合併関係市町村の前年度分の基準税額によつて按分した額とする。
十市町村交付金の基準額は、第四十一条に定めるところによつて算定した当該新市町村に係る市町村交付金の基準額を当該合併関係市町村の算定前年度の基準額で按分した額とする。ただし、指定団体にあつては、次の(1)及び(2)に定める方法によつて算定した額の合算額とする。この場合において、合併前において指定都市以外の市町村であつた合併関係市町村の区域に所在する償却資産が交付金法第五条又は第六条に規定する大規模の償却資産であるときは、当該償却資産に係る交付金算定標準額となるべき価格のうちこれらの規定によつて交付金算定標準額となるべき額を超える部分の額に〇・〇一〇五を乗じて得た額を当該償却資産に係る次の(1)又は(2)によつて算定した基準額から控除した額による。
(1)当該固定資産が合併関係市町村の区域のいずれかに所在する場合においては、当該固定資産に係る基準額は、当該固定資産が所在する合併関係市町村に属するものとする。
(2)当該固定資産が二以上の合併関係市町村の区域にまたがつて所在する場合においては、当該固定資産に係る基準額は、国有資産等所在市町村交付金法施行規則(昭和三十一年総理府令第三十一号)の規定に準じて当該固定資産の所在する合併関係市町村に按分した額とする。
2合併関係市町村の区域の全部又は一部につき課税免除等の特例規定又は法第十四条の二の規定が適用されることとされている場合においては、当該合併関係市町村に係る基準財政収入額は、前項の規定にかかわらず、同項の規定によつて算定した額から第一号の規定によつて算定した額を控除した額とする。
一課税免除等の特例規定及び法第十四条の二の規定(これらに基づく命令の規定を含む。)に定めるところにより算定した当該新市町村の減収額に係る額を前項第二号の規定に定めるところにより算定した合併関係市町村の基準税額によつて按分した額

第六章 雑則

第一節 廃置分合又は境界変更があつた場合の措置

(廃置分合又は境界変更があつた場合の普通交付税の額の算定)

第五十一条法第八条に定める期日(以下「交付税の算定期日」という。)後において地方団体の廃置分合又は境界変更があつた場合においては、法第九条第二号の規定によつて関係地方団体に対して交付すべき普通交付税の額は、次の各号に定めるところによる。
一廃置分合によつて一の地方団体の区域が分割された場合において、当該廃置分合の期日後において関係地方団体に対して交付すべき普通交付税の額は、当該廃置分合前の地方団体に対して当該期日後において交付すべきであつた普通交付税の額を、当該廃置分合により分割される区域を基礎とする独立の地方団体がそれぞれ当該年度の四月一日に存在したものと仮定した場合において、これらの地方団体に対して交付すべきであつた普通交付税の額に按分した額とする。
二境界変更によつて一の地方団体がその区域を減じた場合において、当該境界変更の期日後において当該地方団体に対して交付すべき普通交付税の額は、当該境界変更前の地方団体に対して当該期日後において交付すべきであつた普通交付税の額から、当該額を境界変更により減ずる区域及びその区域を除いた当該地方団体の区域のそれぞれを基礎とする独立の地方団体が当該年度の四月一日に存在したものと仮定した場合において、これらの地方団体に対して交付すべきであつた普通交付税の額に按分した額のうち、境界変更により減ずる区域に係る按分額を除いた額とし、新たにその区域が属することとなつた地方団体に対して当該期日後において交付すべき普通交付税の額は、当該期日後においてその地方団体に対して交付すべきであつた普通交付税の額に当該境界変更により減ずる区域に係る按分額を加えた額とする。

(廃置分合又は境界変更があつた場合の四月及び六月において交付する普通交付税の額の算定)

第五十二条交付税の算定期日以前一年以内に地方団体の廃置分合又は境界変更があつた場合における法第十六条第四項の規定による関係地方団体に係る前年度の普通交付税の額(以下本条中「普通交付税の額」という。)は、次の各号に定めるところによる。
一廃置分合により一の地方団体の区域の全部が他の地方団体の区域となつたときは、当該廃置分合前の関係地方団体に係る普通交付税の額の合算額をもつて、当該地方団体が新たに属することとなつた地方団体の普通交付税の額とする。
二廃置分合により一の地方団体の区域が分割された場合において、分割された区域に係る普通交付税の額は、当該廃置分合前の地方団体の普通交付税の額を、当該廃置分合により分割された区域を基礎とする独立の地方団体がそれぞれ当該年度の前年度の四月一日に存在したものと仮定した場合において、これらの地方団体に対して交付すべきであつた普通交付税の額に按分した額とする。
三境界変更により一の地方団体がその区域を減じた場合における当該地方団体の普通交付税の額は、当該境界変更前の地方団体に係る普通交付税の額から当該額を境界変更により減ずる区域及びその区域を除いた当該地方団体の区域のそれぞれを基礎とする独立の地方団体が当該年度の前年度の四月一日に存在したものと仮定した場合において、これらの地方団体に対して交付すべきであつた普通交付税の額に按分した額のうち、境界変更により減ずる区域に係る按分額を除いた額とし、新たにその区域が属することとなつた地方団体の普通交付税の額は、その地方団体に係る普通交付税の額に当該境界変更により減ずる区域に係る按分額を加えた額とする。
2前項の場合において、関係地方団体のうちに基準財政需要額が基準財政収入額に満たない団体があるときは、廃置分合又は境界変更後の地方団体に係る普通交付税の額は、前項に規定する方法に準じて算定した廃置分合又は境界変更に係る区域(以下「当該区域」という。)に係る基準財政需要額と当該区域が新たに属することとなる廃置分合又は境界変更前の地方団体に係る基準財政需要額との合算額又は当該区域が従前属していた地方団体に係る基準財政需要額から当該区域に係る基準財政需要額を控除した額を基準財政需要額とし、当該区域に係る基準財政収入額と当該区域が新たに属することとなる廃置分合又は境界変更前の地方団体に係る基準財政収入額との合算額又は当該区域が従前属していた地方団体に係る基準財政収入額から当該区域に係る基準財政収入額を控除した額を基準財政収入額として、法第十条第二項の規定を適用して算定した額とする。前項第二号又は第三号に規定する方法に準じて算定した当該区域に係る基準財政需要額が基準財政収入額に満たないこととなるときも同様とする。
3交付税の算定期日後当該年度の普通交付税が決定されるまでの間に地方団体の廃置分合又は境界変更があつた場合における普通交付税の交付については、前二項の規定の例による。

(廃置分合又は境界変更があつた場合の普通交付税の額の算定方法)

第五十三条前二条の場合において、当該年度又は当該年度の前年度の四月一日に存在したものと仮定した地方団体に対して交付すべきものとされる普通交付税の額は、法及び普通交付税に関する省令の当該年度分又は当該年度の前年度分の普通交付税の額の算定の方法によるものとする。この場合において、廃置分合により分割される区域若しくは境界変更に係る区域又はその区域を除いた当該地方団体の区域に係る基準財政需要額の算定に用いる法第十三条第四項、第十項及び第十一項(他の法律によりその例によるものとされる場合を含む。)の規定による補正係数は、当該廃置分合又は境界変更前の当該地方団体に係る係数とし、当該地方団体が、合併新法及び合併特例法(他の法律によりその例によるものとされる場合を含む。以下本項中同じ。)の規定による普通交付税の額の算定の特例の適用を受けるものである場合における廃置分合により分割される区域若しくは境界変更に係る区域又はその区域を除いた当該地方団体の区域に係る普通交付税の額は、普通交付税に関する省令中合併新法及び合併特例法の規定の適用を受ける合併市町村に係る当該年度分又は当該年度の前年度分の財源不足額の算定の特例について定める規定の例により算定するものとする。
2都道府県の境界変更があつた場合における第五十一条第二号及び第五十二条第一項第三号に規定する当該境界変更の区域に係る都道府県の普通交付税の額は、前項の規定にかかわらず、当該境界変更前の都道府県に係る当該年度又は当該年度の前年度の基準財政需要額を当該境界変更の区域に係る官報で公示された最近の国勢調査の結果による人口(以下この条において「人口」という。)と当該境界変更の区域に係る人口を除いた当該都道府県の人口とで按分し、当該按分した額をそれぞれ当該境界変更の区域及び当該境界変更の区域を除いた区域の基準財政需要額とし、これと同様の方法によつて按分した当該年度又は当該年度の前年度の基準財政収入額をそれぞれ当該境界変更の区域及び当該境界変更の区域を除いた区域の基準財政収入額として、算定するものとする。
3市町村の境界変更があつた場合における第五十一条第二号及び第五十二条第一項第三号に規定する当該境界変更の区域に係る市町村の普通交付税の額は、総務大臣が当該境界変更により減じる区域に係る人口が著しく少ないこと等特別の事情があると認めるときは、前項の規定に準じて算定する。

第二節 大規模な災害があつた場合の特例

(大規模な災害があつた場合の交付時期及び交付額の特例)

第五十四条大規模な災害により被害を受けた地域の地方団体に対しては、当該災害が発生した年度又はその翌年度において、当該年度において交付すべき当該団体に対する普通交付税の額(以下この項において「決定額」という。決定額が決定されていないときは前年度の当該地方団体に対する普通交付税の額に当該年度の交付税の総額の前年度の交付税の総額に対する割合を乗じて得た額を決定額とみなし、国の予算が成立しないこと等の事由があるときは総務大臣が定める額を決定額とみなす。)から既に当該団体に対して交付した額を控除した額の範囲内において繰上げ交付の措置を行うことができる。
2前項の規定による繰上げ交付を行う地方団体、繰上げ交付の時期及び繰上げ交付を行う額は、大規模な災害による特別の財政需要の額等を考慮して、総務大臣が定める。
3第一項の規定による繰上げ交付を行つた地方団体に対する当該繰上げ交付の時期以降の各交付時期における交付額は、当該繰上げ交付の時期以降の各交付時期における交付額(繰上げ交付を行つた額は除く。)から当該繰上げ交付を行つた額を順次控除した額とする。ただし、総務大臣が必要と認める交付時期における交付額からは控除しないことができる。

第三節 意見の聴取

(意見の聴取)

第五十五条普通交付税について法第二十条第一項の規定による意見の聴取を行なう場合には、法第十条第三項及び第四項並びに法第十八条及び法第十九条に規定する措置をしようとする事由並びに意見の聴取の期日及び場所を、法第二十条第二項の規定による意見の聴取を行なう場合には、意見の聴取の期日及び場所をそれぞれ期日の一週間前までに、文書によつて関係地方団体に通知するものとし、かつ、意見の聴取の期日及び場所を公示するものとする。
2法第二十条第一項及び第二項の規定による意見の聴取に際しては、関係地方団体は、当該意見の聴取に係る事案について意見を述べ、かつ、必要な証拠を提出することができる。
3法第二十条第一項及び第二項の規定による意見の聴取を行なう場合において、必要があると認めるときは、総務大臣は、地方財政に関し専門的知識を有する参考人の出頭を求め、その意見をきくことができる。

附 則

(施行期日等)

第一条この省令は、公布の日から施行し、この附則に特別の定めがある場合のほか、昭和三十七年度分の普通交付税から適用する。
2この省令による改正前の地方団体に対して交付すべき地方交付税のうち普通交付税の額の算定に関する省令の規定によつてした資料の提出、承認の申請及び承認その他の手続でこの省令に相当規定のあるものは、それぞれこの省令の規定によつてしたものとみなす。
第二条削除

(測定単位の数値の算定方法の特例)

第三条当分の間、第五条第一項の表第三号中「別表第二」とあるのは、「別表第二及び附則第二十三項」とし、「附則第二十五項」とあるのは、「附則第二十五項、第二十九項及び第三十一項」とする。
2当分の間、第五条第一項の規定によつて指定区間内の道路の延長を算定する場合においては、道路台帳に記載されている数値に代えて、前年の四月一日現在において道路橋りよう現況調書に記載されている数値によることができる。
3令和五年度に限り、第五条第一項の規定によつて一級河川の延長を算定する場合においては、河川現況台帳に記載されている河川の河岸の延長に代えて、河川法施行法(昭和三十九年法律第百六十八号)による廃止前の河川法(明治二十九年法律第七十一号)第二条第一項の規定によつて認定された際の告示に記載されている区間に係る当該延長又は昭和四十年四月一日以後に河川法第四条の規定により一級河川に指定された際の公示に記載されている区間に係る当該延長によることができる。
4当分の間、第五条第一項の規定によつて港湾(漁港を含む。)における係留施設の延長を算定する場合においては、二以上の地方団体が経費を負担する港湾又は漁港における係留施設の延長は、総務大臣が特に認める場合に限り、これらの数値を総務大臣が定める率によつて按分したものを関係地方団体に属する係留施設の延長とする。
5当分の間、第五条第一項の表第四十七号に規定する各年度において特別に起こすことができることとされた地方債の額は、当該額から総務大臣が修正すべきものと認めた額を控除した額とする。

(特別の地方債の償還費に係る数値の算定方法等)

第四条地方団体の長は、当該地方団体に係る次の各号に掲げる測定単位の数値の基礎となる事項を記載した台帳を備えておかなければならない。
一地域改善対策特定事業費、地域改善対策事業費又は同和対策事業費の財源に充てるため発行を許可された地方債に係る元利償還金
二過疎地域の持続的発展等のための事業費の財源に充てるため発行について同意又は許可を得た地方債に係る元利償還金
三公害防止事業費の財源に充てるため発行について同意又は許可を得た地方債に係る元利償還金
四石油コンビナート等特別防災区域に係る緑地等の設置のための事業費の財源に充てるため発行について同意又は許可を得た地方債に係る元利償還金
五地震対策緊急整備事業費の財源に充てるため発行について同意又は許可を得た地方債に係る元利償還金
六被災者生活再建支援法人に対する拠出の財源に充てるため発行について同意又は許可を得た地方債に係る元利償還金
七合併市町村の建設のための事業費の財源に充てるため発行について同意又は許可を得た地方債に係る元利償還金
八原子力発電施設等立地地域の振興のための事業費の財源に充てるため発行について同意又は許可を得た地方債に係る元利償還金
2法附則第五条第二項の規定による測定単位の数値は、次の表の上欄に掲げる経費の種類につき、それぞれ中欄に定める算定方法によつて、下欄に掲げる表示単位に基づいて算定する(五百円未満の端数があるときは、その端数金額を切り捨て、五百円以上千円未満の端数があるときは、その端数金額を千円とする。)。この場合において、組合が起こした次の表の中欄に掲げる地方債に係る元利償還金については、第五条第一項の表第四十号2の規定を準用する。
経費の種類測定単位の数値の算定方法表示単位
一 地域改善対策特定事業債等償還費地域改善対策特定事業費、地域改善対策事業費又は同和対策事業費の財源に充てるため発行を許可された地方債(当該年度の六月一日以降に借り入れたものを除く。)で地域改善対策特定事業に係る国の財政上の特別措置に関する法律(昭和六十二年法律第二十二号)第五条、旧地域改善対策特別措置法(昭和五十七年法律第十六号)第五条又は旧同和対策事業特別措置法(昭和四十四年法律第六十号)第十条の規定により総務大臣が指定したもの(以下「地域改善対策特定事業債等」という。)に係る当該年度における元利償還金千円
二 過疎対策事業債償還費過疎地域の持続的発展等のための事業費の財源に充てるため発行について同意又は許可を得た地方債(当該年度の六月一日以降に借り入れたものを除く。)で過疎地域持続的発展法第十四条第三項(過疎地域持続的発展法附則第五条において準用する場合並びに過疎地域持続的発展法附則第六条第一項及び第二項、第七条第一項及び第二項並びに第八条第一項及び第二項において過疎地域持続的発展法附則第五条の規定を適用する場合を含む。)の規定により総務大臣が指定したものに係る当該年度における元利償還金として総務大臣が調査したもの、旧過疎地域自立促進特別措置法第十二条第二項(同法附則第五条第二項において準用する場合を含む。)の規定により総務大臣が指定したもの又は旧過疎地域活性化特別措置法第十二条第二項(同法附則第十二項又は過疎地域自立促進特別措置法附則第十七条の規定による改正前の合併特例法第十二条において準用する場合を含む。)、旧過疎地域振興特別措置法(昭和五十五年法律第十九号)第十二条第二項(同法附則第七項において準用する場合を含む。)若しくは旧過疎地域対策緊急措置法(昭和四十五年法律第三十一号)第十一条第二項の規定により自治大臣が指定したもの(以下「過疎対策事業債」という。)に係る当該年度における元利償還金千円
三 公害防止事業債償還費公害防止事業費の財源に充てるため発行について同意又は許可を得た地方債(当該年度の六月一日以降に借り入れたものを除く。)で旧公害の防止に関する事業に係る国の財政上の特別措置に関する法律(昭和四十六年法律第七十号)第五条の規定により総務大臣が指定したもの(昭和六十二年度補正予算債、平成四年度補正予算債、平成五年度補正予算債、平成六年度補正予算債、平成七年度補正予算債、平成八年度補正予算債、平成九年度補正予算債、平成十年度補正予算債、平成十一年度において「平成十一年度国の公共事業等予備費の使用に係る地方債の取扱いについて(平成十一年九月二十九日付け自治地第百五十九号各都道府県総務部長及び各指定都市財政局長あて自治省財政局地方債課長通知)」及び「経済新生対策等に係る地方債の取扱いについて(平成十一年十二月十四日付け自治地第百九十号各都道府県総務部長及び各指定都市財政局長あて自治省財政局地方債課長通知)」に基づき発行を許可された地方債(以下「平成十一年度補正予算債」という。)、平成十二年度において「平成十二年度国の公共事業等予備費の使用に係る地方債の取扱い等について」(平成十二年七月二十五日付け自治地第百四十五号各都道府県総務部長及び各指定都市財政局長あて自治省財政局地方債課長通知)及び「平成十二年度国の補正予算等に係る地方債の取扱いについて」(平成十二年十二月一日付け自治地第二百十二号各都道府県総務部長及び各指定都市財政局長あて自治省財政局地方債課長通知)に基づき発行を許可された地方債(以下「平成十二年度補正予算債」という。)、平成十三年度補正予算債、平成十四年度補正予算債、平成十六年度補正予算債、平成十七年度補正予算債、平成十八年度補正予算債、平成十九年度補正予算債、平成二十年度補正予算債、平成二十一年度補正予算債、平成二十二年度補正予算債、平成二十三年度補正予算債、平成二十四年度補正予算債、平成二十五年度補正予算債、平成二十六年度補正予算債、平成二十七年度補正予算債、平成二十八年度補正予算債、平成二十九年度補正予算債、平成三十年度補正予算債、令和元年度補正予算債、令和二年度補正予算債、令和三年度補正予算債、義務教育諸学校施設費国庫負担法第三条第一項に規定する施設に係る経費に充てるため発行について同意又は許可を得た地方債、臨時財政特例債、財源対策債及び地方債計画に計上されない地方債を除く。以下「公害防止事業債」という。)に係る当該年度における元利償還金千円
四 石油コンビナート等特別防災区域に係る緑地等の設置のための地方債償還費石油コンビナート等特別防災区域に係る緑地等の設置のための事業費の財源に充てるため発行について同意又は許可を得た地方債(当該年度の六月一日以降に借り入れたものを除く。)で石油コンビナート等災害防止法第三十六条第二項の規定により総務大臣が指定したもの(地方債計画に計上されない地方債を除く。以下「石油コンビナート等地方債」という。)に係る当該年度における元利償還金千円
五 地震対策緊急整備事業債償還費地震対策緊急整備事業費の財源に充てるため発行について同意又は許可を得た地方債(当該年度の六月一日以降に借り入れたものを除く。)で地震防災対策強化地域における地震対策緊急整備事業に係る国の財政上の特別措置に関する法律(昭和五十五年法律第六十三号)第六条の規定により総務大臣が指定したもの(義務教育諸学校施設費国庫負担法第三条第一項に規定する施設に係る経費に充てるため発行について同意又は許可を得た地方債及び地方債計画に計上されない地方債を除く。以下「地震対策緊急整備事業債」という。)に係る当該年度における元利償還金千円
六 被災者生活再建支援法人への拠出のための地方債償還費被災者生活再建支援法(平成十年法律第六十六号)第六条第一項に基づき内閣総理大臣が指定した被災者生活再建支援法人に対する拠出の財源に充てるため発行について同意又は許可を得た地方債(当該年度の六月一日以降に借り入れたものを除く。)のうち総務大臣が指定したものに係る当該年度における元利償還金千円
七 合併特例債償還費合併市町村の建設のための事業費の財源に充てるため発行について同意又は許可を得た地方債(当該年度の六月一日以降に借り入れたものを除く。)で合併特例法第十一条の二第二項(同法附則第二条第二項の規定によりなおその効力を有するものとされる場合を含む。)の規定により総務大臣が指定したもの(以下「合併特例債」という。)に係る当該年度における元利償還金千円
八 原子力発電施設等立地地域の振興のための地方債償還費原子力発電施設等立地地域の振興のための事業費の財源に充てるため発行について同意又は許可を得た地方債(当該年度の六月一日以降に借り入れたものを除く。)で原子力発電施設等立地地域の振興に関する特別措置法第八条の規定により総務大臣が指定したもの(以下「原子力発電施設等立地地域振興事業債」という。)に係る当該年度における元利償還金千円
3新市町村で第四十八条の規定の適用を受けるものについては、前項の規定により算定された「地域改善対策特定事業債等償還費」、「地震対策緊急整備事業債償還費」及び「原子力発電施設等立地地域振興事業債償還費」の測定単位の数値を合併関係市町村に分別(ただし、事業施行区域が二以上の区域にまたがる場合その他の場合においては、当該事業施行区域を含む合併関係市町村の算定前年度の基準財政需要額のうち投資的経費(ただし、平成十九年四月二日以降に合併した団体にあつては、事業費補正による増加需要額)に係る額によつて按分)し、「過疎対策事業債償還費」の測定単位の数値を、合併した日の属する年度の前年度までに同意を得たもの又は合併前に許可を得たものは同意又は許可を得た合併関係市町村に分別し、合併した日の属する年度以後の年度に同意を得たもの又は合併後に許可を得たもので当該新市町村が「過疎地域」(過疎地域持続的発展法第二条第一項に規定する過疎地域及び旧過疎地域自立促進特別措置法第二条に規定する過疎地域をいう。)に該当する場合若しくはすべての合併関係市町村が「みなし過疎地域」(過疎地域持続的発展法第三条第一項及び第二項並びに旧過疎地域自立促進特別措置法第三十三条第二項に規定する地域をいう。)に該当する場合においては、当該全ての合併関係市町村の算定前年度の基準財政需要額のうち投資的経費(ただし、平成十九年四月二日以降に合併した団体にあつては、事業費補正による増加需要額)に係る額によつて按分し、又は一部の合併関係市町村のみがみなし過疎地域に該当する場合においては、当該みなし過疎地域に該当する合併関係市町村の算定前年度の基準財政需要額のうち投資的経費(ただし、平成十九年四月二日以降に合併した団体にあつては、事業費補正による増加需要額)に係る額によつて按分し、「公害防止事業債償還費」の測定単位の数値を、合併した日の属する年度の前年度までに同意を得たもの又は合併前に許可を得たものは同意又は許可を得た合併関係市町村に分別し、合併した日の属する年度以後の年度に同意を得たもの又は合併後に許可を得たものは、合併関係市町村の算定前年度の基準財政需要額のうち投資的経費(ただし、平成十九年四月二日以降に合併した団体にあつては、事業費補正による増加需要額)に係る額によつて按分(ただし、一部の合併関係市町村のみが公害防止区域(旧公害の防止に関する事業に係る国の財政上の特例措置に関する法律第二条第二項の公害防止計画が定められている区域のことをいう。)であるときは、当該公害防止区域となつている合併関係市町村の算定前年度の基準財政需要額のうち投資的経費(ただし、平成十九年四月二日以降に合併した団体にあつては、事業費補正による増加需要額)に係る額によつて按分)し、「合併特例債償還費」の測定単位の数値を、合併した日の属する年度の前年度までに同意を得たもの又は合併前に許可を得たものは同意又は許可を得た合併関係市町村に分別し、合併した日の属する年度以後の年度に同意を得たもの又は合併後に許可を得たものは、合併関係市町村の算定前年度の基準財政需要額のうち投資的経費(ただし、平成十九年四月二日以降に合併した団体にあつては、事業費補正による増加需要額)に係る額によつて按分するものとする。ただし、指定団体にあつては、過疎対策事業債償還費、公害防止事業債償還費及び合併特例債償還費の測定単位の数値を、事業施行区域により分別(ただし、二以上の区域にまたがる場合は、当該事業施行区域を含む合併関係市町村の算定前年度の基準財政需要額のうち投資的経費(ただし、平成十九年四月二日以降に合併した団体にあつては、事業費補正による増加需要額)に係る額によつて按分)するものとする。
第四条の二当分の間、市町村の「地域改善対策特定事業債等償還費」、「過疎対策事業債償還費」、「公害防止事業債償還費」、「石油コンビナート等地方債償還費」、「地震対策緊急整備事業債償還費」、「合併特例債償還費」又は「原子力発電施設等立地地域振興事業債償還費」のある場合における第四十九条第一項の規定の適用については、同項中「第五条」とあるのは「第五条及び附則第四条第二項」と、「次項」とあるのは「次項及び附則第四条第三項」とする。

(「消防費」の密度補正Ⅲ係数の算定方法の特例)

第五条令和五年度に限り、「消防費」の密度補正Ⅲ係数の算定については、第九条第一項の表市町村の項第一号「0.5」とあるのは「0.8」とする。

(市町村の「地域振興費」の普通態容補正Ⅰ係数の算定方法の特例)

第六条令和五年度に限り、特定非常災害の被害者の権利利益の保全等を図るための特別措置に関する法律(平成八年法律第八十五号)第二条第一項の特定非常災害として指定された令和二年七月豪雨に際し災害対策基本法等の一部を改正する法律(令和三年法律第三十号)第二条の規定による改正前の災害救助法(昭和二十二年法律第百十八号)が適用された同法第二条に規定する災害発生市町村のうち、一から人口を令和二年九月三十日現在の住民基本台帳登載人口で除して得た数(小数点以下三位未満の端数があるときは、その端数を四捨五入する。)を控除した数が〇・二三四を上回る市町村である熊本県球磨郡球磨村の「地域振興費」のうち人口を測定単位とするものに係る普通態容補正Ⅰ係数の算定については、第十条第二十項の規定により定める率に二・五九五を加算した率とする。

(普通態容補正の行政の質及び量の差による種地の特例)

第六条の二令和五年度に限り、市町村の行政の質及び量の差による種地に係る地域区分の基礎となる昼間流出人口比率に係る点数は、第十一条第一項第一号(二)(2)の規定にかかわらず、次の算式によつて算定した数(整数未満の端数があるときは、その端数を四捨五入する。)とする。
算式
算式の符号
A 普通交付税に関する省令の一部を改正する省令(令和5年総務省令第61号)による改正前の普通交付税に関する省令(以下この条において「令和5年改正前の省令」という。)第11条第1項第1号(二)(2)の規定により算定した令和4年度分の数と同一の数(ただし、令和4年4月2日以後に行われた合併に係る新市町村にあつては、当該市町村が令和4年4月1日以前に存在したものと仮定して令和5年改正前の省令第11条第1項第1号(二)(2)の規定の例により算定した令和4年度分の数に相当するものとして総務大臣が通知した数とする。)
B 第11条第1項第1号(二)(2)の規定により算定した数

(普通態容補正の行政の質及び量の差による隔遠地の級地に係る経過措置)

第六条の三当分の間、第十一条第一項第四号(一)に掲げる市町村について、普通交付税に関する省令の一部を改正する省令(平成二十年総務省令第八十九号)による改正前の普通交付税に関する省令第十一条第一項第四号(二)の規定により算定した点数の合計数が、第十一条第一項第四号(二)の規定により算定した点数の合計数を超える場合においては、平成十九年度の級地区分とする。
第七条及び第八条削除

(市町村の「地域振興費」の投資補正係数の算定方法の特例)

第九条令和五年度に限り、附則別表第三に掲げる市に係る「地域振興費」のうち人口を測定単位とするものの投資補正係数の算式の符号Bは、第十二条第三項の規定にかかわらず、次の算式によつて算定した率とする。
算式
a×b
算式の符号
a 人口
b 附則別表第三に定める率
第九条の二令和五年度に限り、附則別表第三の二に掲げる市に係る「地域振興費」のうち面積を測定単位とするものの投資補正係数は、第十二条第四項の規定により算出した率に、同表の「率」の欄の率を加えた率とする。
第九条の三及び第九条の四削除

(都道府県の「地域振興費」の投資補正係数の算定方法の特例)

第九条の五令和五年度に限り、都道府県の「地域振興費」の投資補正係数は、第十二条第三項の規定により算定した率に、次の算式によつて算定した率(特別の定めがある場合を除くほか、当該率又は当該率の算定の過程に小数点以下三位未満の端数があるときは、その端数を四捨五入する。)を加えた率とする。
算式
{(B×0.676×0.7+0.3)×5,108,000+(C×0.35+D×0.35+0.3)×228,000}/(A×0.543)
A×0.543に整数未満の端数があるときは、その端数を四捨五入し、B×0.676、B×0.676×0.7、C×0.35+D×0.35及び{(B×0.676×0.7+0.3)×5,108,000+(C×0.35+D×0.35+0.3)×228,000}/(A×0.543)に小数点以下3位未満の端数があるときは、その端数を四捨五入する。
算式の符号
A 測定単位の数値
B 次の算式によつて算定した率(小数点以下3位未満の端数があるときは、その端数を四捨五入し、当該数が3を超える場合には3とする。)
算式
{(α/β)×100}×(1/3.5)
{(α/β)×100}
に小数点以下1位未満の端数があるときは、その端数を四捨五入する。
算式の符号
α 内閣府が令和4年3月22日に公表した県民経済計算の「2.主要系列表」中「4.県民総生産(支出側)」に記載されている当該都道府県の「総固定資本形成」の「公的」の「一般政府」に係る額の平成22年度の額及び令和5年2月9日に公表した県民経済計算の「2.主要系列表」中「4.県民総生産(支出側)」に記載されている当該都道府県の「総固定資本形成」の「公的」の「一般政府」に係る額の平成23年度から令和元年度までのそれぞれの年度ごとの額の合算額
β 内閣府が令和4年3月22日に公表した県民経済計算の「2.主要系列表」中「4.県民総生産(支出側)」に記載されている当該都道府県の「県内総生産(支出側)」の平成22年度の額及び令和5年2月9日に公表した県民経済計算の「2.主要系列表」中「4.県民総生産(支出側)」に記載されている当該都道府県の「県内総生産(支出側)」の平成23年度から令和元年度までのそれぞれの年度ごとの額の合算額
C 次の算式によつて算定した数(小数点以下3位未満の端数があるときは、その端数を四捨五入し、当該数が3を超える場合には3とする。)
算式
(γ/3)×(1/313,686,000,000)
γ/3
に整数未満の端数があるときは、その端数を四捨五入する。
算式の符号
γ 内閣府が令和5年2月9日に公表した県民経済計算の「3.付表」に記載されている当該都道府県の「固定資本減耗」の「一般政府」に係る額の平成29年度から令和元年度までのそれぞれの年度ごとの額の合算額
D 当該都道府県の第5条第1項の表中二1の面積を8,042.00で除して得た数(小数点以下3位未満の端数があるときは、その端数を四捨五入し、当該数が3を超える場合には3とする。)

(寒冷補正係数の算定方法の特例)

第十条令和五年度に限り、別表第四(3)の区分欄に掲げる級地が、令和四年改正前の省令の区分欄に掲げる級地よりも下回る市町村(令和四年改正前の省令別表第四(3)の区分欄に掲げる級地が、普通交付税に関する省令の一部を改正する省令(令和四年総務省令第五十号)による改正により無級地となった市町村を含む。)の「道路橋りよう費」、「小学校費」のうち学級数を測定単位とするもの、「中学校費」のうち学級数を測定単位とするもの、「高等学校費」のうち生徒数を測定単位とするもの及び「地域振興費」のうち人口を測定単位とするものに係る積雪の差による寒冷補正率は、第十三条第四項の規定にかかわらず、次の算式により算定した率(小数点以下三位未満の端数があるときは、その端数を四捨五入する。)とする。
算式
A+(B-A)×0.8
B-Aが負数となるときは、(B-A)は0とする。
算式の符号
A 別表第4(3)に定める級地区分に応ずる別表第1に定める率
B 令和4年改正前の省令別表第4(3)に定める級地区分に応ずる別表第1に定める率

(交通安全対策特別交付金の基準額の算定方法等)

第十一条交通安全対策特別交付金の基準額は、道路交通法(昭和三十五年法律第百五号)附則第十八条の規定によつて当該地方団体に対して前年度の九月及び三月に交付された交通安全対策特別交付金の額の合算額(次条において「前年度交付額」という。)に一・一二七を乗じて得た額とする。
2合併関係市町村の基準財政収入額は、第五十条の規定により算定した額に前項の規定により算定した当該新市町村に係る交通安全対策特別交付金の基準額を当該合併関係市町村の合併に係る日の直前の交付時期において交付された交通安全対策特別交付金の額で按分した額を加算した額とする。
第十一条の二令和五年度に限り、令和四年四月二日から令和五年四月一日までの間に、道路法第十七条第二項(同法第十二条ただし書に係る部分を除く。)の規定により区域内に存する一般国道(同法第十三条第一項に規定する指定区間外の一般国道に限る。)又は都道府県道を新たに管理することとなつた指定都市以外の市、同法第十七条第三項の規定により区域内の都道府県道を新たに管理することとなつた町村及び当該市町村を包括する都道府県の交通安全対策特別交付金の基準額は、前条第一項の規定にかかわらず、前年度交付額に総務大臣が通知した率を乗じて得た額とする。

(分離課税所得割交付金の交付見込額等の算定方法)

第十二条法附則第七条に規定する指定都市を包括する道府県における分離課税所得割交付金の交付見込額として総務省令で定めるところにより算定した額は、当該指定都市について次項の規定によつて算定した額の合計額とする。
2法附則第七条に規定する指定都市における分離課税所得割交付金の収入見込額として総務省令で定めるところにより算定した額は、次の算式によつて算定した額とする。
算式
(A×1.037×0.667×1.014)/2
A×1.037、A×1.037×0.667、(A×1.037×0.667×1.014)及び(A×1.037×0.667×1.014)/2に整数未満の端数があるときは、その端数を四捨五入する。
算式の符号
A 市町村税課税状況調第20表の表側「令和3年度」のうち「7月」から「3月」まで及び「令和4年度」のうち「計」、表頭「税額(千円)」欄に係る当該指定都市の額の合計額
3合併関係市町村に係る前項の収入見込額は、同項の規定によつて算定した当該新市町村の収入見込額を第五十条第一項第一号(二)の規定に準じて按分するものとする。この場合において、合併前において指定都市以外の市町村であつた合併関係市町村については、当該按分した額を零とする。
第十二条の二削除

(道府県民税の所得割に係る基準財政収入額の算定方法の特例)

第十二条の三法附則第七条の二第一項第一号に規定する総務省令で定めるところにより算定した額は、次の算式により算定した額とする。
算式
{(79,400円×α)×A+B-C-D-E}×0.986-F+G
79,400円×αに円未満の端数があるときは、その端数を四捨五入し、(79,400円×α)×A及び{(79,400円×α)×A+B-C-D-E}×0.986に千円未満の端数があるときは、その端数を四捨五入する。
算式の符号
A 第18条第3項第1号の算式の符号Aに同じ。
B 第18条第3項第1号の算式の符号Bに同じ。
C 第18条第3項第1号の算式の符号Cに同じ。
D 第18条第3項第1号の算式の符号Dに同じ。
E 第18条第3項第1号の算式の符号Eに同じ。
F 第18条第3項第1号の算式の符号Fに同じ。
G 第18条第3項第1号の算式の符号Gに同じ。
α 第18条第3項第1号の算式の符号αに同じ。
2法附則第七条の二第一項第二号に規定する総務省令で定めるところにより算定した額は、次の算式により算定した額とする。
算式
{(79,400円×α)×A+(79,400円×α')×A'+(B+B')-(C+C')-(D+D')-(E+E')}×0.986-(F+F')+G
79,400円×α及び79,400円×α'に円未満の端数があるときは、その端数を四捨五入し、(79,400円×α)×A、(79,400円×α')×A'及び{(79,400円×α)×A+(79,400円×α')×A'+(B+B')-(C+C')-(D+D')-(E+E')}×0.986に千円未満の端数があるときは、その端数を四捨五入する。
算式の符号
A 第18条第3項第1号の算式の符号Aに同じ。
A' 市町村税課税状況調第12表の表側「道府県民税」の「合計」の表頭「納税義務者数」のうち「計」欄の当該都道府県内の各指定都市の数の合計数に次の算式によつて算定した率(小数点以下3位未満の端数があるときは、その端数を四捨五入する。)を乗じて得た数(整数未満の端数があるときは、その端数を四捨五入する。)
算式
a'/b
'
算式の符号
a' 当該都道府県内の各指定都市におけるその年の1月1日現在の20歳以上住民基本台帳登載人口の合計数
b' 当該都道府県内の各指定都市における前年の1月1日現在の20歳以上住民基本台帳登載人口の合計数
B 第18条第3項第1号の算式の符号Bに同じ。
B' 分離長期譲渡所得、分離短期譲渡所得、一般株式等に係る譲渡所得等、上場株式等に係る譲渡所得等、上場株式等の配当所得等及び先物取引に係る雑所得等に係る当該年度の当初調定に係る額として総務大臣が調査した当該都道府県内の各指定都市の額の合算額
C 第18条第3項第1号の算式の符号Cに同じ。
C' 次の算式によつて算定した額(整数未満の端数があるときは、その端数を四捨五入する。)
算式
(c'+d')×1.020
算式の符号
c' 市町村税課税状況調第12表の表側「道府県民税」のうち「合計」、表頭「税額控除額」のうち「配当控除」欄の当該都道府県内の各指定都市の額の合計額
d' 市町村税課税状況調第12表の表側「道府県民税」のうち「合計」、表頭「税額控除額」のうち「外国税額控除」欄の当該都道府県内の各指定都市の額の合計額
D 第18条第3項第1号の算式の符号Dに同じ。
D' 市町村税課税状況調第12表の表側「道府県民税」のうち「合計」、表頭「税額控除額」のうち「寄附金税額控除」欄の当該都道府県内の各指定都市の額の合計額から市町村税課税状況調第42表の表側「道府県民税」、表頭「条例で定めるものに対する寄附金」のうち「控除額(千円)」欄の当該都道府県内の各指定都市の額の合計額を控除した額に1.000を乗じて得た額の合算額(整数未満の端数があるときは、その端数を四捨五入する。)
E 第18条第3項第1号の算式の符号Eに同じ。
E' 市町村税課税状況調第12表の表側「道府県民税」のうち「合計」、表頭「税額控除額」のうち「調整控除額」欄の当該都道府県内の各指定都市の額の合計額に1.001を乗じて得た額(整数未満の端数があるときは、その端数を四捨五入する。)
F 第18条第3項第1号の算式の符号Fに同じ。
F' 地方税法附則第5条の4及び第5条の4の2の規定に基づく当該年度の5月末現在における道府県民税の住宅借入金等特別税額控除額として総務大臣が調査した当該都道府県内の各指定都市の額の合計額
G 第18条第3項第1号の算式の符号Gに同じ。
α 第18条第3項第1号の算式の符号αに同じ。
α' 別表第6のB欄に定める単位額補正率
3法附則第七条の二第一項第三号に規定する総務省令で定めるところにより算定した額は、次の算式により算定した額とする。
算式
{(A×1.005)-(B×1.008)}×α×0.986+(C×1.044)×α+(D+D')×0.986
A×1.005、B×1.008、{(A×1.005)-(B×1.008)}×α、{(A×1.005)-(B×1.008)}×α×0.986、C×1.044、(C×1.044)×α及び(D+D')×0.986に整数未満の端数があるときは、その端数を四捨五入する。
算式の符号
A 次の算式によつて算定した額
算式
(a×0.02)+[{(b+c)-7,000×(d+e)}×0.03+{(d+e)×140}]
a×0.02及び{(b+c)-7,000×(d+e)}×0.03に整数未満の端数があるときは、その端数を四捨五入する。
算式の符号
a 市町村税課税状況調第59表の表側「道府県民税」のうち「700万円以下の金額」、表頭「小計(A)」欄の当該都道府県内の市町村ごとの合算額
b 市町村税課税状況調第59表の表側「道府県民税」のうち「700万円を超え1,000万円以下」、表頭「小計(A)」欄の当該都道府県内の市町村ごとの合算額
c 市町村税課税状況調第59表の表側「道府県民税」のうち「1,000万円を超える金額」、表頭「小計(A)」欄の当該都道府県内の市町村ごとの合算額
d 市町村税課税状況調第12表の表側「道府県民税」のうち「700万円を超え1,000万円以下」、表頭「納税義務者数」のうち「計」欄の当該都道府県内の市町村ごとの合計数
e 市町村税課税状況調第12表の表側「道府県民税」のうち「1,000万円を超える金額」、表頭「納税義務者数」のうち「計」欄の当該都道府県内の市町村ごとの合計数
B 次の算式によつて算定した額
算式
{(f+f')×(2/3)}+[{(g+g')/0.12}×0.1]+[{(h+i)/0.4}/3]+j+(k+k')
{(f+f')×(2/3)}、(g+g')/0.12)、{(g+g')/0.12}×0.1、(h+i)/0.4及び{(h+i)/0.4}/3に整数未満の端数があるときは、その端数を四捨五入する。
算式の符号
f 第18条第3項第1号の算式の符号Cの算式の符号cに同じ。
f' 前項の算式の符号C'の算式の符号c'に同じ。
g 第18条第3項第1号の算式の符号Cの算式の符号dに同じ。
g' 前項の算式の符号C'の算式の符号d'に同じ。
h 第18条第3項第1号の算式の符号Cの算式の符号eに同じ。
i 第18条第3項第1号の算式の符号Cの算式の符号fに同じ。
j 第18条第3項第1号の算式の符号Dに同じ。
k 第18条第3項第1号の算式の符号Fに同じ。
k' 前項の算式の符号F'に同じ。
C 次の算式によつて算定した額
算式
l×m
算式の符号
l 次の算式によつて算定した額(整数未満の端数があるときは、その端数を四捨五入する。)
算式
l1≦7,000のとき l1×0.02
7,000<l1のとき (l1-7,000)×0.03+140
算式の符号
l1 l2を0.060で除して得た額(整数未満の端数があるときは、その端数を四捨五入する。)をl3で除して得た額(整数未満の端数があるときは、その端数を四捨五入する。)
l2 市町村税課税状況調第20表の表側「令和3年度」のうち「7月」から「3月」まで及び「令和4年度」のうち「計」、表頭「税額(千円)」欄の当該都道府県内の市町村ごとの額の合算額
l3 市町村税課税状況調第20表の表側「令和3年度」のうち「7月」から「3月」まで及び「令和4年度」のうち「計」、表頭「納税義務者数」欄の当該都道府県内の市町村ごとの数の合計数
m 符号l3に同じ。
D 第18条第3項第1号の算式の符号Bに同じ。
D' 前項の算式の符号B'に同じ。
α 次の算式によつて算定した率
算式
(n/o)×1.00071
n/oに小数点以下3位未満の端数があるときは、その端数を四捨五入する。
算式の符号
n 第18条第3項第1号の算式の符号Aの算式の符号aに同じ。
o 第18条第3項第1号の算式の符号Aの算式の符号bに同じ。

(地方消費税に係る基準財政収入額の算定方法の特例)

第十二条の四当分の間、法附則第七条の三第一項に規定する加算する額は、次の算式によつて算定した額とする。
算式
{(A×0.00733772)-(A×0.00366011)}×0.25+{(A×0.00428409)-(A×0.00209026)}×0.25
算式の符号
A 地方税法第72条の114第4項に規定する各都道府県ごとの消費に相当する額

(道府県民税の法人税割の基準税額の算定方法の特例)

第十三条令和五年度に限り、道府県民税の法人税割の基準税額は、第十八条第四項の規定にかかわらず、次の各号に定めるところによつて算定した額の合算額とする。
一当該年度に係る額
第十八条第四項第一号の規定の例により算定した額
二令和五年改正前の省令附則第十三条第一号の額の過大算定額又は過少算定額
前年度分過大過少額((一)に定める額から(二)に定める額を控除した額をいう。以下この条において同じ。)から前年度分過大過少額の三分の二に相当する額(千円未満の端数があるときは、その端数を切り捨てる。)を控除した額とする。
(一)次の算式によつて算定した額
算式
(A+B)×0.75+C
算式の符号
A 第18条第4項第2号算式の符号Cに同じ。
B 第18条第4項第2号算式の符号Dに同じ。
C 令和4年度減収補塡債のうち道府県民税の法人税割に係るものの額の100分の75に相当する額
(二)令和五年改正前の省令附則第十三条第一号の額
三令和五年改正前の省令附則第十三条第二号の規定の適用を受けた都道府県における同号に定める前年度分過大過少額から控除された額の二分の一に相当する額(千円未満の端数があるときは、その端数を切り捨てる。)を当該控除された額から控除して得た額
四令和五年改正前の省令附則第十三条第三号の規定の適用を受けた都道府県における同号により控除された額
五前年度以前の年度における法人税割の基準税額について総務大臣が修正すべきものと認めた額

(道府県民税の利子割の基準税額の算定方法の特例)

第十三条の二令和五年度に限り、道府県民税の利子割の基準税額は、第十八条第五項の規定にかかわらず、次の各号に定めるところによつて算定した額の合算額とする。ただし、当該合算額が負となる場合には当該額は零とする。
一当該年度に係る額
第十八条第五項第一号の規定の例により算定した額
二前年度における令和五年改正前の省令附則第十三条の二第一号の額の過大算定額又は過少算定額
次の算式によつて算定した額(以下この条において「前年度分過大過少額」という。)から前年度分過大過少額の三分の二に相当する額(千円未満の端数があるときは、その端数を四捨五入する。)を控除して得た額とする。
算式
{(A×0.05-B)×0.75-C×0.75+D}-E
算式の符号
A 第18条第5項第1号算式の符号Aに同じ。
B 第18条第5項第1号算式の符号Bに同じ。
C 第18条第5項第1号算式の符号Cに同じ。
D 令和4年度減収補塡債のうち道府県民税の利子割に係るものの額の100分の75に相当する額
E 令和5年改正前の省令附則第13条の2第1号の規定により算定した額
三令和五年改正前の省令附則第十三条の二第二号の規定の適用を受けた都道府県における同号に定める前年度分過大過少額から控除された額の二分の一に相当する額(千円未満の端数があるときは、その端数を四捨五入する。)を当該控除された額から控除して得た額
四令和五年改正前の省令附則第十三条の二第三号の規定の適用を受けた都道府県における同号の規定により控除された額
五前年度以前の年度における利子割の基準額について総務大臣が修正すべきものと認めた額

(法人事業税の基準税額の算定方法の特例)

第十四条令和五年度に限り、法人事業税の基準税額は、第十九条第三項の規定にかかわらず、次の各号に定めるところによつて算定した額の合算額とする。
一当該年度に係る額
第十九条第三項第一号の規定の例により算定した額
二前年度における令和五年改正前の省令附則第十四条第一号の額の過大算定額又は過少算定額
前年度分過大過少額((一)に定める額から(二)に定める額を控除した額をいう。以下この条において同じ。)から前年度分過大過少額の三分の二に相当する額(千円未満の端数があるときは、その端数を切り捨てる。)を控除した額とする。
(一)次の算式によつて算定した額
算式
(A+B+C+D+E+F-G)×0.75+H
算式の符号
A 第19条第3項第2号算式の符号Gに同じ。
B 第19条第3項第2号算式の符号Hに同じ。
C 第19条第3項第2号算式の符号Iに同じ。
D 第19条第3項第2号算式の符号Jに同じ。
E 第19条第3項第2号算式の符号Kに同じ。
F 第19条第3項第2号算式の符号Lに同じ。
G 第19条第3項第2号算式の符号Mに同じ。
H 令和4年度減収補塡債のうち法人事業税に係るものの額の100分の75に相当する額
(二)令和五年改正前の省令附則第十四条第一号の額
三令和五年改正前の省令附則第十四条第二号の規定の適用を受けた都道府県における同号に定める前年度分法人事業税過大過少額から控除された額の二分の一に相当する額(千円未満の端数があるときは、その端数を切り捨てる。)を当該控除された額から控除して得た額
四令和五年改正前の省令附則第十四条第三号の規定の適用を受けた都道府県における同号により控除された額
五前年度以前の年度における法人事業税の基準税額について総務大臣が修正すべきものと認めた額

(特別法人事業譲与税の基準税額の算定方法の特例)

第十四条の二令和五年度に限り、特別法人事業譲与税の基準税額は、第二十八条の三の規定にかかわらず、次の各号に定めるところによつて算定した額の合算額とする。
一当該年度に係る額
第二十八条の三の規定の例により算定した額
二前年度における令和五年改正前の省令附則第十四条の二第一号の過大算定額又は過少算定額
前年度における令和五年改正前の省令附則第十四条の二第一号の過大過少額(次の算式により算定した額をいう。以下この条において同じ。)から前年度における同号の過大過少額の三分の二に相当する額(千円未満の端数があるときは、その端数を切り捨てる。)を控除した額
算式
A×0.75+B-C
算式の符号
A 前年度の5月、8月、11月及び2月に譲与された特別法人事業譲与税の額の合算額
B 令和4年度減収補塡債のうち特別法人事業譲与税に係るものの額の100分の75に相当する額
C 前年度における令和5年改正前の省令附則第14条の2第1号の額
三令和五年改正前の省令附則第十四条の二第二号の規定の適用を受けた都道府県における同号に定める前年度分過大過少額から控除された額の二分の一に相当する額(千円未満の端数があるときは、その端数を切り捨てる。)を当該控除された額から控除して得た額
四令和五年改正前の省令附則第十四条の二第三号の規定の適用を受けた都道府県における同号により控除された額
第十四条の三から第十四条の七まで削除

(地方特例交付金の基準額の算定方法)

第十四条の八地方特例交付金の基準額は、当該年度の当該都道府県の地方特例交付金等の地方財政の特別措置に関する法律第二条に規定する地方特例交付金(以下「地方特例交付金」という。)の額に〇・七五を乗じて得た額とする。

(市町村民税の所得割に係る基準財政収入額の算定方法の特例)

第十四条の九法附則第七条の二第二項第一号に規定する総務省令で定めるところにより算定した額は、次の算式により算定した額とする。
算式
{(145,400円×α)×A+B-C-D-E}×0.986-F+G
145,400円×αに円未満の端数があるときは、その端数を四捨五入し、(145,400円×α)×A及び{(145,400円×α)×A+B-C-D-E}×0.986に千円未満の端数があるときは、その端数を四捨五入する。
算式の符号
A 第31条第3項第1号の算式の符号Aに同じ。
B 第31条第3項第1号の算式の符号Bに同じ。
C 第31条第3項第1号の算式の符号Cに同じ。
D 第31条第3項第1号の算式の符号Dに同じ。
E 第31条第3項第1号の算式の符号Eに同じ。
F 第31条第3項第1号の算式の符号Fに同じ。
G 第31条第3項第1号の算式の符号Gに同じ。
α 第31条第3項第1号の算式の符号αに同じ。
2法附則第七条の二第二項第二号に規定する総務省令で定めるところにより算定した額は、次の算式により算定した額とする。
算式
[{(145,400円×α)×A}×β+B×β-C-D×β-E×β]×0.986-F×β+G
145,400円×αに円未満の端数があるときは、その端数を四捨五入し、(145,400円×α)×A、{(145,400円×α)×A}×β、B×β、D×β、E×β及び[{(145,400円×α)×A}×β+B×β-C-D×β-E×β]×0.986に千円未満の端数があるときは、その端数を四捨五入する。
算式の符号
A 第31条第3項第1号の算式の符号Aに同じ。
B 第31条第3項第1号の算式の符号Bに同じ。
C 次の算式によつて算定した額(整数未満の端数があるときは、その端数を四捨五入する。)
算式
{(c+d)×β+e+f}×1.021
算式の符号
c 第31条第3項第1号の算式の符号Cの算式の符号cに同じ。
d 第31条第3項第1号の算式の符号Cの算式の符号dに同じ。
e 第31条第3項第1号の算式の符号Cの算式の符号eに同じ。
f 第31条第3項第1号の算式の符号Cの算式の符号fに同じ。
β 指定都市にあつては6/8、その他の市町村にあつては1.000
D 第31条第3項第1号の算式の符号Dに同じ。
E 第31条第3項第1号の算式の符号Eに同じ。
F 第31条第3項第1号の算式の符号Fに同じ。
G 第31条第3項第1号の算式の符号Gに同じ。
α 第31条第3項第1号の算式の符号αに同じ。
β 指定都市にあつては6/8、その他の市町村にあつては1.000
3法附則第七条の二第二項第三号に規定する総務省令で定めるところにより算定した額は、次の算式により算定した額とする。
算式
{(A×1.003)-(B×1.008)}×α×0.986+(C×1.044)×α+D×0.986
A×1.003、B×1.008、{(A×1.003)-(B×1.008)}×α、{(A×1.003)-(B×1.008)}×α×0.986、C×1.044、(C×1.044)×α及びD×0.986に整数未満の端数があるときは、その端数を四捨五入する。
算式の符号
A 次の算式によつて算定した額
算式
(a×0.03)+{(b-2,000×c)×0.08+(c×60)}+{(d+e)-7,000×(f+g)}×0.1+(f+g)×460
(a×0.03)、(b-2,000×c)×0.08及び{(d+e)-7,000×(f+g)}×0.1に整数未満の端数があるときは、その端数を四捨五入する。
算式の符号
a 市町村税課税状況調第59表の表側「市町村民税」のうち「200万円以下の金額」、表頭「小計(A)」欄の当該市町村の額
b 市町村税課税状況調第59表の表側「市町村民税」のうち「200万円を超え700万円以下」、表頭「小計(A)」欄の当該市町村の額
c 市町村税課税状況調第12表の表側「市町村民税」のうち「200万円を超え700万円以下」、表頭「納税義務者数」のうち「計」欄の当該市町村の数
d 市町村税課税状況調第59表の表側「市町村民税」のうち「700万円〃1,000万円〃」、表頭「小計(A)」欄の当該市町村の額
e 市町村税課税状況調第59表の表側「市町村民税」のうち「1,000万円を超える金額」、表頭「小計(A)」欄の当該市町村の額
f 市町村税課税状況調第12表の表側「市町村民税」のうち「700万円〃1,000万円〃」、表頭「納税義務者数」のうち「計」欄の当該市町村の数
g 市町村税課税状況調第12表の表側「市町村民税」のうち「1,000万円を超える金額」、表頭「納税義務者数」のうち「計」欄の当該市町村の数
B 次の算式によつて算定した額
算式
(h×β×1.250)+(i×β×1.111)+{(j+k)×1.111}+l+(m×β)
(h×β×1.250)、(i×β×1.111)、(j+k)×1.111及びm×βに整数未満の端数があるときは、その端数を四捨五入する。
算式の符号
h 第31条第3項第1号の算式の符号Cの算式の符号cに同じ。
i 第31条第3項第1号の算式の符号Cの算式の符号dに同じ。
j 第31条第3項第1号の算式の符号Cの算式の符号eに同じ。
k 第31条第3項第1号の算式の符号Cの算式の符号fに同じ。
l 第31条第3項第1号の算式の符号Dに同じ。
m 第31条第3項第1号の算式の符号Fに同じ。
β 指定都市にあつては6/8、その他の市町村にあつては1.000
C 次の算式によつて算定した額
算式
n×o
算式の符号
n 次の算式によつて算定した額(整数未満の端数があるときは、その端数を四捨五入する。)
算式
n1≦2,000のとき n1×0.03
2,000<n1≦7,000のとき (n1-2,000)×0.08+60
7,000<n1のとき (n1-7,000)×0.1+460
算式の符号
n1 n2を0.060で除して得た額(整数未満の端数があるときは、その端数を四捨五入する。)をn3で除して得た額(整数未満の端数があるときは、その端数を四捨五入する。)
n2 市町村税課税状況調第20表の表側「令和3年度」のうち「7月」から「3月」まで及び「令和4年度」のうち「計」、表頭「税額(千円)」欄の当該市町村の額
n3 市町村税課税状況調第20表の表側「令和3年度」のうち「7月」から「3月」まで及び「令和4年度」のうち「計」、表頭「納税義務者数」欄の当該市町村の数
o 符号n3に同じ。
D 次の算式によつて算定した額(整数未満の端数があるときは、その端数を四捨五入する。)
算式
p×γ
算式の符号
p 第31条第3項第1号の算式の符号Bに同じ。
γ 指定都市にあつては6/8、その他の市町村にあつては1.000
α 次の算式によつて算定した率
算式
(q/r)×0.99970
q/rに小数点以下3位未満の端数があるときは、その端数を四捨五入する。
算式の符号
q 第31条第3項第1号の算式の符号Aの算式の符号aに同じ。
r 第31条第3項第1号の算式の符号Aの算式の符号bに同じ。
4当該新市町村が指定都市である合併関係市町村のうち合併前において指定都市以外の市町村であつた合併関係市町村に係る所得割の基準税額は、第五十条第一項第一号(二)の規定によつて算定した額から、当該新市町村について第一項の規定によつて算定した額から第二項の規定によつて算定した額を控除して得た額を合併関係市町村の算定前年度の市町村民税の所得割に係る基準税額によつて按分した額を控除して得た額とする。

(地方消費税交付金に係る基準財政収入額の算定方法の特例)

第十四条の十当分の間、法附則第七条の三第二項に規定する加算する額は、次の算式によつて算定した額とする。
算式
A×α×0.25
算式の符号
A 地方税法第72条の115第2項の規定により当該市町村に前年度の6月、9月、12月及び3月に交付された地方消費税交付金の額
α 1.031
2合併関係市町村に係る法附則第七条の三第二項に規定する加算する額は、前項の規定によつて算定した当該新市町村に係る加算する額を、合併関係市町村ごとの人口によつて按分した額とする。

(市町村民税の法人税割に係る基準税額の算定方法の特例等)

第十五条令和五年度に限り、市町村民税の法人税割の基準税額は、第三十一条第四項の規定にかかわらず、第一号から第五号までの各号に定めるところによつて算定した額の合算額から第六号に定める額を控除した額とする。ただし、当該額が負となる場合には、当該額は零とする。
一当該年度に係る額
第三十一条第四項第一号の規定の例により算定した額
二前年度における令和五年改正前の省令附則第十五条第一項第一号の額の過大算定額又は過少算定額
前年度分過大過少額((一)に定める額から(二)に定める額を控除した額をいう。以下この条において同じ。)から前年度分過大過少額の三分の二に相当する額(千円未満の端数があるときは、その端数を切り捨てる。)を控除した額とする。
(一)次の算式によつて算定した額
算式
(A+B)×0.75+C
算式の符号
A 第31条第4項第2号算式の符号Cに同じ。
B 第31条第4項第2号算式の符号Dに同じ。
C 令和4年度減収補塡債のうち市町村民税の法人税割に係るものの額の100分の75に相当する額
(二)令和五年改正前の省令附則第十五条第一項第一号の額
三令和五年改正前の省令附則第十五条第一項第二号の規定の適用を受けた市町村における同号に定める前年度分法人税割過大過少額から控除された額の二分の一に相当する額(千円未満の端数があるときは、その端数を切り捨てる。)を当該控除された額から控除して得た額
四令和五年改正前の省令附則第十五条第一項第三号の規定の適用を受けた市町村における同号により控除された額
五前年度以前の年度における法人税割の基準税額について総務大臣が修正すべきものと認めた額
六特別交付税に関する省令(昭和五十一年自治省令第三十五号)附則第三条の規定に基づき令和四年度の特別交付税の額の算定の基礎から除くこととされた額のうち同令第三条第一項第二号の表第四号の規定に係るもの
2令和五年度に限り、第五十条第一項第一号の規定の適用については、同号中「第三十一条第四項」とあるのは「附則第十五条第一項」とする。

(軽油引取税の基準税額等の算定方法の特例等)

第十六条令和五年度に限り、第二十三条の二中「一一、二五〇円」とあるのは「二四、〇七五円」とする。
2令和五年度に限り、第二十三条の二中「前年度における軽油引取税の課税標準となつた数量」とあるのは、「前年度における軽油引取税の課税標準となつた数量から、附則第十六条第三項に規定する数量を控除した数量」とする。
3前項の規定により読み替えられた第二十三条の二に規定する附則第十六条第三項に規定する数量は、平成十五年度から平成二十年度までの各年度における地方税法等の一部を改正する法律(平成二十一年法律第九号)第一条の規定による改正前の地方税法(以下「平成二十一年改正前の地方税法」という。)第七百条の十一第二項の規定若しくは平成二十一年度から令和四年度までの各年度における地方税法第百四十四条の十四第二項の規定に基づく納入金の納入又は平成十五年度から平成二十年度までの各年度における平成二十一年改正前の地方税法第七百条の十四第一項の規定若しくは平成二十一年度から令和四年度までの各年度における地方税法第百四十四条の十八第一項の規定に基づく税額の納付がなされなかつた現年課税分に係る軽油引取税の課税標準たる数量(以下「未納入数量等」という。)のうち、平成十五年度から平成二十年度までの各年度における平成二十一年改正前の地方税法第七百条の三十八の規定若しくは平成二十一年度から令和四年度までの各年度における地方税法第百四十四条の五十一の規定に基づく滞納処分又は地方税法第十五条の七の規定に基づく滞納処分の執行の停止後の未徴収額に係る課税標準たる数量で、都道府県が平成二十九年地方税法等改正法第二条の規定による改正前の地方税法第百四十四条の五十四の規定において準用する所得税法等の一部を改正する等の法律(平成二十九年法律第四号)第十条の規定による廃止前の国税犯則取締法(明治三十三年法律第六十七号)第十三条第一項、第十四条第二項若しくは第十七条の規定又は地方税法第二十二条の二十七、第二十二条の二十八第二項若しくは第二十二条の二十九の規定に基づき告発した場合における特別徴収義務者又は納税者に係る未納入数量等として、総務大臣が算定して通知した数量とする。
4都道府県にあつては、第二項の規定により読み替えられた第二十三条の二の規定により平成十五年度から令和四年度までにおける軽油引取税の課税標準となつた数量から控除した未納入数量等のうち総務大臣が過大と認めた数量があるときは、翌年度以降の軽油引取税の基準税額の算定にあたり、第二十三条の二に規定する前年度における軽油引取税の課税標準となつた数量に当該数量として総務大臣が算定して通知した数量を加算するものとする。
5普通交付税に関する省令の一部を改正する省令(平成二十八年総務省令第七十四号)による改正前の普通交付税に関する省令附則第十六条第三項の規定に基づく対象都道府県、普通交付税に関する省令の一部を改正する省令(平成二十九年総務省令第五十二号)による改正前の普通交付税に関する省令附則第十六条第三項の規定に基づく対象都道府県、普通交付税に関する省令の一部を改正する省令(令和元年総務省令第二十九号)による改正前の普通交付税に関する省令附則第十六条第三項の規定に基づく対象都道府県及び普通交付税に関する省令の一部を改正する省令(令和三年総務省令第七十六号)による改正前の普通交付税に関する省令附則第十六条第三項の規定に基づく対象都道府県にあつては、平成二十六年度、平成二十七年度、平成二十九年度及び令和元年度における軽油引取税の課税標準となつた数量から控除した未納入数量等のうち総務大臣が過大と認めた数量があるときは、第二項の規定により読み替えられた第二十三条の二に規定する前年度における軽油引取税の課税標準となつた数量に当該数量として総務大臣が算定して通知した数量を加算するものとする。

(地方揮発油譲与税の基準税額の算定方法の特例)

第十六条の二令和五年度に限り、第二十九条中「〇・九八〇」とあるのは、「東京都にあつては〇・九七八」とする。

(特別土地保有税の基準税額の算定方法の特例)

第十七条当分の間、第三十六条の規定にかかわらず、特別土地保有税に係る基準税額は算定しないものとする。
第十八条削除

(利子割交付金の基準額の算定方法の特例)

第十九条令和五年度に限り、利子割交付金の基準額は、第三十七条の二の規定にかかわらず、次の各号に定めるところによつて算定した額の合算額とする。ただし、当該合算額が負となる場合には当該額は零とする。
一当該年度に係る額
第三十七条の二第一号の規定の例により算定した額
二前年度における令和五年改正前の省令附則第十九条第一号の額の過大算定額又は過少算定額
次の算式によつて算定した額(以下この条において「前年度分過大過少額」という。)から前年度分過大過少額の三分の二に相当する額(千円未満の端数があるときは、その端数を四捨五入する。)を控除して得た額とする。
算式
(A+B)×0.75-C
算式の符号
A 前年度の8月、12月及び3月に交付された利子割交付金の額の合算額
B 令和4年度減収補塡債のうち利子割交付金に係るものの額
C 令和5年改正前の省令附則第19条第1号の額
三令和五年改正前の省令附則第十九条第二号の規定の適用を受けた市町村における同号により控除された額に二分の一を乗じて得た額(千円未満の端数があるときは、その端数を四捨五入する。)を当該控除された額から控除した額
四令和五年改正前の省令附則第十九条第三号の規定の適用を受けた市町村における同号の規定により控除された額
五前年度以前の年度における利子割交付金の基準額について総務大臣が修正すべきものと認めた額

(法人事業税交付金に係る基準額の算定方法の特例)

第十九条の二令和五年度に限り、法人事業税交付金の基準額は、第三十七条の四の二の規定にかかわらず、次の各号に定めるところによつて算定した額の合算額とする。ただし、当該額が負になる場合には、当該額は零とする。
一当該年度に係る額
第三十七条の四の二第一号の規定の例により算定した額
二前年度における令和五年改正前の省令第三十七条の四の二の額の過大算定額又は過少算定額
前年度分過大過少額(イに定める額からロに定める額を控除した額をいう。以下この条において同じ。)から前年度分過大過少額の三分の二に相当する額(千円未満の端数があるときは、その端数を切り捨てる。)を控除した額とする。
イ次の算式によつて算定した額
算式
A×0.75+B
算式の符号
A 第37条の4の2第2号算式の符号Aに同じ。
B 令和4年度減収補塡債のうち法人事業税交付金に係るものの額の100分の75に相当する額
ロ令和五年改正前の省令第三十七条の四の二の額
三令和五年改正前の省令附則第十九条の二第一項第二号の規定の適用を受けた市町村における同号により控除された額に二分の一を乗じて得た額(千円未満の端数があるときは、その端数を切り捨てる。)を当該控除された額から控除した額
四令和五年改正前の省令附則第十九条の二第一項第三号の規定の適用を受けた市町村における同号により控除された額
2令和五年度に限り、第五十条第一項第七号の四の二の規定の適用については、同号中「第三十七条の四の二」とあるのは、「附則第十九条の二第一項」とする。
第十九条の三削除

(地方特例交付金の基準額の算定方法)

第十九条の四地方特例交付金の基準額は、当該年度の当該市町村の地方特例交付金の額に〇・七五を乗じて得た額とする。
2合併関係市町村に係る地方特例交付金の基準額は、当該年度の当該新市町村の地方特例交付金の額に〇・七五を乗じて得た額を当該合併関係市町村の人口によつて按分した額とする。
第十九条の五削除

(地方揮発油譲与税の基準税額の算定方法の特例)

第十九条の六令和五年度に限り、第三十九条第二号中「〇・九八〇」とあるのは、「川崎市にあつては〇・三一七、その他の指定都市にあつては〇・九八〇」とする。
第十九条の七から第十九条の十三まで削除

(「地域の元気創造事業費」に係る数値の算定方法等)

第十九条の十四法附則第五条の二第二項の規定による測定単位の数値は、次の表の上欄に掲げる測定単位の種類につき、同表の中欄に定める測定単位の数値の算定方法によつて、同表の下欄に掲げる表示単位に基づいて算定する。
測定単位の種類測定単位の数値の算定方法表示単位
人口国勢調査令によつて調査した令和二年十月一日現在における人口人
2前項の規定によつて測定単位の数値を算定する場合においては、第五条第二項の規定を準用する。
3法附則第五条の二第二項ただし書の規定に基づき行う補正は、段階補正及び経常態容補正とする。
4前項の規定に基づいて行う段階補正に用いる法第十三条第四項の規定による率は、附則別表第十二に定めるところによるものとし、市町村の段階補正係数が、十五・〇〇〇を超えるときは、十五・〇〇〇とする。
5第三項の規定に基づいて行う経常態容補正に用いる率は、経常態容補正Ⅰ係数及び経常態容補正Ⅱ係数を合算して得た率とする。
6前項の規定に基づいて行う経常態容補正Ⅰは、次の表の上欄に掲げる地方団体の種類につき、同表の下欄に掲げる算式及び算式の符号によつて算定した数(小数点以下三位未満の端数があるときは、その端数を四捨五入する。)を用いて行うものとする。
地方団体の種類算式及び算式の符号
都道府県算式
(0.2×A+0.1×B+0.3×C+0.2×D+0.2×E)×0.582
0.2×A、0.1×B、0.3×C、0.2×D及び0.2×Eに小数点以下3位未満の端数があるときは、その端数を四捨五入する。
算式の符号A 次の算式Ⅰによつて算定した数(当該数に小数点以下3位未満の端数があるときは、その端数を四捨五入し、当該数が2を超える場合には2とし、負数となるときは0とする。)算式Ⅰ
A=-0.185×a+19.5
算式Ⅰの符号a 一般職の職員の給与に関する法律(昭和25年法律第95号)第6条第1項別表第1のイに規定される行政職俸給表(一)の適用を受ける職員(以下この表において「国の職員」という。)の俸給月額に対する当該地方団体の地方公務員給与実態調査における一般行政職の職員の給料月額について、当該地方団体の学歴別、経験年数別の平均給料月額に国の職員の数を乗じて得た数の総和を国の職員の実俸給月額の総和で除して得る加重平均方式により総務大臣が算定した数(以下この表において「ラスパイレス指数」という。)であつて令和4年4月1日現在におけるものB 次の算式Ⅱによつて算定した数(当該数に小数点以下3位未満の端数があるときは、その端数を四捨五入し、当該数が2を超える場合には2とし、負数となるときは0とする。)算式Ⅱ
B=-0.185×b+18.5
算式Ⅱの符号b 平成30年から令和4年までの各年の4月1日現在におけるラスパイレス指数の合計数を5で除して得た数(当該数に小数点以下2位未満の端数があるときは、その端数を四捨五入する。)C 次の算式Ⅲによつて算定した数(当該数に小数点以下3位未満の端数があるときは、その端数を四捨五入し、当該数が2を超える場合には2とし、負数となるときは0とする。)算式Ⅲ
C=2-{(d-c)/c}/0.116
(d-c)/cに小数点以下3位未満の端数があるときは、その端数を四捨五入する。
算式Ⅲの符号c 平成7年度から平成11年度までの地方財政状況調査による人件費(「地方財政状況調査表(都道府県分)」の「性質別経費の状況」(以下この表において「都道府県調査票性質別経費」という。)の表側「1.人件費」、表頭「決算額」欄の数から「人件費の内訳」の表側「6.退職金」、表頭「決算額」欄の数を控除した数に都道府県調査票性質別経費の表側「12.投資的経費 うち人件費」、表頭「決算額」欄の数を加算した数をいう。以下この表の都道府県の項において同じ。)、物件費(都道府県調査票性質別経費の表側「2.物件費」、表頭「決算額」欄の数をいう。)、補助費等(都道府県調査票性質別経費の表側「5.補助費等」、表頭「決算額」欄の数をいう。)及び繰出金(都道府県調査票性質別経費の表側「10.繰出金」、表頭「決算額」欄の数をいう。)を合算した額から「公営企業等に対する繰出し等の状況 その1法非適用事業分」の表側「総計」、表頭「3.建設費繰出」及び「4.公債費財源繰出」欄の数並びに「公営企業等に対する繰出し等の状況 その2法適用事業分」の表側「総計」、表頭「3.建設費繰出」及び「4.公債費財源繰出」欄の数を控除した額(以下この表において「都道府県経常的経費決算額」という。)の合計数を5で除して得た数(整数未満の端数があるときは、その端数を四捨五入する。)d 平成27年度から令和元年度までの地方財政状況調査による都道府県経常的経費決算額(復旧・復興事業分を除き、指定都市を包括する道府県にあつては、平成29年度から令和元年度までの人件費については、県費負担教職員のうち当該指定都市立の小学校等の職員に対して負担した人件費に相当する額として総務大臣が通知した数から退職金に相当する額として総務大臣が通知した数を控除した額を加算した数とする。)の合計数を5で除して得た数(整数未満の端数があるときは、その端数を四捨五入する。)D 次の算式Ⅳによつて算定した数(当該数に小数点以下3位未満の端数があるときは、その端数を四捨五入し、当該数が2を超える場合には2とし、負数となるときは0とする。)算式Ⅳ
D=100.00×(f/e)-98.00
f/eに小数点以下3位未満の端数があるときは、その端数を四捨五入する。
算式Ⅳの符号e 令和3年度の地方財政状況調査による法定普通税調定済額(地方財政状況調査表(都道府県分)の「都道府県税の徴収実績」(以下この表において「都道府県調査票徴収実績」という。)の表側「1.法定普通税」、表頭「調定済額 合計」欄の数をいう。)と法定目的税調定済額(都道府県調査票徴収実績の表側「1.法定目的税」、表頭「調定済額 合計」欄の数をいう。)を合算した額f 令和3年度の地方財政状況調査による法定普通税収入済額(都道府県調査票徴収実績の表側「1.法定普通税」、表頭「収入済額 合計」欄の数をいう。)と法定目的税収入済額(都道府県調査票徴収実績の表側「1.法定目的税」、表頭「収入済額 合計」欄の数をいう。)を合算した額E 次の算式Ⅴによつて算定した数(当該数に小数点以下3位未満の端数があるときは、その端数を四捨五入し、当該数が2を超える場合には2とし、負数となるときは0とする。)算式Ⅴ
E=3.28×(h/g)+0.10
h/gに小数点以下3位未満の端数があるときは、その端数を四捨五入する。
算式Ⅴの符号g 令和5年4月1日現在における業務システムに対してシステムを導入した数(「自治体情報システムのクラウド化に関する取組状況等の調査について(照会)」(令和5年4月7日付け総行デ第112号)において報告された「情報システム類型」の表頭「システム類型番号」のうち、類型が「システム未導入」に対応するものとして回答したもの以外の数をいう。以下この表において同じ。)h 令和5年4月1日現在における業務システムに対してクラウドを導入した数(「自治体情報システムのクラウド化に関する取組状況等の調査について(照会)」において報告された「情報システム類型」の表頭「システム類型番号」のうち、類型が「自治体クラウド」又は「単独IaaS」、「共同IaaS」若しくは「単独SaaS」に対応するものとして回答した数をいう。ただし、令和3年4月2日以降に導入を開始したもののうち、導入に係る経費を令和3年度当初予算以後に計上したものを除く。以下この表において同じ。)
市町村算式
(0.2×A+0.1×B+0.3×C+0.2×D+0.2×E)×0.662
0.2×A、0.1×B、0.3×C、0.2×D及び0.2×Eに小数点以下3位未満の端数があるときは、その端数を四捨五入する。
算式の符号A 次の算式Ⅰによつて算定した数(当該数に小数点以下3位未満の端数があるときは、その端数を四捨五入し、当該数が2を超える場合には2とし、負数となるときは0とする。)算式Ⅰ
A=-0.185×a+19.5
算式Ⅰの符号a 令和4年4月1日現在におけるラスパイレス指数B 次の算式Ⅱによつて算定した数(当該数に小数点以下3位未満の端数があるときは、その端数を四捨五入し、当該数が2を超える場合には2とし、負数となるときは0とする。)算式Ⅱ
B=-0.185×b+18.5
算式Ⅱの符号b 平成30年から令和4年までの各年の4月1日現在におけるラスパイレス指数の合計数を5で除して得た数(小数点以下1位未満の端数があるときは、その端数を四捨五入する。)C 次の算式Ⅲによつて算定した数(当該数に小数点以下3位未満の端数があるときは、その端数を四捨五入し、当該数が2を超える場合には2とし、負数となるときは0とする。)算式Ⅲ
C=2-{(d-c)/c}/0.148
(d-c)/cに小数点以下3位未満の端数があるときは、その端数を四捨五入する。
算式Ⅲの符号c 平成7年度から平成11年度までの地方財政状況調査による人件費(「地方財政状況調査表(市町村・一部事務組合分)」の「性質別経費の状況」(以下この表において「市町村調査票性質別経費」という。)の表側「1.人件費」、表頭「決算額」欄の数から「人件費の内訳」の表側「6.退職金」、表頭「決算額」欄の数を控除した数に市町村調査票性質別経費の表側「11.投資的経費 うち人件費」、表頭「決算額」欄の数を加算した数をいう。以下この表の市町村の項において同じ。)、物件費(市町村調査票性質別経費の表側「2.物件費」、表頭「決算額」欄の数をいう。)、補助費等(市町村調査票性質別経費の表側「5.補助費等」、表頭「決算額」欄の数をいう。)、繰出金(市町村調査票性質別経費の表側「9.繰出金」、表頭「決算額」欄の数をいう。)及び「地方財政状況調査表(市町村・一部事務組合分)」の「一部事務組合負担金等の性質別内訳の状況」の表側「11.投資的経費 うち人件費」、表頭「決算額」欄の数を合算した額から「一部事務組合負担金等の性質別内訳の状況」の表頭「決算額」の表側「4.扶助費」、「6.公債費」、「7.積立金」、「8.投資及び出資金・貸付金」、「10.前年度繰上充用金」及び「11.投資的経費」欄の数の合算額、「地方財政状況調査表(市町村・一部事務組合分)」の「歳出内訳及び財源内訳(その7)」の表側「五 補助費等 2 都道府県に対するもの」、表頭「歳出合計」欄の数並びに「公営企業等に対する繰出し等の状況 その1法非適用事業分」の表側「総計」、表頭「3.建設費繰出」及び「4.公債費財源繰出」欄の数並びに「公営企業等に対する繰出し等の状況 その2法適用事業分」の表側「総計」、表頭「3.建設費繰出」及び「4.公債費財源繰出」欄の数の合算額を控除した額(以下この表において「市町村経常的経費決算額」という。)の合計数を5で除して得た数(整数未満の端数があるときは、その端数を四捨五入する。)d 平成27年度から令和元年度までの地方財政状況調査による市町村経常的経費決算額(復旧・復興事業分を除き、指定都市にあつては、平成29年度から令和元年度までの人件費については、県費負担教職員のうち当該指定都市立の小学校等の職員に対して負担した人件費に相当する額として総務大臣が通知した数から退職金に相当する額として総務大臣が通知した数を控除した額を控除した数とする。)の合計数を5で除して得た数(整数未満の端数があるときは、その端数を四捨五入する。)D 次の算式Ⅳによつて算定した数(当該数に小数点以下3位未満の端数があるときは、その端数を四捨五入し、当該数が2を超える場合には2とし、負数となるときは0とする。)算式Ⅳ
D=45.45×(f/e)-43.45
f/eに小数点以下3位未満の端数があるときは、その端数を四捨五入する。
算式Ⅳの符号e 令和3年度の地方財政状況調査による法定普通税調定済額(地方財政状況調査表(市町村・一部事務組合分)の「市町村税の徴収実績」(以下この表において「市町村調査票徴収実績」という。)の表側「1.法定普通税」、表頭「調定済額 合計」欄の数をいう。)と法定目的税調定済額(市町村調査票徴収実績の表側「1.法定目的税」、表頭「調定済額 合計」欄の数をいう。)を合算した額f 令和3年度の地方財政状況調査による法定普通税収入済額(市町村調査票徴収実績の表側「1.法定普通税」、表頭「収入済額 合計」欄の数をいう。)と法定目的税収入定済額(市町村調査票徴収実績の表側「1.法定目的税」、表頭「収入済額 合計」欄の数をいう。)を合算した額E 次の算式Ⅴによつて算定した数(当該数に小数点以下3位未満の端数があるときは、その端数を四捨五入し、当該数が2を超える場合には2とし、負数となるときは0とする。)算式Ⅴ
E=3.26×(h/g)-1.26
h/gに小数点以下3位未満の端数があるときは、その端数を四捨五入する。
算式Ⅴの符号g 令和5年4月1日現在における業務システムに対してシステムを導入した数h 令和5年4月1日現在における業務システムに対してクラウドを導入した数
7第五項の規定に基づいて行う経常態容補正Ⅱは、次の表の上欄に掲げる地方団体の種類につき、同表の下欄に掲げる算式及び算式の符号によつて算定した数(小数点以下三位未満の端数があるときは、その端数を四捨五入する。)を用いて行うものとする。
地方団体の種類算式及び算式の符号
都道府県算式(
0.1×F+0.1×G+0.1×H+0.1×I+0.1×J+0.1×K+0.1×L+0.1×M+0.1×N+0.1×O)×α×0.274
0.1×F、0.1×G、0.1×H、0.1×I、0.1×J、0.1×K、0.1×L、0.1×M、0.1×N及び0.1×Oに小数点以下3位未満の端数があるときは、その端数を四捨五入する。
算式の符号F 次の算式Ⅰによつて算定した数(当該数に小数点以下3位未満の端数があるときは、その端数を四捨五入し、当該数が3を超える場合には3とし、1に満たないときは1とする。)算式Ⅰ
F=112.99×{(j-i)/i}×(1/9)+1.05
{(j-i)/i}×(1/9)に小数点以下4位未満の端数があるときは、その端数を四捨五入する。
算式Ⅰの符号i 平成22年から平成24年までの各年における第一次産業産出額(農林水産省において公表した生産農業所得統計における農業産出額、生産林業所得統計における林業産出額(平成28年以降は林業産出額における林業産出額)及び漁業生産額における漁業生産額の合計額をいう。以下この表において同じ。)の合計額を3で除して得た数(小数点以下3位未満の端数があるときは、その端数を四捨五入する。)j 令和元年から令和3年までの各年における第一次産業産出額の合計額を3で除して得た数(小数点以下3位未満の端数があるときは、その端数を四捨五入する。)G 次の算式Ⅱによつて算定した数(当該数に小数点以下3位未満の端数があるときは、その端数を四捨五入し、当該数が3を超える場合には3とし、1に満たないときは1とする。)算式Ⅱ
G=98.04×{(l-k)/k}×(1/8)+0.33
{(l-k)/k}×(1/8)に小数点以下4位未満の端数があるときは、その端数を四捨五入する。
算式Ⅱの符号k 工業統計調査規則(昭和26年通商産業省令第81号)によつて公表された平成22年及び平成24年における製造品出荷額並びに経済センサス活動調査規則(平成23年総務省・経済産業省令第1号)によつて公表された平成23年における製造品出荷額の合計額を3で除して得た数(小数点以下3位未満の端数があるときは、その端数を四捨五入する。)l 工業統計調査規則によつて公表された平成30年及び令和元年における製造品出荷額並びに経済センサス活動調査規則によつて公表された令和2年における製造品出荷額の合計額を3で除して得た数(小数点以下3位未満の端数があるときは、その端数を四捨五入する。)H 次の算式Ⅲによつて算定した数(当該数に小数点以下3位未満の端数があるときは、その端数を四捨五入し、当該数が3を超える場合には3とし、1に満たないときは1とする。)算式Ⅲ
H=151.52×{(n-m)/m}×(1/9)-1.76
{(n-m)/m}×(1/9)に小数点以下4位未満の端数があるときは、その端数を四捨五入する。
算式Ⅲの符号m 経済センサス活動調査規則により平成24年2月1日現在で調査された年間商品販売額の小売業計n 経済センサス活動調査規則により令和3年6月1日現在で調査された年間商品販売額の小売業計I 次の算式Ⅳによつて算定した数(当該数に小数点以下3位未満の端数があるときは、その端数を四捨五入し、当該数が3を超える場合には3とし、1に満たないときは1とする。)算式Ⅳ
I=[{64.72×(p-o)/o×(1/7)+0.39}+{3.80×(r-q)/q×(1/7)-0.34}]×(1/2)
(p-o)/o×(1/7)に小数点以下4位未満の端数があるときは、その端数を四捨五入し、{64.72×(p-o)/o×(1/7)+0.39}に小数点以下3位未満の端数があるときは、その端数を四捨五入し、(r-q)/q×(1/7)に小数点以下4位未満の端数があるときは、その端数を四捨五入し、{3.80×(r-q)/q×(1/7)-0.34}に小数点以下3位未満の端数があるときは、その端数を四捨五入する。
算式Ⅳの符号o 宿泊旅行統計調査によつて公表された平成23年及び平成24年における年間の延べ宿泊者数(外国人延べ宿泊者数を除く。)を2で除して得た数(整数未満の端数があるときは、その端数を四捨五入する。)p 宿泊旅行統計調査によつて公表された平成30年及び令和元年における年間の延べ宿泊者数(外国人延べ宿泊者数を除く。)を2で除して得た数(整数未満の端数があるときは、その端数を四捨五入する。)q 宿泊旅行統計調査によつて公表された平成23年及び平成24年における年間の外国人延べ宿泊者数を2で除して得た数(整数未満の端数があるときは、その端数を四捨五入する。)r 宿泊旅行統計調査によつて公表された平成30年及び令和元年における年間の外国人延べ宿泊者数を2で除して得た数(整数未満の端数があるときは、その端数を四捨五入する。)J 次の算式Ⅴによつて算定した数(当該数が3を超える場合は3とする。)算式Ⅴ
J={1,025.64×(t-s)×(1/10)-2.03}+(15.50×t-9.97)
(t-s)×(1/10)に小数点以下4位未満の端数があるときは、その端数を四捨五入し、{1,025.64×(t-s)×(1/10)-2.03}に小数点以下3位未満の端数があるときは、その端数を四捨五入し、当該数が3を超える場合は3とし、1に満たないときは1とし、(15.50×t-9.97)に小数点以下3位未満の端数があるときは、その端数を四捨五入し、当該数が1を超える場合には1とし、負数となるときは0とする。
算式Ⅴの符号s 国勢調査によつて公表された平成22年10月1日現在における15歳から34歳までの就業者数を同年の15歳から34歳までの人口(人口から労働力人口及び非労働力人口を控除して得た数を除く。)で除して得た数(小数点以下4位未満の端数があるときは、その端数を四捨五入する。)t 国勢調査によつて公表された令和2年10月1日現在における15歳から34歳までの就業者数を同年の15歳から34歳までの人口(人口から労働力人口及び非労働力人口を控除して得た数を除く。)で除して得た数(小数点以下4位未満の端数があるときは、その端数を四捨五入する。)K 次の算式Ⅵによつて算定した数(当該数が3を超える場合には3とする。)算式Ⅵ
K={1,025.64×(v-u)×(1/10)-9.00}+(13.91×v-10.83)
(v-u)×(1/10)に小数点以下4位未満の端数があるときは、その端数を四捨五入し、{1,025.64×(v-u)×(1/10)-9.00}に小数点以下3位未満の端数があるときは、その端数を四捨五入し、当該数が3を超える場合は3とし、1に満たないときは1とし、(13.91×v-10.83)に小数点以下3位未満の端数があるときは、その端数を四捨五入し、当該数が1を超える場合には1とし、負数となるときは0とする。
算式Ⅵの符号u 国勢調査によつて公表された平成22年10月1日現在における25歳から44歳までの女性の就業者数を同年の25歳から44歳までの女性の人口(女性人口から労働力女性人口及び非労働力女性人口を控除して得た数を除く。)で除して得た数(小数点以下4位未満の端数があるときは、その端数を四捨五入する。)v 国勢調査によつて公表された令和2年10月1日現在における25歳から44歳までの女性の就業者数を同年の25歳から44歳までの女性の人口(女性人口から労働力女性人口及び非労働力女性人口を控除して得た数を除く。)で除して得た数(小数点以下4位未満の端数があるときは、その端数を四捨五入する。)L 次の算式Ⅶによつて算定した数(当該数が3を超える場合は3とする。)算式Ⅶ
L={833.33×(x-w)×(1/10)-2.58}+(16.84×x-4.49)
(x-w)×(1/10)に小数点以下4位未満の端数があるときは、その端数を四捨五入し、{833.33×(x-w)×(1/10)-2.58}に小数点以下3位未満の端数があるときは、その端数を四捨五入し、当該数が3を超える場合は3とし、1に満たないときは1とし、(16.84×x-4.49)に小数点以下3位未満の端数があるときは、その端数を四捨五入し、当該数が1を超える場合には1とし、負数となるときは0とする。
算式Ⅶの符号w 国勢調査によつて公表された平成22年10月1日現在における65歳以上の就業者数を同年の65歳以上の人口(人口から労働力人口及び非労働力人口を控除して得た数を除く。)で除して得た数(小数点以下4位未満の端数があるときは、その端数を四捨五入する。)x 国勢調査によつて公表された令和2年10月1日現在における65歳以上の就業者数を同年の65歳以上の人口(人口から労働力人口及び非労働力人口を控除して得た数を除く。)で除して得た数(小数点以下4位未満の端数があるときは、その端数を四捨五入する。)M 次の算式Ⅷによつて算定した数(当該数に小数点以下3位未満の端数があるときは、その端数を四捨五入し、当該数が3を超える場合には3とし、1に満たないときは1とする。)算式Ⅷ
M=266.67×{(z-y)/y}×(1/4)+0.44
{(z-y)/y}×(1/4)に小数点以下4位未満の端数があるときは、その端数を四捨五入する。
算式Ⅷの符号y 経済センサス活動調査規則によつて公表された平成24年2月1日現在における民営従業者数z 経済センサス活動調査規則によつて公表された平成28年6月1日現在における個人事業所の従業者数、法人事業所の従業者数及び法人でない団体の事業所の従業者数の合計数N 次の算式Ⅸによつて算定した数(当該数に小数点以下3位未満の端数があるときは、その端数を四捨五入し、当該数が3を超える場合には3とし、1に満たないときは1とする。)算式Ⅸ
N=149.81×{(ab-aa)/aa}×(1/7)-0.67
{(ab-aa)/aa}×(1/7)に小数点以下4位未満の端数があるときは、その端数を四捨五入する。
算式Ⅸの符号aa 経済センサス活動調査規則によつて公表された平成24年2月1日現在における民営事業所数(事業内容等不詳事業所を含む。)ab 経済センサス基礎調査規則(平成31年総務省令第46号)によつて令和元年6月1日から令和2年3月31日までの期間に調査して公表された民営事業所数O 次の算式Ⅹによつて算定した数(当該数に小数点以下3位未満の端数があるときは、その端数を四捨五入し、当該数が3を超える場合には3とし、1に満たないときは1とする。)算式Ⅹ
O=266.67×{(ad-ac)/ac}×(1/7)-3.37
{(ad-ac)/ac}×(1/7)に小数点以下4位未満の端数があるときは、その端数を四捨五入する。
算式Ⅹの符号ac 令和4年に内閣府が公表した平成23年度及び平成24年度の県民経済計算における一人当たり県民所得の合計額を2で除して得た数(整数未満の端数があるときは、その端数を四捨五入する。)ad 令和4年に内閣府が公表した平成30年度及び令和元年度の県民経済計算における一人当たり県民所得の合計額を2で除して得た数(整数未満の端数があるときは、その端数を四捨五入する。)α 次条第7項の表都道府県の項の算式の符号αの率と同じ。
市町村算式
(0.15×F+0.15×G+0.1×H+0.1×I+0.1×J+0.1×K+0.1×L+0.1×M+0.1×N)×β×0.331
0.15×F、0.15×G、0.1×H、0.1×I、0.1×J、0.1×K、0.1×L、0.1×M及び0.1×Nに小数点以下3位未満の端数があるときは、その端数を四捨五入する。
算式の符号F 次の算式Ⅰによつて算定した数(当該数に小数点以下3位未満の端数があるときは、その端数を四捨五入し、当該数が3を超える場合には3とし、1に満たないときは1とする。)算式Ⅰ
F=47.62×{(j-i)/i}×(1/10)+2.19
{(j-i)/i}×(1/10)
に小数点以下4位未満の端数があるときは、その端数を四捨五入する。
算式Ⅰの符号i 農林業センサス規則によつて公表された平成22年2月1日現在における農産物販売規模別農家数を用いて算出した農業産出額(農産物販売規模別農家数のうち50万円未満の数に25万円を乗じた額、農産物販売規模別農家数のうち50万円以上100万円未満の数に75万円を乗じた額、農産物販売規模別農家数のうち100万円以上200万円未満の数に150万円を乗じた額、農産物販売規模別農家数のうち200万円以上300万円未満の数に250万円を乗じた額、農産物販売規模別農家数のうち300万円以上500万円未満の数に400万円を乗じた額、農産物販売規模別農家数のうち500万円以上700万円未満の数に600万円を乗じた額、農産物販売規模別農家数のうち700万円以上1,000万円未満の数に850万円を乗じた額、農産物販売規模別農家数のうち1,000万円以上1,500万円未満の数に1,250万円を乗じた額、農産物販売規模別農家数のうち1,500万円以上2,000万円未満の数に1,750万円を乗じた額、農産物販売規模別農家数のうち2,000万円以上3,000万円未満の数に2,500万円を乗じた額、農産物販売規模別農家数のうち3,000万円以上5,000万円未満の数に4,000万円を乗じた額、農産物販売規模別農家数のうち5,000万円以上1億円未満の数に7,500万円を乗じた額、農産物販売規模別農家数のうち1億円以上3億円未満の数に20,000万円を乗じた額、農産物販売規模別農家数のうち3億円以上5億円未満の数に40,000万円を乗じた額及び農産物販売規模別農家数のうち5億円以上の数に60,000万円を乗じた額の合算額をいう。)j 農林業センサス規則によつて公表された令和2年2月1日現在における農産物販売規模別経営体数(個人経営体)を用いて算出した農業産出額(農産物販売規模別経営体数(個人経営体)のうち50万円未満の数に25万円を乗じた額、農産物販売規模別経営体数(個人経営体)のうち50万円以上100万円未満の数に75万円を乗じた額、農産物販売規模別経営体数(個人経営体)のうち100万円以上300万円未満の数に200万円を乗じた額、農産物販売規模別経営体数(個人経営体)のうち300万円以上500万円未満の数に400万円を乗じた額、農産物販売規模別経営体数(個人経営体)のうち500万円以上1,000万円未満の数に750万円を乗じた額、農産物販売規模別経営体数(個人経営体)のうち1,000万円以上3,000万円未満の数に2,000万円を乗じた額、農産物販売規模別経営体数(個人経営体)のうち3,000万円以上5,000万円未満の数に4,000万円を乗じた額、農産物販売規模別経営体数(個人経営体)のうち5,000万円以上1億円未満の数に7,500万円を乗じた額、農産物販売規模別経営体数(個人経営体)のうち1億円以上2億円未満の数に15,000万円を乗じた額、農産物販売規模別経営体数(個人経営体)のうち2億円以上3億円未満の数に25,000万円を乗じた額、農産物販売規模別経営体数(個人経営体)のうち3億円以上5億円未満の数に40,000万円を乗じた額及び農産物販売規模別経営体数(個人経営体)のうち5億円以上の数に60,000万円を乗じた額の合算額をいう。)G 次の算式Ⅱによつて算定した数(当該数に小数点以下3位未満の端数があるときは、その端数を四捨五入し、当該数が3を超える場合には3とし、1に満たないときは1とする。)算式Ⅱ
G=22.03×{(l-k)/k}×(1/8)+1.37
{(l-k)/k}×(1/8)に小数点以下4位未満の端数があるときは、その端数を四捨五入する。
算式Ⅱの符号k 工業統計調査規則によつて公表された平成22年及び平成24年における製造品出荷額並びに経済センサス活動調査規則によつて公表された平成23年における製造品出荷額の合計額を3で除して得た数(整数未満の端数があるときは、その端数を四捨五入する。)l 工業統計調査規則によつて公表された平成30年及び令和元年における製造品出荷額並びに経済センサス活動調査規則によつて公表された令和2年における製造品出荷額の合計額を3で除して得た数(小数点以下3位未満の端数があるときは、その端数を四捨五入する。)H 次の算式Ⅲによつて算定した数(当該数に小数点以下3位未満の端数があるときは、その端数を四捨五入し、当該数が3を超える場合には3とし、1に満たないときは1とする。)算式Ⅲ
H=28.01×{(n-m)/m}×(1/9)+1.02
{(n-m)/m}×(1/9)に小数点以下4位未満の端数があるときは、その端数を四捨五入する。
算式Ⅲの符号m 経済センサス活動調査規則により平成24年2月1日現在で調査された年間商品販売額の小売業計n 経済センサス活動調査規則により令和3年6月1日現在で調査された年間商品販売額の小売業計I 次の算式Ⅳによつて算定した数(当該数が3を超える場合は3とする。)算式Ⅳ
I={298.51×(p-o)×(1/10)+0.58}+(17.45×p-11.22)
(p-o)×(1/10)に小数点以下4位未満の端数があるときは、その端数を四捨五入し、{298.51×(p-o)×(1/10)+0.58}に小数点以下3位未満の端数があるときは、その端数を四捨五入し、当該数が3を超える場合には3とし、1に満たないときは1とし、(17.45×p-11.22)に小数点以下3位未満の端数があるときは、その端数を四捨五入し、当該数が1を超える場合には1とし、負数となるときは0とする。
算式Ⅳの符号o 国勢調査によつて公表された平成22年10月1日現在における15歳から34歳までの就業者数を同年の15歳から34歳までの人口(人口から労働力人口及び非労働力人口を控除して得た数を除く。)で除して得た数(小数点以下4位未満の端数があるときは、その端数を四捨五入する。)p 国勢調査によつて公表された令和2年10月1日現在における15歳から34歳までの就業者数を同年の15歳から34歳までの人口(人口から労働力人口及び非労働力人口を控除して得た数を除く。)で除して得た数(小数点以下4位未満の端数があるときは、その端数を四捨五入する。)J 次の算式Ⅴによつて算定した数(当該数が3を超える場合は3とする。)算式Ⅴ
J={96.62×(r-q)×(1/10)+0.66}+(7.1×r-5.53)
(r-q)×(1/10)に小数点以下4位未満の端数があるときは、その端数を四捨五入し、{96.62×(r-q)×(1/10)+0.66}に小数点以下3位未満の端数があるときは、その端数を四捨五入し、3を超える場合には3とし、1に満たないときは1とする。(7.1×r-5.53)に小数点以下3位未満の端数があるときは、その端数を四捨五入し、1を超える場合には1とし、負数となるときは0とする。
算式Ⅴの符号q 国勢調査によつて公表された平成22年10月1日現在における25歳から44歳までの女性の就業者数を同年の25歳から44歳までの女性の人口(女性人口から労働力女性人口及び非労働力女性人口を控除して得た数を除く。)で除して得た数(小数点以下4位未満の端数があるときは、その端数を四捨五入する。)r 国勢調査によつて公表された令和2年10月1日現在における25歳から44歳までの女性の就業者数を同年の25歳から44歳までの女性の人口(女性人口から労働力女性人口及び非労働力女性人口を控除して得た数を除く。)で除して得た数(小数点以下4位未満の端数があるときは、その端数を四捨五入する。)K 次の算式Ⅵによつて算定した数(当該数が3を超える場合は3とする。)算式Ⅵ
K={384.62×(t-s)×(1/10)-0.31}+(16.72×t-4.46)
(t-s)×(1/10)に小数点以下4位未満の端数があるときは、その端数を四捨五入し、{384.62×(t-s)×(1/10)-0.31}に小数点以下3位未満の端数があるときは、その端数を四捨五入し、3を超える場合には3とし、1に満たないときは1とする。(16.72×t-4.46)に小数点以下3位未満の端数があるときは、その端数を四捨五入し、1を超える場合には1とし、負数となるときは0とする。
算式Ⅵの符号s 国勢調査によつて公表された平成22年10月1日現在における65歳以上の就業者数を同年の65歳以上の人口(人口から労働力人口及び非労働力人口を控除して得た数を除く。)で除して得た数(小数点以下4位未満の端数があるときは、その端数を四捨五入する。)t 国勢調査によつて公表された令和2年10月1日現在における65歳以上の就業者数を同年の65歳以上の人口(人口から労働力人口及び非労働力人口を控除して得た数を除く。)で除して得た数(小数点以下4位未満の端数があるときは、その端数を四捨五入する。)L 次の算式Ⅶによつて算定した数(当該数に小数点以下3位未満の端数があるときは、その端数を四捨五入し、当該数が3を超える場合には3とし、1に満たないときは1とする。)算式Ⅶ
L=53.33×{(v-u)/u}×(1/4)+γ
に小数点以下4位未満の端数があるときは、その端数を四捨五入する。
算式Ⅶの符号u 経済センサス活動調査規則によつて公表された平成24年2月1日現在における民営従業者数v 経済センサス活動調査規則によつて公表された平成28年6月1日現在における個人事業所の従業者数、法人事業所の従業者数及び法人でない団体の事業所の従業者数の合計数γ 特別区、指定都市、中核市及び施行時特例市にあつては.0.87とし、特別区、指定都市、中核市及び施行時特例市以外の市にあつては1.27とし、町村にあつては1.77とする。M 次の算式Ⅷによつて算定した数(当該数に小数点以下3位未満の端数があるときは、その端数を四捨五入し、当該数が3を超える場合には3とし、1に満たないときは1とする。)算式Ⅷ
M=79.37×{(x-w)/w}×(1/7)+δ
{(x-w)/w}×(1/7)に小数点以下4位未満の端数があるときは、その端数を四捨五入する。
算式Ⅷの符号w 経済センサス活動調査規則によつて公表された平成24年2月1日現在における民営事業所数(事業内容等不詳事業所を含む。)x 経済センサス基礎調査規則によつて令和元年6月1日から令和2年3月31日までの期間に調査して公表された民営事業所数δ 特別区、指定都市、中核市及び施行時特例市にあつては-0.48とし、特別区、指定都市、中核市及び施行時特例市以外の市にあつては0.98とし、町村にあつては1.40とする。N 次の算式Ⅸによつて算定した数(当該数に小数点以下3位未満の端数があるときは、その端数を四捨五入し、当該数が3を超える場合には3とし、1に満たないときは1とする。)算式Ⅸ
N=57.80×{(z-y)/y}×(1/9)+0.94
{(z-y)/y}×(1/9)に小数点以下4位未満の端数があるときは、その端数を四捨五入する。
算式Ⅸの符号y 平成22年度から平成24年度までの各年度の一人当たり地方税収(「地方財政状況調査表(市町村・一部事務組合分)」の「歳入内訳」の表側「1.地方税」、表頭「決算額」の数を当該年度の3月31日現在(ただし、平成25年度以降においては1月1日現在とする。)における住民基本台帳登載人口で除して得た数(小数点以下4位未満の端数があるときは、その端数を四捨五入する。)をいう。以下この表において同じ。)の合計額を3で除して得た数(小数点以下4位未満の端数があるときは、その端数を四捨五入する。)z 令和元年度から令和3年度までの各年度の一人当たり地方税収の合計額を3で除して得た数(小数点以下4位未満の端数があるときは、その端数を四捨五入する。)β 次条第7項の表市町村の項の算式の符号αの率と同じ。
8前四項の規定を適用する場合における測定単位の数値に係る補正係数は、それぞれの理由ごとに算出した補正係数を連乗した率による。
9新市町村の測定単位の数値の合併関係市町村への分別又は按分は、第四十九条第二項第一号の規定により分別又は按分するものとする。
10新市町村の経常態容補正の算定における合併関係市町村の経常態容補正係数の算定に用いる数値については、新市町村(ただし、二回以上合併を行つた場合においては、直近の合併に係る当該新市町村)の数値を用いる。
11第四十九条第一項の規定の適用については、同項中「額の合算額」とあるのは、「額と附則第十九条の十四第九項の規定によつて分別又は按分した測定単位の数値を同条第三項から第八項までの規定により補正したものに当該測定単位ごとの単位費用を乗じて得た額との合算額」とする。

(「人口減少等特別対策事業費」に係る数値の算定方法等)

第十九条の十四の二法附則第五条の三第二項の規定による測定単位の数値は、次の表の上欄に掲げる測定単位の種類につき、同表の中欄に定める測定単位の数値の算定方法によつて、同表の下欄に掲げる表示単位に基づいて算定する。
測定単位の種類測定単位の数値の算定方法表示単位
人口国勢調査令によつて調査した令和二年十月一日現在における人口人
2前項の規定によつて測定単位の数値を算定する場合においては、第五条第二項の規定を準用する。
3法附則第五条の三第二項ただし書の規定に基づき行う補正は、段階補正及び経常態容補正とする。
4前項の規定に基づいて行う段階補正に用いる法第十三条第四項の規定による率は、附則別表第十二の二に定めるところによるものとし、市町村の段階補正係数が十五・〇〇〇を超えるときは、十五・〇〇〇とする。
5第三項の規定に基づいて行う経常態容補正に用いる率は、経常態容補正Ⅰ係数及び経常態容補正Ⅱ係数を合算して得た率とする。
6前項の規定に基づいて行う経常態容補正Ⅰは、次の表の上欄に掲げる地方団体の種類につき、同表の下欄に掲げる算式及び算式の符号によつて算定した数(小数点以下三位未満の端数があるときは、その端数を四捨五入する。)を用いて行うものとする。
地方団体の種類算式及び算式の符号
都道府県算式
(0.4×A+0.075×B+0.075×C+0.075×D+0.075×E+0.075×F+0.075×G+0.075×H+0.075×I)×0.659
0.4×A
、
0.075×B
、
0.075×C
、
0.075×D
、
0.075×E
、
0.075×F
、
0.075×G
、
0.075×H
及び
0.075×I
に小数点以下3位未満の端数があるときは、その端数を四捨五入する。
算式の符号A 次の算式Ⅰによつて算定した数(当該数に小数点以下3位未満の端数があるときは、その端数を四捨五入し、当該数が3を超える場合には3とし、負数となるときは0とする。)算式Ⅰa≧0のとき 
A=-0.03×a+0.1
a<0のとき 
A=-0.16×a+0.1
算式Ⅰの符号a 平成24年度並びに平成25年及び平成26年における人口増減率(住民基本台帳関係年報における当該都道府県の区域内の市町村に係る「市町村別住民票記載、消除数」の表頭「増減数」の「日本人」の欄の数(ただし、平成23年度以前については、表頭「増減数」の欄の数とする。)の合計数を当該都道府県の日本人住民基本台帳登載人口で除して得た数に1,000を乗じて得た数(小数点以下4位未満の端数があるときは、その端数を四捨五入する。)をいう。以下この表の都道府県の項及び第7項の表の都道府県の項において同じ。)の合計数を3で除して得た数(小数点以下4位未満の端数があるときは、その端数を四捨五入する。)B 次の算式Ⅱによつて算定した数(当該数に小数点以下3位未満の端数があるときは、その端数を四捨五入し、当該数が3を超える場合には3とする。)算式Ⅱ
B=18.1518/b
算式Ⅱの符号b 平成24年から平成26年までの各年における転入者人口比率(住民基本台帳人口移動報告における「第4表 男女別都道府県内移動者数、他都道府県からの転入者数及び他都道府県への転出者数」の表頭「他都道府県からの転入者数」の「総数」の欄の数を当該都道府県の日本人住民基本台帳登載人口で除して得た数に1,000を乗じて得た数(小数点以下4位未満の端数があるときは、その端数を四捨五入する。)をいう。)の合計数を3で除して得た数(小数点以下4位未満の端数があるときは、その端数を四捨五入する。)C 次の算式Ⅲによつて算定した数(当該数に小数点以下3位未満の端数があるときは、その端数を四捨五入し、当該数が3を超える場合には3とする。)算式Ⅲ
C=c/18.1518
算式Ⅲの符号c 平成24年から平成26年までの各年における転出者人口比率(住民基本台帳人口移動報告における「第4表 男女別都道府県内移動者数、他都道府県からの転入者数及び他都道府県への転出者数」の表頭「他都道府県への転出者数」の「総数」の欄の数を当該都道府県の日本人住民基本台帳登載人口で除して得た数に1,000を乗じて得た数(小数点以下4位未満の端数があるときは、その端数を四捨五入する。)をいう。)の合計数を3で除して得た数(小数点以下4位未満の端数があるときは、その端数を四捨五入する。)D 次の算式Ⅳによつて算定した数(当該数に小数点以下3位未満の端数があるときは、その端数を四捨五入し、当該数が3を超える場合には3とする。)算式Ⅳ
D=0.1303/d
算式Ⅳの符号d 平成25年3月31日現在、平成26年1月1日現在及び平成27年1月1日現在における年少者人口比率(住民基本台帳登載人口のうち15歳未満の日本人の数(ただし、平成24年3月31日以前については15歳未満の者の数とする。)を当該都道府県の日本人住民基本台帳登載人口で除して得た数(小数点以下4位未満の端数があるときは、その端数を四捨五入する。)をいう。以下この条において同じ。)の合計数を3で除して得た数(小数点以下4位未満の端数があるときは、その端数を四捨五入する。)E 次の算式Ⅴによつて算定した数(当該数に小数点以下3位未満の端数があるときは、その端数を四捨五入し、当該数が3を超える場合には3とし、負数となるときは0とする。)算式Ⅴe≧0のとき 
E=-0.04×e+0.1
e<0のとき 
E=-0.27×e+0.1
算式Ⅴの符号e 平成24年度並びに平成25年及び平成26年における自然増減率(住民基本台帳関係年報における当該都道府県の区域内の市町村に係る「市町村別住民票記載、消除数」の表頭「出生者数」の「日本人」の欄の数から表頭「死亡者数」の「日本人」の欄の数を控除した数(ただし、平成23年度以前については「市町村別住民票記載、消除数」の表頭「出生者数」の欄の数から表頭「死亡者数」の欄の数を控除した数とする。)の合計数を当該都道府県の日本人住民基本台帳登載人口で除して得た数に1,000を乗じて得た数(小数点以下4位未満の端数があるときは、その端数を四捨五入する。)をいう。以下この表の都道府県の項及び第7項の表の都道府県の項において同じ。)の合計数を3で除して得た数(小数点以下4位未満の端数があるときは、その端数を四捨五入する。)F 次の算式Ⅵによつて算定した数(当該数に小数点以下3位未満の端数があるときは、その端数を四捨五入し、当該数が3を超える場合には3とする。)算式Ⅵ
F=0.6072/f
算式Ⅵの符号f 平成22年10月1日現在における若年者就業率(国勢調査によつて公表された15歳から34歳までの就業者数を同年の15歳から34歳までの人口(人口から労働力人口及び非労働力人口を控除して得た数を除く。)で除して得た数(小数点以下4位未満の端数があるときは、その端数を四捨五入する。以下この条において同じ。)G 次の算式Ⅶによつて算定した数(当該数に小数点以下3位未満の端数があるときは、その端数を四捨五入し、当該数が3を超える場合には3とする。)算式Ⅶ
G=0.6746/g
算式Ⅶの符号g 平成22年10月1日現在における女性就業率(国勢調査によつて公表された25歳から44歳までの女性の就業者数を同年の25歳から44歳までの女性の人口(女性人口から労働力女性人口及び非労働力女性人口を控除して得た数を除く。)で除して得た数(小数点以下4位未満の端数があるときは、その端数を四捨五入する。以下この条において同じ。)H 次の算式Ⅷによつて算定した数(当該数に小数点以下3位未満の端数があるときは、その端数を四捨五入し、当該数が3を超える場合には3とする。)算式Ⅷ
H=1/h
算式Ⅷの符号h 厚生労働省において公表した一般職業紹介状況における平成26年11月から平成27年4月までの各月における有効求人倍率(平成31年3月1日現在における最近の季節調整値)の合計数を6で除して得た数(小数点以下2位未満の端数があるときは、その端数を四捨五入する。)I 次の算式Ⅸによつて算定した数(当該数に小数点以下3位未満の端数があるときは、その端数を四捨五入し、当該数が3を超える場合には3とする。)算式Ⅸ
I=6,171,494/i
算式Ⅸの符号i 一人当たり各産業の売上高(平成24年から平成26年までの各年における第一次産業産出額(農林水産省において公表した生産農業所得統計における農業産出額、生産林業所得統計における林業産出額及び漁業生産額における漁業生産額の合計額をいう。)の合計額を3で除して得た額(百万円未満の端数があるときは、その端数を四捨五入する。)、工業統計調査規則によつて公表された平成24年から平成26年までの各年における製造品出荷額の合計額を3で除して得た額(万円未満の端数があるときは、その端数を四捨五入する。)並びに商業統計調査規則(昭和27年通商産業省令第60号)により平成26年7月1日現在で調査された年間商品販売額の小売業計及び卸売業計の合算額を国勢調査令によつて調査した平成27年10月1日現在における人口で除して得た数(整数未満の端数があるときは、その端数を四捨五入する。))
市町村算式
(0.4×A+0.075×B+0.075×C+0.075×D+0.075×E+0.075×F+0.075×G+0.075×H+0.075×I)×0.652
0.4×A
、
0.075×B
、
0.075×C
、
0.075×D
、
0.075×E
、
0.075×F
、
0.075×G
、
0.075×H
及び
0.075×I
に小数点以下3位未満の端数があるときは、その端数を四捨五入する。
算式の符号A 次の算式Ⅰによつて算定した数(当該数に小数点以下3位未満の端数があるときは、その端数を四捨五入し、当該数が3を超える場合には3とし、負数となるときは0とする。)算式Ⅰa≧0のとき 
A=-0.01×a+0.1
a<0のとき 
A=-0.07×a+0.1
算式Ⅰの符号a 平成24年度並びに平成25年及び平成26年における人口増減率(住民基本台帳関係年報における「市町村別住民票記載、消除数」の表頭「増減数」の「日本人」の欄の数(ただし、平成23年度以前については表頭「増減数」の欄の数とする。)を当該市町村の日本人住民基本台帳登載人口で除して得た数に1,000を乗じて得た数(小数点以下4位未満の端数があるときは、その端数を四捨五入する。)をいう。以下この表の市町村の項及び第7項の表の市町村の項において同じ。)の合計数を3で除して得た数(小数点以下4位未満の端数があるときは、その端数を四捨五入する。)B 次の算式Ⅱによつて算定した数(当該数に小数点以下3位未満の端数があるときは、その端数を四捨五入し、当該数が3を超える場合には3とする。)算式Ⅱ
B=40.3610/b
算式Ⅱの符号b 平成24年度並びに平成25年及び平成26年における転入者人口比率(住民基本台帳関係年報における「市町村別住民票記載、消除数」の表頭「転入者数」の「計」の「日本人」の欄の数(ただし、平成23年度以前については表頭「転入者数」の欄の数とする。)を当該市町村の日本人住民基本台帳登載人口で除して得た数に1,000を乗じて得た数(小数点以下4位未満の端数があるときは、その端数を四捨五入する。)をいう。)の合計数を3で除して得た数(小数点以下4位未満の端数があるときは、その端数を四捨五入する。)C 次の算式Ⅲによつて算定した数(当該数に小数点以下3位未満の端数があるときは、その端数を四捨五入し、当該数が3を超える場合には3とする。)算式Ⅲ
C=c/40.7378
算式Ⅲの符号c 平成24年度並びに平成25年及び平成26年における転出者人口比率(住民基本台帳関係年報における「市町村別住民票記載、消除数」の表頭「転出者数」の「計」の「日本人」の欄の数(ただし、平成23年度以前については表頭「転出者数」の欄の数とする。)を当該市町村の日本人住民基本台帳登載人口で除して得た数に1,000を乗じて得た数(小数点以下4位未満の端数があるときは、その端数を四捨五入する。)をいう。以下この表の市町村の項及び第7項の表の市町村の項において同じ。)の合計数を3で除して得た数(小数点以下4位未満の端数があるときは、その端数を四捨五入する。)D 次の算式Ⅳによつて算定した数(当該数に小数点以下3位未満の端数があるときは、その端数を四捨五入し、当該数が3を超える場合には3とする。)算式Ⅳ
D=0.1303/d
算式Ⅳの符号d 平成25年3月31日現在、平成26年1月1日現在及び平成27年1月1日現在における年少者人口比率の合計数を3で除して得た数(小数点以下4位未満の端数があるときは、その端数を四捨五入する。)E 次の算式Ⅴによつて算定した数(当該数に小数点以下3位未満の端数があるときは、その端数を四捨五入し、当該数が3を超える場合には3とし、負数となるときは0とする。)算式Ⅴe≧0のとき 
E=-0.02×e+0.1
e<0のとき 
E=-0.13×e+0.1
算式Ⅴの符号e 平成24年度並びに平成25年及び平成26年における自然増減率(住民基本台帳関係年報における「市町村別住民票記載、消除数」の表頭「出生者数」の「日本人」の欄の数から表頭「死亡者数」の「日本人」の欄の数を控除した数(ただし、平成23年度以前については表頭「出生者数」の欄の数から表頭「死亡者数」の欄の数を控除した数とする。)を当該市町村の日本人住民基本台帳登載人口で除して得た数に1,000を乗じて得た数(小数点以下4位未満の端数があるときは、その端数を四捨五入する。)をいう。以下この表の市町村の項及び第7項の表の市町村の項において同じ。)の合計数を3で除して得た数(小数点以下4位未満の端数があるときは、その端数を四捨五入する。)F 次の算式Ⅵによつて算定した数(当該数に小数点以下3位未満の端数があるときは、その端数を四捨五入し、当該数が3を超える場合には3とする。)算式Ⅵ
F=0.6072/f
算式Ⅵの符号f 平成22年10月1日現在における若年者就業率G 次の算式Ⅶによつて算定した数(当該数に小数点以下3位未満の端数があるときは、その端数を四捨五入し、当該数が3を超える場合には3とする。)算式Ⅶ
G=0.6746/g
算式Ⅶの符号g 平成22年10月1日現在における女性就業率H 次の算式Ⅷによつて算定した数(当該数に小数点以下3位未満の端数があるときは、その端数を四捨五入し、当該数が3を超える場合には3とする。)算式Ⅷ
H=1/h
算式Ⅷの符号h 厚生労働省において公表した当該市町村が所在する都道府県の一般職業紹介状況における平成26年11月から平成27年4月までの各月における有効求人倍率(平成31年3月1日現在における最近の季節調整値)の合計数を6で除して得た数(小数点以下2位未満の端数があるときは、その端数を四捨五入する。)I 次の算式Ⅸによつて算定した数(当該数に小数点以下3位未満の端数があるときは、その端数を四捨五入し、当該数が3を超える場合又はiが0の場合には3とする。)算式Ⅸ
I=6,124,434/i
算式Ⅸの符号i 一人当たり各産業の売上高(農林業センサス規則によつて公表された平成27年2月1日現在における農産物販売規模別農家数を用いて算出した農業産出額(農産物販売規模別農家数のうち50万円未満の数に25万円を乗じた額、農産物販売規模別農家数のうち50万円以上100万円未満の数に75万円を乗じた額、農産物販売規模別農家数のうち100万円以上200万円未満の数に150万円を乗じた額、農産物販売規模別農家数のうち200万円以上300万円未満の数に250万円を乗じた額、農産物販売規模別農家数のうち300万円以上500万円未満の数に400万円を乗じた額、農産物販売規模別農家数のうち500万円以上700万円未満の数に600万円を乗じた額、農産物販売規模別農家数のうち700万円以上1,000万円未満の数に850万円を乗じた額、農産物販売規模別農家数のうち1,000万円以上1,500万円未満の数に1,250万円を乗じた額、農産物販売規模別農家数のうち1,500万円以上2,000万円未満の数に1,750万円を乗じた額、農産物販売規模別農家数のうち2,000万円以上3,000万円未満の数に2,500万円を乗じた額、農産物販売規模別農家数のうち3,000万円以上5,000万円未満の数に4,000万円を乗じた額、農産物販売規模別農家数のうち5,000万円以上1億円未満の数に7,500万円を乗じた額、農産物販売規模別農家数のうち1億円以上3億円未満の数に20,000万円を乗じた額、農産物販売規模別農家数のうち3億円以上5億円未満の数に40,000万円を乗じた額及び農産物販売規模別農家数のうち5億円以上の数に60,000万円を乗じた額の合算額をいう。)、工業統計調査規則によつて公表された平成24年から平成26年までの各年における製造品出荷額の合算額を3で除して得た額(万円未満の端数があるときは、その端数を四捨五入する。)並びに商業統計調査規則により平成26年7月1日現在で調査された年間商品販売額の小売業計及び卸売業計の合算額を国勢調査令によつて調査した平成27年10月1日現在における人口で除して得た数(整数未満の端数があるときは、その端数を四捨五入する。))
7第五項の規定に基づいて行う経常態容補正Ⅱは、次の表の上欄に掲げる地方団体の種類につき、同表の下欄に掲げる算式及び算式の符号によつて算定した数(小数点以下三位未満の端数があるときは、その端数を四捨五入する。)を用いて行うものとする。
地方団体の種類算式及び算式の符号
都道府県算式
(0.2×J+0.1×K+0.1×L+0.1×M+0.1×N+0.2×O+0.1×P+0.1×Q)×α×0.315
0.2×J、0.1×K、0.1×L、0.1×M、0.1×N、0.2×O、0.1×P及び0.1×Qに小数点以下3位未満の端数があるときは、その端数を四捨五入する。
算式の符号J 次の算式Ⅰによつて算定した数(当該数に小数点以下3位未満の端数があるときは、その端数を四捨五入し、当該数が3を超える場合には3とし、1に満たないときは1とする。)算式Ⅰ
J=1.58×(k-j)+10.56
算式Ⅰの符号j 平成14年度から平成16年度までの各年度における人口増減率の合計数を3で除して得た数(小数点以下4位未満の端数があるときは、その端数を四捨五入する。)k 令和2年から令和4年までの各年における人口増減率の合計数を3で除して得た数(小数点以下4位未満の端数があるときは、その端数を四捨五入する。)K 次の算式Ⅱによつて算定した数(当該数に小数点以下3位未満の端数があるときは、その端数を四捨五入し、当該数が3を超える場合には3とし、1に満たないときは1とする。)。ただし、埼玉県、千葉県、東京都及び神奈川県においては、1とする。算式Ⅱ
K=-3.23×(m-l)-0.75
算式Ⅱの符号l 平成18年から平成20年までの各年における東京圏転出入人口比率(住民基本台帳人口移動報告における「第7表 移動前の住所地男女別転入者数及び移動後の住所地男女別転出者数」の当該都道府県の表の表頭「移動前の住所地別転入者数」の総数のうち埼玉県、千葉県、東京都及び神奈川県の欄の数を合算した数から、表頭「移動後の住所地別転出者数」の総数のうち埼玉県、千葉県、東京都及び神奈川県の欄の数を合算した数を控除した数を当該都道府県の日本人住民基本台帳登載人口で除して得た数に1,000を乗じて得た数(小数点以下4位未満の端数があるときは、その端数を四捨五入する。)をいう。以下この表の都道府県の項において同じ。)の合計数を3で除して得た数(小数点以下4位未満の端数があるときは、その端数を四捨五入する。)m 令和2年から令和4年までの各年における東京圏転出入人口比率(住民基本台帳人口移動報告における「第2表 移動前の住所地,男女別都道府県間移動者数」の表頭が当該都道府県の総数のうち表側「国籍」が日本人移動者かつ表側「移動前の住所地」が東京圏総数の欄の数から、表頭が東京圏総数のうち表側「国籍」が日本人移動者かつ表側「移動前の住所地」が当該都道府県の欄の数を控除した数を当該都道府県の日本人住民基本台帳登載人口で除して得た数に1,000を乗じて得た数(小数点以下4位未満の端数があるときは、その端数を四捨五入する。)をいう。)の合計数を3で除して得た数(小数点以下4位未満の端数があるときは、その端数を四捨五入する。)L 次の算式Ⅲによつて算定した数(当該数に小数点以下3位未満の端数があるときは、その端数を四捨五入し、当該数が3を超える場合には3とし、1に満たないときは1とする。)算式Ⅲ
L=43.76×(o-n)-0.60
算式Ⅲの符号n 平成7年から平成9年までの各年における自団体内進学率(学校基本調査における「13 出身高校の所在地県別大学入学者数」及び「45 出身高校の所在地県別短期大学入学者数」の表頭「出身高校の所在地」が当該都道府県の数のうち表側「計」の欄の数を表側が当該都道府県の数で除して得た数(小数点以下4位未満の端数があるときは、その端数を四捨五入する。)をいう。以下この表の都道府県の項において同じ。)の合計数を3で除して得た数(小数点以下4位未満の端数があるときは、その端数を四捨五入する。)o 令和2年から令和4年までの各年における自団体内進学率の合計数を3で除して得た数(小数点以下4位未満の端数があるときは、その端数を四捨五入する。)M 次の算式Ⅳによつて算定した数(当該数に小数点以下3位未満の端数があるときは、その端数を四捨五入し、当該数が3を超える場合には3とし、1に満たないときは1とする。)算式Ⅳ
M=20.92×(q-p)+0.53
算式Ⅳの符号p 平成24年から平成26年までの各年における自団体内就職者割合(雇用動向調査における「第22表 職歴、都道府県、性別県内移動入職者数、他県からの流入者数及び他県への流出者数」の表頭「男女計」の「県内移動」及び「他県への流出」の計の数を合計した数を表頭「男女計」の「県内移動」数で除して得た数(小数点以下4位未満の端数があるときは、その端数を四捨五入する。)をいう。以下この表の都道府県の項において同じ。)の合計数を3で除して得た数(小数点以下4位未満の端数があるときは、その端数を四捨五入する。)q 令和元年から令和3年までの各年における自団体内就職者割合の合計数を3で除して得た数(小数点以下4位未満の端数があるときは、その端数を四捨五入する。)N 次の算式Ⅴによつて算定した数(当該数に小数点以下3位未満の端数があるときは、その端数を四捨五入し、当該数が3を超える場合には3とし、1に満たないときは1とする。)算式Ⅴ
N=312.50×(s-r)+7.38
算式Ⅴの符号r 平成15年3月31日現在、平成16年3月31日現在及び平成17年3月31日現在における年少者人口比率の合計数を3で除して得た数(小数点以下4位未満の端数があるときは、その端数を四捨五入する。)s 令和3年1月1日現在、令和4年1月1日現在及び令和5年1月1日現在における年少者人口比率の合計数を3で除して得た数(小数点以下4位未満の端数があるときは、その端数を四捨五入する。)O 次の算式Ⅵによつて算定した数(当該数が3を超える場合は3とする。)算式Ⅵ
O={13.12×(u-t)+0.11}+(4.42×u-5.38)
{13.12×(u-t)+0.11}に小数点以下3位未満の端数があるときは、その端数を四捨五入し、0.5に満たない場合は0.5とし、(4.42×u-5.38)に小数点以下3位未満の端数があるときは、その端数を四捨五入し、0.5に満たない場合は0.5とする。
算式Ⅵの符号t 人口動態統計における平成14年から平成16年までの各年における合計特殊出生率の合計数を3で除して得た数(小数点以下4位未満の端数があるときは、その端数を四捨五入する。)u 人口動態統計における令和元年から令和3年までの各年における合計特殊出生率の合計数を3で除して得た数(小数点以下4位未満の端数があるときは、その端数を四捨五入する。)P 次の算式Ⅶによつて算定した数(当該数が3を超える場合は3とする。)算式Ⅶ
P={103.00×(w-v)-3.35}+(15.50×w-9.97)
{103.00×(w-v)-3.35}に小数点以下3位未満の端数があるときは、その端数を四捨五入し、3を超える場合は3とし、1に満たない場合は1とし、(15.50×w-9.97)に小数点以下3位未満の端数があるときは、その端数を四捨五入し、当該数が1を超える場合には1とし、負数となるときは0とする。
算式Ⅶの符号v 平成12年10月1日現在における若年者就業率w 令和2年10月1日現在における若年者就業率Q 次の算式Ⅷによつて算定した数(当該数が3を超える場合は3とする。)算式Ⅷ
Q={71.94×(y-x)-10.88}+(13.91×y-10.83)
{71.94×(y-x)-10.88}に小数点以下3位未満の端数があるときは、その端数を四捨五入し、当該数が3を超える場合は3とし、1に満たない場合は1とし、(13.91×y-10.83)に小数点以下3位未満の端数があるときは、その端数を四捨五入し、当該数が1を超える場合には1とし、負数となるときは0とする。
算式Ⅷの符号x 平成12年10月1日現在における女性就業率y 令和2年10月1日現在における女性就業率α 次の算式Ⅸによつて算定した率(当該数に小数点以下3位未満の端数があるときは、その端数を四捨五入し、1.500を超える場合は1.500とし、1.000に満たない場合は1.000とする。)。ただし、令和2年度から令和4年度までの各年度における基準財政収入額を基準財政需要額で除して得た数(小数点以下2位未満の端数があるときは、その端数を四捨五入する。)の合計数を3で除して得た数(小数点以下2位未満の端数があるときは、その端数を四捨五入する。)が0.49以上となる場合は1.000とする。算式Ⅸ
α=1+{(0.4×A+0.075×B+0.075×C+0.075×D+0.075×E+0.075×F+0.075×G+0.075×H+0.075×I)-1}/2
算式Ⅸの符号A 前項の表都道府県の項の算式の符号Aに同じ。B 前項の表都道府県の項の算式の符号Bに同じ。C 前項の表都道府県の項の算式の符号Cに同じ。D 前項の表都道府県の項の算式の符号Dに同じ。E 前項の表都道府県の項の算式の符号Eに同じ。F 前項の表都道府県の項の算式の符号Fに同じ。G 前項の表都道府県の項の算式の符号Gに同じ。H 前項の表都道府県の項の算式の符号Hに同じ。I 前項の表都道府県の項の算式の符号Iに同じ。
市町村算式
(0.25×J+0.1×K+0.1×L+0.1×M+0.25×N+0.1×O+0.1×P)×α×0.314
0.25×J、0.1×K、0.1×L、0.1×M、0.25×N、0.1×O及び0.1×Pに小数点以下3位未満の端数があるときは、その端数を四捨五入する。
算式の符号J 次の算式Ⅰによつて算定した数(当該数に小数点以下3位未満の端数があるときは、その端数を四捨五入し、当該数が3を超える場合には3とし、1に満たないときは1とする。)算式Ⅰ
J=0.31×(k-j)+γ
算式Ⅰの符号j 平成14年度から平成16年度までの各年度における人口増減率の合計数を3で除して得た数(小数点以下4位未満の端数があるときは、その端数を四捨五入する。)k 令和2年から令和4年までの各年における人口増減率の合計数を3で除して得た数(小数点以下4位未満の端数があるときは、その端数を四捨五入する。)γ 特別区、指定都市、中核市及び施行時特例市にあつては2.74とし、特別区、指定都市、中核市及び施行時特例市以外の市にあつては3.05とし、町村にあつては3.33とする。K 次の算式Ⅱによつて算定した数(当該数に小数点以下3位未満の端数があるときは、その端数を四捨五入し、当該数が3を超える場合には3とし、1に満たないときは1とする。)算式Ⅱ
K=0.28×(m-l)+2.16
算式Ⅱの符号l 平成18年度から平成20年度までの各年度における転入者人口比率の合計数を3で除して得た数(小数点以下4位未満の端数があるときは、その端数を四捨五入する。)m 令和2年から令和4年までの各年における転入者人口比率の合計数を3で除して得た数(小数点以下4位未満の端数があるときは、その端数を四捨五入する。)L 次の算式Ⅲによつて算定した数(当該数に小数点以下3位未満の端数があるときは、その端数を四捨五入し、当該数が3を超える場合には3とし、1に満たないときは1とする。)算式Ⅲ
L=-0.34×(o-n)-0.36
算式Ⅲの符号n 平成18年度から平成20年度までの各年度における転出者人口比率の合計数を3で除して得た数(小数点以下4位未満の端数があるときは、その端数を四捨五入する。)o 令和2年から令和4年までの各年における転出者人口比率の合計数を3で除して得た数(小数点以下4位未満の端数があるときは、その端数を四捨五入する。)M 次の算式Ⅳによつて算定した数(当該数に小数点以下3位未満の端数があるときは、その端数を四捨五入し、当該数が3を超える場合には3とし、1に満たないときは1とする。)算式Ⅳ
M=124.22×(q-p)+δ
算式Ⅳの符号p 平成15年3月31日現在、平成16年3月31日現在及び平成17年3月31日現在における年少者人口比率の合計数を3で除して得た数(小数点以下4位未満の端数があるときは、その端数を四捨五入する。)q 令和3年1月1日現在、令和4年1月1日現在及び令和5年1月1日現在における年少者人口比率の合計数を3で除して得た数(小数点以下4位未満の端数があるときは、その端数を四捨五入する。)δ 特別区、指定都市、中核市及び施行時特例市にあつては3.12とし、特別区、指定都市、中核市及び施行時特例市以外の市にあつては3.92とし、町村にあつては4.01とする。N 次の算式Ⅴによつて算定した数(当該数が3を超える場合は3とする。)算式Ⅴ
N={0.14×(s-r)+1.33}+(0.15×s-4.62)
{0.14×(s-r)+1.33}に小数点以下3位未満の端数があるときは、その端数を四捨五入し、0.5に満たない場合は0.5とし、(0.15×s-4.62)に小数点以下3位未満の端数があるときは、その端数を四捨五入し、0.5に満たない場合は0.5とする。
算式Ⅴの符号r 住民基本台帳関係年報に登載された平成15年3月31日現在における出生数を、15歳から19歳までの女性人口に0.153を乗じて得た数(整数未満の端数があるときは、その端数を四捨五入する。)、20歳から24歳までの女性人口に0.982を乗じて得た数(整数未満の端数があるときは、その端数を四捨五入する。)、25歳から29歳までの女性人口に2.303を乗じて得た数(整数未満の端数があるときは、その端数を四捨五入する。)、30歳から34歳までの女性人口に2.217を乗じて得た数(整数未満の端数があるときは、その端数を四捨五入する。)、35歳から39歳までの女性人口に0.792を乗じて得た数(整数未満の端数があるときは、その端数を四捨五入する。)、40歳から44歳までの女性人口に0.104を乗じて得た数(整数未満の端数があるときは、その端数を四捨五入する。)及び45歳から49歳までの女性人口に0.002を乗じて得た数(整数未満の端数があるときは、その端数を四捨五入する。)の合計数で除して、1,000を乗じて得た数(小数点以下4位未満の端数があるときは、その端数を四捨五入する。)、平成16年3月31日現在における出生数を、15歳から19歳までの女性人口に0.146を乗じて得た数(整数未満の端数があるときは、その端数を四捨五入する。)、20歳から24歳までの女性人口に0.953を乗じて得た数(整数未満の端数があるときは、その端数を四捨五入する。)、25歳から29歳までの女性人口に2.271を乗じて得た数(整数未満の端数があるときは、その端数を四捨五入する。)、30歳から34歳までの女性人口に2.141を乗じて得た数(整数未満の端数があるときは、その端数を四捨五入する。)、35歳から39歳までの女性人口に0.835を乗じて得た数(整数未満の端数があるときは、その端数を四捨五入する。)、40歳から44歳までの女性人口に0.114を乗じて得た数(整数未満の端数があるときは、その端数を四捨五入する。)及び45歳から49歳までの女性人口に0.003を乗じて得た数(整数未満の端数があるときは、その端数を四捨五入する。)の合計数で除して、1,000を乗じて得た数(小数点以下4位未満の端数があるときは、その端数を四捨五入する。)並びに平成17年3月31日現在における出生数を、15歳から19歳までの女性人口に0.144を乗じて得た数(整数未満の端数があるときは、その端数を四捨五入する。)、20歳から24歳までの女性人口に0.938を乗じて得た数(整数未満の端数があるときは、その端数を四捨五入する。)、25歳から29歳までの女性人口に2.220を乗じて得た数(整数未満の端数があるときは、その端数を四捨五入する。)、30歳から34歳までの女性人口に2.165を乗じて得た数(整数未満の端数があるときは、その端数を四捨五入する。)、35歳から39歳までの女性人口に0.887を乗じて得た数(整数未満の端数があるときは、その端数を四捨五入する。)、40歳から44歳までの女性人口に0.121を乗じて得た数(整数未満の端数があるときは、その端数を四捨五入する。)及び45歳から49歳までの女性人口に0.003を乗じて得た数(整数未満の端数があるときは、その端数を四捨五入する。)の合計数で除して、1,000を乗じて得た数を合算して得た数(小数点以下4位未満の端数があるときは、その端数を四捨五入する。)を3で除して得た数(小数点以下4位未満の端数があるときは、その端数を四捨五入する。)s 住民基本台帳関係年報に登載された令和3年1月1日現在における出生数を、15歳から19歳までの女性人口に0.072を乗じて得た数(整数未満の端数があるときは、その端数を四捨五入する。)、20歳から24歳までの女性人口に0.659を乗じて得た数(整数未満の端数があるときは、その端数を四捨五入する。)、25歳から29歳までの女性人口に2.135を乗じて得た数(整数未満の端数があるときは、その端数を四捨五入する。)、30歳から34歳までの女性人口に2.778を乗じて得た数(整数未満の端数があるときは、その端数を四捨五入する。)、35歳から39歳までの女性人口に1.572を乗じて得た数(整数未満の端数があるときは、その端数を四捨五入する。)、40歳から44歳までの女性人口に0.339を乗じて得た数(整数未満の端数があるときは、その端数を四捨五入する。)及び45歳から49歳までの女性人口に0.010を乗じて得た数(整数未満の端数があるときは、その端数を四捨五入する。)の合計数で除して、1,000を乗じて得た数(小数点以下4位未満の端数があるときは、その端数を四捨五入する。)、令和4年1月1日現在における出生数を、15歳から19歳までの女性人口に0.059を乗じて得た数(整数未満の端数があるときは、その端数を四捨五入する。)、20歳から24歳までの女性人口に0.605を乗じて得た数(整数未満の端数があるときは、その端数を四捨五入する。)、25歳から29歳までの女性人口に2.103を乗じて得た数(整数未満の端数があるときは、その端数を四捨五入する。)、30歳から34歳までの女性人口に2.790を乗じて得た数(整数未満の端数があるときは、その端数を四捨五入する。)、35歳から39歳までの女性人口に1.605を乗じて得た数(整数未満の端数があるときは、その端数を四捨五入する。)、40歳から44歳までの女性人口に0.362を乗じて得た数(整数未満の端数があるときは、その端数を四捨五入する。)及び45歳から49歳までの女性人口に0.010を乗じて得た数(整数未満の端数があるときは、その端数を四捨五入する。)の合計数で除して、1,000を乗じて得た数(小数点以下4位未満の端数があるときは、その端数を四捨五入する。)並びに令和5年1月1日現在における出生数を、15歳から19歳までの女性人口に0.059を乗じて得た数(整数未満の端数があるときは、その端数を四捨五入する。)、20歳から24歳までの女性人口に0.605を乗じて得た数(整数未満の端数があるときは、その端数を四捨五入する。)、25歳から29歳までの女性人口に2.103を乗じて得た数(整数未満の端数があるときは、その端数を四捨五入する。)、30歳から34歳までの女性人口に2.790を乗じて得た数(整数未満の端数があるときは、その端数を四捨五入する。)、35歳から39歳までの女性人口に1.605を乗じて得た数(整数未満の端数があるときは、その端数を四捨五入する。)、40歳から44歳までの女性人口に0.362を乗じて得た数(整数未満の端数があるときは、その端数を四捨五入する。)及び45歳から49歳までの女性人口に0.010を乗じて得た数(整数未満の端数があるときは、その端数を四捨五入する。)の合計数で除して、1,000を乗じて得た数(小数点以下4位未満の端数があるときは、その端数を四捨五入する。)を合算して得た数を3で除して得た数(小数点以下4位未満の端数があるときは、その端数を四捨五入する。)O 次の算式Ⅵによつて算定した数(当該数が3を超える場合は3とする。)算式Ⅵ
O={37.04×(u-t)-0.57}+(17.44×u-11.21)
{37.04×(u-t)-0.57}に小数点以下3位未満の端数があるときは、その端数を四捨五入し、当該数が3を超える場合には3とし、1に満たない場合は1とし、(17.44×u-11.21)に小数点以下3位未満の端数があるときは、その端数を四捨五入し、当該数が1を超える場合には1とし、負数となるときは0とする。
算式Ⅵの符号t 平成12年10月1日現在における若年者就業率u 令和2年10月1日現在における若年者就業率P 次の算式Ⅶによつて算定した数(当該数が3を超える場合は3とする。)算式Ⅶ
P={13.98×(w-v)-1.31}+(7.1×w-5.53)
{13.98×(w-v)-1.31}に小数点以下3位未満の端数があるときは、その端数を四捨五入し、3を超える場合は3とし、1に満たない場合は1とし、(7.1×w-5.53)に小数点以下3位未満の端数があるときは、その端数を四捨五入し、当該数が1を超える場合には1とし、負数となるときは0とする。
算式Ⅶの符号v 平成12年10月1日現在における女性就業率w 令和2年10月1日現在における女性就業率α α1、α2、α3又はα4のいずれか大きい率(ただし、令和2年度から令和4年度までの各年度における基準財政収入額を基準財政需要額で除して得た数(小数点以下2位未満の端数があるときは、その端数を四捨五入する。)の合計数を3で除して得た数(小数点以下2位未満の端数があるときは、その端数を四捨五入する。)が0.49以上となる場合は1.000とする。)α1 次の算式Ⅷによつて算定した数(小数点以下3位未満の端数があるときは、その端数を四捨五入する。)算式Ⅷ
α1=1+{(0.4×A+0.075×B+0.075×C+0.075×D+0.075×E+0.075×F+0.075×G+0.075×H+0.075×I)-1}/2
算式Ⅷの符号A 前項の表市町村の項の算式の符号Aに同じ。B 前項の表市町村の項の算式の符号Bに同じ。C 前項の表市町村の項の算式の符号Cに同じ。D 前項の表市町村の項の算式の符号Dに同じ。E 前項の表市町村の項の算式の符号Eに同じ。F 前項の表市町村の項の算式の符号Fに同じ。G 前項の表市町村の項の算式の符号Gに同じ。H 前項の表市町村の項の算式の符号Hに同じ。I 前項の表市町村の項の算式の符号Iに同じ。α2 過疎地域持続的発展法第43条の規定により読み替えて適用する過疎地域持続的発展法第2条第1項に基づく過疎地域の市町村、過疎地域持続的発展法第42条の規定により過疎地域とみなされる市町村、離島振興法第2条第2項に基づき公示された離島をその区域の全部とする市町村、沖縄県内の市町村、奄美群島振興開発特別措置法第1条に規定する奄美群島をその区域の全部又は一部とする市町村、小笠原諸島振興開発特別措置法第4条第1項に規定する小笠原諸島をその区域の全部又は一部とする市町村、山村振興法第7条に基づき指定された振興山村をその区域の全部とする市町村及び半島振興法第2条に基づき指定された半島地域をその区域の全部とする市町村にあつては1.200とし、それ以外の市町村にあつては1.000とする。α3 過疎地域持続的発展法第43条の規定により読み替えて適用する過疎地域持続的発展法第3条の規定によりその地域の一部が過疎地域とみなされる市町村、離島振興法第2条第2項に基づき公示された離島をその区域の一部とする市町村、山村振興法第7条に基づき指定された振興山村をその区域の一部とする市町村及び半島振興法第2条に基づき指定された半島地域をその区域の一部とする市町村にあつては1.100とし、それ以外の市町村にあつては1.000とする。α4 令和3年3月31日において旧過疎地域自立促進特別措置法第2条第1項に基づく過疎地域の市町村及び同法第33条第1項の規定により過疎地域とみなされる市町村にあつては1.200とし、同法第33条第2項の規定によりその地域の一部が過疎地域とみなされる市町村にあつては1.100とする。
8前四項の規定を適用する場合における測定単位の数値に係る補正係数は、それぞれの理由ごとに算出した補正係数を連乗した率による。
9新市町村の測定単位の数値の合併関係市町村への分別又は按分は、第四十九条第二項第一号の規定により分別又は按分するものとする。
10新市町村の段階補正及び経常態容補正の算定における合併関係市町村の段階補正係数及び経常態容補正係数の算定に用いる数値については、新市町村(ただし、二回以上合併を行つた場合においては、直近の合併に係る当該新市町村)の数値を用いる。
11第四十九条第一項の規定の適用については、同項中「額の合算額」とあるのは、「額と附則第十九条の十四の二第九項の規定によつて分別又は按分した測定単位の数値を同条第三項から第八項までの規定により補正したものに当該測定単位ごとの単位費用を乗じて得た額との合算額」とする。

(「地域社会再生事業費」に係る数値の算定方法等)

第十九条の十四の三法附則第五条の四第二項の規定による測定単位の数値は、次の表の上欄に掲げる測定単位の種類につき、同表の中欄に定める測定単位の数値の算定方法によつて、同表の下欄に掲げる表示単位に基づいて算定する。
測定単位の種類測定単位の数値の算定方法表示単位
人口国勢調査令によつて調査した令和二年十月一日現在における人口人
2前項の規定によつて測定単位の数値を算定する場合においては、第五条第二項の規定を準用する。
3法附則第五条の三第二項ただし書の規定に基づいて行う補正は、段階補正、経常態容補正及び密度補正とする。
4前項の規定に基づいて行う段階補正に用いる法第十三条第四項の規定による率は、附則別表第十二の三に定めるところによるものとし、市町村の段階補正係数が十・〇〇〇を超えるときは、十・〇〇〇とする。
5第三項の規定に基づいて行う経常態容補正は、次の表の上欄に掲げる地方団体の種類につき、同表の下欄に掲げる算式及び算式の符号によつて算定した数(小数点以下三位未満の端数があるときは、その端数を四捨五入する。)を用いて行うものとする。
地方団体の種類算式及び算式の符号
都道府県算式
(0.2×A+0.1×B+0.1×C+0.1×D)×1.035+(0.5×E)×0.770
0.2×A、0.1×B、0.1×C、0.1×D及び0.5×Eに小数点以下3位未満の端数があるときは、その端数を四捨五入する。
算式の符号A 次の算式Ⅰによつて算定した数(当該数に小数点以下3位未満の端数があるときは、その端数を四捨五入し、当該数が3を超える場合には3とし、負数となるときは0とする。)算式Ⅰ
A={(a1-a2)/a1}/0.045
{(a1-a2)/a1}に小数点以下3位未満の端数があるときは、その端数を四捨五入する。
算式Ⅰの符号a1 国勢調査令によつて調査した平成22年10月1日現在における当該都道府県の人口a2 国勢調査令によつて調査した令和2年10月1日現在における当該都道府県の人口B 次の算式Ⅱによつて算定した数(当該数に小数点以下3位未満の端数があるときは、その端数を四捨五入し、当該数が3を超える場合には3とする。)算式Ⅱ
B=0.119/b
算式Ⅱの符号b 令和2年10月1日現在における年少者人口比率(国勢調査令によつて調査した同日現在における当該都道府県の15歳未満の人口を同令によつて調査した同日現在における当該都道府県の人口で除して得た数(小数点以下3位未満の端数があるときは、その端数を四捨五入する。)をいう。)C 次の算式Ⅲによつて算定した数(当該数に小数点以下3位未満の端数があるときは、その端数を四捨五入し、当該数が3を超える場合には3とする。)算式Ⅲ
C=c/0.280
算式Ⅲの符号c 令和2年10月1日現在における高齢者人口比率(国勢調査令によつて調査した同日現在における当該都道府県の65歳以上の人口を同令によつて調査した同日現在における当該都道府県の人口で除して得た数(小数点以下3位未満の端数があるときは、その端数を四捨五入する。)をいう。)D 次の算式Ⅳによつて算定した数(当該数に小数点以下3位未満の端数があるときは、その端数を四捨五入し、当該数が3を超える場合には3とする。)算式Ⅳ
D=[{(d1-d2)/d1}+0.022]/0.125
{(d1-d2)/d1}に小数点以下3位未満の端数があるときは、その端数を四捨五入する。
算式Ⅳの符号d1 国勢調査令によつて調査した平成22年10月1日現在における当該都道府県の15歳以上65歳未満人口d2 国勢調査令によつて調査した令和2年10月1日現在における当該都道府県の15歳以上65歳未満人口E 次の算式Ⅴによつて算定した数(当該数に小数点以下3位未満の端数があるときは、その端数を四捨五入する。)算式Ⅴ
E=(e/f)/0.263
算式Ⅴの符号e 次の算式によつて算定した数算式
2.00×e1+1.75×e2+1.50×e3+1.25×e4+1.00×e5+0.75×e6+0.50×e7+0.25×e8
2.00×e1、1.75×e2、1.50×e3、1.25×e4、1.00×e5、0.75×e6、0.50×e7及び0.25×e8に小数点未満の端数があるときは、その端数を四捨五入する。
算式の符号e1 当該都道府県の区域内の市町村におけるメツシユ人口(総務省統計局において公表した令和2年国勢調査に関する地域メツシユ統計にて、基準地域メツシユの中心点が帰属する当該市町村の区域内において、常住人口のいる基準地域メツシユ内の人口をいう。以下この項において同じ。)のうち、100人未満の合計に相当する数として総務大臣が通知した数e2 当該都道府県の区域内の市町村におけるメツシユ人口のうち、100人以上200人未満の合計に相当する数として総務大臣が通知した数e3 当該都道府県の区域内の市町村におけるメツシユ人口のうち、200人以上300人未満の合計に相当する数として総務大臣が通知した数e4 当該都道府県の区域内の市町村におけるメツシユ人口のうち、300人以上400人未満の合計に相当する数として総務大臣が通知した数e5 当該都道府県の区域内の市町村におけるメツシユ人口のうち、400人以上500人未満の合計に相当する数として総務大臣が通知した数e6 当該都道府県の区域内の市町村におけるメツシユ人口のうち、500人以上1,000人未満の合計に相当する数として総務大臣が通知した数e7 当該都道府県の区域内の市町村におけるメツシユ人口のうち、1,000人以上2,000人未満の合計に相当する数として総務大臣が通知した数e8 当該都道府県の区域内の市町村におけるメツシユ人口のうち、2,000人以上4,000人未満の合計に相当する数として総務大臣が通知した数f 符号A算式Ⅰの符号a2に同じ。
市町村算式
(0.2×A+0.1×B+0.1×C+0.1×D)×1.010+(0.5×E)×0.664
0.2×A、0.1×B、0.1×C、0.1×D及び0.5×Eに小数点以下3位未満の端数があるときは、その端数を四捨五入する。
算式の符号A 次の算式Ⅰによつて算定した数(当該数に小数点以下3位未満の端数があるときは、その端数を四捨五入し、当該数が3を超える場合には3とし、負数となるときは0とする。)算式Ⅰ
A={(a1-a2)/a1}/0.066
{(a1-a2)/a1}に小数点以下3位未満の端数があるときは、その端数を四捨五入する。
算式Ⅰの符号a1 国勢調査令によつて調査した平成22年10月1日現在における当該市町村の人口a2 国勢調査令によつて調査した令和2年10月1日現在における当該市町村の人口B 次の算式Ⅱによつて算定した数(当該数に小数点以下3位未満の端数があるときは、その端数を四捨五入し、当該数が3を超える場合には3とする。)算式Ⅱ
B=0.119/b
算式Ⅱの符号b 令和2年10月1日現在における年少者人口比率(国勢調査令によつて調査した同日現在における当該市町村の15歳未満の人口を同令によつて調査した同日現在における当該市町村の人口で除して得た数(小数点以下3位未満の端数があるときは、その端数を四捨五入する。)をいう。)C 次の算式Ⅲによつて算定した数(当該数に小数点以下3位未満の端数があるときは、その端数を四捨五入し、当該数が3を超える場合には3とする。)算式Ⅲ
C=c/0.280
算式Ⅲの符号c 令和2年10月1日現在における高齢者人口比率(国勢調査令によつて調査した同日現在における当該市町村の65歳以上の人口を国勢調査令によつて調査した同日現在における当該市町村の人口で除して得た数(小数点以下3位未満の端数があるときは、その端数を四捨五入する。)をいう。)D 次の算式Ⅳによつて算定した数(当該数に小数点以下3位未満の端数があるときは、その端数を四捨五入し、当該数が3を超える場合には3とする。)算式Ⅳ
D=[{(d1-d2)/d1}+0.070]/0.155
{(d1-d2)/d1}に小数点以下3位未満の端数があるときは、その端数を四捨五入する。
算式Ⅳの符号d1 国勢調査令によつて調査した平成22年10月1日現在における当該市町村の15歳以上65歳未満人口d2 国勢調査令によつて調査した令和2年10月1日現在における当該市町村の15歳以上65歳未満人口E 次の算式Ⅴによつて算定した数(当該数に小数点以下3位未満の端数があるときは、その端数を四捨五入する。)算式Ⅴ
E=(e/f)/0.263
算式Ⅴの符号e 次の算式によって算定した数算式
2.00×e1+1.75×e2+1.50×e3+1.25×e4+1.00×e5+0.75×e6+0.50×e7+0.25×e8
2.00×e1、1.75×e2、1.50×e3、1.25×e4、1.00×e5、0.75×e6、0.50×e7及び0.25×e8に小数点未満の端数があるときは、その端数を四捨五入する。
算式の符号e1 当該市町村におけるメツシユ人口のうち、100人未満の合計に相当する数として総務大臣が通知した数e2 当該市町村におけるメツシユ人口のうち、100人以上200人未満の合計に相当する数として総務大臣が通知した数e3 当該市町村におけるメツシユ人口のうち、200人以上300人未満の合計に相当する数として総務大臣が通知した数e4 当該市町村におけるメツシユ人口のうち、300人以上400人未満の合計に相当する数として総務大臣が通知した数e5 当該市町村におけるメツシユ人口のうち、400人以上500人未満の合計に相当する数として総務大臣が通知した数e6 当該市町村におけるメツシユ人口のうち、500人以上1,000人未満の合計に相当する数として総務大臣が通知した数e7 当該市町村におけるメツシユ人口のうち、1,000人以上2,000人未満の合計に相当する数として総務大臣が通知した数e8 当該市町村におけるメツシユ人口のうち、2,000人以上4,000人未満の合計に相当する数として総務大臣が通知した数f 符号A算式Ⅰの符号a2に同じ。
6第三項の規定に基づいて行う密度補正に用いる密度は、次の表の上欄に掲げる地方団体の種類につき、同表の下欄に掲げる算式及び算式の符号によつて算定した数(小数点以下三位未満の端数があるときは、その端数を四捨五入する。)によるものとする。
地方団体の種類算式及び算式の符号
都道府県算式
(B×3127.179)/A
算式の符号A 測定単位の数値B 当該都道府県において定員管理調査によつて令和5年度分として総務省に報告された「別表3 中長期派遣可能な技術職員数等に関する調」の表頭「職員数等」、表側「市町村支援業務に従事する技術職員数,中長期派遣可能な技術職員数のいずれか小さい方の職員数」の欄の数値
7前三項の規定を適用する場合における測定単位の数値に係る補正係数は、第四項にて算出した段階補正係数及び第五項にて算出した経常態容補正係数を連乗した率に前項にて算出した密度補正の密度を加えた率による。
8新市町村の測定単位の数値の合併関係市町村への分別又は按分は、第四十九条第二項第一号の規定により分別又は按分するものとする。
9新市町村の段階補正及び経常態容補正の算定における合併関係市町村の段階補正係数及び経常態容補正係数の算定に用いる数値については、新市町村(ただし、二回以上合併を行つた場合においては、直近の合併に係る当該新市町村)の数値を用いる。
10第四十九条第一項の規定の適用については、同項中「額の合算額」とあるのは、「額と附則第十九条の十四の三第八項の規定によつて分別又は按分した測定単位の数値を同条第四項から第六項までの規定により補正したものに当該測定単位ごとの単位費用を乗じて得た額との合算額」とする。

(「地域デジタル社会推進費」に係る数値の算定方法等)

第十九条の十四の四法附則第六条第二項の規定による測定単位の数値は、次の表の上欄に掲げる測定単位の種類につき、同表の中欄に定める測定単位の数値の算定方法によつて、同表の下欄に掲げる表示単位に基づいて算定する。
測定単位の種類測定単位の数値の算定方法表示単位
人口国勢調査令によつて調査した令和二年十月一日現在における人口人
2前項の規定によつて測定単位の数値を算定する場合においては、第五条第二項の規定を準用する。
3法附則第六条第二項ただし書の規定に基づいて行う補正は、段階補正及び経常態容補正とする。
4前項の規定に基づいて行う段階補正に用いる法第十三条第四項の規定による率は、附則別表第十二の四に定めるところによるものとする。
5第三項の規定に基づいて行う経常態容補正は、経常態容補正Ⅰ及び経常態容補正Ⅱとする。
6前項の規定に基づいて行う経常態容補正Ⅰは、次の表の上欄に掲げる地方団体の種類につき、同表の下欄に掲げる算式及び算式の符号によつて算定した数(小数点以下三位未満の端数があるときは、その端数を四捨五入する。)を用いて行うものとする。
地方団体の種類算式及び算式の符号
都道府県算式
(0.5×A+0.5×B)×0.994
0.5×A及び0.5×Bに小数点以下3位未満の端数があるときは、その端数を四捨五入する。
算式の符号A 次の算式Ⅰによつて算定した数(当該数に小数点以下3位未満の端数があるときは、その端数を四捨五入し、当該数が3を超える場合には3とする。)算式Ⅰ
A={(a1+a2+a3+a4)/a5}/0.339
(a1+a2+a3+a4)/a5に小数点以下3位未満の端数があるときは、その端数を四捨五入する。
算式Ⅰの符号a1 当該都道府県の65歳以上人口(附則第21条第1項第1号の表中8に掲げる地方団体にあつては同項の規定によつて算定した65歳以上人口)a2 令和4年3月31日現在において身体障害者福祉法(昭和24年法律第283号)の規定によつて身体障害者手帳を所持している者として福祉行政報告例によつて厚生労働省に報告された「第14 身体障害者手帳交付台帳登載数」の表側「計」、表頭「総数(年度末現在)」の欄の当該都道府県の数a3 令和4年3月31日現在において療育手帳制度要綱(昭和48年9月27日厚生省発児第156号厚生事務次官通知)の規定によつて療育手帳を所持している者として福祉行政報告例によつて厚生労働省に報告された「第31 療育手帳交付台帳登載数」の表側「計」、表頭「年度末現在」の欄の当該都道府県の数a4 令和4年3月31日現在において精神保健及び精神障害者福祉に関する法律(昭和25年法律第123号)の規定によつて精神障害者保健福祉手帳を所持している者として衛生行政報告例によつて厚生労働省に報告された「第5 精神障害者保健福祉手帳交付台帳登載数」の表側「計」、表頭「年度末現在」の欄の当該都道府県の数a5 当該都道府県の人口(附則第21条第1項第1号の表中1に掲げる地方団体にあつては同項の規定によつて算定した人口)B 次の算式Ⅱによつて算定した数(当該数に小数点以下3位未満の端数があるときは、その端数を四捨五入する。)算式Ⅱ
B=b1/0.05072×(b2×103.093+0.369)×(b3×338.983-336.929)
b1/0.05072に小数点以下3位未満の端数があるときは、その端数を四捨五入し、当該数が3を超える場合には3とし、(b2×103.093+0.369)に小数点以下3位未満の端数があるときは、その端数を四捨五入し、当該数が2を超える場合には2とし、1に満たないときは1とし、(b3×338.983-336.929)に小数点以下3位未満の端数があるときは、その端数を四捨五入し、当該数が2を超える場合には2とし、1に満たないときは1とする。
算式Ⅱの符号b1 経済センサス基礎調査規則によつて令和元年6月1日から令和2年3月31日までの期間に調査して公表された当該都道府県における民営事業所数を当該都道府県の第5条第1項の表中1の人口(附則第21条第1項第1号の表中1に掲げる地方団体にあつては同項の規定によつて算定した人口)で除して得た数(小数点以下5位未満の端数があるときは、その端数を四捨五入する。)b2 経済センサス活動調査規則によつて公表された当該都道府県における平成28年6月1日現在における農業、林業及び漁業の民営事業所数の合計を同令によつて公表された当該都道府県の同日現在における個人事業所数、法人事業所数及び法人でない団体の事業所数の合計(事業内容等不詳事業所を除く。)で除して得た数(小数点以下5位未満の端数があるときは、その端数を四捨五入する。)b3 中小企業庁によつて公表された平成28年6月時点の当該都道府県の中小企業数(民営及び非一次産業に限る。)を同庁によつて公表された同月時点の当該都道府県の企業数(民営及び非一次産業に限る。)で除して得た数(小数点以下5位未満の端数があるときは、その端数を四捨五入する。)
市町村算式
(0.5×A+0.5×B)×α×0.843
0.5×A及び0.5×Bに小数点以下3位未満の端数があるときは、その端数を四捨五入し、0.5×A+0.5×Bが6を超える場合には6とする。
算式の符号A 次の算式Ⅰによつて算定した数(当該数に小数点以下3位未満の端数があるときは、その端数を四捨五入し、当該数が3を超える場合には3とする。)算式Ⅰ
A={(a1+a2+a3+a4)/a5}/0.339
(a1+a2+a3+a4)/a5に小数点以下3位未満の端数があるときは、その端数を四捨五入する。
算式Ⅰの符号a1 当該市町村の65歳以上人口(附則第21条第1項第1号の表中8に掲げる地方団体にあつては同項の規定によつて算定した65歳以上人口)a2 令和4年3月31日現在において身体障害者福祉法の規定によつて身体障害者手帳を所持している者として福祉行政報告例によつて厚生労働省に報告された「第14 身体障害者手帳交付台帳登載数」の表側「計」、表頭「総数(年度末現在)」の欄の当該市町村の数に相当する数として総務大臣が通知した数a3 令和4年3月31日現在において療育手帳制度要綱の規定によつて療育手帳を所持している者として福祉行政報告例によつて厚生労働省に報告された「第31 療育手帳交付台帳登載数」の表側「計」、表頭「年度末現在」の欄の当該市町村の数に相当する数として総務大臣が通知した数a4 令和4年3月31日現在において精神保健及び精神障害者福祉に関する法律の規定によつて精神障害者保健福祉手帳を所持している者として衛生行政報告例によつて厚生労働省に報告された「第5 精神障害者保健福祉手帳交付台帳登載数」の表側「計」、表頭「年度末現在」の欄の当該市町村の数に相当する数として総務大臣が通知した数a5 当該市町村の人口(附則第21条第1項第1号の表中1に掲げる地方団体にあつては同項の規定によつて算定した人口)B 次の算式Ⅱによつて算定した数(当該数に小数点以下3位未満の端数があるときは、その端数を四捨五入する。)算式Ⅱ
B=b1/0.05071×(b2×17.825+0.891)×(b3×317.460-315.473)
b1/0.05071に小数点以下3位未満の端数があるときは、その端数を四捨五入し、当該数が3を超える場合には3とし、(b2×17.825+0.891)に小数点以下3位未満の端数があるときは、その端数を四捨五入し、当該数が2を超える場合には2とし、1に満たないときは1とし、(b3×317.460-315.473)に小数点以下3位未満の端数があるときは、その端数を四捨五入し、当該数が2を超える場合には2とし、1に満たないときは1とする。
算式Ⅱの符号b1 経済センサス基礎調査規則によつて令和元年6月1日から令和2年3月31日までの期間に調査して公表された当該市町村における民営事業所数を当該市町村の人口(附則第21条第1項第1号の表中1に掲げる地方団体にあつては同項の規定によつて算定した人口)で除して得た数(小数点以下5位未満の端数があるときは、その端数を四捨五入する。)b2 経済センサス活動調査規則によつて公表された当該市町村における平成28年6月1日現在における農業、林業及び漁業の民営事業所数の合計を、同令によつて公表された当該市町村における同日現在における個人事業所数、法人事業所数及び法人でない団体の事業所数の合計(事業内容等不詳事業所を除く。)で除して得た数(小数点以下5位未満の端数があるときは、その端数を四捨五入する。)b3 中小企業庁によつて公表された平成28年6月時点の当該市町村の中小企業数(民営及び非一次産業に限る。)を、同庁によつて公表された同月時点の当該市町村の企業数(民営及び非一次産業に限る。)で除して得た数(小数点以下5位未満の端数があるときは、その端数を四捨五入する。)α α1、α2又はα3のいずれか大きい率(ただし、令和2年度から令和4年度までの各年度における基準財政収入額を基準財政需要額で除して得た数(小数点以下2位未満の端数があるときは、その端数を四捨五入する。)の合計数を3で除して得た数(小数点以下2位未満の端数があるときは、その端数を四捨五入する。)が0.49以上となる場合は1.000とする。)α1 過疎地域持続的発展法第43条の規定により読み替えて適用する過疎地域持続的発展法第2条第1項に基づく過疎地域の市町村、過疎地域持続的発展法第42条の規定により過疎地域とみなされる市町村、離島振興法第2条第2項に基づき公示された離島をその区域の全部とする市町村、沖縄県内の市町村、奄美群島振興開発特別措置法第1条に規定する奄美群島をその区域の全部又は一部とする市町村、小笠原諸島振興開発特別措置法第4条第1項に規定する小笠原諸島をその区域の全部又は一部とする市町村、山村振興法第7条に基づき指定された振興山村をその区域の全部とする市町村及び半島振興法第2条に基づき指定された半島地域をその区域の全部とする市町村にあつては1.200とし、それ以外の市町村にあつては1.000とする。α2 過疎地域持続的発展法第43条の規定により読み替えて適用する過疎地域持続的発展法第3条の規定によりその地域の一部が過疎地域とみなされる市町村、離島振興法第2条第2項に基づき公示された離島をその区域の一部とする市町村、山村振興法第7条に基づき指定された振興山村をその区域の一部とする市町村及び半島振興法第2条に基づき指定された半島地域をその区域の一部とする市町村にあつては1.100とし、それ以外の市町村にあつては1.000とする。α3 令和3年3月31日において旧過疎地域自立促進特別措置法第2条第1項に基づく過疎地域の市町村及び同法第33条第1項の規定により過疎地域とみなされる市町村にあつては1.200とし、同法第33条第2項の規定によりその地域の一部が過疎地域とみなされる市町村にあつては1.100とする。
7第五項の規定に基づいて行う経常態容補正Ⅱは、次の表の上欄に掲げる地方団体の種類につき、同表の下欄に掲げる算式及び算式の符号によつて算定した数(小数点以下三位未満の端数があるときは、その端数を四捨五入する。)を用いて行うものとする。
地方団体の種類算式及び算式の符号
市町村算式
C×6.0815-3.9547
C×6.0815-3.9547に小数点以下3位未満の端数があるときは、その端数を四捨五入し、当該数が0.500に満たない場合には0.500とする。
算式の符号C 次の算式によつて算定した数(当該数に小数点以下4位未満の端数があるときは、その端数を四捨五入する。)算式Ⅰ
C=c1/c2
算式Ⅰの符号c1 「マイナンバーカード保有枚数(令和5年5月31日時点)について」(令和5年6月2日付け総行マ第83号総務省自治行政局住民制度課マイナンバー制度支援室通知)において通知された令和5年5月31日時点の当該市町村における個人番号カード(行政手続における特定の個人を識別するための番号の利用等に関する法律(平成25年法律第27号))第2条第7項に規定する個人番号カードをいう。)の保有枚数c2 前項の表市町村の項の算式の符号Aの算式Ⅰの符号a5に同じ。
8前四項の規定を適用する場合における測定単位の数値に係る補正係数は、第四項にて算出した段階補正係数及び第六項にて算出した経常態容補正Ⅰ係数を連乗した率に前項にて算出した経常態容補正Ⅱ係数を加えた率による。
9新市町村の測定単位の数値の合併関係市町村への分別又は按分は、第四十九条第二項第一号の規定により分別又は按分するものとする。
10新市町村の段階補正及び経常態容補正の算定における合併関係市町村の段階補正係数、経常態容補正Ⅰ係数及び経常態容補正Ⅱ係数の算定に用いる数値については、新市町村(ただし、二回以上合併を行つた場合においては、直近の合併に係る当該新市町村)の数値を用いる。
11第四十九条第一項の規定の適用については、同項中「額の合算額」とあるのは、「額と附則第十九条の十四の四第九項の規定によつて分別又は按分した測定単位の数値を同条第四項から第七項までの規定により補正したものに当該測定単位ごとの単位費用を乗じて得た額との合算額」とする。

(「臨時経済対策費」に係る数値の算定方法等)

第十九条の十四の五地方交付税法及び特別会計に関する法律の一部を改正する法律(令和五年法律第八十三号。以下この条及び次条において「令和五年地方交付税法等改正法」という。)附則第二条第二項の規定による「臨時経済対策費」に係る測定単位の数値は、次の表の上欄に掲げる測定単位の種類につき、同表の中欄に定める測定単位の数値の算定方法によつて、同表の下欄に掲げる表示単位に基づいて算定する。
測定単位の種類測定単位の数値の算定方法表示単位
人口国勢調査令によつて調査した令和二年十月一日現在における人口人
2前項の規定によつて測定単位の数値を算定する場合においては、第五条第二項の規定を準用する。
3令和五年地方交付税法等改正法附則第二条第二項ただし書の規定に基づいて行う「臨時経済対策費」に係る補正は、段階補正及び経常態容補正とする。
4前項の規定に基づいて行う段階補正に用いる法第十三条第四項の規定による率は、附則別表第十二の五に定めるところによるものとする。
5第三項の規定に基づいて行う経常態容補正は、次の表の上欄に掲げる地方団体の種類につき、同表の下欄に掲げる算式及び算式の符号によつて算定した数(小数点以下三位未満の端数があるときは、その端数を四捨五入する。)を用いて行うものとする。
地方団体の種類算式及び算式の符号
都道府県算式
(0.1×A+0.1×B+0.1×C+0.4×D+0.2×E+0.1)×1.08849
0.1×A、0.1×B、0.1×C、0.4×D及び0.2×Eに小数点以下3位未満の端数があるときは、その端数を四捨五入する。
算式の符号A 次の算式Ⅰによつて算定した数(当該数に小数点以下3位未満の端数があるときは、その端数を四捨五入し、当該数が3を超える場合には3とする。)算式Ⅰ
A=6,890,327/a
算式Ⅰの符号a 一人当たり各産業の売上高(令和元年から令和3年までの各年における第一次産業産出額(農林水産省において公表した生産農業所得統計における農業産出額、林業産出額における林業産出額及び漁業産出額における海面漁業・養殖業産出額の合計額をいう。)の合計額を3で除して得た額(百万円未満の端数があるときは、その端数を四捨五入する。)、工業統計調査規則によつて公表された平成30年及び令和元年における製造品出荷額並びに経済センサス活動調査規則によつて公表された令和2年における製造品出荷額の合計額を3で除して得た数(万円未満の端数があるときは、その端数を四捨五入する。)並びに経済センサス活動調査規則により令和3年6月1日現在で調査された年間商品販売額の小売業計及び卸売業計の合算額を人口で除して得た数(整数未満の端数があるときは、その端数を四捨五入する。)をいう。)B 次の算式Ⅱによつて算定した数(当該数に小数点以下3位未満の端数があるときは、その端数を四捨五入し、当該数が3を超える場合には3とし、負数となるときは0とする。)算式Ⅱ
b≧0のときB=-0.13×b+0.1
b<0のときB=-0.12×b+0.1
算式Ⅱの符号b 令和2年から令和4年までの各年における人口増減率(住民基本台帳関係年報における当該都道府県の区域内の市町村に係る「市町村別住民票記載、消除数」の表頭「増減数」の欄の数の合計数を当該都道府県の住民基本台帳登載人口で除して得た数に1,000を乗じて得た数(小数点以下4位未満の端数があるときは、その端数を四捨五入する。)をいう。)の合計数を3で除して得た数(小数点以下4位未満の端数があるときは、その端数を四捨五入する。)C 次の算式Ⅲによつて算定した数(当該数に小数点以下3位未満の端数があるときは、その端数を四捨五入し、当該数が3を超える場合には3とする。)算式Ⅲ
C=c/0.05072
算式Ⅲの符号c 経済センサス基礎調査規則によつて令和元年6月1日から令和2年3月31日までの期間に調査して公表された当該都道府県における民営事業所数を当該都道府県の第5条第1項の表中1の人口で除して得た数(小数点以下5位未満の端数があるときは、その端数を四捨五入する。)D 次の算式Ⅳによつて算定した数(当該数に小数点以下3位未満の端数があるときは、その端数を四捨五入し、当該数が3を超える場合には3とする。)算式Ⅳ
D=d/0.117
算式Ⅳの符号d 令和5年1月1日現在における年少者人口比率(当該都道府県の住民基本台帳登載人口のうち15歳未満の者の数を当該都道府県の住民基本台帳登載人口で除して得た数(小数点以下3位未満の端数があるときは、その端数を四捨五入する。)をいう。)E 次の算式Ⅴによつて算定した数(当該数に小数点以下3位未満の端数があるときは、その端数を四捨五入し、当該数が3を超える場合には3とする。)算式Ⅴ
E={(e1+e2+e3+e4)/e5}/0.339
(e1+e2+e3+e4)/e5に小数点以下3位未満の端数があるときは、その端数を四捨五入する。
算式Ⅴの符号e1 当該都道府県の65歳以上人口(附則第21条第1項第1号の表中8に掲げる地方団体にあつては、同項の規定によつて算定した65歳以上人口)e2 令和4年3月31日現在において身体障害者福祉法の規定によつて身体障害者手帳を所持している者として福祉行政報告例によつて厚生労働省に報告された「第14 身体障害者手帳交付台帳登載数」の表側「計」、表頭「総数(年度末現在)」の欄の当該都道府県の数e3 令和4年3月31日現在において療育手帳制度要綱(昭和48年9月27日厚生省発児第156号厚生事務次官通知)の規定によつて療育手帳を所持している者として福祉行政報告例によつて厚生労働省に報告された「第31 療育手帳交付台帳登載数」の表側「計」、表頭「年度末現在」の欄の当該都道府県の数e4 令和4年3月31日現在において精神保健及び精神障害者福祉に関する法律の規定によつて精神障害者保健福祉手帳を所持している者として衛生行政報告例によつて厚生労働省に報告された「第5 精神障害者保健福祉手帳交付台帳登載数」の表側「計」、表頭「年度末現在」の欄の当該都道府県の数e5 当該都道府県の人口(附則第21条第1項第1号の表中1に掲げる地方団体にあつては、同項の規定によつて算定した人口)
市町村算式
(0.1×A+0.1×B+0.1×C+0.4×D+0.2×E+0.1)×1.13696
0.1×A、0.1×B、0.1×C、0.4×D及び0.2×Eに小数点以下3位未満の端数があるときは、その端数を四捨五入する。
算式の符号A 次の算式Ⅰによつて算定した数(当該数に小数点以下3位未満の端数があるときは、その端数を四捨五入し、当該数が3を超える場合には3とする。)算式Ⅰ
A=6,704,219/a
算式Ⅰの符号a 一人当たり各産業の売上高(農林業センサス規則によつて公表された令和2年2月1日現在における農産物販売規模別経営体数(個人経営体)を用いて算出した農業産出額(農産物販売規模別経営体数(個人経営体)のうち50万円未満の数に25万円を乗じた額、農産物販売規模別経営体数(個人経営体)のうち50万円以上100万円未満の数に75万円を乗じた額、農産物販売規模別経営体数(個人経営体)のうち100万円以上300万円未満の数に200万円を乗じた額、農産物販売規模別経営体数(個人経営体)のうち300万円以上500万円未満の数に400万円を乗じた額、農産物販売規模別経営体数(個人経営体)のうち500万円以上1,000万円未満の数に750万円を乗じた額、農産物販売規模別経営体数(個人経営体)のうち1,000万円以上3,000万円未満の数に2,000万円を乗じた額、農産物販売規模別経営体数(個人経営体)のうち3,000万円以上5,000万円未満の数に4,000万円を乗じた額、農産物販売規模別経営体数(個人経営体)のうち5,000万円以上1億円未満の数に7,500万円を乗じた額、農産物販売規模別経営体数(個人経営体)のうち1億円以上2億円未満の数に15,000万円を乗じた額、農産物販売規模別経営体数(個人経営体)のうち2億円以上3億円未満の数に25,000万円を乗じた額、農産物販売規模別経営体数(個人経営体)のうち3億円以上5億円未満の数に40,000万円を乗じた額及び農産物販売規模別経営体数(個人経営体)のうち5億円以上の数に60,000万円を乗じた額の合算額をいう。)、工業統計調査規則によつて公表された平成30年及び令和元年における製造品出荷額並びに経済センサス活動調査規則によつて公表された令和2年における製造品出荷額の合計額を3で除して得た数(万円未満の端数があるときは、その端数を四捨五入する。)並びに経済センサス活動調査規則により令和3年6月1日現在で調査された年間商品販売額の小売業計及び卸売業計の合算額を人口で除して得た数(整数未満の端数があるときは、その端数を四捨五入する。)をいう。)B 次の算式Ⅱによつて算定した数(当該数に小数点以下3位未満の端数があるときは、その端数を四捨五入し、当該数が3を超える場合には3とし、負数となるときは0とする。)算式Ⅱ
b≧0のときB=-0.01×b+0.1
b<0のときB=-0.06×b+0.1
算式Ⅱの符号b 令和2年から令和4年までの各年における人口増減率(住民基本台帳関係年報における「市町村別住民票記載、消除数」の表頭「増減数」の欄の数を当該市町村の住民基本台帳登載人口で除して得た数に1,000を乗じて得た数(小数点以下4位未満の端数があるときは、その端数を四捨五入する。)をいう。)の合計数を3で除して得た数(小数点以下4位未満の端数があるときは、その端数を四捨五入する。)C 次の算式Ⅲによつて算定した数(当該数に小数点以下3位未満の端数があるときは、その端数を四捨五入し、当該数が3を超える場合には3とする。)算式Ⅲ
C=c/0.05071
算式Ⅲの符号c 経済センサス基礎調査規則によつて令和元年6月1日から令和2年3月31日までの期間に調査して公表された当該市町村における民営事業所数を当該市町村の人口で除して得た数(小数点以下5位未満の端数があるときは、その端数を四捨五入する。)D 次の算式Ⅳによつて算定した数(当該数に小数点以下3位未満の端数があるときは、その端数を四捨五入し、当該数が3を超える場合には3とする。)算式Ⅳ
D=d/0.117
算式Ⅳの符号d 令和5年1月1日現在における年少者人口比率(当該市町村の住民基本台帳登載人口のうち15歳未満の者の数を当該市町村の住民基本台帳登載人口で除して得た数(小数点以下3位未満の端数があるときは、その端数を四捨五入する。)をいう。)E 次の算式Ⅴによつて算定した数(当該数に小数点以下3位未満の端数があるときは、その端数を四捨五入し、当該数が3を超える場合には3とする。)算式Ⅴ
E={(e1+e2+e3+e4)/e5}/0.339
(e1+e2+e3+e4)/e5に小数点以下3位未満の端数があるときは、その端数を四捨五入する。
算式Ⅴの符号e1 当該市町村の65歳以上人口(附則第21条第1項第1号の表中8に掲げる地方団体にあつては、同項の規定によつて算定した65歳以上人口)e2 令和4年3月31日現在において身体障害者福祉法の規定によつて身体障害者手帳を所持している者として福祉行政報告例によつて厚生労働省に報告された「第14 身体障害者手帳交付台帳登載数」の表側「計」、表頭「総数(年度末現在)」の欄の当該市町村の数に相当する数として総務大臣が通知した数e3 令和4年3月31日現在において療育手帳制度要綱の規定によつて療育手帳を所持している者として福祉行政報告例によつて厚生労働省に報告された「第31 療育手帳交付台帳登載数」の表側「計」、表頭「年度末現在」の欄の当該市町村の数に相当する数として総務大臣が通知した数e4 令和4年3月31日現在において精神保健及び精神障害者福祉に関する法律の規定によつて精神障害者保健福祉手帳を所持している者として衛生行政報告例によつて厚生労働省に報告された「第5 精神障害者保健福祉手帳交付台帳登載数」の表側「計」、表頭「年度末現在」の欄の当該市町村の数に相当する数として総務大臣が通知した数e5 当該市町村の人口(附則第21条第1項第1号の表中1に掲げる地方団体にあつては、同項の規定によつて算定した人口)
6前二項の規定を適用する場合における測定単位の数値に係る補正係数は、第四項の規定により算定した段階補正係数及び前項の規定により算定した経常態容補正係数を連乗した率による。
7新市町村の測定単位の数値の合併関係市町村への分別又は按分あんぶんは、第四十九条第二項第一号の規定により分別又は按分あんぶんするものとする。
8新市町村の段階補正及び経常態容補正の算定における合併関係市町村の段階補正係数及び経常態容補正係数の算定に用いる数値については、新市町村(ただし、二回以上合併を行つた場合においては、直近の合併に係る当該新市町村)の数値を用いる。
9第四十九条第一項の規定の適用については、同項中「額の合算額」とあるのは、「額と附則第十九条の十四の五第七項の規定によつて分別又は按分あんぶんした測定単位の数値を同条第四項から第六項までの規定により補正したものに当該測定単位ごとの単位費用を乗じて得た額との合算額」とする。

(「臨時財政対策債償還基金費」に係る数値の算定方法等)

第十九条の十四の六令和五年地方交付税法等改正法附則第二条第二項の規定による「臨時財政対策債償還基金費」に係る測定単位の数値は、次の表の上欄に掲げる測定単位の種類につき、同表の中欄に定める測定単位の数値の算定方法によつて、同表の下欄に掲げる表示単位に基づいて算定する。
測定単位の種類測定単位の数値の算定方法表示単位
臨時財政対策のため平成十六年度から令和五年度までの各年度において特別に起こすことができることとされた地方債の額(1) 平成十六年度臨時財政対策債(2) 平成十七年度臨時財政対策債(3) 平成十八年度臨時財政対策債(4) 平成十九年度臨時財政対策債(5) 平成二十年度臨時財政対策債(6) 平成二十一年度臨時財政対策債(7) 平成二十二年度臨時財政対策債(8) 平成二十三年度臨時財政対策債(9) 平成二十四年度臨時財政対策債(10) 平成二十五年度臨時財政対策債(11) 平成二十六年度臨時財政対策債(12) 平成二十七年度臨時財政対策債(13) 平成二十八年度臨時財政対策債(14) 平成二十九年度臨時財政対策債(15) 平成三十年度臨時財政対策債(16) 令和元年度臨時財政対策債(17) 令和二年度臨時財政対策債(18) 令和三年度臨時財政対策債(19) 令和四年度臨時財政対策債(20) 地方財政法第三十三条の五の二第一項の規定により令和五年度において起こすことができることとされた地方債の額(以下「令和五年度臨時財政対策債」という。)千円
2前項の規定によつて測定単位の数値を算定する場合においては、第五条第二項の規定を準用する。
3令和五年地方交付税法等改正法附則第二条第二項ただし書の規定に基づいて行う「臨時財政対策債償還基金費」に係る補正は、種別補正とする。
4前項の規定に基づいて行う種別補正に用いる法第十三条第二項の規定による率は、附則別表第十二の六に定めるところによるものとする。
5新市町村の測定単位の数値の合併関係市町村への分別又は按分あんぶんは、第四十九条第二項第二十九号の規定により分別又は按分あんぶんするものとする。令和五年度臨時財政対策債に係る分別又は按分あんぶんについても同様とする。
6第四十九条第一項の規定の適用については、同項中「額の合算額」とあるのは、「額と附則第十九条の十四の六第五項の規定によつて分別又は按分あんぶんした測定単位の数値に当該測定単位ごとの単位費用を乗じて得た額との合算額」とする。
第十九条の十五削除

(令和五年度における基準財政需要額の算定方法の特例)

第十九条の十六各道府県の法附則第六条の三第一項第一号に掲げる額は、当該道府県の控除前財源不足額(法第十条第三項本文の規定により令和五年八月三十一日までに決定された普通交付税の額の算定に用いた法附則第六条の三の規定の適用がないものとした場合における法第十一条の規定によつて算定した基準財政需要額が法第十四条の規定によつて算定した基準財政収入額を超える額(当該額が零を下回る場合には、零とする。)をいう。第六項及び第七項を除き、以下同じ。)に当該道府県の次の各号に掲げる数値を合算したものの五分の一の数値(小数点以下二位未満の端数があるときは、その端数を四捨五入する。第六項及び第八項を除き、以下「補正指数」という。)に附則別表第十三(1)のAに定める当該補正指数の段階に応ずる率を乗じて得た数と同表のBに定める当該補正指数の段階に応ずる数を合算した数に〇・〇五四五を乗じて得た率(ただし、当該率が〇・七五を超える場合は、〇・七五とする。)を乗じて得た額(五百円未満の端数があるときはその端数金額を切り捨て、五百円以上千円未満の端数があるときはその端数金額を千円とする。)に、〇・九九五一五〇五を乗じて得た額(五百円未満の端数があるときはその端数金額を切り捨て、五百円以上千円未満の端数があるときはその端数金額を千円とする。)とする。
一令和四年度における地方交付税法第十四条の規定によつて算定した基準財政収入額を地方交付税法等の一部を改正する法律(令和五年法律第二号)第一条の規定による改正前の地方交付税法附則第六条の二の規定の適用がないものとした場合における地方交付税法第十一条の規定によつて算定した当該年度の基準財政需要額で除して得た数値(小数点以下二位未満の端数があるときは、その端数を四捨五入する。)
二令和三年度における地方交付税法第十四条の規定によつて算定した基準財政収入額を地方交付税法等の一部を改正する法律(令和四年法律第二号)第一条の規定による改正前の地方交付税法附則第六条の二の規定の適用がないものとした場合における地方交付税法第十一条の規定によつて算定した当該年度の基準財政需要額で除して得た数値(小数点以下二位未満の端数があるときは、その端数を四捨五入する。)
三令和二年度における地方交付税法第十四条の規定によつて算定した基準財政収入額を地方交付税法等の一部を改正する法律(令和三年法律第八号)第一条の規定による改正前の地方交付税法附則第六条の規定の適用がないものとした場合における地方交付税法第十一条の規定によつて算定した当該年度の基準財政需要額で除して得た数値(小数点以下二位未満の端数があるときは、その端数を四捨五入する。)
四令和元年度における地方交付税法第十四条の規定によつて算定した基準財政収入額を地方交付税法等の一部を改正する法律(令和二年法律第六号)第一条の規定による改正前の地方交付税法附則第六条の二の規定の適用がないものとした場合における地方交付税法第十一条の規定によつて算定した当該年度の基準財政需要額で除して得た数値(小数点以下二位未満の端数があるときは、その端数を四捨五入する。)
五平成三十年度における地方交付税法第十四条の規定によつて算定した基準財政収入額を地方交付税法等の一部を改正する法律(平成三十一年法律第五号)第一条の規定による改正前の地方交付税法附則第六条の二の規定の適用がないものとした場合における地方交付税法第十一条の規定によつて算定した当該年度の基準財政需要額で除して得た数値(小数点以下二位未満の端数があるときは、その端数を四捨五入する。)
2五千三百十一億千四百八十七万千円と各道府県について前項の規定により算定した額の合算額との間に差額があるときは、その差額を同項の規定により算定した額の最も大きい道府県の額に加算し、又はこれから減額する。
3各市町村の法附則第六条の三第一項第二号に掲げる額は、当該市町村の控除前財源不足額に当該市町村の補正指数に附則別表第十三(2)のAに定める当該補正指数の段階に応ずる率を乗じて得た数と同表のBに定める当該補正指数の段階に応ずる数を合算した数(ただし、当該数について、補正指数が一・〇〇の場合に得た数を超える場合は、補正指数が一・〇〇の場合に得た数とする。)に〇・〇五四四を乗じて得た率(当該率が〇・八五を超える場合は、〇・八五とする。)を乗じて得た額(五百円未満の端数があるときはその端数金額を切り捨て、五百円以上千円未満の端数があるときはその端数金額を千円とする。)に、〇・九九四二五五四を乗じて得た額(五百円未満の端数があるときはその端数金額を切り捨て、五百円以上千円未満の端数があるときはその端数金額を千円とする。)とする。
4四千六百三十四億八千二百二十六万五千円と各市町村について前項の規定により算定した額(合併市町村(第四十八条第一項の規定の適用を受ける市町村をいう。以下この条において同じ。)にあつては、次項の規定によつて算定した額とする。)の合算額との間に差額があるときは、その差額を同項の規定により算定した額の最も大きい市町村の額に加算し、又はこれから減額する。
5合併市町村に係る法附則第六条の三第一項第二号の額は、次の算式によつて算定した額(五百円未満の端数があるときはその端数金額を切り捨て、五百円以上千円未満の端数があるときはその端数金額を千円とする。)とする。
算式
A-B≧0の場合 C
A-B<0の場合 D
算式の符号
A 当該合併市町村に係る法第10条第3項本文の規定により令和5年8月31日までに決定された普通交付税の額の算定に用いた第48条第1項の算式の符号Aに同じ。
B 当該合併市町村に係る法第10条第3項本文の規定により令和5年8月31日までに決定された普通交付税の額の算定に用いた第48条第1項の算式の符号Bに同じ。
C 当該合併市町村に係る合併関係市町村(第48条第1項に規定する合併関係市町村をいう。以下同じ。)ごとに次項から第8項までの規定によつて算定した法附則第6条の3第1項第2号の額の合算額
D 当該合併市町村について前2項の規定によつて算定した額
6合併関係市町村に係る法附則第六条の三第一項第二号に掲げる額は、次項に規定する当該合併関係市町村に係る控除前財源不足額に第八項に規定する当該合併関係市町村に係る補正指数に附則別表第十三(2)のAに定める当該補正指数の段階に応ずる率を乗じて得た数と同表のBに定める当該補正指数の段階に応ずる数を合算した数(当該数が、補正指数について、一・〇〇の場合に得た数を超える場合は、補正指数が一・〇〇の場合に得た数とする。)に〇・〇五四四を乗じて得た率(ただし、当該率が〇・八五を超える場合は、〇・八五とする。)を乗じて得た額(五百円未満の端数があるときはその端数金額を切り捨て、五百円以上千円未満の端数があるときはその端数金額を千円とする。)に、〇・九九四二五五四を乗じて得た額(五百円未満の端数があるときはその端数金額を切り捨て、五百円以上千円未満の端数があるときはその端数金額を千円とする。)とする。
7合併関係市町村に係る控除前財源不足額は、次の算式によつて算定した額を、合併関係市町村が当該年度の四月一日現在において全てなお従前の区域をもつて存続していたものと仮定した場合において各合併関係市町村につきそれぞれ法第十条第三項本文の規定により令和五年八月三十一日までに決定された普通交付税の額の算定に用いた第十項の適用がないものとした場合における第四十九条の規定をもつて算定した基準財政需要額が第五十条の規定によつて算定した基準財政収入額を超える額により按分あんぶんした額(五百円未満の端数があるときはその端数金額を切り捨て、五百円以上千円未満の端数があるときはその端数金額を千円とする。)とする。
算式
(A-B)×α+B
(A-B)が負数となるときは、(A-B)は0とする。
算式の符号
A 法第10条第3項本文の規定により令和5年8月31日までに決定された普通交付税の額の算定に用いた第10項の規定の適用がないものとした場合における第49条の規定により算定された第48条第1項の算式の符号Aに同じ。
B 法第10条第3項本文の規定により令和5年8月31日までに決定された普通交付税の額の算定に用いた法附則第6条の3の規定の適用がないものとした場合における第48条第1項の算式の符号Bに同じ。
α 第48条第1項の算式の符号αに同じ。
8合併関係市町村に係る補正指数は、第一号から第五号までに掲げる数値(令和四年四月二日から令和五年四月一日までに行われた合併新法第二条第一項の市町村の合併(以下この条において「法適用合併」という。)に係る合併関係市町村にあつては、第一項第一号から第五号までに掲げる数値、令和三年四月二日から令和四年四月一日までに行われた法適用合併に係る合併関係市町村にあつては、第一号及び第一項第二号から第五号までに掲げる数値、令和二年四月二日から令和三年四月一日までに行われた法適用合併に係る合併関係市町村にあつては、第一号及び第二号並びに第一項第三号から第五号までに掲げる数値、平成三十一年四月二日から令和二年四月一日までに行われた法適用合併に係る合併関係市町村にあつては、第一号から第三号まで並びに第一項第四号及び第五号に掲げる数値、平成三十年四月二日から平成三十一年四月一日までに行われた法適用合併に係る合併関係市町村にあつては、第一号から第四号まで及び第一項第五号に掲げる数値)を合算したものの五分の一の数値(小数点以下二位未満の端数があるときは、その端数を四捨五入する。)とする。
一令和四年度における令和五年改正前の省令第五十条の規定によつて算定した基準財政収入額を令和五年改正前の省令附則第十九条の十六第九項の規定の適用がないものとした場合における令和五年改正前の省令附則第十九条の十四第十一項、附則第十九条の十四の二第十一項、附則第十九条の十四の三第十項、附則第十九条の十四の四第九項、附則第十九条の十四の五第九項及び附則第二十一条第二項の規定により読み替えられた令和五年改正前の省令第四十九条の規定によつて算定した基準財政需要額で除して得た数値(小数点以下二位未満の端数があるときは、その端数を四捨五入する。)
二令和三年度における令和四年改正前の省令第五十条の規定によつて算定した基準財政収入額を令和四年改正前の省令附則第十九条の十六第九項の規定の適用がないものとした場合における令和四年改正前の省令附則第十九条の十四第十一項、附則第十九条の十四の二第十一項、附則第十九条の十四の三第十項、附則第十九条の十四の四第九項、附則第十九条の十四の五第九項、附則第十九条の十四の六第四項及び附則第二十一条第二項の規定により読み替えられた令和四年改正前の省令第四十九条の規定によつて算定した基準財政需要額で除して得た数値(小数点以下二位未満の端数があるときは、その端数を四捨五入する。)
三令和二年度における普通交付税に関する省令の一部を改正する省令(令和三年総務省令第七十六号)による改正前の普通交付税に関する省令第五十条の規定によつて算定した基準財政収入額を同令附則第十九条の十六第九項の規定の適用がないものとした場合における同令附則第十九条の十四第十一項、附則第十九条の十四の二第十一項、附則第十九条の十四の三第十項及び附則第二十一条第二項の規定により読み替えられた同令第四十九条の規定によつて算定した基準財政需要額で除して得た数値(小数点以下二位未満の端数があるときは、その端数を四捨五入する。)
四令和元年度における普通交付税に関する省令の一部を改正する省令(令和二年総務省令第七十二号)による改正前の普通交付税に関する省令第五十条の規定によつて算定した基準財政収入額を同令附則第十九条の十六第九項の規定の適用がないものとした場合における同令附則第十九条の十四第十一項、附則第十九条の十四の二第十一項、附則第十九条の十四の三第十項及び附則第二十一条第二項の規定により読み替えられた同令第四十九条の規定によつて算定した基準財政需要額で除して得た数値(小数点以下二位未満の端数があるときは、その端数を四捨五入する。)
五平成三十年度における普通交付税に関する省令の一部を改正する省令(令和元年総務省令第二十九号)による改正前の普通交付税に関する省令第五十条の規定によつて算定した基準財政収入額を同令附則第十九条の十六第九項の規定の適用がないものとした場合における同令附則第十九条の十四第十一項、附則第十九条の十四の二第十一項、附則第十九条の十五第九項及び附則第二十一条第二項の規定により読み替えられた同令第四十九条の規定によつて算定した基準財政需要額で除して得た数値(小数点以下二位未満の端数があるときは、その端数を四捨五入する。)
9令和五年度における第四十八条第一項の規定の適用については、同項中「算定した額とする」とあるのは、「算定した額から附則第十九条の十六第三項の規定によつて算定した額及び同条第四項の規定によつて算定した額の合算額を控除した額とする」とし、同項の算式の符号A中「第49条の規定によつて算定した基準財政需要額」とあるのは、「附則第19条の16第10項の規定の適用がないものとした場合における第49条の規定によつて算定した基準財政需要額」とし、同項の算式の符号B中「前条までの」とあるのは、「法附則第6条の3の適用がないものとした場合における前条までの」とする。
10令和五年度における附則第十九条の十四第十一項、第十九条の十四の二第十一項、第十九条の十四の三第十項、第十九条の十四の四第九項、第十九条の十四の五第九項及び第十九条の十四の六第六項の規定により読み替えられた第四十九条第一項の規定の適用については、同項中「合算額」とあるのは、「合算額から附則第十九条の十六第三項の規定によつて算定した額及び同条第四項の規定によつて算定した額の合算額を控除した額」とする。
11法附則第六条の三第三項に規定する都に係る控除前財源不足額は、次の各号に掲げる場合の区分に応じ、当該各号に掲げる額とする。
一都の全区域を道府県とみなして算定した法第十条第三項本文の規定により令和五年八月三十一日までに決定された普通交付税の額の算定に用いた法附則第六条の三の規定の適用がないものとした場合における基準財政需要額が基準財政収入額を超える額(以下この条において「都控除前財源不足額」という。)が零を下回り、かつ、特別区の存する区域を市町村とみなして算定した法第十条第三項本文の規定により令和五年八月三十一日までに決定された普通交付税の額の算定に用いた法附則第六条の三の規定の適用がないものとした場合における基準財政需要額が基準財政収入額を超える額(以下この条において「特別区控除前財源不足額」という。)が零を下回る場合
イ都の全区域を道府県とみなして算定する場合の控除前財源不足額零
ロ特別区の存する区域を市町村とみなして算定する場合の控除前財源不足額零
二都控除前財源不足額が零以上であり、かつ、特別区控除前財源不足額が零以上の場合
イ都の全区域を道府県とみなして算定する場合の控除前財源不足額都控除前財源不足額
ロ特別区の存する区域を市町村とみなして算定する場合の控除前財源不足額特別区控除前財源不足額
三都控除前財源不足額が零以上であり、かつ、特別区控除前財源不足額が零を下回る場合
イ都の全区域を道府県とみなして算定する場合の控除前財源不足額都控除前財源不足額及び特別区控除前財源不足額の合算額(当該合算額が零を下回る場合には、零とする。)
ロ特別区の存する区域を市町村とみなして算定する場合の控除前財源不足額零
四都控除前財源不足額が零を下回り、かつ、特別区控除前財源不足額が零以上の場合
イ都の全区域を道府県とみなして算定する場合の控除前財源不足額零
ロ特別区の存する区域を市町村とみなして算定する場合の控除前財源不足額都控除前財源不足額及び特別区控除前財源不足額の合算額(当該合算額が零を下回る場合には、零とする。)

(沖縄の地方団体に対して交付すべき普通交付税の額の算定方法の特例)

第二十条法附則第九条の規定に基づく沖縄県及び沖縄県の区域内の市町村(以下「沖縄の地方団体」という。)に対して交付すべき令和五年度分の普通交付税の額の算定方法の特例については、次項以下に定めるところによる。
2沖縄県の区域内の市町村に対する第十一条第一項第一号の規定の適用については、同号中「地方税法第411条の規定により令和4年度分の固定資産税に係る固定資産課税台帳に登録された宅地の3.3平方メートル当たりの価格が最高である地点」とあるのは、「沖縄県知事の申請に基づき総務大臣の定める地点」とする。
3沖縄県の区域内の市町村のうち附則別表第十四に掲げるものの「地域振興費」のうち人口を測定単位とするものに係る普通態容補正Ⅲ係数は、第十条第二十二項及び第十一条第一項第四号の規定にかかわらず、次の算式により算定した率(小数点以下三位未満の端数があるときは、その端数を四捨五入する。)に一を加えた率とする。
算式
A×(B/C)×[{(D-C)/C}×0.5+1]+{(E×70+F×650)/(C×1.74)}+G
B/Cが7.50を超えるときは7.50とし、D-Cが負数となるときは0とし、(D-C)/C、{(D-C)/C}×0.5、E×70、F×650、C×1.74及び(E×70+F×650)/(C×1.74)に小数点以下3位未満の端数があるときは、その端数を四捨五入し、C×1.74に整数未満の端数があるときは、その端数を四捨五入する。
算式の符号
A 当該市町村の附則別表第十四に定める級地による補正率ア
B 当該市町村の人口に別表第一に定める普通態容補正Ⅲ係数の人口段階ごとのそれぞれの率を乗じて得た数の合計数
C 当該市町村の人口
D 当該市町村の平成27年人口(当該市町村の国勢調査令によつて調査した平成27年10月1日現在における人口をいう。)
E 当該市町村の区域に属する島しよのうち当該市町村の事務所(支所及び出張所を除く。)が所在しない島しよ(当該事務所と陸路続きのものを除く。)の人口
F 当該市町村の区域に属する島しよの数として総務大臣が通知した数
G 当該市町村の附則別表第14に定める級地による補正率イ

(特定被災地方公共団体に係る基準財政需要額の算定方法の特例)

第二十一条法附則第九条の二の規定に基づく東日本大震災に対処するための特別の財政援助及び助成に関する法律第二条第二項で定める特定被災地方公共団体(以下この条において「特定被災地方公共団体」という。)に対して交付すべき令和五年度分の普通交付税の額の算定方法の特例については、次の各号に定めるところによる。
一特定被災地方公共団体のうち次の表の地方団体の欄の各号に掲げる地方団体に対する第五条第一項の表の適用については、同項の表の上欄に掲げる測定単位の種類のうち次の表の測定単位の種類の欄に掲げる測定単位の種類に係る測定単位の数値の算定方法及び表示単位は、同項の表第一号、第九号、第十号、第十一号、第十四号、第十八号、第二十七号、第三十号、第三十一号、第三十二号、第三十五号、第三十六号及び第三十八号の規定にかかわらず、それぞれ次の表の測定単位の数値の算定方法の欄及び表示単位の欄に定めるところによる。
地方団体測定単位の種類測定単位の数値の算定方法表示単位
一 福島県、田村市、南相馬市、伊達郡川俣町、双葉郡広野町、同郡楢葉町、同郡富岡町、同郡川内村、同郡大熊町、同郡双葉町、同郡浪江町、同郡葛尾村、相馬郡飯舘村人口国勢調査令によつて調査した平成二十二年十月一日現在における人口に、当該団体の令和二年九月三十日現在の住民基本台帳登載人口を当該団体の平成二十二年九月三十日現在の住民基本台帳登載人口及び国勢調査令によつて調査した平成二十二年十月一日現在における外国人の人口の合計数で除して得た数を乗じて得た数(整数未満の端数があるときは、その端数を四捨五入する。)と国勢調査令によつて調査した令和二年十月一日現在における人口のいずれか大きい数人
二 双葉郡楢葉町、同郡富岡町、同郡大熊町、同郡双葉町、同郡浪江町都市計画区域における人口前年の四月一日現在における都市計画法第四条第二項の規定による都市計画区域に係る当該地方団体の平成二十二年人口に、当該団体の令和二年九月三十日現在の住民基本台帳登載人口を当該団体の平成二十二年九月三十日現在の住民基本台帳登載人口及び国勢調査令によつて調査した平成二十二年十月一日現在の外国人の人口の合計数で除して得た数を乗じて得た数(整数未満の端数があるときは、その端数を四捨五入する。)(当該地方団体の区域の一部が都市計画区域であるときは、総務大臣の承認した人口)人
三 田村市、南相馬市、伊達郡川俣町、双葉郡広野町、同郡楢葉町、同郡富岡町、同郡川内村、同郡大熊町、同郡双葉町、同郡浪江町、同郡葛尾村、相馬郡飯舘村小学校の児童数学校基本調査規則によつて調査した平成二十二年五月一日現在における当該市町村立の小学校に在学する児童数に、当該市町村の令和五年一月一日現在における住民基本台帳登載人口を当該市町村の平成二十二年九月三十日現在における住民基本台帳登載人口及び国勢調査令によつて調査した平成二十二年十月一日現在における外国人の人口の合計数で除して得た数(小数点以下五位未満の端数があるときは、その端数を四捨五入する。)を乗じて得た数(当該数が第五条第一項の表中十四の児童数に満たないときは、同項の表中十四の児童数とする。)人
四 宮古市、大船渡市、久慈市、陸前高田市、釜石市、上閉伊郡大槌町、下閉伊郡山田町、同郡岩泉町、同郡田野畑村、同郡普代村、九戸郡野田村、同郡洋野町、仙台市、石巻市、塩竈市、気仙沼市、名取市、多賀城市、岩沼市、東松島市、亘理郡亘理町、同郡山元町、宮城郡松島町、同郡七ヶ浜町、同郡利府町、牡鹿郡女川町、本吉郡南三陸町、いわき市、相馬市、相馬郡新地町小学校の児童数令和三年改正前の省令附則第二十一条第一項第一号の表中六の規定によつて算定した数から第五条第一項の表中十四の児童数を控除して得た数に〇・五を乗じた数を同項の表中十四の児童数に加えて得た数(当該数が同項の表中十四の児童数に満たないときは、同項の表中十四の児童数とする。)人
五 田村市、南相馬市、伊達郡川俣町、双葉郡広野町、同郡楢葉町、同郡富岡町、同郡川内村、同郡大熊町、同郡双葉町、同郡浪江町、同郡葛尾村、相馬郡飯舘村中学校の生徒数学校基本調査規則によつて調査した平成二十二年五月一日現在における当該市町村立の中学校に在学する生徒数に、当該市町村の令和五年一月一日現在における住民基本台帳登載人口を当該市町村の平成二十二年九月三十日現在における住民基本台帳登載人口及び国勢調査令によつて調査した平成二十二年十月一日現在における外国人の人口の合計数で除して得た数(小数点以下五位未満の端数があるときは、その端数を四捨五入する。)を乗じて得た数(当該数が第五条第一項の表中十八の生徒数に満たないときは、同項の表中十八の生徒数とする。)人
六 宮古市、大船渡市、久慈市、陸前高田市、釜石市、上閉伊郡大槌町、下閉伊郡山田町、同郡岩泉町、同郡田野畑村、同郡普代村、九戸郡野田村、同郡洋野町、仙台市、石巻市、塩竈市、気仙沼市、名取市、多賀城市、岩沼市、東松島市、亘理郡亘理町、同郡山元町、宮城郡松島町、同郡七ヶ浜町、同郡利府町、牡鹿郡女川町、本吉郡南三陸町、いわき市、相馬市、相馬郡新地町中学校の生徒数令和三年改正前の省令附則第二十一条第一項第一号の表中七の規定によつて算定した数から第五条第一項の表中十八の生徒数を控除して得た数に〇・五を乗じた数を同項の表中十八の生徒数に加えて得た数(当該数が同項の表中十八の生徒数に満たないときは、同項の表中十八の生徒数とする。)人
七 田村市、南相馬市、伊達郡川俣町、双葉郡広野町、同郡楢葉町、同郡富岡町、同郡川内村、同郡大熊町、同郡双葉町、同郡浪江町、同郡葛尾村、相馬郡飯舘村幼稚園及び幼保連携型認定こども園の小学校就学前子どもの数学校基本調査規則によつて調査した平成二十二年五月一日現在における当該市町村立の幼稚園に在学する幼児数に、当該市町村の令和五年一月一日現在の住民基本台帳登載人口を当該市町村の平成二十二年九月三十日現在の住民基本台帳登載人口及び国勢調査令によつて調査した平成二十二年十月一日現在における外国人の人口の合計数で除して得た数(小数点以下五位未満の端数があるときは、その端数を四捨五入する。)を乗じて得た数(当該数が第五条第一項の表第二十七項の小学校就学前子どもの数に満たないときは、同項の小学校就学前子どもの数とする。)人
八 福島県、田村市、南相馬市、伊達郡川俣町、双葉郡広野町、同郡楢葉町、同郡富岡町、同郡川内村、同郡大熊町、同郡双葉町、同郡浪江町、同郡葛尾村、相馬郡飯舘村六十五歳以上人口国勢調査令によつて調査した平成二十二年十月一日現在における六十五歳以上人口に、当該団体の令和二年九月三十日現在における六十五歳以上住民基本台帳登載人口を当該団体の平成二十二年九月三十日現在における六十五歳以上住民基本台帳登載人口で除して得た数を乗じて得た数(整数未満の端数があるときは、その端数を四捨五入する。)と国勢調査令によつて調査した令和二年十月一日現在における六十五歳以上人口のいずれか大きい数人
九 福島県、田村市、南相馬市、伊達郡川俣町、双葉郡広野町、同郡楢葉町、同郡富岡町、同郡川内村、同郡大熊町、同郡双葉町、同郡浪江町、同郡葛尾村、相馬郡飯舘村七十五歳以上人口国勢調査令によつて調査した平成二十二年十月一日現在における七十五歳以上人口に、当該団体の令和二年九月三十日現在における七十五歳以上住民基本台帳登載人口を当該団体の平成二十二年九月三十日現在における七十五歳以上住民基本台帳登載人口で除して得た数を乗じて得た数(整数未満の端数があるときは、その端数を四捨五入する。)と国勢調査令によつて調査した令和二年十月一日現在における七十五歳以上人口のいずれか大きい数人
十 田村市、南相馬市、伊達郡川俣町、双葉郡広野町、同郡楢葉町、同郡富岡町、同郡川内村、同郡大熊町、同郡双葉町、同郡浪江町、同郡葛尾村、相馬郡飯舘村農家数農林業センサス規則によつて調査した平成二十二年二月一日現在における農家(農地法等の一部を改正する法律(平成二十一年法律第五十七号)による改正前の農地法第二条第七項に規定する農業生産法人を含む。)の数に、〇・六九六を乗じて得た数(整数未満の端数があるときは、その端数を四捨五入する。)戸
十一 福島県農家数当該県の区域内の市町村に係る農家数(ただし、この表第十項に定める市町村については、同項の測定単位の数値の算定方法の欄に定める方法によつて算定した数とする。)の合計数戸
十二 福島県水産業者数海面に係る水産業者の数(漁業センサス規則によつて調査した平成二十年十一月一日現在における漁業経営体総数から漁船非使用に係る漁業経営体数を控除した数)と内水面に係る水産業者の数(漁業センサス規則によつて調査した平成二十年十一月一日現在における内水面養殖経営体数と湖沼漁業経営体総数から漁船非使用に係る漁業経営体数を控除した数の合計数)にそれぞれ〇・六九〇を乗じて得た数(整数未満の端数があるときは、その端数を四捨五入する。)を合算した数とする。人
十三 伊達郡川俣町、双葉郡川内村、同郡葛尾村、相馬郡飯舘村林業及び水産業の従業者数国勢調査令によつて調査した平成二十二年十月一日現在における産業分類別就業者数(以下「平成二十二年産業分類別就業者数」という。)のうちA農業、林業のうち林業の数に〇・八八六を乗じて得た数と令和二年産業分類別就業者数のうちB漁業の数を合算した数とする。人
十四 田村市、南相馬市、双葉郡広野町、同郡楢葉町、同郡富岡町、同郡大熊町、同郡双葉町、同郡浪江町林業及び水産業の従業者数平成二十二年産業分類別就業者数のうちA農業、林業のうち林業の数に〇・八八六を乗じて得た数と平成二十二年産業分類別就業者数のうちB漁業の数に〇・七四七を乗じて得た数を合算した数とする。人
十五 伊達郡川俣町、双葉郡楢葉町、同郡富岡町、同郡川内村、同郡大熊町、同郡双葉町、同郡浪江町、同郡葛尾村、相馬郡飯舘村世帯数国勢調査令によつて調査した平成二十二年十月一日現在における世帯数に、当該団体の令和二年九月三十日現在の住民基本台帳に登載された世帯数を当該団体の平成二十二年九月三十日現在の住民基本台帳に登載された世帯数で除して得た数を乗じて得た数(整数未満の端数があるときは、その端数を四捨五入する。)世帯
二特定被災地方公共団体のうち、福島県の「高等学校費」のうち生徒数を測定単位とするものに係る別表第一(3)都道府県の項第二号の適用については、同号中「
投資補正係数+(事業費補正係数-1)
」とあるのは、「
投資補正係数+(事業費補正係数-1)+経常態容補正係数
」とし、当該経常態容補正係数は、次の算式によつて算定した率(小数点以下三位未満の端数があるときは、その端数を四捨五入し、負数となるときは零とする。)とする。
算式
算式の符号
A 測定単位の数値
B 学校基本調査規則によつて調査した平成22年5月1日現在における当該都道府県立の高等学校(中等教育学校の後期課程を含む。)に在学する生徒数
C 福島県の令和5年1月1日現在の住民基本台帳登載人口を、福島県の平成22年9月30日現在の住民基本台帳登載人口及び国勢調査令によつて調査した平成22年10月1日現在における外国人の人口の合計数で除して得た率(小数点以下5位未満の端数があるときは、当該端数を四捨五入する。)
三特定被災地方公共団体のうち、田村市、南相馬市、伊達郡川俣町、双葉郡広野町、同郡楢葉町、同郡富岡町、同郡川内村、同郡大熊町、同郡双葉町、同郡浪江町、同郡葛尾村及び相馬郡飯舘村における行政の質及び量の差による種地に係る地域区分の基礎となる点数の算定に係る第十一条第一項第一号(一)(1)算式の符号Aの数、同号(一)(2)算式の符号Bの数、同号(一)(3)算式の符号Cの数、同号(一)(4)算式の符号Dの数、同号(一)(4)算式の符号Eの数、同号(二)(2)算式の符号Cの数、同号(二)(3)算式の符号Dの数及び同号(二)(4)算式の符号Eの数については、次に定めるところによつて算定するものとする。
(一)第十一条第一項第一号(一)(1)算式の符号Aの数は、各市町村の令和二年人口集中地区人口と各市町村の国勢調査令によつて調査した平成二十二年十月一日現在における人口集中地区人口(以下この条において「平成二十二年人口集中人口」という。)に当該団体の令和二年九月三十日現在の住民基本台帳登載人口を当該団体の平成二十二年九月三十日現在の住民基本台帳登載人口で除して得た率(小数点以下第三位未満の端数があるときは、その端数を四捨五入する。)を乗じて得た数(整数未満の端数があるときは、その端数を四捨五入する。)のいずれか大きい数に、当該数を令和二年人口で除して得た率(小数点以下二位未満の端数があるときは、その端数を四捨五入する。)が〇・八〇未満となる市町村にあつては一・〇〇を、当該率が〇・八〇以上一・〇〇未満となる市町村にあつては一・〇五を、当該率が一・〇〇となる市町村にあっては一・一〇をそれぞれ乗じて得た数(整数未満の端数があるときは、その端数を四捨五入する。)とする。
(二)第十一条第一項第一号(一)(2)算式の符号Bの数は、当該数と平成三十年改正前の省令第十一条第一号(一)(2)算式の符号Bの数に一・〇〇六を乗じて得た数(小数点以下一位未満の端数があるときは、その端数を四捨五入する。)のいずれか大きい数とする。
(三)第十一条第一項第一号(一)(3)算式の符号Cの数は、全宅地の平均価格と平成十九年度分の全宅地の平均価格(平成十九年度分の固定資産税に係る概要調書に記載されている宅地の決定価格の総額を宅地の総地積で除して得た数(整数未満の端数があるときは、その端数を四捨五入する。)。以下この条において同じ。)に〇・八六七を乗じて得た数(整数未満の端数があるときは、その端数を四捨五入する。)のいずれか大きい数を三八、五一三円で除して得た率に一〇〇を乗じて得た数(整数未満の端数があるときは、その端数を四捨五入する。)に、令和四年度分の固定資産税に係る概要調書に記載されている宅地の評価総地積が十平方キロメートル以上の市町村で、商工住宅地区の宅地の平均価格を全宅地の平均価格で除して得た数(小数点以下一位未満の端数があるときは、その端数を四捨五入する。)が一・五以上二・〇未満となるものにあつては一・二五を、当該除して得た数が二・〇〇以上となるものにあつては一・五〇を、その他の市町村にあつては一・〇〇をそれぞれ乗じて得た数(整数未満の端数があるときは、その端数を四捨五入する。)とする。
(四)第十一条第一項第一号(一)(4)算式の符号Dの数は、当該数と平成三十年改正前の省令第十一条第一号(一)(4)算式の符号Dの数に〇・九八九を乗じて得た数(整数未満の端数があるときは、その端数を四捨五入する。)のいずれか大きい数とする。
(五)第十一条第一項第一号(一)(4)算式の符号Eの数は、令和二年人口から昼間流出人口を控除し(四)の規定によつて算定した数を加えた数を令和二年人口で除して得た率(小数点以下二位未満の端数があるときは、その端数を四捨五入する。)が一・〇〇未満の市町村にあつては、一・〇〇から当該率を控除した率に一六七を乗じて得た数(整数未満の端数があるときは、その端数を四捨五入する。)とし、その他の市町村にあつては零とする。
(六)第十一条第一項第一号(二)(2)算式の符号Cの数は、当該数と平成三十年改正前の省令第十一条第一号(二)(2)算式の符号Cの数に一・〇〇〇を乗じて得た数(整数未満の端数があるときは、その端数を四捨五入する。)のいずれか大きい数とする。
(七)第十一条第一項第一号(二)(3)算式の符号Dの数は、(二)の規定によつて算定した数と同一の数とする。
(八)第十一条第一項第一号(二)(4)算式の符号Eの数は、(三)の規定によつて算定した数と同一の数とする。
四特定被災地方公共団体のうち、田村市、南相馬市、伊達郡川俣町、双葉郡広野町、同郡楢葉町、同郡富岡町、同郡川内村、同郡大熊町、同郡双葉町、同郡浪江町、同郡葛尾村及び相馬郡飯舘村の「農業行政費」に係る普通態容補正Ⅱ係数の算定に用いる農業就業者数比率については、第十一条第一項第二号(一)中「令和二年」とあるのは「平成二十二年」と、「四捨五入する。)」とあるのは「四捨五入する。)に〇・九二一九を乗じて得た率(一パーセント未満の端数があるときは、その端数を四捨五入する。)」とし、南相馬市、双葉郡広野町、同郡楢葉町、同郡富岡町及び同郡大熊町の「農業行政費」に係る普通態容補正Ⅱ係数の算定に用いる耕地比率については、同号(二)中「令和二年度分」とあるのは「平成二十二年度分」と、「四捨五入する。)」とあるのは「四捨五入する。)に〇・九七三三を乗じて得た率(一パーセント未満の端数があるときは、その端数を四捨五入する。)」とする。
五特定被災地方公共団体のうち、双葉郡楢葉町、同郡川内村、同郡浪江町及び同郡葛尾村の「林野水産行政費」に係る普通態容補正Ⅱ係数の算定に用いる林業等就業者比率については、第十一条第一項第三号(一)中「令和二年」とあるのは「平成二十二年」と、「四捨五入する。)」とあるのは「四捨五入する。)に〇・八一二五を乗じて得た率(一パーセント未満の端数があるときは、その端数を四捨五入する。)」とする。
六特定被災地方公共団体のうち、田村市、南相馬市、伊達郡川俣町、双葉郡広野町、同郡楢葉町、同郡富岡町、同郡川内村、同郡大熊町、同郡双葉町、同郡浪江町、同郡葛尾村及び相馬郡飯舘村の「高等学校費」のうち生徒数を測定単位とするものに係る普通態容補正係数の算定については、第十条第十五項の規定により定める率に次の算式によつて算定した率(小数点以下三位未満の端数があるときは、その端数を四捨五入し、負数となるときは零とする。以下「特例率」という。)を加算した率とする。
算式
算式の符号
A 測定単位の数値
B 学校基本調査規則によつて調査した平成22年5月1日現在における当該市町村立の高等学校(中等教育学校の後期課程を含む。)に在学する生徒数
C 特例率を加算する前の普通態容補正係数
D 当該市町村の令和5年1月1日現在の住民基本台帳登載人口を、当該市町村の平成22年9月30日現在の住民基本台帳登載人口及び国勢調査令によつて調査した平成22年10月1日現在における外国人の人口の合計数で除して得た率(小数点以下5位未満の端数があるときは、当該端数を四捨五入し、0.94903を超えるときは、0.94903とする。)
七特定被災地方公共団体のうち、福島県の「港湾費」のうち漁港における外郭施設の延長を測定単位とするものに係る投資態容補正係数の算定に用いる漁港における外郭施設の延長当たり海面に係る水産業者数については、第十二条第二項の表都道府県の項第二号中「平成三十年十一月一日」とあるのは「平成二十年十一月一日」と、「を測定単位の数値で除して得た数」とあるのは「に〇・六八七を乗じて得た数(整数未満の端数があるときは、その端数を四捨五入する。)を測定単位の数値で除して得た数」とし、田村市、南相馬市、双葉郡広野町、同郡楢葉町、同郡富岡町、同郡大熊町、同郡双葉町及び同郡浪江町の「港湾費」のうち漁港における外郭施設の延長を測定単位とするものに係る投資態容補正係数の算定に用いる漁業就業者比率については、「令和二年十月一日」とあるのは「平成二十二年十月一日」と、「B漁業の就業者数」とあるのは「B漁業の就業者数に〇・七四七を乗じて得た数」とする。
八特定被災地方公共団体のうち、宮古市、大船渡市、久慈市、陸前高田市、釜石市、上閉伊郡大槌町、下閉伊郡山田町、同郡岩泉町、同郡田野畑村、仙台市、石巻市、塩竈市、気仙沼市、名取市、岩沼市、東松島市、亘理郡亘理町、同郡山元町、宮城郡松島町、同郡七ヶ浜町、牡鹿郡女川町、本吉郡南三陸町、いわき市、相馬市、田村市、南相馬市、伊達郡川俣町、双葉郡広野町、同郡楢葉町、同郡富岡町、同郡川内村、同郡大熊町、同郡双葉町、同郡浪江町、同郡葛尾村、相馬郡新地町及び同郡飯舘村の「農業行政費」に係る数値急減補正係数の算定に用いる農家数については、第十六条第一項の表市町村の項第一号中「農林業センサス規則によって調査した平成27年2月1日現在における農家数」を「令和3年改正前の省令附則第21条第1項第1号の表第10項に定める農家数」とする。
九特定被災地方公共団体のうち、岩手県、宮城県及び福島県の「農業行政費」に係る数値急減補正係数の算定に用いる農家数については、第十六条第一項の表都道府県の項第一号中「農林業センサス規則によって調査した平成27年2月1日現在における農家数」を「令和3年改正前の省令附則第21条第1項第1号の表第11項に定める農家数」とする。
十特定被災地方公共団体のうち、岩手県、宮城県及び福島県の「水産行政費」に係る数値急減補正係数の算定に用いる水産業者数については、第十六条第一項の表都道府県の項第二号中「漁業センサス規則によつて調査した平成25年11月1日現在における水産業者数」を「令和3年改正前の省令附則第21条第1項第1号の表第12項に定める水産業者数」とする。
十一特定被災地方公共団体の「林野水産行政費」に係る数値急減補正係数の算定に用いる林業及び水産業の従業者数のうち、双葉郡川内村、同郡葛尾村及び相馬郡飯舘村に係るものについては第十六条第一項の表市町村の項第五号中「平成27年度産業分類別就業者数のうちA農業、林業のうち林業の就業者数」とあるのは「令和4年改正前の省令附則第21条第1項第1号の表第16項に定める林業及び水産業の従業者数」とし、宮古市、大船渡市、陸前高田市、釜石市、上閉伊郡大槌町、下閉伊郡山田町、同郡田野畑村、九戸郡野田村、石巻市、気仙沼市、名取市、東松島市、亘理郡山元町、宮城郡松島町、同郡七ヶ浜町、同郡利府町、牡鹿郡女川町、本吉郡南三陸町、いわき市、相馬市及び相馬郡新地町に係るものについては同表市町村の項第五号中「平成27年度産業分類別就業者数のうちB漁業の就業者数」とあるのは「令和4年改正前の省令附則第21条第1項第1号の表第17項に定める林業及び水産業の従業者数」とし、田村市、南相馬市、双葉郡広野町、同郡楢葉町、同郡富岡町、同郡大熊町、同郡双葉町及び同郡浪江町に係るものについては同表市町村の項第五号中「平成27年度産業分類別就業者数のうちA農業、林業のうち林業の就業者数」及び「平成27年度産業分類別就業者数のうちB漁業の就業者数」とあるのは「令和4年改正前の省令附則第21条第1項第1号の表第18項に定める林業及び水産業の従業者数」とする。
十二特定被災地方公共団体のうち、福島県、大船渡市、上閉伊郡大槌町、下閉伊郡田野畑村、同郡普代村、九戸郡野田村、塩竈市、気仙沼市、多賀城市、東松島市、亘理郡山元町、宮城郡松島町、同郡七ヶ浜町、牡鹿郡女川町、本吉郡南三陸町、南相馬市、双葉郡広野町、同郡楢葉町、同郡富岡町、同郡川内村、同郡大熊町、同郡双葉町、同郡浪江町、同郡葛尾村、相馬郡飯舘村の「地域振興費」に係る数値急減補正係数の算定に用いる人口については、第十六条第一項の表都道府県の項第三号中「平成27年人口」を「令和3年改正前の省令附則第21条第1項第1号の表第第1項に定める人口」とする。
十三特定被災地方公共団体のうち、第一項第一号の表第一項に定める市町村の「地域振興費」のうち人口を測定単位とするものに係る数値急減補正係数の算定については、第十六条第一項の規定により算定した数と次の式によつて算定した数のいずれか大きい数とする。
算式Ⅲ
{(B-A)/A-0.100×B/A}×37.6×β-(α-β)×37.6
(B-A)、(B-A)/A-0.100×B/A、(α-β)又は{(B-A)/A-0.100×B/A}×37.6×β-(α-β)×37.6が負数となるときは、それぞれ0とする。
αが3.335を超えるときは3.335とする。
βが3.335を超えるときは3.335とする。
算式の符号
A 測定単位の数値
B 当該市町村の平成22年人口
α 測定単位の数値に別表第1(2)に定める数値急減補正の人口段階による補正率Aに定める率を乗じて得た率(整数未満の端数があるときは、その端数を四捨五入する。)と同表のBに定める率とを合算した率を測定単位の数値で除して得た率(小数点以下3位未満の端数があるときは、その端数を四捨五入する。)
β 当該市町村の平成22年人口に別表第1(2)に定める数値急減補正の人口段階による補正率Aに定める率を乗じて得た率(整数未満の端数があるときは、その端数を四捨五入する。)と同表のBに定める率とを合算した率を平成22年人口で除して得た率(小数点以下3位未満の端数があるときは、その端数を四捨五入する。)
十四第一項第一号の表第三項又は第四項に定める市町村の「小学校費」のうち児童数を測定単位とするものに係る密度補正係数については、第九条第一項の表市町村の項第四号中「
453×A
」とあるのは「
453×A(附則第21条第1項第1号の表中三又は四の適用がなかつた場合の数)
」と、第九条第七項中「〇・〇五〇」とあるのは「一、五一八、〇〇〇を六六〇で除して得た数に、附則第二十一条第一項第一号の表第三項又は第四項の適用がないものとした場合における測定単位の数値を乗じて得た額を、四五、八〇〇に測定単位の数値を乗じた数で除して得た率(小数点以下三位未満の端数があるときは、その端数を四捨五入する。)」とする。
十五第一項第一号の表第五項又は第六項に定める市町村の「中学校費」のうち生徒数を測定単位とするものに係る密度補正係数については、第九条第一項の表市町村の項第五号中「
1,226×A
」とあるのは「
1,226×A(附則第21条第1項第1号の表中五又は六の適用がなかつた場合の数)
」と、第九条第八項中「〇・〇九八」とあるのは「二、四九二、〇〇〇を六〇〇で除して得た数に、附則第二十一条第一項第一号の表第五項又は第六項の適用がないものとした場合における測定単位の数値を乗じて得た額を、四二、三〇〇に測定単位の数値を乗じた数で除して得た率(小数点以下三位未満の端数があるときは、その端数を四捨五入する。)」とする。
2前項第一号に規定する新市町村の測定単位の数値の合併関係市町村への分別又は按分は、第四十九条第二項の規定によるものとする。この場合において、人口の分別又は按分については、同項第一号中「第五条第一項の表中一」とあるのは「附則第二十一条第一項第一号の表中一」と、都市計画区域における人口の分別又は按分については、同項第六号中「同項の表中十一」とあるのは「附則第二十一条第一項第一号の表中二」と、小学校の児童数の分別又は按分については、同項第八号中「第五条第一項の表中十四」とあるのは「附則第二十一条第一項第一号の表中三及び四」と、幼稚園及び幼保連携型認定子ども園の小学校就学前子どもの数の分別又は按分については、同項第十四号中「第五条第一項の表第二十七号」とあるのは「附則第二十一条第一項第一号の表中七」と、六十五歳以上人口の分別又は按分については、同項第十六号中「第五条第一項の表中三十」とあるのは「附則第二十一条第一項第一号の表中八」と、農家数の分別又は按分については、同項第十八号中「第五条第一項の表中三十二」とあるのは「附則第二十一条第一項第一号の表中十」と、林業及び水産業の従業者数の分別又は按分については、同項第十九号中「第五条第一項の表中三十六」とあるのは、附則第二十一条第一項第一号の表中十三に掲げる市町村にあつては「附則第二十一条第一項第一号の表中十三」と、同表十四に掲げる市町村にあつては「附則第二十一条第一項第一号の表中十四」と、世帯数の分別又は按分については、第四十九条第二項第二十一号中「第五条第一項の表中三十八」とあるのは「附則第二十一条第一項第一号の表中十五」と読み替えるものとする。
3第一項第三号に規定する新市町村の合併関係市町村の区域に係る平成二十二年人口集中地区人口及び平成十九年度分の全宅地の平均価格については、第四十九条第五項第一号の規定に準じて算定するものとする。
4第一項第四号に規定する新市町村の合併関係市町村の区域に係る農業就業者数比率の算定に用いる国勢調査令によつて調査した平成二十二年十月一日現在における産業分類別就業者数並びに耕地比率の算定に用いる田畑の面積、牧場の面積及び宅地の面積については、第四十九条第五項第二号の規定に準じて算定するものとする。
5第一項第五号に規定する新市町村の合併関係市町村の区域に係る林業等就業者比率の算定に用いる国勢調査令によつて調査した平成二十二年十月一日現在における産業分類別就業者数については、第四十九条第五項第三号の規定に準じて算定するものとする。
6第一項第六号の規定による「高等学校費」のうち生徒数を測定単位とするものに係る普通態容補正係数及び同項第八号の規定による「地域振興費」のうち人口を測定単位とするものに係る数値急減補正係数は、合併関係市町村にあつては、新市町村の係数によるものとする。

(令和五年度における基準財政収入額の算定方法の特例)

第二十二条法附則第七条の四に規定する各都道府県における次の各号に掲げる収入の項目に係る令和五年度の東日本大震災に係る減収見込額の算定の基礎は、それぞれ地方税法の一部を改正する法律(平成二十三年法律第三十号。以下この条において「平成二十三年法律第三十号」という。)、東日本大震災における原子力発電所の事故による災害に対処するための地方税法及び東日本大震災に対処するための特別の財政援助及び助成に関する法律の一部を改正する法律(平成二十三年法律第九十六号。以下この条において「平成二十三年法律第九十六号」という。)、地方税法の一部を改正する法律(平成二十三年法律第百二十号。以下この条において「平成二十三年法律第百二十号」という。)、地方税法及び国有資産等所在市町村交付金法の一部を改正する法律(平成二十四年法律第十七号。以下「平成二十四年地方税法等改正法」という。)、平成二十五年地方税法改正法、平成二十六年地方税法等改正法、地方税法等の一部を改正する法律(平成二十七年法律第二号。以下「平成二十七年地方税法等改正法」という。)、平成二十八年地方税法等改正法、平成二十九年地方税法等改正法、平成三十一年地方税法等改正法、令和二年地方税法等改正法、地方税法等の一部を改正する法律(令和二年法律第二十六号。以下この条において「令和二年法律第二十六号」という。)、令和三年地方税法等改正法、令和四年地方税法等改正法、令和五年地方税法等改正法、東日本大震災の被災者等に係る国税関係法律の臨時特例に関する法律(平成二十三年法律第二十九号。以下この条において「震災特例法」という。)、東日本大震災の被災者等に係る国税関係法律の臨時特例に関する法律の一部を改正する法律(平成二十三年法律第百十九号。以下この条において「震災特例法改正法」という。)、租税特別措置法等の一部を改正する法律(平成二十四年法律第十六号。以下この条において「平成二十四年租税特別措置法等改正法」という。)、所得税法等の一部を改正する法律(平成二十五年法律第五号。以下この条において「平成二十五年所得税法等改正法」という。)、所得税法等の一部を改正する法律(平成二十六年法律第十号。以下この条において「平成二十六年所得税法等改正法」という。)、所得税法等の一部を改正する法律(平成二十七年法律第九号。以下この条において「平成二十七年所得税法等改正法」という。)、所得税法等の一部を改正する法律(平成二十八年法律第十五号。以下この条において「平成二十八年所得税法等改正法」という。)、所得税法等の一部を改正する等の法律(平成二十九年法律第四号。以下この条において「平成二十九年所得税法等改正法」という。)、所得税法等の一部を改正する法律(平成三十一年法律第六号。以下この条において「平成三十一年所得税法等改正法」という。)、所得税法等の一部を改正する法律(令和二年法律第八号。以下この条において「令和二年所得税法等改正法」という。)、新型コロナウイルス感染症等の影響に対応するための国税関係法律の臨時特例に関する法律(令和二年法律第二十五号。以下この条において「新型コロナウイルス感染症特例法」という。)、所得税法等の一部を改正する法律(令和三年法律第十一号。以下この条において「令和三年所得税法等改正法」という。)、所得税法等の一部を改正する法律(令和四年法律第四号。以下この条において「令和四年所得税法等改正法」という。)及び所得税法等の一部を改正する法律(令和五年法律第三号。以下この条において「令和五年所得税法等改正法」という。)の施行による収入が減少する額として総務大臣が算定した額(次項において「都道府県算定基礎額」という。)とする。
一個人の道府県民税に係る令和五年度の東日本大震災に係る減収見込額
二法人の道府県民税に係る令和五年度の東日本大震災に係る減収見込額
三個人の行う事業に対する事業税に係る令和五年度の東日本大震災に係る減収見込額
四法人の行う事業に対する事業税に係る令和五年度の東日本大震災に係る減収見込額
五不動産取得税に係る令和五年度の東日本大震災に係る減収見込額
六固定資産税に係る令和五年度の東日本大震災に係る減収見込額
七特別法人事業譲与税に係る令和五年度の東日本大震災に係る減収見込額
2前項各号に掲げる収入の項目に係る令和五年度の東日本大震災に係る減収見込額は、同項各号に掲げる収入の項目に係る都道府県算定基礎額とする。
3法附則第七条の四に規定する令和五年度に各都道府県の基準財政収入額に加算する額は、第一項各号に掲げる収入の項目に係る令和五年度の東日本大震災に係る減収見込額として前項の規定により定める額の合算額の百分の七十五の額として総務大臣が通知した額とする。
4法附則第七条の四に規定する各市町村における次の各号に掲げる収入の項目に係る令和五年度の東日本大震災に係る減収見込額の算定の基礎は、それぞれ平成二十三年法律第三十号、平成二十三年法律第九十六号、平成二十三年法律第百二十号、平成二十四年地方税法等改正法、平成二十五年地方税法改正法、平成二十六年地方税法等改正法、平成二十七年地方税法等改正法、平成二十八年地方税法等改正法、平成二十九年地方税法等改正法、平成三十一年地方税法等改正法、令和二年地方税法等改正法、令和二年法律第二十六号、令和三年地方税法等改正法、令和四年地方税法等改正法、令和五年地方税法等改正法、震災特例法、震災特例法改正法、平成二十四年租税特別措置法等改正法、平成二十五年所得税法等改正法、平成二十六年所得税法等改正法、平成二十七年所得税法等改正法、平成二十八年所得税法等改正法、平成二十九年所得税法等改正法、平成三十一年所得税法等改正法、令和二年所得税法等改正法、新型コロナウイルス感染症特例法、令和三年所得税法等改正法、令和四年所得税法等改正法及び令和五年所得税法等改正法の施行による収入が減少する額として総務大臣が算定した額(次項において「市町村算定基礎額」という。)とする。
一個人の市町村民税に係る令和五年度の東日本大震災に係る減収見込額
二法人の市町村民税に係る令和五年度の東日本大震災に係る減収見込額
三固定資産税に係る令和五年度の東日本大震災に係る減収見込額
四法人事業税交付金に係る令和五年度の東日本大震災に係る減収見込額
5前項各号に掲げる収入の項目に係る令和五年度の東日本大震災に係る減収見込額は、同項各号に掲げる収入の項目に係る市町村算定基礎額とする。
6法附則第七条の四に規定する令和五年度に各市町村の基準財政収入額に加算する額は、第四項各号に掲げる収入の項目に係る令和五年度の東日本大震災に係る減収見込額として前項の規定により定める額の合算額の百分の七十五の額として総務大臣が通知した額とする。
7合併関係市町村に係る前項の基準財政収入額に加算する額は、第五項の規定により定める当該新市町村の個人の市町村民税に係る令和五年度の東日本大震災に係る減収見込額を第五十条第一項第一号(二)の規定に準じて按分した額、法人の市町村民税に係る令和五年度の東日本大震災に係る減収見込額を第五十条第一項第一号(三)の規定に準じて按分した額、固定資産税に係る令和五年度の東日本大震災に係る減収見込額を第五十条第一項第二号の規定に準じて按分した額及び法人事業税交付金に係る令和五年度の東日本大震災に係る減収見込額を第五十条第一項第七号の四の二の規定に準じて按分した額の合算額の百分の七十五の額として総務大臣が通知した額とする。
附則別表第一 削除
附則別表第二 削除
附則別表第三
「地域振興費」の投資補正に用いる率(附則第九条関係)
市名率
三鷹市1.145
守口市2.658
武蔵野市2.143
芦屋市0.401
(注)合併前年度において事業所税の課税団体であった旧市町村の人口が30万人未満の場合(新市町村の人口が30万人以上の場合に限る。)又は合併前年度において事業所税の非課税団体であった旧市町村の人口が30万人以上の場合においては、当該旧市町村の率は合併前年度における旧市町村の人口により設定すること。
附則別表第三の二
「地域振興費」の投資補正に用いる率(附則第九条の二関係)
市名率
札幌市0.048
仙台市0.009
千葉市0.010
横浜市0.021
静岡市0.012
浜松市0.022
名古屋市0.133
大阪市0.048
堺市0.032
岡山市0.017
熊本市0.076
附則別表第四 削除
附則別表第五 削除
附則別表第六 削除
附則別表第七 削除
附則別表第八 削除
附則別表第九 削除
附則別表第十 削除
附則別表第十一 削除
附則別表第十二
(1) 都道府県分の「地域の元気創造事業費」の段階補正に用いる率(附則第十九条の十四関係)
段階補正
測定単位の数値が1,700,000人以上のもの
1,700,000人1.00
1,700,000人を超え2,100,000人までの数0.33
2,100,000人を超え2,500,000人までの数0.36
2,500,000人を超え3,500,000人までの数0.46
3,500,000人を超え5,000,000人までの数0.43
5,000,000人を超え6,000,000人までの数0.39
6,000,000人を超える数0.36
測定単位の数値が1,700,000人に満たないもの
その団体の数値1.00
1,700,000人に満たない数が300,000人までの数0.89
同上300,000人を超え600,000人までの数0.74
同上600,000人を超え900,000人までの数0.98
同上900,000人を超える数0.68
(2) 市町村分の「地域の元気創造事業費」の段階補正に用いる率(附則第十九条の十四関係)
段階補正
測定単位の数値が100,000人以上のもの
100,000人1.00
100,000人を超え250,000人までの数0.84
250,000人を超え1,000,000人までの数0.27
1,000,000人を超える数0.08
測定単位の数値が100,000人に満たないもの
その団体の数値1.00
100,000人に満たない数が70,000人までの数0.06
同上70,000人を超え80,000人までの数0.09
同上80,000人を超え88,000人までの数0.13
同上88,000人を超える数0.46
附則別表第十二の二
(1) 都道府県分の「人口減少等特別対策事業費」の段階補正に用いる率(附則第十九条の十四の二関係)
段階補正
測定単位の数値が1,700,000人以上のもの
1,700,000人1.00
1,700,000人を超え2,100,000人までの数0.38
2,100,000人を超え2,500,000人までの数0.41
2,500,000人を超え3,500,000人までの数0.42
3,500,000人を超え6,000,000人までの数0.42
6,000,000人を超える数0.54
測定単位の数値が1,700,000人に満たないもの
その団体の数値1.00
1,700,000人に満たない数が300,000人までの数0.85
同上300,000人を超え600,000人までの数0.93
同上600,000人を超え900,000人までの数0.97
同上900,000人を超える数0.94
(2) 市町村分の「人口減少等特別対策事業費」の段階補正に用いる率(附則第十九条の十四の二関係)
段階補正
測定単位の数値が100,000人以上のもの
100,000人1.00
100,000人を超え250,000人までの数0.48
250,000人を超え1,000,000人までの数0.38
1,000,000人を超える数0.42
測定単位の数値が100,000人に満たないもの
その団体の数値1.00
100,000人に満たない数が70,000人までの数0.26
同上70,000人を超え80,000人までの数0.17
同上80,000人を超え88,000人までの数0.05
同上88,000人を超える数-0.08
附則別表第十二の三
(1) 都道府県分の「地域社会再生事業費」の段階補正に用いる率(附則第十九条の十四の三関係)
段階補正
測定単位の数値が1,700,000人以上のもの
1,700,000人1.00
1,700,000人を超え2,100,000人までの数0.27
2,100,000人を超え2,500,000人までの数0.54
2,500,000人を超え3,500,000人までの数0.61
3,500,000人を超え5,000,000人までの数0.64
5,000,000人を超え6,000,000人までの数0.58
6,000,000人を超える数0.48
測定単位の数値が1,700,000人に満たないもの
その団体の数値1.00
1,700,000人に満たない数が300,000人までの数0.89
同上300,000人を超え600,000人までの数0.89
同上600,000人を超え900,000人までの数0.87
同上900,000人を超える数0.85
(2) 市町村分の「地域社会再生事業費」の段階補正に用いる率(附則第十九条の十四の三関係)
段階補正
測定単位の数値が100,000人以上のもの
100,000人1.00
100,000人を超え250,000人までの数0.75
250,000人を超え400,000人までの数0.66
400,000人を超え1,000,000人までの数0.52
1,000,000人を超える数0.51
測定単位の数値が100,000人に満たないもの
その団体の数値1.00
100,000人に満たない数が70,000人までの数0.11
同上70,000人を超え80,000人までの数0.13
同上80,000人を超え88,000人までの数0.18
同上88,000人を超え92,000人までの数0.15
同上92,000人を超え96,000人までの数-0.45
同上96,000人を超える数-1.67
附則別表第十二の四
(1) 都道府県分の「地域デジタル社会推進費」の段階補正に用いる率(附則第十九条の十四の四関係)
段階補正
測定単位の数値が1,700,000人以上のもの
1,700,000人1.00
1,700,000人を超え2,100,000人までの数0.29
2,100,000人を超え2,500,000人までの数0.52
2,500,000人を超え3,500,000人までの数0.63
3,500,000人を超え5,000,000人までの数0.63
5,000,000人を超え6,000,000人までの数0.59
6,000,000人を超える数0.48
測定単位の数値が1,700,000人に満たないもの
その団体の数値1.00
1,700,000人に満たない数が300,000人までの数0.90
同上300,000人を超え600,000人までの数0.88
同上600,000人を超え900,000人までの数0.89
同上900,000人を超える数0.84
(2) 市町村分の「地域デジタル社会推進費」の段階補正に用いる率(附則第十九条の十四の四関係)
段階補正
測定単位の数値が100,000人以上のもの
100,000人1.00
100,000人を超え250,000人までの数0.63
250,000人を超え400,000人までの数0.57
400,000人を超え1,000,000人までの数0.44
1,000,000人を超える数0.43
測定単位の数値が100,000人に満たないもの
その団体の数値1.00
100,000人に満たない数が70,000人までの数0.25
同上70,000人を超え80,000人までの数0.28
同上80,000人を超え88,000人までの数0.30
同上88,000人を超え92,000人までの数0.29
同上92,000人を超え96,000人までの数-0.22
同上96,000人を超える数-1.25
附則別表第十二の五
(1) 都道府県分の「臨時経済対策費」の段階補正に用いる率(附則第十九条の十四の五関係)
段階補正
測定単位の数値が1,700,000人以上のもの
1,700,000人1.00
1,700,000人を超え2,100,000人までの数0.50
2,100,000人を超え2,500,000人までの数0.50
2,500,000人を超え3,500,000人までの数0.65
3,500,000人を超え5,000,000人までの数0.70
5,000,000人を超え6,000,000人までの数0.57
6,000,000人を超える数0.50
測定単位の数値が1,700,000人に満たないもの
その団体の数値1.00
1,700,000人に満たない数が300,000人までの数0.90
同上300,000人を超え600,000人までの数0.89
同上600,000人を超え900,000人までの数0.89
同上900,000人を超える数0.83
(2) 市町村分の「臨時経済対策費」の段階補正に用いる率(附則第十九条の十四の五関係)
段階補正
測定単位の数値が100,000人以上のもの
100,000人1.00
100,000人を超え250,000人までの数0.75
250,000人を超え400,000人までの数0.66
400,000人を超え1,000,000人までの数0.52
1,000,000人を超える数0.52
測定単位の数値が100,000人に満たないもの
その団体の数値1.00
100,000人に満たない数が70,000人までの数0.11
同上70,000人を超え80,000人までの数0.14
同上80,000人を超え88,000人までの数0.17
同上88,000人を超え92,000人までの数0.15
同上92,000人を超え96,000人までの数-0.45
同上96,000人を超える数-1.67
附則別表第十二の六
(1) 都道府県分の「臨時財政対策債償還基金費」の種別補正に用いる率(附則第十九条の十四の六関係)
種別補正
(1) 平成16年度臨時財政対策債1.000
(2) 平成17年度臨時財政対策債1.900
(3) 平成18年度臨時財政対策債1.900
(4) 平成19年度臨時財政対策債1.850
(5) 平成20年度臨時財政対策債2.030
(6) 平成21年度臨時財政対策債2.015
(7) 平成22年度臨時財政対策債1.995
(8) 平成23年度臨時財政対策債1.975
(9) 平成24年度臨時財政対策債2.040
(10) 平成25年度臨時財政対策債2.140
(11) 平成26年度臨時財政対策債2.080
(12) 平成27年度臨時財政対策債2.000
(13) 平成28年度臨時財政対策債1.950
(14) 平成29年度臨時財政対策債1.950
(15) 平成30年度臨時財政対策債1.960
(16) 令和元年度臨時財政対策債1.920
(17) 令和2年度臨時財政対策債1.925
(18) 令和3年度臨時財政対策債0.760
(19) 令和4年度臨時財政対策債0.240
(20) 令和5年度臨時財政対策債0.330
(2) 市町村分の「臨時財政対策債償還基金費」の種別補正に用いる率(附則第十九条の十四の六関係)
種別補正
(1) 平成16年度臨時財政対策債
ア 平成16年度市場公募都市に係るもの1.000
イ 平成16年度市場公募都市以外の市町村に係るもの0.950
(2) 平成17年度臨時財政対策債
ア 平成17年度市場公募都市に係るもの1.500
イ 平成17年度市場公募都市以外の市町村に係るもの1.900
(3) 平成18年度臨時財政対策債
ア 平成18年度市場公募都市に係るもの1.500
イ 平成18年度市場公募都市以外の市町村に係るもの1.800
(4) 平成19年度臨時財政対策債
ア 平成19年度市場公募都市に係るもの1.500
イ 平成19年度市場公募都市以外の市町村に係るもの1.850
(5) 平成20年度臨時財政対策債
ア 平成20年度市場公募都市に係るもの1.665
イ 平成20年度市場公募都市以外の市町村に係るもの2.405
(6) 平成21年度臨時財政対策債
ア 平成21年度市場公募都市に係るもの1.740
イ 平成21年度市場公募都市以外の市町村に係るもの2.430
(7) 平成22年度臨時財政対策債
ア 平成22年度市場公募都市に係るもの1.790
イ 平成22年度市場公募都市以外の市町村に係るもの2.455
(8) 平成23年度臨時財政対策債
ア 平成23年度市場公募都市に係るもの1.830
イ 平成23年度市場公募都市以外の市町村に係るもの2.400
(9) 平成24年度臨時財政対策債
ア 平成24年度市場公募都市に係るもの1.925
イ 平成24年度市場公募都市以外の市町村に係るもの2.430
(10) 平成25年度臨時財政対策債
ア 平成25年度市場公募都市に係るもの1.965
イ 平成25年度市場公募都市以外の市町村に係るもの2.445
(11) 平成26年度臨時財政対策債
ア 平成26年度市場公募都市に係るもの1.845
イ 平成26年度市場公募都市以外の市町村に係るもの2.425
(12) 平成27年度臨時財政対策債
ア 平成27年度市場公募都市に係るもの1.700
イ 平成27年度市場公募都市以外の市町村に係るもの2.350
(13) 平成28年度臨時財政対策債
ア 平成28年度市場公募都市に係るもの1.700
イ 平成28年度市場公募都市以外の市町村に係るもの2.300
(14) 平成29年度臨時財政対策債
ア 平成29年度市場公募都市に係るもの1.700
イ 平成29年度市場公募都市以外の市町村に係るもの2.300
(15) 平成30年度臨時財政対策債
ア 平成30年度市場公募都市に係るもの1.695
イ 平成30年度市場公募都市以外の市町村に係るもの2.315
(16) 令和元年度臨時財政対策債
ア 令和元年度市場公募都市に係るもの1.650
イ 令和元年度市場公募都市以外の市町村に係るもの2.310
(17) 令和2年度臨時財政対策債
ア 令和2年度市場公募都市に係るもの1.610
イ 令和2年度市場公募都市以外の市町村に係るもの2.330
(18) 令和3年度臨時財政対策債
ア 令和3年度市場公募都市に係るもの0.680
イ 令和3年度市場公募都市以外の市町村に係るもの0.900
(19) 令和4年度臨時財政対策債
ア 令和4年度市場公募都市に係るもの0.230
イ 令和4年度市場公募都市以外の市町村に係るもの0.220
(20) 令和5年度臨時財政対策債
ア 令和5年度市場公募都市に係るもの0.335
イ 令和5年度市場公募都市以外の市町村に係るもの0.260
附則別表第十三
(1) 道府県の補正指数に係る率等(附則第十九条の十六関係)
補正指数区分率等
AB
補正指数が0.20未満のもの0.6262-0.0221
同上0.20以上0.30未満のもの0.6437-0.0258
同上0.30以上0.40未満のもの0.7206-0.0497
同上0.40以上0.50未満のもの4.7583-1.6646
同上0.50以上0.60未満のもの9.2175-3.8938
同上0.60以上0.70未満のもの22.3752-11.7882
同上0.70以上のもの28.1465-15.8274
(2) 市町村の補正指数に係る率等(附則第十九条の十六関係)
補正指数区分率等
指定都市中核市・施行時特例市その他
ABABAB
補正指数が0.10未満のもの1.22590.78820.56410.15190.17510.0525
同上0.10以上0.20未満のもの1.34380.77660.75950.13240.27280.0428
同上0.20以上0.30未満のもの1.82870.67931.10970.06230.42770.0116
同上0.30以上0.40未満のもの2.54940.46321.6941-0.11280.6821-0.0642
同上0.40以上0.50未満のもの4.6712-0.38552.8425-0.57221.1484-0.2511
同上0.50以上0.60未満のもの6.6178-1.35864.1642-1.23401.7715-0.5624
同上0.60以上0.70未満のもの9.3810-3.01676.6768-2.74043.0361-1.3215
同上0.70以上0.80未満のもの12.2236-5.00599.5377-4.74324.8850-2.6158
同上0.80以上0.90未満のもの13.3517-5.90909.9838-5.10125.4306-3.0517
同上0.90以上1.00未満のもの13.9158-6.417110.4134-5.48676.0334-3.5948
同上1.00以上のもの13.9158-6.417110.4134-5.48676.0334-3.5948
附則別表第十四
沖縄県の市町村に係る乗率(附則第二十条関係)
市町村名級地による補正率ア級地による補正率イ
石垣市16.8434.178
宮古島市14.1183.267
伊江村11.2832.333
渡嘉敷村11.2832.333
座間味村11.2832.333
粟国村11.2832.333
渡名喜村11.2832.333
南大東村19.5685.089
北大東村19.5685.089
伊平屋村11.2832.333
伊是名村11.2832.333
久米島町11.2832.333
多良間村16.8434.178
竹富町19.5685.089
与那国町19.5685.089

附 則(昭和三八年二月二八日自治省令第五号)抄

1この省令は、公布の日から施行する。

附 則(昭和三八年八月二六日自治省令第二三号)抄

1この省令は、公布の日から施行し、第四十六条第一項第一号の改正規定は昭和三十九年度分の普通交付税から、附則第二項の規定は昭和三十八年度において交付し、又は返還すべき地方交付税から、その他の改正規定は昭和三十八年度分の普通交付税から適用する。

附 則(昭和三九年八月二八日自治省令第二五号)

この省令は、公布の日から施行し、昭和三十九年度分の普通交付税から適用する。

附 則(昭和四〇年八月三一日自治省令第二三号)抄

1この省令は、公布の日から施行し、昭和四十年度分の普通交付税から適用する。

附 則(昭和四一年四月二八日自治省令第七号)

この省令は、公布の日から施行し、昭和四十一年度分の普通交付税から適用する。

附 則(昭和四一年八月三一日自治省令第二一号)

この省令は、公布の日から施行し、昭和四十一年度分の普通交付税から適用する。

附 則(昭和四二年二月七日自治省令第三号)抄

1この省令は、公布の日から施行する。

附 則(昭和四二年八月三一日自治省令第二六号)

この省令は、公布の日から施行し、昭和四十二年度分の普通交付税から適用する。

附 則(昭和四三年二月七日自治省令第一号)

この省令は、公布の日から施行する。

附 則(昭和四三年八月三〇日自治省令第二四号)抄

1この省令は、公布の日から施行し、昭和四十三年度分の普通交付税から適用する。

附 則(昭和四四年四月二一日自治省令第一一号)

この省令は、公布の日から施行し、昭和四十四年度分の普通交付税から適用する。

附 則(昭和四四年八月三〇日自治省令第二七号)抄

1この省令は、公布の日から施行し、昭和四十四年度分の普通交付税から適用する。

附 則(昭和四五年三月二七日自治省令第三号)抄

1この省令は、公布の日から施行する。

附 則(昭和四五年八月三一日自治省令第一八号)

この省令は、公布の日から施行し、昭和四十五年度分の普通交付税から適用する。

附 則(昭和四六年二月一五日自治省令第三号)抄

1この省令は、公布の日から施行する。

附 則(昭和四六年八月三〇日自治省令第一六号)

この省令は、公布の日から施行し、昭和四十六年度分の普通交付税から適用する。

附 則(昭和四七年八月二八日自治省令第一九号)

1この省令(第四十四条の改正規定を除く。)は、公布の日から施行し、昭和四十七年度分の普通交付税から適用する。
2第四十四条の改正規定は昭和四十八年四月一日から施行し、同年度分の普通交付税から適用する。

附 則(昭和四八年二月九日自治省令第一号)抄

1この省令は、公布の日から施行する。

附 則(昭和四八年二月二八日自治省令第四号)抄

1この省令は、公布の日から施行し、昭和四十七年度分の地方交付税の額の算定について適用する。

附 則(昭和四八年八月三〇日自治省令第二一号)抄

1この省令は、公布の日から施行し、昭和四十八年度分の普通交付税から適用する。
2次に掲げる府令及び省令は、廃止する。
一、地方交付税法第十九条第二項の規定による地方交付税の交付又は返還に関する総理府令(昭和三十年総理府令第十一号)
二、地方団体の廃置分合又は境界変更があつた場合における関係地方団体に対する地方交付税の措置に関する省令(昭和三十一年総理府令第七十三号)
三、大規模な災害により被害を受けた地域の地方団体に対して交付すべき地方交付税のうち普通交付税の交付時期及び交付額の特例に関する省令(昭和四十五年自治省令第二十号)

附 則(昭和四九年二月五日自治省令第二号)抄

1この省令は、公布の日から施行する。

附 則(昭和四九年八月三〇日自治省令第二九号)

この省令は、公布の日から施行する。

附 則(昭和五〇年八月二九日自治省令第一四号)

1この省令は、公布の日から施行する。
2地方交付税法の一部を改正する法律(昭和五十年法律第五十二号)附則第五項の規定による「臨時土地対策費」の測定単位の数値は、次の表の上欄に定める算定方法によつて同表の下欄に掲げる表示単位に基づいて算定する。
測定単位の数値の算定方法表示単位
都道府県算式
A×{(B×C)+D}
この場合において表示単位未満の端数があるときは、その端数を四捨五入し、
(B×C)
に小数点以下3位未満の端数があるときは、その端数を四捨五入する。
算式の符号A 当該都道府県の人口(昭和45年国勢調査令(昭和45年政令第57号)によつて調査した人口。以下「人口」という。)B Aに附則別表第一に定める率を乗じて得た数(整数未満の端数があるときは、その端数を四捨五入する。)の合計数をAで除して得た率(小数点以下3位未満の端数があるときは、その端数を四捨五入する。)C 当該都道府県の区域内の市町村ごとの人口に附則別表第二に定めるそれぞれの市町村の種地に係る率を乗じて得た数(整数未満の端数があるときは、その端数を四捨五入する。)の合計数をAで除して得た率(小数点以下3位未満の端数があるときは、その端数を四捨五入する。)D 次の算式によつて算定した率
(a/b)-1.051
この場合において、小数点以下3位未満の端数があるときは、その端数を四捨五入し、負数となる場合には零とする。a 当該都道府県の昭和50年3月31日現在において住民基本台帳法(昭和42年法律第81号)第6条の規定による住民票に記載されている者の数(以下「住民基本台帳登載人口」という。)b 当該都道府県の昭和45年9月30日現在の住民基本台帳登載人口
人
市町村算式
A×{(B×C)+D}
この場合において、表示単位未満の端数があるときは、その端数を四捨五入し、
(B×C)
に小数点以下3位未満の端数があるときは、その端数を四捨五入する。
算式の符号A 当該市町村の人口B Aに附則別表第一に定める率を乗じて得た数(整数未満の端数があるときは、その端数を四捨五入する。)の合計数をAで除して得た率(小数点以下3位未満の端数があるときは、その端数を四捨五入する。)C 当該市町村の種地に係る附則別表第二に定める率D 次の算式によつて算定した率。ただし、当該率が
(B×C)
を超える場合には、
(B×C)
とする。
((a/b)-1.051)×c
この場合において、小数点以下3位未満の端数があるときは、その端数を四捨五入し、
((a/b)-1.051)
に小数点以下3位未満の端数があるときは、その端数を四捨五入し、負数となる場合には零とする。
a 当該市町村の昭和50年3月31日現在の住民基本台帳登載人口b 当該市町村の昭和45年9月30日現在の住民基本台帳登載人口c 附則別表第三に定める率
人
3昭和五十年度に限り、新市町村で普通交付税に関する省令第四十八条の規定の適用を受けるものについては、前項の規定により算定した「臨時土地対策費」の測定単位の数値を第四十九条第二項第一号の規定により分別した合併関係市町村の区域の人口によつて合併関係市町村にあん分する。
附則別表第一
「臨時土地対策費」に用いる人口段階ごとの率
(1)都道府県分
測定単位の数値が1,700,000人以上のもの 
1,700,000人1.00
1,700,000人を超え2,100,000人までの数0.79
2,100,000人を超え2,500,000人までの数0.71
2,500,000人を超え3,500,000人までの数0.83
3,500,000人を超え5,000,000人までの数0.90
5,000,000人を超える数0.84
測定単位の数値が1,700,000人に満たないもの 
その団体の数値1.00
1,700,000人に満たない数が300,000人までの数0.37
同上300,000人を超え600,000人までの数0.22
同上600,000人を超える数-0.03
(2)市町村分
測定単位の数値が100,000人以上のもの 
100,000人1.00
100,000人を超え400,000人までの数0.69
400,000人を超え1,000,000人までの数0.44
1,000,000人を超え2,000,000人までの数0.43
2,000,000人を超え3,000,000人までの数0.42
3,000,000人を超える数0.06
測定単位の数値が100,000人に満たないもの 
その団体の数値1.00
100,000人に満たない数が60,000人までの数0.12
同上60,000人を超え80,000人までの数-0.03
同上80,000人を超える数-0.30
附則別表第二
「臨時土地対策費」に用いる種地ごとの率
(1)都道府県分
区分率区分率
甲地8種地1.07乙地8種地1.02
7種地1.067~1種地1.00
6~1種地1.00丙地1.00
(2)市町村分
区分率区分率
甲地8種地5.007種地3.50
7種地4.506種地2.80
6種地3.105種地2.20
5種地2.504種地1.70
4種地2.003種地1.20
3種地1.502種地1.00
2種地1.001種地0.50
1種地0.70丙地0.30
乙地8種地4.00  
附則別表第三
人口増加率に対する乗率
a/bの率乗率a/bの率乗率
1.051を超え1.060以下の数2.01.110を超え1.160以下の数4.5
1.060を超え1.080以下の数3.01.160を超える数5.0
1.080を超え1.110以下の数4.0  
(注)「a」とは当該市町村の昭和50年3月31日現在の住民基本台帳登載人口をいい、「b」とは当該市町村の昭和45年9月30日現在の住民基本台帳登載人口をいう。

附 則(昭和五一年八月三一日自治省令第二八号)

この省令は、公布の日から施行する。

附 則(昭和五二年八月三〇日自治省令第一六号)

この省令は、公布の日から施行し、昭和五十二年度分の普通交付税から適用する。ただし、改正後の普通交付税に関する省令第五条第一項の表第五号及び第六号の規定は、昭和四十九年度分の普通交付税から適用する。

附 則(昭和五三年八月二五日自治省令第二〇号)

この省令は、公布の日から施行し、昭和五十三年度分の普通交付税から適用する。

附 則(昭和五四年二月一三日自治省令第二号)

この省令は、公布の日から施行し、昭和五十四年度分の普通交付税から適用する。

附 則(昭和五四年八月二四日自治省令第一八号)

1この省令は、公布の日から施行し、昭和五十四年度分の普通交付税から適用する。
2昭和五十四年度に限り、この省令による改正後の普通交付税に関する省令(以下「改正後の省令」という。)第五条第一項の表第三十二号及び第七条第一項の表都道府県の項第六号中「狩猟者登録税」とあるのは「狩猟免許税」とし、別表第一(1)都道府県分中「狩猟者登録税」とあるのは「狩猟免許税」とする。
3昭和五十四年度から昭和五十六年度までの間に限り、改正後の省令第十七条第四項の表中「地方道路譲与税に係る額、石油ガス譲与税に係る額及び航空機燃料譲与税に係る額」とあるのは、「昭和五十三年度以前の基準財政収入額にあつては地方道路譲与税に係る額及び石油ガス譲与税に係る額、昭和五十四年度以後の基準財政収入額にあつては地方道路譲与税に係る額、石油ガス譲与税に係る額及び航空機燃料譲与税に係る額」とする。
4昭和五十四年度に限り、狩猟者登録税の基準税額は、改正後の省令第二十六条の規定にかかわらずこの省令による改正前の普通交付税に関する省令第二十六条に規定する狩猟免許税の基準税額の算定方法の例により算定した額とする。

附 則(昭和五五年八月二六日自治省令第二〇号)

1この省令は、公布の日から施行する。
2改正後の普通交付税に関する省令第四十二条及び第四十三条の規定中過疎地域振興特別措置法第二十七条の規定によつて基準財政収入額から控除する額の算定方法に関する部分は昭和五十六年度分の地方交付税から、その他の部分は昭和五十五年度分の地方交付税から適用し、過疎地域振興特別措置法附則第六項の規定によりなおその効力を有することとされる旧過疎地域対策緊急措置法(昭和四十五年法律第三十一号)第二十二条の規定によつて基準財政収入額から控除する額の算定方法については、なお従前の例による。

附 則(昭和五六年八月二五日自治省令第二一号)

1この省令は、公布の日から施行し、別段の定めがあるものを除き、昭和五十六年度分の普通交付税から適用する。
2改正後の普通交付税に関する省令第四十二条第二号の規定は、昭和五十六年七月一日以後の不動産の取得に対して課すべき不動産取得税がある場合に適用し、同日前の不動産の取得に対して課する不動産取得税がある場合は、なお従前の例による。
3この省令による改正前の普通交付税に関する省令第四十二条第二号の規定は、昭和五十六年一月一日前に家屋で住宅以外のもの(以下この項において単に「家屋」という。)の新築の工事に着手した者が、当該家屋を当該新築により取得する場合における当該家屋の取得に対して課すべき不動産取得税がある場合については、当該家屋の取得が昭和五十七年十二月三十一日までに行われたときに限り、なおその効力を有する。

附 則(昭和五七年八月二七日自治省令第一八号)

この省令は、公布の日から施行し、昭和五十七年度分の普通交付税から適用する。

附 則(昭和五七年一二月二七日自治省令第三〇号)

1この省令は、公布の日から施行し、昭和五十七年度分の普通交付税から適用する。
2昭和五十七年度に限り、地方交付税法等の一部を改正する法律(昭和五十七年法律第九十二号。以下「改正法」という。)第一条の規定による改正前の地方交付税法及びこの省令による改正前の普通交付税に関する省令(以下「当初算定法令」という。)の規定により算定された基準財政需要額が当初算定法令の規定により算定された基準財政収入額(以下「当初算定収入額」という。)を超える地方団体で、地方交付税法第十六条第一項及び第二項の規定により昭和五十七年四月から九月までに交付された普通交付税の額と当初算定収入額との合算額が改正法第一条の規定による改正後の地方交付税法及びこの省令による改正後の普通交付税に関する省令の規定により算定される基準財政需要額を超えるものについては、当該超える額に相当する額を普通交付税に関する省令附則第十三条第一項第一号又は附則第十五条第一項第一号の規定により算定される額に算入しないことができる。

附 則(昭和五八年八月二六日自治省令第二二号)

1この省令は、公布の日から施行し、次項及び第三項に定めるものを除き、昭和五十八年度分の普通交付税から適用する。
2昭和五十七年度以前に着工した市町村が組織する組合に係るごみ処理施設、し尿処理施設、粗大ごみ処理施設及び埋立処分地施設並びに市町村が組織する組合の清掃施設の整備事業に係る経費に充てるため昭和五十六年度以前において発行を許可された地方債に係る元利償還金について、昭和五十八年度以降において、この省令による改正前の普通交付税に関する省令第十二条第六項の表市町村の項第六号の規定(以下「改正前の規定」という。)に基づき都道府県知事が指定した当該施設の所在する市町村以外の市町村をこの省令による改正後の普通交付税に関する省令(以下「改正後の省令」という。)第十二条第六項の表市町村の項第六号の規定(以下「改正後の規定」という。)に基づき都道府県知事が引き続き指定しようとする場合においては、改正前の規定に基づく都道府県知事の指定をもつて改正後の規定の都道府県知事の指定及びこれに係る自治大臣の承認があつたものとみなす。
3昭和五十八年度に限り、改正後の省令第十八条第三項第二号中「G 前年度における前号の算式の符号中Eの額」とあるのは「G 前年度における普通交付税に関する省令の一部を改正する省令(昭和58年自治省令第22号)による改正前の普通交付税に関する省令(以下「改正前の省令」という。)第18条第3項第1号の算式の符号中Dの額」と、改正後の省令第三十一条第三項第三号中「G 前年度における第1号の算式の符号中Eの額」とあるのは「G 前年度における改正前の省令第31条第3項第1号の算式の符号中Dの額」と、改正後の省令附則第十三条第一項第二号中「普通交付税に関する省令の一部を改正する省令(昭和五十八年自治省令第二十二号)による改正前の普通交付税に関する省令(以下「改正前の省令」という。)」とあるのは「改正前の省令」とする。

附 則(昭和五九年八月二八日自治省令第二二号)

1この省令は、公布の日から施行し、昭和五十九年度分の普通交付税から適用する。
2昭和五十九年度に限り、前年度以前の年度において地方交付税法第九条第二号の措置を講ずべきであつた地方団体について同法第十九条第一項の措置を行う場合において、自治大臣が特に認めたときは、同法第九条第二号の措置を講ずべきであつた年度の四月一日に存在したものと仮定した同号に規定する境界変更に係る区域及び境界変更に係る区域を除いた区域をそれぞれ基礎とする独立の地方団体に係る普通交付税の額の算定方法は、普通交付税に関する省令第五十三条第一項の規定にかかわらず、同条第三項の例による。

附 則(昭和六〇年八月二七日自治省令第二三号)

この省令は、公布の日から施行し、昭和六十年度分の普通交付税から適用する。

附 則(昭和六一年八月二六日自治省令第一九号)

この省令は、公布の日から施行し、昭和六十一年度分の普通交付税から適用する。

附 則(昭和六二年九月二二日自治省令第二七号)

この省令は、公布の日から施行し、昭和六十二年度分の普通交付税から適用する。

附 則(昭和六二年一二月四日自治省令第三四号)

この省令は、昭和六十二年十二月五日から施行する。

附 則(昭和六三年二月二六日自治省令第六号)

この省令は、公布の日から施行し、昭和六十二年度分の普通交付税から適用する。

附 則(昭和六三年六月二日自治省令第二三号)

この省令は、公布の日から施行する。

附 則(昭和六三年六月一八日自治省令第二七号)

この省令は、公布の日から施行する。

附 則(昭和六三年八月二三日自治省令第三〇号)

この省令は、公布の日から施行し、昭和六十三年度分の普通交付税から適用する。

附 則(平成元年三月一〇日自治省令第七号)

この省令は、公布の日から施行し、昭和六十三年度分の普通交付税から適用する。

附 則(平成元年四月二五日自治省令第二〇号)

この省令は、公布の日から施行する。

附 則(平成元年八月二五日自治省令第三六号)

この省令は、公布の日から施行し、平成元年度分の普通交付税から適用する。

附 則(平成二年三月二七日自治省令第四号)

この省令は、公布の日から施行し、平成元年度分の普通交付税から適用する。

附 則(平成二年八月二八日自治省令第二六号)

この省令は、公布の日から施行し、平成二年度分の普通交付税から適用する。

附 則(平成二年一二月二六日自治省令第三五号)

この省令は、公布の日から施行し、平成二年度分の普通交付税から適用する。

附 則(平成三年八月二七日自治省令第二二号)

この省令は、公布の日から施行し、平成三年度分の普通交付税から適用する。

附 則(平成三年一二月二〇日自治省令第二八号)

この省令は、公布の日から施行し、平成三年度分の普通交付税から適用する。

附 則(平成四年八月二五日自治省令第二四号)

この省令は、公布の日から施行し、平成四年度分の普通交付税から適用する。

附 則(平成五年八月二七日自治省令第二三号)

この省令は、公布の日から施行し、平成五年度分の普通交付税から適用する。

附 則(平成六年七月二六日自治省令第二九号)

この省令は、公布の日から施行し、平成六年度分の普通交付税から適用する。

附 則(平成七年七月二五日自治省令第二四号)

この省令は、公布の日から施行し、平成七年度分の普通交付税から適用する。

附 則(平成八年七月二六日自治省令第二八号)

この省令は、公布の日から施行し、平成八年度分の普通交付税から適用する。

附 則(平成九年七月二九日自治省令第三三号)

この省令は、公布の日から施行し、平成九年度分の普通交付税から適用する。

附 則(平成一〇年七月二四日自治省令第三二号)

この省令は、公布の日から施行し、平成十年度分の普通交付税から適用する。

附 則(平成一一年七月二三日自治省令第二七号)

この省令は、公布の日から施行し、平成十一年度分の普通交付税から適用する。

附 則(平成一二年三月一七日自治省令第一〇号)

この省令は、平成十二年四月一日から施行する。

附 則(平成一二年七月二四日自治省令第四一号)

この省令は、公布の日から施行し、平成十二年度分の普通交付税から適用する。

附 則(平成一二年九月一四日自治省令第四四号)

この省令は、内閣法の一部を改正する法律(平成十一年法律第八十八号)の施行の日(平成十三年一月六日)から施行する。

附 則(平成一二年一二月一日自治省令第五三号)

この省令は、公布の日から施行し、平成十二年度分の普通交付税から適用する。

附 則(平成一三年七月三一日総務省令第一〇七号)

この省令は、公布の日から施行し、平成十三年度分の普通交付税から適用する。

附 則(平成一四年七月二六日総務省令第八二号)

この省令は、公布の日から施行し、平成十四年度分の普通交付税から適用する。

附 則(平成一五年七月二五日総務省令第一〇二号)

この省令は、公布の日から施行し、平成十五年度分の普通交付税から適用する。

附 則(平成一六年七月二七日総務省令第一〇八号)

この省令は、公布の日から施行し、平成十六年度分の普通交付税から適用する。

附 則(平成一七年七月二六日総務省令第一一三号)

この省令は、公布の日から施行し、平成十七年度分の普通交付税から適用する。

附 則(平成一八年七月二五日総務省令第一〇〇号)

この省令は、公布の日から施行し、平成十八年度分の普通交付税から適用する。

附 則(平成一九年七月三一日総務省令第八六号)

この省令は、公布の日から施行し、平成十九年度分の普通交付税から適用する。

附 則(平成二〇年八月一五日総務省令第八九号)

この省令は、公布の日から施行し、平成二十年度分の普通交付税から適用する。

附 則(平成二〇年一〇月二二日総務省令第一一六号)抄

(施行期日)

第一条この省令は、公布の日から施行する。

附 則(平成二一年七月二八日総務省令第七八号)

1この省令は、公布の日から施行し、平成二十一年度分の普通交付税から適用する。
2改正後の普通交付税に関する省令第四十二条第三号及び第四十三条第一号の規定は、平成二十一年四月一日以後に新設され、又は増設される施設について適用し、平成二十一年三月三十一日以前に新設され、又は増設された施設については、なお従前の例による。

附 則(平成二二年七月二三日総務省令第七七号)

この省令は、公布の日から施行し、平成二十二年度分の普通交付税から適用する。

附 則(平成二二年一二月七日総務省令第一〇六号)

この省令は、公布の日から施行する。

附 則(平成二三年八月五日総務省令第一一四号)

この省令は、公布の日から施行し、平成二十三年度分の普通交付税から適用する。

附 則(平成二三年八月一二日総務省令第一一八号)抄

(施行期日)

第一条この省令は、公布の日から施行する。

附 則(平成二三年一〇月二六日総務省令第一四三号)

この省令は、公布の日から施行し、平成二十三年度分の普通交付税から適用する。

附 則(平成二三年一二月一四日総務省令第一六〇号)

この省令は、公布の日から施行し、平成二十三年度分の普通交付税から適用する。

附 則(平成二四年七月二四日総務省令第七一号)

1この省令は、公布の日から施行し、平成二十四年度分の普通交付税から適用する。
2平成二十四年度に限り、改正後の第五条第一項の規定の適用については、同項の表第四十号中「繰上償還に係る地方債(当該地方債の借換債を除く。)については当該繰上償還が行われないものとして算定した当該年度分の元利償還金(元金償還金以外の支払を要しない繰上償還に係る地方債(当該地方債の借換債を除く。)については、当該繰上償還が行われないものとして算定した当該年度分の元金償還金)に相当する額と、当該地方債の借換債については当該借換債に係る」とあるのは、「地方財政法(昭和二十三年法律第百九号)第三十三条の九に規定する繰上償還に係る地方債については当該繰上償還が行われないものとして算定した」とする。

附 則(平成二五年七月二三日総務省令第七二号)

この省令は、公布の日から施行し、平成二十五年度分の普通交付税から適用する。

附 則(平成二六年七月二五日総務省令第六三号)

この省令は、公布の日から施行し、平成二十六年度分の普通交付税から適用する。

附 則(平成二七年七月二四日総務省令第六四号)

この省令は、公布の日から施行し、平成二十七年度分の普通交付税から適用する。

附 則(平成二八年三月三一日総務省令第三三号)

この省令は、内閣の重要政策に関する総合調整等に関する機能の強化のための国家行政組織法等の一部を改正する法律の施行の日(平成二十八年四月一日)から施行する。

附 則(平成二八年七月二六日総務省令第七四号)

この省令は、公布の日から施行し、平成二十八年度分の普通交付税から適用する。

附 則(平成二九年七月二五日総務省令第五二号)

この省令は、公布の日から施行し、平成二十九年度分の普通交付税から適用する。

附 則(平成三〇年七月二四日総務省令第四六号)

この省令は、公布の日から施行し、平成三十年度分の普通交付税から適用する。

附 則(令和元年七月二三日総務省令第二九号)

この省令は、公布の日から施行し、令和元年度分の普通交付税から適用する。

附 則(令和二年七月三一日総務省令第七二号)

この省令は、公布の日から施行し、令和二年度分の普通交付税から適用する。

附 則(令和三年八月三日総務省令第七六号)

この省令は、公布の日から施行し、令和三年度分の普通交付税から適用する。

附 則(令和三年一二月二四日総務省令第一一〇号)

この省令は、公布の日から施行し、令和三年度分の普通交付税から適用する。

附 則(令和四年七月二六日総務省令第五〇号)

この省令は、公布の日から施行し、令和四年度分の普通交付税から適用する。

附 則(令和四年一二月九日総務省令第七二号)

この省令は、公布の日から施行し、令和四年度分の普通交付税から適用する。

附 則(令和五年七月二八日総務省令第六一号)

この省令は、公布の日から施行し、令和五年度分の普通交付税から適用する。

附 則(令和五年一二月八日総務省令第八七号)

この省令は、公布の日から施行し、令和五年度分の普通交付税から適用する。
別表第一 法第13条に規定する補正係数の算定に用いる補正率等の表(第6条、第7条、第9条、第10条、第11条の2、第13条、第17条、第49条関係)
(1) 都道府県分
経費の種類測定単位補正率等
一 警察費警察職員数段階補正
測定単位の数値が3,095人以上のもの
3,095人1.00
3,095人を超え5,000人までの数0.98
5,000人を超え10,000人までの数0.97
10,000人を超え20,000人までの数0.93
20,000人を超える数0.94
測定単位の数値が3,095人に満たないもの
その団体の数値1.00
3,095人に満たない数が1,095人までの数0.02
同上1,095人を超える数0.09
二 土木費1 道路橋りよう費道路の面積密度補正
その団体の交通量
11,000台までの数1.000
11,000台を超え13,000台までの数1.088
13,000台を超え20,000台までの数1.338
20,000台を超え30,000台までの数1.537
30,000台を超える数1.882
普通態容補正1.000
(注) 指定都市を包括する道府県にあつては、上記の率にそれぞれ0.001を加算した率とする。
寒冷補正
級地寒冷度積雪度
雪寒道路の面積その他の道路の面積
4級地0.0861.0770.000
3級地0.0530.6960.000
2級地0.0320.4180.000
1級地0.0190.2370.000
無級地0.0000.2370.000
備考 「雪寒道路」とは、前年の4月1日現在において、積雪寒冷特別地域における道路交通の確保に関する特別措置法(昭和31年法律第72号)第3条の規定によつて国土交通大臣が指定した道路をいう。以下同じ。
道路の延長寒冷補正
級地寒冷度積雪度
北海道その他の都府県雪寒道路の延長その他の道路の延長
北海道の区域内の国道及び開発道路その他の道路
4級地0.1170.1230.0830.1660.000
3級地0.0680.0720.0540.1070.000
2級地0.0530.0560.0360.0720.000
1級地0.0380.0400.0160.0320.000
無級地0.0000.0000.0160.0320.000
2 港湾費港湾における係留施設の延長種別補正
国際戦略港湾1.300
国際拠点港湾1.300
重要港湾1.000
地方港湾0.600
3 その他の土木費人口段階補正
測定単位の数値が1,700,000人以上のもの
1,700,000人1.00
1,700,000人を超え2,100,000人までの数0.50
2,100,000人を超え2,500,000人までの数0.42
2,500,000人を超え3,500,000人までの数0.33
3,500,000人を超え6,000,000人までの数0.28
6,000,000人を超える数0.25
測定単位の数値が1,700,000人に満たないもの
その団体の数値1.00
1,700,000人に満たない数が300,000人までの数0.38
同上300,000人を超え600,000人までの数0.51
同上600,000人を超え900,000人までの数0.48
同上900,000人を超える数0.55
密度補正Ⅰ
その団体の人口密度が250人以上のもの
その団体の密度1.00
その団体の人口密度が250人に満たないもの
その団体の密度1.00
250人に満たない数が50人までの数0.00
同上50人を超え100人までの数0.05
同上100人を超え150人までの数0.05
同上150人を超える数0.35
三 教育費1 小学校費教職員数普通態容補正(給与差等)
1級地1.061
2級地1.049
3級地1.046
4級地1.037
5級地1.031
6級地1.018
7級地1.009
無級地0.998
寒冷補正(給与差)
4級地0.006
3級地0.007
2級地0.007
1級地0.008
無級地0.000
2 中学校費教職員数普通態容補正(給与差等)
1級地1.061
2級地1.049
3級地1.045
4級地1.037
5級地1.031
6級地1.018
7級地1.009
無級地0.998
寒冷補正(給与差)
4級地0.006
3級地0.007
2級地0.008
1級地0.009
無級地0.000
3 高等学校費教職員数普通態容補正(給与差等)
1級地1.073
2級地1.059
3級地1.055
4級地1.044
5級地1.037
6級地1.021
7級地1.011
無級地0.997
寒冷補正(給与差)
4級地0.011
3級地0.014
2級地0.014
1級地0.016
無級地0.000
4 特別支援学校費教職員数経常態容補正(給与差等)
1級地1.066
2級地1.053
3級地1.049
4級地1.040
5級地1.034
6級地1.019
7級地1.010
無級地0.997
寒冷補正(給与差)
4級地0.008
3級地0.010
2級地0.010
1級地0.011
無級地0.000
5 その他の教育費人口段階補正
測定単位の数値が1,700,000人以上のもの
1,700,000人1.00
1,700,000人を超え2,100,000人までの数0.84
2,100,000人を超え2,500,000人までの数0.85
2,500,000人を超え3,500,000人までの数0.66
3,500,000人を超え6,000,000人までの数0.82
6,000,000人を超える数0.71
測定単位の数値が1,700,000人に満たないもの
その団体の数値1.00
1,700,000人に満たない数が300,000人までの数0.36
同上300,000人を超え600,000人までの数0.32
同上600,000人を超え900,000人までの数0.40
同上900,000人を超える数0.41
密度補正
その団体の人口密度が250人以上のもの
その団体の密度1.00
その団体の人口密度が250人に満たないもの
その団体の密度1.00
250人に満たない数が50人までの数0.06
同上50人を超え100人までの数0.05
同上100人を超え150人までの数0.04
同上150人を超える数0.01
普通態容補正
指定都市0.942
中核市0.972
その他の市町村1.000
高等専門学校及び大学の学生の数種別補正
(1) 高等専門学校3.20
(2) 短期大学
ア 理学系学科、工学系学科、農業系学科及び保健系学科4.15
イ 文科系学科(家政系学科及び芸術系学科を除く。)1.68
ウ 家政系学科及び芸術系学科2.81
(3) 大学
ア 医学部(医学科に限り、医学に関する単科大学を含む。エにおいて同じ。)17.65
イ 歯学部(歯学に関する単科大学を含む。)9.95
ウ 理科系学部(理学部、工学部、農学部及び水産学部をいい、理学、工学、農学及び水産学に関する単科大学を含む。)6.85
エ 保健系学部(医学部及び歯学部を除き、薬学及び看護学(衛生学を含む。)に関する単科大学を含む。)7.83
オ 社会科学系学部(社会科学に関する単科大学を含む。)1.00
カ 人文科学系学部(人文科学に関する単科大学を含む。)2.04
キ 家政系学部及び芸術系学部(家政及び芸術に関する単科大学を含む。)3.25
(4) 専門職大学(理科系学部及び芸術系学部)7.46
私立の学校の幼児、児童及び生徒の数種別補正
(1) 学校法人の設置する幼稚園0.572
(2) 学校法人の設置する小学校及び義務教育学校の前期課程0.965
(3) 中学校、義務教育学校の後期課程及び中等教育学校の前期課程0.966
(4) 学校法人の設置する高等学校(通信制高等学校を除く。)、中等教育学校の後期課程及び特別支援学校1.000
(5) 学校法人の設置する通信制高等学校0.205
(6) 学校法人以外の者の設置する私立の幼稚園及び特別支援学校0.572
四 厚生労働費1 生活保護費町村部人口寒冷補正(寒冷度)
1区0.016
2区0.010
3区0.007
4区0.006
5区0.002
6区0.000
2 社会福祉費人口段階補正
測定単位の数値が1,700,000人以上のもの
1,700,000人1.00
1,700,000人を超え2,100,000人までの数0.93
2,100,000人を超え2,500,000人までの数0.93
2,500,000人を超え3,500,000人までの数0.93
3,500,000人を超え6,000,000人までの数0.95
6,000,000人を超える数0.94
測定単位の数値が1,700,000人に満たないもの
その団体の数値1.00
1,700,000人に満たない数が300,000人までの数0.24
同上300,000人を超え600,000人までの数0.25
同上600,000人を超え900,000人までの数0.26
同上900,000人を超える数0.24
普通態容補正
特別区1.000
指定都市0.800
児童相談所設置市0.807
中核市0.968
福祉事務所設置町村0.997
その他の市町村1.000
3 衛生費人口段階補正
測定単位の数値が1,700,000人以上のもの
1,700,000人1.00
1,700,000人を超え2,100,000人までの数0.91
2,100,000人を超え2,500,000人までの数0.91
2,500,000人を超え3,500,000人までの数0.89
3,500,000人を超え6,000,000人までの数0.90
6,000,000人を超える数0.84
測定単位の数値が1,700,000人に満たないもの
その団体の数値1.00
1,700,000人に満たない数が300,000人までの数0.24
同上300,000人を超え600,000人までの数0.29
同上600,000人を超え900,000人までの数0.32
同上900,000人を超える数0.27
密度補正Ⅰ
その団体の保健所設置市等以外の区域に係る人口密度が250人以上のもの
その団体の密度1.00
その団体の保健所設置市等以外の区域に係る人口密度が250人に満たないもの
その団体の密度1.00
250人に満たない数が50人までの数0.00
同上50人を超え100人までの数0.01
同上100人を超え150人までの数0.02
同上150人を超える数0.02
普通態容補正
指定都市0.713
中核市0.880
特別区及び保健所設置市0.886
その他の市町村1.000
4 高齢者保健福祉費六十五歳以上人口段階補正
測定単位の数値が530,000人以上のもの
530,000人1.00
530,000人を超え670,000人までの数0.95
670,000人を超え840,000人までの数0.95
840,000人を超え1,200,000人までの数0.94
1,200,000人を超え1,500,000人までの数0.94
1,500,000人を超える数0.97
測定単位の数値が530,000人に満たないもの
その団体の数値1.00
530,000人に満たない数が100,000人までの数0.06
同上100,000人を超え190,000人までの数0.07
同上190,000人を超え290,000人までの数0.06
同上290,000人を超える数0.04
普通態容補正
指定都市0.961
中核市0.962
その他の市町村1.000
5 労働費人口段階補正
測定単位の数値が1,700,000人以上のもの
1,700,000人1.00
1,700,000人を超え2,100,000人までの数0.82
2,100,000人を超え2,500,000人までの数0.53
2,500,000人を超え3,500,000人までの数0.75
3,500,000人を超え6,000,000人までの数0.71
6,000,000人を超える数0.70
測定単位の数値が1,700,000人に満たないもの
その団体の数値1.00
1,700,000人に満たない数が300,000人までの数0.63
同上300,000人を超え600,000人までの数0.32
同上600,000人を超え900,000人までの数0.34
同上900,000人を超える数0.08
五 産業経済費1 農業行政費農家数段階補正
測定単位の数値が45,000戸以上のもの
45,000戸1.00
45,000戸を超え65,000戸までの数0.80
65,000戸を超える数0.70
測定単位の数値が45,000戸に満たないもの
その団体の数値1.00
45,000戸に満たない数が10,000戸までの数0.69
同上10,000戸を超え20,000戸までの数0.59
同上20,000戸を超える数0.75
密度補正
その団体の密度が178以上のもの
1781.00
178を超え204までの数1.27
204を超え231までの数1.18
231を超え258までの数1.38
258を超え356までの数1.40
356を超える数2.48
その団体の密度が178に満たないもの
その団体の密度1.00
2 林野行政費公有以外の林野の面積段階補正
測定単位の数値が309,000ha以上のもの
309,000ha1.00
309,000haを超え397,000haまでの数0.84
397,000haを超え529,000haまでの数0.74
529,000haを超える数0.84
測定単位の数値が309,000haに満たないもの
その団体の数値1.00
309,000haに満たない数が89,000haまでの数0.80
同上89,000haを超え177,000haまでの数0.15
同上177,000haを超える数-0.36
3 水産行政費水産業者数段階補正
測定単位の数値が1,800人以上のもの
1,800人1.00
1,800人を超え2,340人までの数0.76
2,340人を超え3,510人までの数0.82
3,510人を超え5,490人までの数0.77
5,490人を超える数0.79
測定単位の数値が1,800人に満たないもの
その団体の数値1.00
1,800人に満たない数が720人までの数0.49
同上720人を超え1,260人までの数0.15
同上1,260人を超え1,530人までの数-0.24
同上1,530人を超え1,665人までの数-0.32
同上1,665人を超える数-1.49
4 商工行政費人口段階補正
測定単位の数値が1,700,000人以上のもの
1,700,000人1.00
1,700,000人を超え2,100,000人までの数0.72
2,100,000人を超え2,500,000人までの数0.64
2,500,000人を超え3,500,000人までの数0.58
3,500,000人を超え6,000,000人までの数0.44
6,000,000人を超える数0.40
測定単位の数値が1,700,000人に満たないもの
その団体の数値1.00
1,700,000人に満たない数が300,000人までの数0.89
同上300,000人を超え600,000人までの数0.96
同上600,000人を超え900,000人までの数0.92
同上900,000人を超える数0.78
普通態容補正
中小企業支援市の区域0.981
その他の区域1.000
六 総務費1 徴税費世帯数段階補正
測定単位の数値が750,000世帯以上のもの
750,000世帯1.00
750,000世帯を超え900,000世帯までの数0.97
900,000世帯を超え1,420,000世帯までの数0.93
1,420,000世帯を超え2,500,000世帯までの数0.94
2,500,000世帯を超える数0.82
測定単位の数値が750,000世帯に満たないもの
その団体の数値1.00
750,000世帯に満たない数が240,000世帯までの数0.09
同上240,000世帯を超え360,000世帯までの数0.04
同上360,000世帯を超える数0.15
2 地域振興費人口段階補正Ⅰ
測定単位の数値が1,700,000人以上のもの
1,700,000人1.00
1,700,000人を超え2,100,000人までの数0.50
2,100,000人を超え2,500,000人までの数0.50
2,500,000人を超え3,500,000人までの数0.65
3,500,000人を超え5,000,000人までの数0.70
5,000,000人を超え6,000,000人までの数0.57
6,000,000人を超える数0.50
測定単位の数値が1,700,000人に満たないもの
その団体の数値1.00
1,700,000人に満たない数が300,000人までの数0.90
同上300,000人を超え600,000人までの数0.89
同上600,000人を超え900,000人までの数0.89
同上900,000人を超える数0.83
段階補正Ⅱ
測定単位の数値が1,700,000人以上のもの
1,700,000人1.00
1,700,000人を超え2,100,000人までの数0.12
2,100,000人を超え2,500,000人までの数0.12
2,500,000人を超え3,500,000人までの数0.16
3,500,000人を超え5,000,000人までの数0.15
5,000,000人を超え6,000,000人までの数0.19
6,000,000人を超える数0.11
測定単位の数値が1,700,000人に満たないもの
その団体の数値1.00
1,700,000人に満たない数が300,000人までの数0.98
同上300,000人を超え600,000人までの数0.96
同上600,000人を超え900,000人までの数0.96
同上900,000人を超える数0.98
普通態容補正(給与差等)
A
政令市中小企業支援市以外の指定都市中核市特別区及び保健所設置市その他の市町村
1級地―――4.736―
2級地3.876―3.9833.9994.042
3級地3.687―3.787―3.842
4級地3.1693.1703.2493.2613.294
5級地2.8392.8402.9072.9172.945
6級地2.037―2.076―2.097
7級地1.5191.5191.538―1.549
無級地―0.8580.8530.8520.850
B
1級地0.387
2級地0.310
3級地0.290
4級地0.234
5級地0.198
6級地0.112
7級地0.056
無級地-0.015
(注) 北海道、東京都、静岡県及び福岡県にあつては、Bの率にそれぞれ1.9140、487.6809、0.1042及び0.3022を加算した率とする。
第10条第9項の算式によつて算定した数の段階乗率A乗数B
離島に係る市町村その他の市町村離島に係る市町村
2.00未満のもの1.001.00500
2.00以上4.00未満のもの1.001.001,250
4.00以上6.00未満のもの11.937.662,000
6.00以上10.00未満のもの43.2737.227,400
10.00以上14.00未満のもの76.0255.107,900
14.00以上18.00未満のもの150.1473.148,400
18.00以上22.00未満のもの184.0682.068,900
22.00以上のもの219.48105.469,400
備考1 「離島に係る市町村」とは離島振興法、奄美振興法若しくは小笠原諸島振興開発特別措置法の適用を受ける市町村又は沖縄振興特別措置法第3条第3号に規定する離島に係る市町村をいう。2 「その他の市町村」に係る乗数Bは0とする。
寒冷補正
給与差寒冷度積雪度
4級地0.9733.2373.863
3級地1.2242.1972.034
2級地1.2621.4930.842
1級地1.4230.8980.424
無級地0.0000.0000.000
七 災害復旧費災害復旧事業費の財源に充てるため発行について同意又は許可を得た地方債に係る元利償還金種別補正
公共災害復旧事業債1.00
単独災害復旧事業債0.50
地盤沈下等対策事業債0.60
緊急治山等事業債0.60
激甚災害対策特別緊急事業債0.60
特殊土壌対策事業債0.60
鉱害復旧事業債0.60
小災害債0.50
法第13条第11項の補正
その団体の指数が100に満たないもの
その団体の指数1.00
その団体の指数が100以上のもの
1001.00
100を超え200までの数1.03
200を超え300までの数1.10
300を超え400までの数1.15
400を超え500までの数1.20
500を超え700までの数1.29
700を超え1,000までの数1.41
1,000を超え1,500までの数1.58
1,500を超え2,000までの数1.76
2,000を超え2,500までの数1.90
2,500を超え3,000までの数1.98
3,000を超え3,500までの数2.04
3,500を超え4,000までの数2.08
4,000を超え5,000までの数2.10
5,000を超える数1.80
八 補正予算債償還費平成4年度から平成10年度までの各年度において国の補正予算等に係る事業費の財源に充てるため発行を許可された地方債に係る元利償還金種別補正
(1) 平成4年度補正予算債1.000
(2) 平成5年度補正予算債1.000
(3) 平成6年度補正予算債1.000
(4) 平成7年度補正予算債1.000
(5) 平成8年度補正予算債1.000
(6) 平成9年度補正予算債1.000
(7) 平成10年度補正予算債1.000
平成16年度から令和4年度までの各年度において国の補正予算等に係る事業費の財源に充てるため発行について同意又は許可を得た地方債の額種別補正
(1) 平成16年度補正予算債
ア 都道府県95.0%分1.900
イ 都道府県50.0%分1.000
(2) 平成17年度補正予算債0.918
(3) 平成18年度補正予算債0.821
(4) 平成19年度補正予算債0.812
(5) 平成20年度補正予算債
ア 都道府県60.0%分1.044
イ 新幹線鉄道整備事業分0.870にβを乗じて得た数値を0.5で除して得た率(小数点以下3位未満の端数があるときはその端数を四捨五入し、当該率が0.870以下であるときは0.870とする。)α 第12条第5項の表都道府県の項第9号算式Ⅹの符号αに同じ。
β α×0.9×0.5
ウ 都道府県50.0%分0.870
(6) 平成21年度補正予算債
ア 都道府県60.0%分1.077
イ 新幹線鉄道整備事業分0.898にβを乗じて得た数値を0.5で除して得た率(小数点以下3位未満の端数があるときはその端数を四捨五入し、当該率が0.898以下であるときは0.898とする。)α 第12条第5項の表都道府県の項第9号算式Ⅹの符号αに同じ。
β α×0.9×0.5
ウ 都道府県50.0%分0.898
(7) 平成22年度補正予算債
ア 都道府県60.0%分1.044
イ 新幹線鉄道整備事業分0.783にβを乗じて得た数値を0.45で除して得た率(小数点以下3位未満の端数があるときはその端数を四捨五入し、当該率が0.783以下であるときは0.783とする。)α 第12条第5項の表都道府県の項第9号算式Ⅹの符号αに同じ。
β α×0.9×0.5
ウ 都道府県50.0%分0.870
エ 都道府県45.0%分0.783
(8) 平成23年度補正予算債
ア 都道府県80.0%分1.332
イ 都道府県50.0%分0.832
(9) 平成24年度補正予算債
ア 都道府県60.0%分1.015
イ 都道府県50.0%分0.846
(10) 平成25年度補正予算債
ア 都道府県60.0%分1.024
イ 都道府県50.0%分0.855
(11) 平成26年度補正予算債
ア 都道府県60.0%分1.003
イ 都道府県50.0%分0.836
(12) 平成27年度補正予算債
ア 都道府県60.0%分0.961
イ 都道府県50.0%分0.803
(13) 平成28年度補正予算債
ア 都道府県80.0%分1.245
イ 都道府県60.0%分0.933
ウ 都道府県50.0%分0.779
(14) 平成29年度補正予算債
ア 都道府県80.0%分1.255
イ 都道府県60.0%分0.939
ウ 都道府県50.0%分0.785
(15) 平成30年度補正予算債
ア 都道府県80.0%分1.259
イ 都道府県60.0%分0.944
ウ 都道府県50.0%分0.787
(16) 令和元年度補正予算債
ア 都道府県80.0%分1.242
イ 都道府県60.0%分0.931
ウ 都道府県50.0%分0.776
(17) 令和2年度補正予算債
ア 都道府県80.0%分0.055
イ 都道府県72.0%分0.050
ウ 都道府県60.0%分0.042
エ 都道府県50.0%分0.035
(18) 令和3年度補正予算債
ア 都道府県60.0%分0.057
イ 都道府県50.0%分0.048
(19) 令和4年度補正予算債
ア 都道府県72.0%分0.154
イ 都道府県60.0%分0.128
ウ 都道府県50.0%分0.107
九 地方税減収補塡債償還費地方税の減収補塡のため平成15年度から令和4年度までの各年度において特別に発行について同意又は許可を得た地方債の額種別補正
(1) 平成15年度減収補塡債1.000
(2) 平成16年度減収補塡債1.008
(3) 平成17年度減収補塡債0.988
(4) 平成18年度減収補塡債0.987
(5) 平成19年度減収補塡債0.990
(6) 平成20年度減収補塡債0.993
(7) 平成21年度減収補塡債0.989
(8) 平成22年度減収補塡債0.996
(9) 平成23年度減収補塡債1.003
(10) 平成24年度減収補塡債1.046
(11) 平成25年度減収補塡債1.058
(12) 平成26年度減収補塡債1.043
(13) 平成27年度減収補塡債1.018
(14) 平成28年度減収補塡債1.007
(15) 平成29年度減収補塡債1.008
(16) 平成30年度減収補塡債1.012
(17) 令和元年度減収補塡債1.001
(18) 令和2年度減収補塡債
ア 従来分並びに拡大分のうち消費税の引上げ分、地方揮発油譲与税及び航空機燃料譲与税に係るもの0.057
イ ア以外のもの0.043
(19) 令和3年度減収補塡債0.041
(20) 令和4年度減収補塡債0.102
十 財源対策債償還費平成15年度から令和4年度までの各年度の財源対策のため当該各年度において発行について同意又は許可を得た地方債の額種別補正
(1) 平成15年度財源対策債1.000
(2) 平成16年度財源対策債0.959
(3) 平成17年度財源対策債0.891
(4) 平成18年度財源対策債0.797
(5) 平成19年度財源対策債0.785
(6) 平成20年度財源対策債0.845
(7) 平成21年度財源対策債0.871
(8) 平成22年度財源対策債0.845
(9) 平成23年度財源対策債0.808
(10) 平成24年度財源対策債0.821
(11) 平成25年度財源対策債0.829
(12) 平成26年度財源対策債0.812
(13) 平成27年度財源対策債0.779
(14) 平成28年度財源対策債0.756
(15) 平成29年度財源対策債0.762
(16) 平成30年度財源対策債0.764
(17) 令和元年度財源対策債0.753
(18) 令和2年度財源対策債0.034
(19) 令和3年度財源対策債0.046
(20) 令和4年度財源対策債0.104
十一 減税補塡債償還費個人の道府県民税に係る特別減税等による平成6年度から平成8年度まで及び平成15年度から平成18年度までの各年度の減収を補塡するため当該各年度において特別に起こすことができることとされた地方債の額種別補正
(1) 平成6年度減税補塡債0.854
(2) 平成7年度減税補塡債0.854
(3) 平成8年度減税補塡債1.710
(4) 平成15年度減税補塡債1.000
(5) 平成16年度減税補塡債1.010
(6) 平成17年度減税補塡債0.729
(7) 平成18年度減税補塡債0.822
十二 臨時財政対策債償還費臨時財政対策のため平成15年度から令和4年度までの各年度において特別に起こすことができることとされた地方債の額種別補正
(1) 平成15年度臨時財政対策債1.000
(2) 平成16年度臨時財政対策債1.008
(3) 平成17年度臨時財政対策債0.818
(4) 平成18年度臨時財政対策債0.798
(5) 平成19年度臨時財政対策債0.788
(6) 平成20年度臨時財政対策債0.865
(7) 平成21年度臨時財政対策債0.858
(8) 平成22年度臨時財政対策債0.854
(9) 平成23年度臨時財政対策債0.842
(10) 平成24年度臨時財政対策債0.872
(11) 平成25年度臨時財政対策債0.907
(12) 平成26年度臨時財政対策債0.875
(13) 平成27年度臨時財政対策債0.850
(14) 平成28年度臨時財政対策債0.827
(15) 平成29年度臨時財政対策債0.828
(16) 平成30年度臨時財政対策債0.836
(17) 令和元年度臨時財政対策債0.816
(18) 令和2年度臨時財政対策債0.032
(19) 令和3年度臨時財政対策債0.028
(20) 令和4年度臨時財政対策債0.101
十三 東日本大震災全国緊急防災施策等債償還費平成25年度から令和4年度までの各年度において東日本大震災全国緊急防災施策等に要する費用に充てるため発行について同意又は許可を得た地方債の額種別補正
(1) 平成25年度東日本大震災全国緊急防災施策等債償還費
ア 全国防災事業債分1.000
イ 緊急防災・減災事業債分0.905
(2) 平成26年度東日本大震災全国緊急防災施策等債償還費
ア 全国防災事業債分0.978
イ 緊急防災・減災事業債分0.888
(3) 平成27年度東日本大震災全国緊急防災施策等債償還費
ア 全国防災事業債分0.902
イ 緊急防災・減災事業債分0.827
(4) 平成28年度東日本大震災全国緊急防災施策等債償還費
緊急防災・減災事業債分0.812
(5) 平成29年度東日本大震災全国緊急防災施策等債償還費
緊急防災・減災事業債分0.822
(6) 平成30年度東日本大震災全国緊急防災施策等債償還費
緊急防災・減災事業債分0.603
(7) 令和元年度東日本大震災全国緊急防災施策等債償還費
緊急防災・減災事業債分0.597
(8) 令和2年度東日本大震災全国緊急防災施策等債償還費
緊急防災・減災事業債分0.051
(9) 令和3年度東日本大震災全国緊急防災施策等債償還費
緊急防災・減災事業債分0.070
(10) 令和4年度東日本大震災全国緊急防災施策等債償還費
緊急防災・減災事業債分0.140
十四 国土強靱化施策債償還費令和元年度から令和4年度までの各年度において国土強靱化施策等に要する費用に充てるため発行について同意又は許可を得た地方債の額種別補正
(1) 令和元年度国土強靱化施策債
ア 防災・減災・国土強靱化緊急対策事業債償還費
(ア) 都道府県60.0%分1.000
(イ) 都道府県50.0%分0.820
イ 緊急自然災害防止対策事業債償還費0.836
(2) 令和2年度国土強靱化施策債
ア 防災・減災・国土強靱化緊急対策事業債償還費
(ア) 都道府県60.0%分0.063
(イ) 都道府県50.0%分0.053
イ 緊急自然災害防止対策事業債償還費0.072
(3) 令和3年度国土強靱化施策債
ア 防災・減災・国土強靱化緊急対策事業債償還費
(ア) 都道府県60.0%分0.060
(イ) 都道府県50.0%分0.050
イ 緊急自然災害防止対策事業債償還費0.110
(4) 令和4年度国土強靱化施策債
ア 防災・減災・国土強靱化緊急対策事業債償還費
(ア) 都道府県60.0%分0.148
(イ) 都道府県50.0%分0.123
イ 緊急自然災害防止対策事業債償還費0.211
(2) 市町村分
経費の種類測定単位補正率等
一 消防費人口段階補正
測定単位の数値が100,000人以上のもの
100,000人1.00
100,000人を超え250,000人までの数0.63
250,000人を超え400,000人までの数0.68
400,000人を超え1,000,000人までの数0.69
1,000,000人を超え2,000,000人までの数0.69
2,000,000人を超える数0.69
測定単位の数値が100,000人に満たないもの
その団体の数値1.00
100,000人に満たない数が70,000人までの数0.15
同上70,000人を超え80,000人までの数-0.20
同上80,000人を超え88,000人までの数0.23
同上88,000人を超え92,000人までの数-0.47
同上92,000人を超える数-0.07
密度補正Ⅰ
その団体の人口密度が450人以上のもの
その団体の密度1.00
その団体の人口密度が450人に満たないもの
その団体の密度1.00
450人に満たない数が150人までの数0.03
同上150人を超え300人までの数0.01
同上300人を超え350人までの数0.01
同上350人を超え400人までの数0.03
同上400人を超える数-0.09
密度補正Ⅱ
AB
区域指定指数が0.01以上2未満のもの1.0004.000
同上2以上10未満のもの0.5005.000
同上10以上50未満のもの0.1258.750
同上50以上のもの0.00015.000
普通態容補正(種地)
AB
Ⅰの地域
10種地0.004820-3.9370
9種地0.001560-0.8400
8種地0.0004400.1680
7種地0.0004300.1765
6種地0.000930-0.1985
5種地0.001020-0.2570
4種地0.000680-0.0700
3種地0.0004200.0470
2種地0.0004400.0400
1種地0.0003200.0640
Ⅱの地域
10種地0.000820-0.3320
9種地0.000740-0.2560
8種地0.000840-0.3460
7種地0.001080-0.5500
6種地0.001040-0.5180
5種地0.000520-0.1280
4種地0.000550-0.1490
3種地0.000410-0.0650
2種地0.000367-0.0435
1種地0.0001940.0171
(注) 特別区、仙台市、千葉市、横浜市、川崎市、名古屋市、京都市、大阪市、神戸市及び福岡市にあつては、Bの率にそれぞれ0.038を、札幌市、静岡市、浜松市、岡山市、広島市及び北九州市にあつては、Bの率にそれぞれ0.019を加算する。
普通態容補正(給与差等)0.764
経常態容補正
1 合併関係市町村の人口段階による補正率
AB
4,000人までの数0.851,680
4,000人を超え8,000人までの数0.732,160
8,000人を超え12,000人までの数0.91720
12,000人を超え20,000人までの数0.555,040
20,000人を超え30,000人までの数0.447,240
30,000人を超え50,000人までの数0.369,640
50,000人を超え100,000人までの数0.483,640
100,000人を超え250,000人までの数0.3417,640
250,000人を超える数0.3417,640
2 新市町村の人口段階による補正率
CD
8,000人までの数0.967,380
8,000人を超え12,000人までの数1.423,700
12,000人を超え20,000人までの数0.7212,100
20,000人を超え30,000人までの数1.124,100
30,000人を超え100,000人までの数0.8911,000
100,000人を超え250,000人までの数0.6634,000
250,000人を超え400,000人までの数0.7024,000
400,000人を超え1,000,000人までの数0.7120,000
1,000,000人を超え2,000,000人までの数0.7210,000
2,000,000人を超える数0.7210,000
二 土木費1 道路橋りよう費道路の面積種別補正
指定都市その他の市町村
国道及び道府県道1.901.90
市町村道
路面幅員6.5m以上1.101.10
同上4.5m以上6.5m未満1.001.00
同上2.5m以上4.5m未満0.700.70
同上1.5m以上2.5m未満0.200.20
橋りよう4.004.00
普通態容補正(種地)
AB
Ⅰの地域
10種地 a0.0017200.0180
b0.001780-0.1570
9種地 0.002620-0.9550
8種地 0.003280-1.5490
7種地 a0.001990-0.4525
b0.001750-0.4025
6種地 a0.0010900.2225
b0.0008900.2425
5種地 0.0000300.8015
4種地 0.0001500.7355
3種地 0.0004400.6050
2種地 0.0000600.7380
1種地 0.0000800.7340
Ⅱの地域
10種地 0.0003600.5870
9種地 0.0007800.1880
8種地 0.0007600.2060
7種地 0.0007600.2060
6種地 0.0000800.7500
5種地 0.0001400.7050
4種地 0.0002600.6210
3種地 0.0001200.7050
2種地 0.0001000.7150
1種地 0.0000800.7220
普通態容補正(給与差等)
1級地0.228
2級地0.222
3級地0.220
4級地0.216
5級地0.213
6級地0.207
7級地0.202
無級地0.197
寒冷補正
給与差寒冷度
4級地0.0030.240
3級地0.0030.120
2級地0.0030.043
1級地0.0040.021
無級地0.0000.000
寒冷補正(積雪度)
国道及び都道府県道路面幅員6.5m以上路面幅員6.5m未満4.5m以上路面幅員4.5m未満2.5m以上路面幅員2.5m未満1.5m以上橋りよう
4級地2.0512.1111.6241.1360.5521.299
3級地1.3261.3291.0220.7150.3470.818
2級地0.7960.7530.5800.4060.1970.464
1級地0.4510.3640.2800.1960.0950.224
無級地0.0000.0000.0000.0000.0000.000
(注) 種地区分のⅠの地域10種地からⅠの地域8種地までの市町村にあつては1.30、Ⅰの地域7種地からⅠの地域4種地までの市町村にあつては1.07、その他の市町村にあつては1.00を上記の係数にそれぞれ乗じて得た係数(小数点以下3位未満の端数があるときは、その端数を四捨五入する。)とする。
道路の延長普通態容補正
AB
Ⅰの地域
10種地0.0021601.2640
9種地0.004700-1.1490
8種地0.0026200.7230
7種地0.004590-0.9525
6種地0.003930-0.4575
5種地0.003920-0.4510
4種地0.003220-0.0660
3種地0.0022400.3750
2種地0.0015870.6036
1種地0.0012100.6790
Ⅱの地域
10種地0.002800-0.2160
9種地0.005420-2.7050
8種地0.004000-1.4270
7種地0.003960-1.3930
6種地0.003520-1.0410
5種地0.002800-0.5010
4種地0.002690-0.4240
3種地0.0015700.2480
2種地0.0015330.2665
1種地0.0000510.7851
寒冷補正
寒冷度積雪度
国道及び都道府県道市町村道
4級地0.2491.6930.102
3級地0.1011.0920.102
2級地0.0580.7340.085
1級地0.0370.3260.037
無級地0.0000.0000.000
(注) 北海道内の指定都市にあつては、寒冷度0.142、積雪度0.207とする。
2 港湾費港湾における係留施設の延長種別補正
国際戦略港湾1.300
国際拠点港湾1.300
重要港湾1.000
地方港湾0.600
普通態容補正(給与差等)
1級地1.084
2級地1.068
3級地1.063
4級地1.051
5級地1.044
6級地1.024
7級地1.012
無級地0.998
寒冷補正(給与差)
4級地0.011
3級地0.013
2級地0.014
1級地0.016
無級地0.000
漁港における係留施設の延長普通態容補正(給与差等)
1級地1.091
2級地1.074
3級地1.068
4級地1.055
5級地1.047
6級地1.026
7級地1.013
無級地0.998
寒冷補正(給与差)
4級地0.006
3級地0.008
2級地0.008
1級地0.009
無級地0.000
3 都市計画費都市計画区域における人口普通態容補正(種地)
AB
Ⅰの地域
10種地 特別区0.0000200.3970
指定都市0.0000200.4150
9種地 0.0000200.4150
8種地 0.0000400.3970
7種地 指定都市0.0001600.2950
中核市0.0001500.3015
施行時特例市0.0001500.2975
その他の市町村0.0001500.2855
6種地 指定都市0.0005200.0250
中核市0.0005200.0240
施行時特例市0.0005200.0200
その他の市町村0.0005000.0230
5種地 中核市0.0005100.0305
施行時特例市0.0005000.0330
その他の市町村0.0004900.0295
4種地 中核市0.0002400.1790
施行時特例市0.0002400.1760
その他の市町村0.0002300.1725
3種地 0.0001300.2175
2種地 0.0001270.2186
1種地 0.0000500.2340
Ⅱの地域
10種地 中核市0.0001600.2190
施行時特例市0.0001600.2160
その他の市町村0.0001600.2050
9種地 施行時特例市0.0001000.2730
その他の市町村0.0001000.2620
8種地 施行時特例市0.0002000.1830
その他の市町村0.0001800.1900
7種地 0.000420-0.0140
6種地 0.000520-0.0940
5種地 0.000400-0.0040
4種地 0.0002900.0730
3種地 0.0002700.0850
2種地 0.0000870.1766
1種地 0.0000690.1829
普通態容補正(給与差等)
指定都市中核市施行時特例市その他の市町村
1級地0.8690.8650.8580.833
2級地0.8470.8440.8360.812
3級地0.8410.8370.8300.806
4級地0.8240.8210.8140.790
5級地0.8140.8100.8030.780
6級地0.7870.7840.7780.755
7級地0.7720.7690.7620.740
無級地0.7530.7500.7440.722
4 公園費人口普通態容補正(種地)
AB
Ⅰの地域
10種地0.002480-1.3830
9種地0.001520-0.4710
8種地0.001600-0.5430
7種地0.000990-0.0245
6種地0.0006300.2455
5種地0.0007300.1805
4種地0.0007000.1970
3種地0.0005900.2465
2種地0.0001070.4156
1種地0.0000900.4190
Ⅱの地域
10種地0.001360-0.6070
9種地0.000880-0.1510
8種地0.0006800.0290
7種地0.0006800.0290
6種地0.0003400.3010
5種地0.000880-0.1040
4種地0.000740-0.0060
3種地0.0005100.1320
2種地0.0000930.3405
1種地0.0000400.3590
普通態容補正(給与差等)0.488
5 下水道費人口普通態容補正(種地)
AB
Ⅰの地域
10種地0.030860-26.8480
9種地0.015640-12.3890
8種地0.0000001.6870
7種地0.0019400.0380
6種地0.002600-0.4570
5種地0.002110-0.1385
4種地0.0013600.2740
3種地0.003160-0.5360
2種地0.0008730.2644
1種地0.0017700.0850
Ⅱの地域
10種地0.0014000.1680
9種地0.003320-1.6560
8種地0.006640-4.6440
7種地0.009100-6.7350
6種地0.0000000.5450
5種地0.0000000.5450
4種地0.001140-0.2530
3種地0.002250-0.9190
2種地0.0003200.0460
1種地0.0001140.1181
普通態容補正(給与差等)0.114
6 その他の土木費人口段階補正
測定単位の数値が100,000人以上のもの
100,000人1.00
100,000人を超え250,000人までの数0.75
250,000人を超え400,000人までの数0.63
400,000人を超え1,000,000人までの数0.58
1,000,000人を超える数0.55
測定単位の数値が100,000人に満たないもの
その団体の数値1.00
100,000人に満たない数が70,000人までの数0.15
同上70,000人を超え80,000人までの数-0.21
同上80,000人を超え88,000人までの数-0.03
同上88,000人を超え92,000人までの数-0.24
同上92,000人を超える数0.20
普通態容補正(種地)
大都市中核市
ABAB
Ⅰの地域
10種地 a0.0000000.6460――
b0.0000000.6280――
9種地 a0.0000000.6460――
b0.0000000.6280――
8種地 a0.0000000.6460――
b0.0000000.6280――
7種地 a0.0003000.3910――
b0.0002900.3815――
c――0.0002900.3825
d――0.0002900.3725
6種地 a0.0006800.1060――
b0.0006600.1040――
c――0.0006600.1050
d――0.0006500.1025
5種地 c――0.0006200.1310
d――0.0006100.1285
4種地 c――0.0001400.3950
d――0.0001300.3925
3種地 ――――
2種地 ――――
1種地 ――――
Ⅱの地域
10種地 c――0.0004400.1280
d――0.0004400.1190
9種地 c――0.0003200.2420
d――0.0003200.2330
8種地 c――0.0001800.3680
d――0.0001800.3590
7種地 c――0.0004800.1130
d――0.0004600.1210
6種地 ――――
5種地 ――――
4種地 ――――
3種地 ――――
2種地 ――――
1種地 ――――
特例市建築主事設置市
ABAB
Ⅰの地域
10種地 ――――
9種地 ――――
8種地 ――――
7種地 0.0002900.36850.0002800.3780
6種地 0.0006500.98500.0006500.1005
5種地 0.0006000.13100.0006100.1265
4種地 0.0001300.38950.0001300.3905
3種地 ――0.0000500.4265
2種地 ――0.0002200.3670
1種地 ――0.0002100.3690
Ⅱの地域
10種地 0.0004400.11500.0004400.1160
9種地 0.0003000.24800.0003000.2490
8種地 0.0001800.35600.0001800.3570
7種地 0.0004800.10100.0004800.1020
6種地 ――0.0004000.1660
5種地 ――0.0003400.2110
4種地 ――0.0001800.3230
3種地 ――0.0001100.3650
2種地 ――0.0001800.3300
1種地 ――0.0001200.3510
限定特定行政庁設置市町村その他の市町村
ABAB
Ⅰの地域
10種地 ――――
9種地 ――――
8種地 ――――
7種地 0.0002600.33300.0002200.2880
6種地 0.0005800.09300.0005000.0780
5種地 0.0005500.11250.0004700.0975
4種地 0.0001200.34900.0001000.3010
3種地 0.0000400.38500.0000400.3280
2種地 0.0001930.33140.0001670.2836
1種地 0.0001900.33200.0001600.2850
Ⅱの地域
10種地 0.0004000.10000.0003400.0890
9種地 0.0002800.21400.0002400.1840
8種地 0.0001600.32200.0001400.2740
7種地 0.0004200.10100.0003600.0870
6種地 0.0003600.14900.0003200.1190
5種地 0.0003200.17900.0002600.1640
4種地 0.0001600.29100.0001400.2480
3種地 0.0000900.33300.0000800.2840
2種地 0.0001670.29460.0001400.2540
1種地 0.0001030.31700.0000910.2711
(注1) Ⅰの地域7種地cはⅠの地域7種地に区分される宅地造成等工事規制区域を包括する中核市を、Ⅰの地域7種地dはⅠの地域7種地に区分されるその他の中核市を、Ⅰの地域6種地cはⅠの地域6種地に区分される宅地造成等工事規制区域を包括する中核市を、Ⅰの地域6種地dはⅠの地域6種地に区分されるその他の中核市を、Ⅰの地域5種地cはⅠの地域5種地に区分される宅地造成等工事規制区域を包括する中核市を、Ⅰの地域5種地dはⅠの地域5種地に区分されるその他の中核市を、Ⅰの地域4種地cはⅠの地域4種地に区分される宅地造成等工事規制区域を包括する中核市を、Ⅰの地域4種地dはⅠの地域4種地に区分されるその他の中核市を、Ⅱの地域10種地cはⅡの地域10種地に区分される宅地造成等工事規制区域を包括する中核市を、Ⅱの地域10種地dはⅡの地域10種地に区分されるその他の中核市を、Ⅱの地域9種地cはⅡの地域9種地に区分される宅地造成等工事規制区域を包括する中核市を、Ⅱの地域9種地dはⅡの地域9種地に区分されるその他の中核市を、Ⅱの地域8種地cはⅡの地域8種地に区分される宅地造成等工事規制区域を包括する中核市を、Ⅱの地域8種地dはⅡの地域8種地に区分されるその他の中核市を、Ⅱの地域7種地cはⅡの地域7種地に区分される宅地造成等工事規制区域を包括する中核市を、Ⅱの地域7種地dはⅡの地域7種地に区分されるその他の中核市をいう。
(注2) 補正係数が1.000未満となるものに係る補正係数は1.000とする。
普通態容補正(給与差等)
大都市・宅造あり大都市・宅造なし中核都市・宅造あり
1級地1.0240.9960.998
2級地0.9980.9710.973
3級地0.9900.9630.965
4級地0.9710.9450.946
5級地0.9590.9330.934
6級地0.9280.9020.904
7級地0.9080.8840.885
無級地0.8870.8630.864
中核都市・宅造なし施行時特例市
1級地0.9810.974
2級地0.9560.950
3級地0.9490.942
4級地0.9300.924
5級地0.9190.912
6級地0.8890.883
7級地0.8700.864
無級地0.8500.844
建築主事設置市限定特定行政庁設置市町村その他の市町村
1級地0.9770.8780.753
2級地0.9520.8560.734
3級地0.9440.8490.728
4級地0.9260.8330.714
5級地0.9140.8220.705
6級地0.8850.7950.682
7級地0.8660.7790.668
無級地0.8460.7600.652
三 教育費1 小学校費学級数普通態容補正(給与差等)
1級地1.048
2級地1.039
3級地1.036
4級地1.029
5級地1.025
6級地1.014
7級地1.007
無級地0.999
寒冷補正
給与差寒冷度積雪度
4級地0.0040.5660.723
3級地0.0060.3740.329
2級地0.0060.2500.131
1級地0.0060.1490.066
無級地0.0000.0000.000
2 中学校費学級数普通態容補正(給与差等)
1級地1.046
2級地1.037
3級地1.035
4級地1.028
5級地1.024
6級地1.013
7級地1.007
無級地0.999
寒冷補正
給与差寒冷度積雪度
4級地0.0040.5760.755
3級地0.0050.3800.343
2級地0.0060.2540.137
1級地0.0060.1520.068
無級地0.0000.0000.000
3 高等学校費教職員数種別補正
全日制1.00
定時制
指定都市1.22
その他の市町村0.96
通信制1.25
普通態容補正(給与差等)
1級地1.146
2級地1.118
3級地1.110
4級地1.088
5級地1.076
6級地1.042
7級地1.021
無級地0.997
寒冷補正(給与差)
4級地0.011
3級地0.014
2級地0.014
1級地0.016
無級地0.000
生徒数種別補正
区分全日制定時制別科・専攻科
独立校併設校
指定都市立その他の市町村立指定都市立その他の市町村立職業科その他
普通科等1.002.071.711.601.40――
商業科等1.122.081.721.691.49――
衛生看護科等2.483.443.242.822.62――
農業に関する学科2.583.763.372.772.55――
工業に関する学科及び情報に関する学科2.173.653.282.772.57――
水産に関する学科6.65――――――
別科・専攻科―――――4.031.12
普通態容補正(給与差等)
1級地1.013
2級地1.010
3級地1.009
4級地1.008
5級地1.006
6級地1.004
7級地1.002
無級地1.000
寒冷補正
給与差寒冷度積雪度
4級地0.0020.2420.311
3級地0.0020.1600.141
2級地0.0020.1070.057
1級地0.0020.0640.028
無級地0.0000.0000.000
4 その他の教育費人口段階補正
測定単位の数値が100,000人以上のもの
100,000人1.00
100,000人を超え250,000人までの数0.72
250,000人を超え400,000人までの数0.75
400,000人を超え1,000,000人までの数0.75
1,000,000人を超える数0.70
測定単位の数値が100,000人に満たないもの
その団体の数値1.00
100,000人に満たない数が70,000人までの数0.14
同上70,000人を超え80,000人までの数0.02
同上80,000人を超え88,000人までの数-0.27
同上88,000人を超え92,000人までの数-0.44
同上92,000人を超える数-0.43
密度補正Ⅰ
その団体の人口密度が450人以上のもの
その団体の密度1.00
その団体の人口密度が450人に満たないもの
その団体の密度1.00
450人に満たない数が150人までの数0.30
同上150人を超え300人までの数-0.05
同上300人を超え350人までの数-0.19
同上350人を超え400人までの数-0.18
同上400人を超える数-0.30
密度補正Ⅳ
その団体の人口密度が450人以上のもの
その団体の密度1.00
その団体の人口密度が450人に満たないもの
その団体の密度1.00
450人に満たない数が150人までの数0.06
同上150人を超え300人までの数-0.01
同上300人を超え350人までの数0.00
同上350人を超え400人までの数-0.02
同上400人を超える数-0.07
普通態容補正(種地)
AB
Ⅰの地域
10種地 特別区0.0004000.3440
指定都市0.0004200.3700
9種地 0.0002200.5600
8種地 0.0002400.5420
7種地 指定都市0.0002300.5505
中核市0.0002200.5400
その他の市町村0.0002100.5235
6種地 指定都市0.0006300.2505
中核市0.0006200.2400
その他の市町村0.0006000.2310
5種地 中核市0.0004900.3245
その他の市町村0.0004700.3155
4種地 中核市0.0008100.1485
その他の市町村0.0007800.1450
3種地 0.0001700.4195
2種地 0.0003000.3740
1種地 0.0002400.3860
Ⅱの地域
10種地 中核市0.0002200.4470
その他の市町村0.0002000.4440
9種地 中核市0.000740-0.0470
その他の市町村0.000720-0.0500
8種地 中核市0.000740-0.0470
その他の市町村0.000720-0.0500
7種地 中核市0.000780-0.0810
その他の市町村0.000740-0.0670
6種地 中核市0.0003200.2870
その他の市町村0.0003200.2690
5種地 中核市0.0002800.3170
その他の市町村0.0002600.3140
4種地 中核市0.0004200.2190
その他の市町村0.0004100.2090
3種地 中核市0.0004000.2310
その他の市町村0.0003900.2210
2種地 中核市0.0003930.2345
その他の市町村0.0003800.2260
1種地 中核市0.0001200.3300
その他の市町村0.0001140.3191
普通態容補正(給与差等)
指定都市中核市その他の市町村
1級地0.6160.6000.580
2級地0.6000.5850.565
3級地0.5960.5810.561
4級地0.5840.5690.550
5級地0.5770.5620.543
6級地0.5590.5440.526
7級地0.5470.5330.515
無級地0.5330.5200.502
普通態容補正Ⅱ(給与差等)
小学校中学校特別支援学校
1級地1.1461.1451.147
2級地1.1181.1171.119
3級地1.1101.1091.110
4級地1.0881.0881.089
5級地1.0761.0751.076
6級地1.0421.0411.042
7級地1.0211.0211.021
無級地0.9970.9970.997
四 厚生費1 生活保護費市部人口段階補正
測定単位の数値が100,000人以上のもの
100,000人1.00
100,000人を超え250,000人までの数0.99
250,000人を超え400,000人までの数0.97
400,000人を超え1,000,000人までの数0.98
1,000,000人を超える数0.98
測定単位の数値が100,000人に満たないもの
その団体の数値1.00
100,000人に満たない数が70,000人までの数0.03
同上70,000人を超え80,000人までの数0.11
同上80,000人を超え88,000人までの数0.07
同上88,000人を超え92,000人までの数0.06
同上92,000人を超える数-0.23
密度補正
Ⅰの地域
10種地1.035
9種地1.028
8種地1.021
7種地1.013
6種地0.989
5種地0.960
4種地0.921
3種地0.904
2種地0.896
1種地0.891
Ⅱの地域
10種地1.027
9種地1.016
8種地0.995
7種地0.945
6種地0.921
5種地0.917
4種地0.902
3種地0.888
2種地0.885
1種地0.885
普通態容補正(給与差等)
指定都市中核市特別区及びその他の市町村
1級地1.0331.0331.031
2級地1.0271.0271.025
3級地1.0251.0251.023
4級地1.0201.0201.018
5級地1.0181.0181.016
6級地1.0111.0111.009
7級地1.0061.0061.004
無級地1.0011.0010.999
寒冷補正Ⅰ(給与差)
4級地0.002
3級地0.003
2級地0.003
1級地0.004
無級地0.000
寒冷補正Ⅱ(寒冷度)
1区0.016
2区0.010
3区0.007
4区0.006
5区0.002
6区0.000
2 社会福祉費人口段階補正
測定単位の数値が100,000人以上のもの
100,000人1.00
100,000人を超え250,000人までの数0.92
250,000人を超え400,000人までの数0.90
400,000人を超え1,000,000人までの数0.90
1,000,000人を超える数0.90
測定単位の数値が100,000人に満たないもの
その団体の数値1.00
100,000人に満たない数が70,000人までの数0.03
同上70,000人を超え80,000人までの数-0.02
同上80,000人を超え88,000人までの数-0.04
同上88,000人を超え92,000人までの数0.02
同上92,000人を超える数-0.02
普通態容補正(種地)
市及び福祉事務所設置町村その他の町村
ABAB
Ⅰの地域
10種地 指定都市0.0000001.1220――
特別区0.0000000.9680――
9種地 0.0000001.1220――
8種地 0.0000001.1220――
7種地 指定都市0.0000401.0880――
中核市0.0000300.9665――
児相中核市0.0000301.0915――
その他の市町村0.0000300.94250.0000300.8615
6種地 指定都市0.0000801.0580――
中核市0.0000700.9365――
児相中核市0.0000801.0540――
その他の市町村0.0000700.91250.0000600.8390
5種地 中核市0.0000300.9625――
その他の市町村0.0000300.93850.0000300.8585
4種地 中核市0.0000500.9515――
その他の市町村0.0000500.92750.0000500.8475
3種地 0.0000000.95000.0000000.8700
2種地 0.0000000.95000.0000000.8700
1種地 0.0000000.95000.0000000.8700
Ⅱの地域
10種地 中核市0.0000000.9860――
その他の市町村0.0000000.96200.0000000.8810
9種地 中核市0.0000000.9860――
その他の市町村0.0000000.96200.0000000.8810
8種地 0.0000600.90800.0000600.8270
7種地 0.0000000.95900.0000000.8780
6種地 0.0000400.92700.0000200.8620
5種地 0.0000400.92700.0000400.8470
4種地 0.0000500.92000.0000500.8400
3種地 0.0000000.95000.0000000.8700
2種地 0.0000000.95000.0000000.8700
1種地 0.0000000.95000.0000000.8700
普通態容補正(給与差等)
指定都市中核市児童相談所設置市特別区、市及び福祉事務所設置町村その他の町村
1級地0.0670.0590.0670.0580.053
2級地0.0650.0570.0650.0560.051
3級地0.0650.0570.0650.0560.051
4級地0.0640.0560.0630.0550.050
5級地0.0630.0550.0620.0540.049
6級地0.0600.0530.0600.0520.048
7級地0.0590.0520.0590.0510.047
無級地0.0580.0510.0580.0500.046
3 保健衛生費人口段階補正
測定単位の数値が100,000人以上のもの
100,000人1.00
100,000人を超え250,000人までの数0.88
250,000人を超え400,000人までの数0.87
400,000人を超え1,000,000人までの数0.87
1,000,000人を超える数0.87
測定単位の数値が100,000人に満たないもの
その団体の数値1.00
100,000人に満たない数が70,000人までの数0.06
同上70,000人を超え80,000人までの数0.08
同上80,000人を超え88,000人までの数0.14
同上88,000人を超え92,000人までの数0.20
同上92,000人を超える数0.28
普通態容補正(種地)
指定都市、特別区、中核市及び保健所設置市その他の市町村
ABAB
Ⅰの地域
10種地 特別区0.0008600.4310――
指定都市0.0011200.5420――
9種地 0.0006400.9980――
8種地 0.0006201.0160――
7種地 指定都市0.0007800.88000.0004900.5555
中核市0.0006100.6915――
保健所設置市0.0006000.6880――
6種地 指定都市0.0005701.03750.0003600.6530
中核市0.0004500.8115――
保健所設置市0.0004400.8080――
5種地 中核市0.0004100.83750.0003300.6725
保健所設置市0.0004100.8275――
4種地 中核市0.0002600.92000.0002100.7385
保健所設置市0.0002600.9100――
3種地 0.0001800.94600.0001500.7655
2種地 0.0001070.97160.0000870.7876
1種地 0.0001300.96700.0001000.7850
Ⅱの地域
10種地 中核市0.0004800.67200.0003800.5450
保健所設置市0.0004800.6610――
9種地 中核市0.0003800.76700.0003000.6210
保健所設置市0.0003600.7750――
8種地 中核市0.0004200.73100.0003400.5850
保健所設置市0.0004200.7210――
7種地 中核市0.0004200.73100.0003400.5850
保健所設置市0.0004200.7210――
6種地 0.0002800.83300.0002200.6810
5種地 0.0003200.80300.0002600.6510
4種地 0.0002700.83800.0002200.6790
3種地 0.0001700.89800.0001400.7270
2種地 0.0002000.88300.0001600.7170
1種地 0.0001600.89700.0001310.7271
普通態容補正(給与差等)
指定都市中核市保健所設置市その他の市町村
1級地0.3050.2390.2370.192
2級地0.2970.2330.2310.187
3級地0.2950.2320.2290.186
4級地0.2890.2270.2240.182
5級地0.2860.2240.2220.180
6級地0.2760.2170.2150.174
7級地0.2710.2130.2110.171
無級地0.2630.2070.2050.166
経常態容補正Ⅱ
1 合併関係市町村の人口段階による補正率
AB
4,000人までの数1.102,240
4,000人を超え8,000人までの数0.345,280
8,000人を超え12,000人までの数0.176,640
12,000人を超え20,000人までの数0.196,400
20,000人を超え30,000人までの数0.216,000
30,000人を超え50,000人までの数0.0012,300
2 本庁からの距離段階による補正率
AB
16キロメートルまでの数0.000001.00
16キロメートルを超え24キロメートルまでの数0.030750.51
24キロメートルを超え32キロメートルまでの数0.05300-0.03
32キロメートルを超え48キロメートルまでの数0.002191.60
48キロメートルを超える数0.011001.18
4 高齢者保健福祉費六十五歳以上人口段階補正
測定単位の数値が31,000人以上のもの
31,000人1.00
31,000人を超え78,000人までの数0.84
78,000人を超え130,000人までの数0.84
130,000人を超え320,000人までの数0.85
320,000人を超える数0.83
測定単位の数値が31,000人に満たないもの
その団体の数値1.00
31,000人に満たない数が21,400人までの数0.02
同上21,400人を超え24,700人までの数0.07
同上24,700人を超え27,300人までの数0.02
同上27,300人を超え28,400人までの数0.06
同上28,400人を超える数-0.04
普通態容補正(種地)
指定都市中核市
ABAB
Ⅰの地域
10種地0.0002800.75200.0002800.7520
9種地0.0002800.75200.0002800.7520
8種地0.0002000.82400.0002000.8240
7種地0.0001600.85800.0001600.8580
6種地0.0001500.86550.0001500.8655
5種地0.0001400.87200.0001400.8720
4種地0.0001400.87200.0001400.8720
3種地0.0000400.91700.0000400.9170
2種地0.0001530.87740.0001530.8774
1種地0.0001200.88400.0001200.8840
Ⅱの地域
10種地0.0005800.41900.0005800.4190
9種地0.0001400.83700.0001400.8370
8種地0.0001600.81900.0001600.8190
7種地0.0001600.81900.0001600.8190
6種地0.0001400.83500.0001400.8350
5種地0.0001000.86500.0001000.8650
4種地0.0001000.86500.0001000.8650
3種地0.0000800.87700.0000800.8770
2種地0.0001330.85050.0001330.8505
1種地0.0000800.86900.0000800.8690
指定都市・中核市以外の市町村及び特別区
AB
Ⅰの地域
10種地0.0002800.7210
9種地0.0002600.7400
8種地0.0002000.7940
7種地0.0001500.8365
6種地0.0001500.8365
5種地0.0001400.8430
4種地0.0001300.8485
3種地0.0000400.8890
2種地0.0001470.8516
1種地0.0001200.8570
Ⅱの地域
10種地0.0005600.4090
9種地0.0001400.8080
8種地0.0001600.7900
7種地0.0001400.8070
6種地0.0001400.8070
5種地0.0001000.8370
4種地0.0001000.8370
3種地0.0000800.8490
2種地0.0001270.8256
1種地0.0000800.8420
普通態容補正(給与差等)
指定都市中核市その他の市町村
1級地0.1100.1100.107
2級地0.1070.1070.104
3級地0.1070.1070.104
4級地0.1040.1040.101
5級地0.1030.1030.100
6級地0.1000.1000.097
7級地0.0980.0980.095
無級地0.0960.0960.093
5 清掃費人口密度補正Ⅰ
その団体の人口密度が450人以上のもの
その団体の密度1.00
その団体の人口密度が450人に満たないもの
その団体の密度1.00
450人に満たない数が150人までの数0.19
同上150人を超え300人までの数-0.09
同上300人を超え350人までの数-0.02
同上350人を超え400人までの数-0.01
同上400人を超える数-0.12
普通態容補正(種地)
AB
Ⅰの地域
10種地 a0.005160-3.5700
b0.005160-3.5700
9種地 0.0009000.4770
8種地 0.0009800.4050
7種地 0.0008100.5495
6種地 0.001860-0.2380
5種地 0.001990-0.3225
4種地 0.0008500.3045
3種地 0.0002900.5565
2種地 0.0005070.4806
1種地 0.0005800.4660
Ⅱの地域
10種地 0.0004800.8280
9種地 0.002560-1.1480
8種地 0.002060-0.6980
7種地 0.001980-0.6300
6種地 0.002240-0.8380
5種地 0.0008800.1820
4種地 0.001500-0.2520
3種地 0.0005500.3180
2種地 0.0009670.1096
1種地 0.0004690.2839
普通態容補正(給与差等)0.206
五 産業経済費1 農業行政費農家数段階補正
測定単位の数値が2,500戸以上のもの
2,500戸1.00
2,500戸を超え3,500戸までの数0.76
3,500戸を超え5,000戸までの数0.83
5,000戸を超え6,500戸までの数0.70
6,500戸を超える数0.78
測定単位の数値が2,500戸に満たないもの
その団体の数値1.00
2,500戸に満たない数が1,100戸までの数0.10
同上1,100戸を超え1,600戸までの数0.38
同上1,600戸を超え2,050戸までの数-0.10
同上2,050戸を超える数-0.43
普通態容補正Ⅰ(給与差等)
1級地1.083
2級地1.067
3級地1.062
4級地1.050
5級地1.043
6級地1.024
7級地1.012
無級地0.998
普通態容補正Ⅱ
5級地1.38
4級地1.30
3級地1.12
2級地1.09
1級地1.06
無級地1.00
寒冷補正(給与差)
4級地0.007
3級地0.008
2級地0.008
1級地0.010
無級地0.000
2 林野水産行政費林業及び水産業の従業者数普通態容補正Ⅰ
1級地1.017
2級地1.013
3級地1.012
4級地1.010
5級地1.009
6級地1.005
7級地1.003
無級地1.000
普通態容補正Ⅱ
5級地1.60
4級地1.48
3級地1.36
2級地1.24
1級地1.12
無級地1.00
寒冷補正(給与差)
4級地0.001
3級地0.002
2級地0.002
1級地0.002
無級地0.000
3 商工行政費人口段階補正
測定単位の数値が100,000人以上のもの
100,000人1.00
100,000人を超え250,000人までの数0.74
250,000人を超え400,000人までの数0.70
400,000人を超え1,000,000人までの数0.75
1,000,000人を超える数0.75
測定単位の数値が100,000人に満たないもの
その団体の数値1.00
100,000人に満たない数が70,000人までの数0.18
同上70,000人を超え80,000人までの数0.25
同上80,000人を超え88,000人までの数-0.25
同上88,000人を超え92,000人までの数-0.29
同上92,000人を超える数-0.43
普通態容補正(種地)
中小企業支援市計量市
ABAB
Ⅰの地域
10種地0.004460-2.98100.004220-2.8200
9種地0.004040-2.58200.003820-2.4400
8種地0.004020-2.56400.003820-2.4400
7種地0.0004200.49600.0003900.4755
6種地0.0008600.16600.0008100.1605
5種地0.0005600.36100.0005300.3425
4種地0.0006500.31150.0006200.2930
3種地0.0002400.49600.0002200.4730
2種地0.0001600.52400.0001600.4940
1種地0.0002200.51200.0002100.4840
Ⅱの地域
10種地0.0000000.60400.0000000.5720
9種地0.0000000.60400.0000000.5720
8種地0.0000000.60400.0000000.5720
7種地0.0000000.60400.0000000.5720
6種地0.0000000.60400.0000000.5720
5種地0.0000200.58900.0000200.5570
4種地0.0003000.39300.0002800.3750
3種地0.0003600.35700.0003400.3390
2種地0.0004670.30360.0004470.2856
1種地0.0002570.37700.0002460.3560
その他の市町村
AB
Ⅰの地域
10種地0.003820-2.5540
9種地0.003460-2.2120
8種地0.003440-2.1940
7種地0.0003600.4240
6種地0.0007300.1465
5種地0.0004800.3090
4種地0.0005600.2650
3種地0.0002000.4270
2種地0.0001400.4480
1種地0.0001900.4380
Ⅱの地域
10種地0.0000000.5170
9種地0.0000000.5170
8種地0.0000000.5170
7種地0.0000000.5170
6種地0.0000000.5170
5種地0.0000200.5020
4種地0.0002500.3410
3種地0.0003100.3050
2種地0.0004000.2600
1種地0.0002230.3220
普通態容補正(給与差等)
中小企業支援市計量市その他の市町村
1級地0.6490.6150.556
2級地0.6330.5990.542
3級地0.6280.5950.538
4級地0.6160.5830.527
5級地0.6090.5760.521
6級地0.5890.5570.504
7級地0.5770.5460.494
無級地0.5630.5330.482
六 総務費1 徴税費世帯数段階補正
測定単位の数値が44,000世帯以上のもの
44,000世帯1.00
44,000世帯を超え127,000世帯までの数0.48
127,000世帯を超え377,000世帯までの数0.57
377,000世帯を超える数0.58
測定単位の数値が44,000世帯に満たないもの
その団体の数値1.00
44,000世帯に満たない数が30,500世帯までの数0.12
同上30,500世帯を超え40,900世帯までの数0.13
同上40,900世帯を超える数-0.68
密度補正
その団体の人口密度が450人以上のもの
その団体の密度1.00
その団体の人口密度が450人に満たないもの
その団体の密度1.00
450人に満たない数が150人までの数0.20
同上150人を超え300人までの数0.01
同上300人を超え350人までの数-0.04
同上350人を超え400人までの数-0.22
同上400人を超える数-0.36
普通態容補正(給与差等)
1級地1.096
2級地1.077
3級地1.072
4級地1.058
5級地1.049
6級地1.027
7級地1.014
無級地0.998
2 戸籍住民基本台帳費戸籍数段階補正
測定単位の数値が41,000籍以上のもの
41,000籍1.00
41,000籍を超え58,000籍までの数0.84
58,000籍を超え119,000籍までの数0.83
119,000籍を超え357,000籍までの数0.72
357,000籍を超える数0.77
測定単位の数値が41,000籍に満たないもの
その団体の数値1.00
41,000籍に満たない数が17,200籍までの数0.10
同上17,200籍を超え29,100籍までの数-0.03
同上29,100籍を超え35,200籍までの数0.01
同上35,200籍を超え37,400籍までの数-0.03
同上37,400籍を超える数-0.28
密度補正
その団体の人口密度が400人以上のもの
その団体の密度1.00
その団体の人口密度が400人に満たないもの
その団体の密度1.00
400人に満たない数が100人までの数0.11
同上100人を超え200人までの数0.04
同上200人を超え250人までの数-0.01
同上250人を超え300人までの数-0.04
同上300人を超え350人までの数-0.10
同上350人を超える数-0.14
普通態容補正(給与差等)
1級地1.130
2級地1.105
3級地1.098
4級地1.079
5級地1.067
6級地1.037
7級地1.019
無級地0.997
世帯数段階補正
測定単位の数値が44,000世帯以上のもの
44,000世帯1.00
44,000世帯を超え63,000世帯までの数0.64
63,000世帯を超え127,000世帯までの数0.74
127,000世帯を超え377,000世帯までの数0.64
377,000世帯を超える数0.59
測定単位の数値が44,000世帯に満たないもの
その団体の数値1.00
44,000世帯に満たない数が19,000世帯までの数0.27
同上19,000世帯を超え30,500世帯までの数0.23
同上30,500世帯を超え38,900世帯までの数-0.34
同上38,900世帯を超え40,900世帯までの数-0.33
同上40,900世帯を超える数-0.67
密度補正
その団体の人口密度が400人以上のもの
その団体の密度1.00
その団体の人口密度が400人に満たないもの
その団体の密度1.00
400人に満たない数が100人までの数0.13
同上100人を超え200人までの数0.04
同上200人を超え250人までの数-0.01
同上250人を超え300人までの数-0.07
同上300人を超え350人までの数-0.11
同上350人を超える数-0.13
普通態容補正
1級地1.106
2級地1.086
3級地1.079
4級地1.064
5級地1.055
6級地1.030
7級地1.015
無級地0.998
3 地域振興費人口段階補正Ⅰ
測定単位の数値が100,000人以上のもの
100,000人1.00
100,000人を超え250,000人までの数0.75
250,000人を超え400,000人までの数0.66
400,000人を超え1,000,000人までの数0.52
1,000,000人を超える数0.52
測定単位の数値が100,000人に満たないもの
その団体の数値1.00
100,000人に満たない数が70,000人までの数0.11
同上70,000人を超え80,000人までの数0.14
同上80,000人を超え88,000人までの数0.17
同上88,000人を超え92,000人までの数0.15
同上92,000人を超え96,000人までの数-0.45
同上96,000人を超える数-1.67
段階補正Ⅱ
測定単位の数値が100,000人以上のもの
100,000人1.00
100,000人を超え250,000人までの数0.54
250,000人を超え400,000人までの数0.54
400,000人を超え1,000,000人までの数0.39
1,000,000人を超える数0.34
測定単位の数値が100,000人に満たないもの
その団体の数値1.00
100,000人に満たない数が70,000人までの数0.22
同上70,000人を超え80,000人までの数0.34
同上80,000人を超え88,000人までの数0.24
同上88,000人を超え92,000人までの数0.02
同上92,000人を超え96,000人までの数-0.47
同上96,000人を超える数-0.87
段階補正Ⅲ
測定単位の数値が100,000人以上のもの
100,000人1.00
100,000人を超え250,000人までの数0.24
250,000人を超え400,000人までの数0.01
400,000人を超え1,000,000人までの数-0.01
1,000,000人を超える数0.00
測定単位の数値が100,000人に満たないもの
その団体の数値1.00
100,000人に満たない数が70,000人までの数0.40
同上70,000人を超え80,000人までの数0.24
同上80,000人を超え88,000人までの数-0.45
同上88,000人を超え92,000人までの数0.03
同上92,000人を超え96,000人までの数-0.93
同上96,000人を超える数-3.54
密度補正Ⅱ
その団体の人口密度が450人以上のもの
その団体の密度1.00
その団体の人口密度が450人に満たないもの
その団体の密度1.00
450人に満たない数が150人までの数4.48
同上150人を超え300人までの数0.61
同上300人を超え350人までの数-0.58
同上350人を超え400人までの数-7.35
同上400人を超える数-7.34
普通態容補正Ⅰ(種地)
AB
Ⅰの地域
10種地 a0.039480-18.3030
b0.062120-50.0260
9種地 0.027080-16.7380
8種地 0.014200-5.1460
7種地 a0.013330-4.4065
b0.006410-2.9185
6種地 a0.016550-6.8215
b0.005900-2.5360
5種地 0.006740-3.0820
4種地 0.006250-2.8125
3種地 0.001970-0.8865
2種地 0.002027-0.9064
1種地 0.001990-0.8990
Ⅱの地域
10種地 0.004000-2.8820
9種地 0.003820-2.7110
8種地 0.001920-1.0010
7種地 0.003060-1.9700
6種地 0.003140-2.0340
5種地 0.001480-0.7890
4種地 0.003870-2.4620
3種地 0.002560-1.6760
2種地 0.002920-1.8560
1種地 0.001617-1.4000
普通態容補正Ⅰ(給与差等)
1級地1.743
2級地1.408
3級地1.304
4級地1.050
5級地0.900
6級地0.496
7級地0.254
無級地-0.035
普通態容補正Ⅱ
AB
Ⅰの地域
10種地 0.000400-0.1060
9種地 0.0002400.0460
8種地 0.000320-0.0260
7種地 指定都市0.0001900.0845
中核市0.0001700.0955
施行時特例市0.0001800.0830
その他の市町村0.0001700.0755
6種地 指定都市0.0001500.1145
中核市0.0001500.1105
施行時特例市0.0001500.1055
その他の市町村0.0001600.0830
5種地 中核市0.0001400.1170
施行時特例市0.0001400.1120
その他の市町村0.0001300.1025
4種地 中核市0.0002300.0675
施行時特例市0.0002300.0625
その他の市町村0.0002400.0420
3種地 0.0001100.1005
2種地 0.0001000.1040
1種地 0.0001800.0880
Ⅱの地域
10種地 中核市0.000300-0.0520
施行時特例市0.000300-0.0570
その他の市町村0.000300-0.0730
9種地 中核市0.000320-0.0710
施行時特例市0.000340-0.0950
その他の市町村0.000320-0.0920
8種地 中核市0.0002000.0370
施行時特例市0.0001800.0490
その他の市町村0.0002000.0160
7種地 中核市0.0000800.1390
施行時特例市0.0000800.1340
その他の市町村0.0000800.1180
6種地 0.0001000.1020
5種地 0.0000800.1170
4種地 0.0001600.0610
3種地 0.0001400.0730
2種地 0.0001330.0765
1種地 0.0002460.0370
普通態容補正Ⅲ
1 級地による補正率 ア
離島市町村その他
6級地16.8433.739
5級地14.1182.911
4級地11.2832.064
3級地8.4921.225
2級地6.4800.615
1級地5.7290.382
備考 「離島市町村」とは当該市町村の全域又は当該市町村役場の所在地が都道府県庁所在地と海で隔てられた市町村をいう。以下同じ。
2 人口段階による補正率
測定単位の数値が100,000人以上のもの
100,000人1.00
測定単位の数値が100,000人に満たないもの
その団体の数値1.00
100,000人に満たない数が70,000人までの数0.02
同上70,000人を超え80,000人までの数0.42
同上80,000人を超え88,000人までの数0.80
同上88,000人を超え96,000人までの数0.19
同上96,000人を超え98,000人までの数-1.59
同上98,000人を超える数-4.96
3 級地による補正率 イ
離島市町村その他
6級地4.1781.607
5級地3.2671.256
4級地2.3330.897
3級地1.4160.545
2級地0.6900.266
1級地0.3850.148
経常態容補正
1 合併関係市町村の人口段階による補正率
AB
4,000人までの数0.663,320
4,000人を超え8,000人までの数0.513,920
8,000人を超え12,000人までの数0.216,320
12,000人を超え20,000人までの数0.166,920
20,000人を超え30,000人までの数0.206,120
30,000人を超える数0.0510,620
2 本庁からの距離段階による補正率
AB
16キロメートルまでの数0.000001.00
16キロメートルを超え24キロメートルまでの数0.028750.54
24キロメートルを超え32キロメートルまでの数0.05250-0.03
32キロメートルを超え48キロメートルまでの数0.007501.41
48キロメートルを超える数0.021250.76
寒冷補正
給与差寒冷度積雪度
4級地0.1880.5080.355
3級地0.2350.3590.242
2級地0.2420.2550.115
1級地0.2740.1610.060
無級地0.0000.0000.000
人口急減補正
人口段階による補正率
AB
4,000人までの数1.108,940
4,000人を超え8,000人までの数1.108,940
8,000人を超え12,000人までの数1.069,260
12,000人を超え20,000人までの数0.8911,300
20,000人を超え30,000人までの数1.009,100
30,000人を超え100,000人までの数0.8713,000
100,000人を超え250,000人までの数0.7129,000
250,000人を超え400,000人までの数0.6836,500
400,000人を超え1,000,000人までの数0.6356,500
1,000,000人を超える数0.6266,500
面積種別補正
田畑0.24
宅地1.00
森林0.14
その他0.03
(注) 市町村の区域に、2以上の市町村の区域にまたがる湖沼、池又は潟がある場合で、当該湖沼、池又は潟に係る境界が確定しているときに限り、当該湖沼、池又は潟の面積を当該団体のその面積に加える。
普通態容補正(種地)
AB
Ⅰの地域
10種地 a0.005100-4.1780
b0.005200-4.2800
9種地 0.004140-3.2660
8種地 0.003240-2.4560
7種地 0.000960-0.5180
6種地 0.000890-0.4655
5種地 0.000720-0.3550
4種地 0.000410-0.1845
3種地 0.000320-0.1440
2種地 0.000053-0.0506
1種地 0.000050-0.0500
Ⅱの地域
10種地 0.001940-1.4760
9種地 0.002180-1.7040
8種地 0.001880-1.4340
7種地 0.001380-1.0090
6種地 0.001460-1.0730
5種地 0.000840-0.6080
4種地 0.000180-0.1460
3種地 0.000160-0.1340
2種地 0.000067-0.0875
1種地 0.000051-0.0819
普通態容補正(面積)
1級地0.076
2級地0.061
3級地0.057
4級地0.046
5級地0.039
6級地0.022
7級地0.011
無級地-0.002
寒冷補正(給与差)
4級地0.006
3級地0.007
2級地0.008
1級地0.009
無級地0.000
七 災害復旧費災害復旧事業費の財源に充てるため発行について同意又は許可を得た地方債に係る元利償還金種別補正
公共災害復旧事業債1.00
単独災害復旧事業債0.50
地盤沈下等対策事業債0.60
緊急治山等事業債0.60
激甚災害対策特別緊急事業債0.60
特殊土壌対策事業債0.60
鉱害復旧事業債0.60
小災害債 公共土木施設等小災害債0.50
農地等小災害債1.05
法第13条第11項の補正
その団体の指数が100に満たないもの
その団体の指数1.00
その団体の指数が100以上のもの
1001.00
100を超え200までの数1.03
200を超え300までの数1.10
300を超え400までの数1.15
400を超え500までの数1.20
500を超え700までの数1.29
700を超え1,000までの数1.41
1,000を超え1,500までの数1.58
1,500を超え2,000までの数1.76
2,000を超え2,500までの数1.90
2,500を超え3,000までの数1.98
3,000を超え3,500までの数2.04
3,500を超え4,000までの数2.08
4,000を超え5,000までの数2.10
5,000を超える数1.80
八 補正予算債償還費平成4年度から平成10年度までの各年度において国の補正予算等に係る事業費の財源に充てるため発行を許可された地方債に係る元利償還金種別補正
(1) 平成4年度補正予算債1.000
(2) 平成5年度補正予算債1.000
(3) 平成6年度補正予算債1.000
(4) 平成7年度補正予算債1.000
(5) 平成8年度補正予算債1.000
(6) 平成9年度補正予算債1.000
(7) 平成10年度補正予算債1.000
平成16年度から令和4年度までの各年度において国の補正予算等に係る事業費の財源に充てるため発行について同意又は許可を得た地方債の額種別補正
(1) 平成16年度補正予算債
ア 平成16年度市町村95.0%分1.900
イ 平成16年度市町村60.0%分1.200
ウ 平成16年度市町村50.0%分1.000
(2) 平成17年度補正予算債
ア 平成17年度市町村60.0%分
(ア) 平成17年度市場公募都市に係るもの1.039
(イ) 平成17年度市場公募都市以外の市町村に係るもの0.752
イ 平成17年度市町村50.0%分
(ア) 平成17年度市場公募都市に係るもの0.867
(イ) 平成17年度市場公募都市以外の市町村に係るもの0.627
(3) 平成18年度補正予算債
ア 平成18年度市町村60.0%分
(ア) 平成18年度市場公募都市に係るもの0.921
(イ) 平成18年度市場公募都市以外の市町村に係るもの0.506
イ 平成18年度市町村50.0%分
(ア) 平成18年度市場公募都市に係るもの0.767
(イ) 平成18年度市場公募都市以外の市町村に係るもの0.424
(4) 平成19年度補正予算債
ア 平成19年度市町村60.0%分
(ア) 平成19年度市場公募都市に係るもの0.924
(イ) 平成19年度市場公募都市以外の市町村に係るもの0.518
イ 平成19年度市町村50.0%分
(ア) 平成19年度市場公募都市に係るもの0.773
(イ) 平成19年度市場公募都市以外の市町村に係るもの0.433
(5) 平成20年度補正予算債
ア 平成20年度市町村60.0%分
(ア) 平成20年度市場公募都市に係るもの0.965
(イ) 平成20年度市場公募都市以外の市町村に係るもの1.148
イ 平成20年度市町村50.0%分
(ア) 平成20年度市場公募都市に係るもの0.804
(イ) 平成20年度市場公募都市以外の市町村に係るもの0.957
(6) 平成21年度補正予算債
ア 平成21年度市町村60.0%分
(ア) 平成21年度市場公募都市に係るもの0.979
(イ) 平成21年度市場公募都市以外の市町村に係るもの1.151
イ 平成21年度市町村50.0%分
(ア) 平成21年度市場公募都市に係るもの0.816
(イ) 平成21年度市場公募都市以外の市町村に係るもの0.959
(7) 平成22年度補正予算債
ア 平成22年度市町村60.0%分
(ア) 平成22年度市場公募都市に係るもの0.961
(イ) 平成22年度市場公募都市以外の市町村に係るもの1.148
イ 平成22年度市町村50.0%分
(ア) 平成22年度市場公募都市に係るもの0.801
(イ) 平成22年度市場公募都市以外の市町村に係るもの0.956
ウ 平成22年度市町村45.0%分
(ア) 平成22年度市場公募都市に係るもの0.721
(イ) 平成22年度市場公募都市以外の市町村に係るもの0.861
(8) 平成23年度補正予算債
ア 平成23年度市町村80.0%分
(ア) 平成23年度市場公募都市に係るもの1.239
(イ) 平成23年度市場公募都市以外の市町村に係るもの1.504
イ 平成23年度市町村50.0%分
(ア) 平成23年度市場公募都市に係るもの0.774
(イ) 平成23年度市場公募都市以外の市町村に係るもの0.940
(9) 平成24年度補正予算債
ア 平成24年度市町村60.0%分
(ア) 平成24年度市場公募都市に係るもの0.942
(イ) 平成24年度市場公募都市以外の市町村に係るもの1.149
イ 平成24年度市町村50.0%分
(ア) 平成24年度市場公募都市に係るもの0.785
(イ) 平成24年度市場公募都市以外の市町村に係るもの0.958
(10) 平成25年度補正予算債
ア 平成25年度市町村60.0%分
(ア) 平成25年度市場公募都市に係るもの0.964
(イ) 平成25年度市場公募都市以外の市町村に係るもの1.155
イ 平成25年度市町村50.0%分
(ア) 平成25年度市場公募都市に係るもの0.803
(イ) 平成25年度市場公募都市以外の市町村に係るもの0.964
(11) 平成26年度補正予算債
ア 平成26年度市町村60.0%分
(ア) 平成26年度市場公募都市に係るもの0.939
(イ) 平成26年度市場公募都市以外の市町村に係るもの1.136
イ 平成26年度市町村50.0%分
(ア) 平成26年度市場公募都市に係るもの0.785
(イ) 平成26年度市場公募都市以外の市町村に係るもの0.948
(12) 平成27年度補正予算債
ア 平成27年度市町村60.0%分
(ア) 平成27年度市場公募都市に係るもの0.906
(イ) 平成27年度市場公募都市以外の市町村に係るもの1.103
イ 平成27年度市町村50.0%分
(ア) 平成27年度市場公募都市に係るもの0.755
(イ) 平成27年度市場公募都市以外の市町村に係るもの0.921
(13) 平成28年度補正予算債
ア 平成28年度市町村80.0%分
(ア) 平成28年度市場公募都市に係るもの1.179
(イ) 平成28年度市場公募都市以外の市町村に係るもの1.467
イ 平成28年度市町村60.0%分
(ア) 平成28年度市場公募都市に係るもの0.885
(イ) 平成28年度市場公募都市以外の市町村に係るもの1.100
ウ 平成28年度市町村50.0%分
(ア) 平成28年度市場公募都市に係るもの0.736
(イ) 平成28年度市場公募都市以外の市町村に係るもの0.918
(14) 平成29年度補正予算債
ア 平成29年度市町村80.0%分
(ア) 平成29年度市場公募都市に係るもの1.170
(イ) 平成29年度市場公募都市以外の市町村に係るもの1.470
イ 平成29年度市町村60.0%分
(ア) 平成29年度市場公募都市に係るもの0.876
(イ) 平成29年度市場公募都市以外の市町村に係るもの1.103
ウ 平成29年度市町村50.0%分
(ア) 平成29年度市場公募都市に係るもの0.730
(イ) 平成29年度市場公募都市以外の市町村に係るもの0.918
(15) 平成30年度補正予算債
ア 平成30年度市町村80.0%分
(ア) 平成30年度市場公募都市に係るもの1.169
(イ) 平成30年度市場公募都市以外の市町村に係るもの1.467
イ 平成30年度市町村60.0%分
(ア) 平成30年度市場公募都市に係るもの0.877
(イ) 平成30年度市場公募都市以外の市町村に係るもの1.100
ウ 平成30年度市町村50.0%分
(ア) 平成30年度市場公募都市に係るもの0.731
(イ) 平成30年度市場公募都市以外の市町村に係るもの0.917
(16) 令和元年度補正予算債
ア 令和元年度市町村80.0%分
(ア) 令和元年度市場公募都市に係るもの1.148
(イ) 令和元年度市場公募都市以外の市町村に係るもの1.455
イ 令和元年度市町村60.0%分
(ア) 令和元年度市場公募都市に係るもの0.861
(イ) 令和元年度市場公募都市以外の市町村に係るもの1.091
ウ 令和元年度市町村50.0%分
(ア) 令和元年度市場公募都市に係るもの0.718
(イ) 令和元年度市場公募都市以外の市町村に係るもの0.909
(17) 令和2年度補正予算債
ア 令和2年度市町村80.0%分
(ア) 令和2年度市場公募都市に係るもの0.055
(イ) 令和2年度市場公募都市以外の市町村に係るもの0.056
イ 令和2年度市町村72.0%分
(ア) 令和2年度市場公募都市に係るもの0.049
(イ) 令和2年度市場公募都市以外の市町村に係るもの0.051
ウ 令和2年度市町村60.0%分
(ア) 令和2年度市場公募都市に係るもの0.041
(イ) 令和2年度市場公募都市以外の市町村に係るもの0.042
エ 令和2年度市町村50.0%分
(ア) 令和2年度市場公募都市に係るもの0.034
(イ) 令和2年度市場公募都市以外の市町村に係るもの0.035
(18) 令和3年度補正予算債
ア 令和3年度市町村60.0%分
(ア) 令和3年度市場公募都市に係るもの0.055
(イ) 令和3年度市場公募都市以外の市町村に係るもの0.062
イ 令和3年度市町村50.0%分
(ア) 令和3年度市場公募都市に係るもの0.046
(イ) 令和3年度市場公募都市以外の市町村に係るもの0.052
(19) 令和4年度補正予算債
ア 令和4年度市町村72.0%分
(ア) 令和4年度市場公募都市に係るもの0.151
(イ) 令和4年度市場公募都市以外の市町村に係るもの0.164
イ 令和4年度市町村60.0%分
(ア) 令和4年度市場公募都市に係るもの0.125
(イ) 令和4年度市場公募都市以外の市町村に係るもの0.137
ウ 令和4年度市町村50.0%分
(ア) 令和4年度市場公募都市に係るもの0.105
(イ) 令和4年度市場公募都市以外の市町村に係るもの0.114
九 地方税減収補塡債償還費地方税の減収補塡のため平成15年度及び平成17年度から令和4年度までの各年度において特別に発行について同意又は許可を得た地方債の額種別補正
(1) 平成15年度減収補塡債1.000
(2) 平成17年度減収補塡債
ア 平成17年度市場公募都市に係るもの2.161
イ 平成17年度市場公募都市以外の市町村に係るもの0.000
(3) 平成18年度減収補塡債
ア 平成18年度市場公募都市に係るもの2.111
イ 平成18年度市場公募都市以外の市町村に係るもの0.000
(4) 平成19年度減収補塡債
ア 平成19年度市場公募都市に係るもの2.117
イ 平成19年度市場公募都市以外の市町村に係るもの0.000
(5) 平成20年度減収補塡債
ア 平成20年度市場公募都市に係るもの2.366
イ 平成20年度市場公募都市以外の市町村に係るもの3.306
(6) 平成21年度減収補塡債
ア 平成21年度市場公募都市に係るもの2.338
イ 平成21年度市場公募都市以外の市町村に係るもの3.297
(7) 平成22年度減収補塡債
ア 平成22年度市場公募都市に係るもの2.246
イ 平成22年度市場公募都市以外の市町村に係るもの3.320
(8) 平成23年度減収補塡債
ア 平成23年度市場公募都市に係るもの2.377
イ 平成23年度市場公募都市以外の市町村に係るもの3.343
(9) 平成24年度減収補塡債
ア 平成24年度市場公募都市に係るもの2.531
イ 平成24年度市場公募都市以外の市町村に係るもの3.486
(10) 平成25年度減収補塡債
ア 平成25年度市場公募都市に係るもの2.628
イ 平成25年度市場公募都市以外の市町村に係るもの3.511
(11) 平成26年度減収補塡債
ア 平成26年度市場公募都市に係るもの2.556
イ 平成26年度市場公募都市以外の市町村に係るもの3.461
(12) 平成27年度減収補塡債
ア 平成27年度市場公募都市に係るもの2.483
イ 平成27年度市場公募都市以外の市町村に係るもの3.394
(13) 平成28年度減収補塡債
ア 平成28年度市場公募都市に係るもの2.394
イ 平成28年度市場公募都市以外の市町村に係るもの3.356
(14) 平成29年度減収補塡債
ア 平成29年度市場公募都市に係るもの2.394
イ 平成29年度市場公募都市以外の市町村に係るもの3.361
(15) 平成30年度減収補塡債
ア 平成30年度市場公募都市に係るもの2.417
イ 平成30年度市場公募都市以外の市町村に係るもの3.369
(16) 令和元年度減収補塡債
ア 令和元年度市場公募都市に係るもの2.364
イ 令和元年度市場公募都市以外の市町村に係るもの3.338
(17) 令和2年度減収補塡債
ア 従来分並びに拡大分のうち地方消費税の引上げ分、地方揮発油譲与税及び航空機燃料譲与税に係るもの
(ア) 令和2年度市場公募都市に係るもの0.195
(イ) 令和2年度市場公募都市以外の市町村に係るもの0.165
イ ア以外のもの
(ア) 令和2年度市場公募都市に係るもの0.146
(イ) 令和2年度市場公募都市以外の市町村に係るもの0.124
(18) 令和3年度減収補塡債
ア 令和3年度市場公募都市に係るもの0.116
イ 令和3年度市場公募都市以外の市町村に係るもの0.144
(19) 令和4年度減収補塡債
ア 令和4年度市場公募都市に係るもの0.329
イ 令和4年度市場公募都市以外の市町村に係るもの0.378
十 財源対策債償還費平成13年度から令和4年度までの各年度の財源対策のため当該各年度において発行について同意又は許可を得た地方債の額種別補正
(1) 平成13年度財源対策債
義務教育施設の建設事業に係る経費に充てるため発行を許可されたもの1.641
(2) 平成14年度財源対策債
義務教育施設の建設事業に係る経費に充てるため発行を許可されたもの0.738
(3) 平成15年度財源対策債
ア 一般公共事業等に係る経費に充てるため発行を許可されたもの1.000
イ 義務教育施設の建設事業に係る経費に充てるため発行を許可されたもの0.582
(4) 平成16年度財源対策債
ア 一般公共事業等に係る経費に充てるため発行を許可されたもの0.965
イ 義務教育施設の建設事業に係る経費に充てるため発行を許可されたもの0.384
(5) 平成17年度財源対策債
ア 一般公共事業等に係る経費に充てるため発行を許可されたもの
(ア) 平成17年度市場公募都市に係るもの0.841
(イ) 平成17年度市場公募都市以外の市町村に係るもの0.609
イ 義務教育施設の建設事業に係る経費に充てるため発行を許可されたもの
(ア) 平成17年度市場公募都市に係るもの0.691
(イ) 平成17年度市場公募都市以外の市町村に係るもの0.371
(6) 平成18年度財源対策債
ア 一般公共事業等に係る経費に充てるため発行について同意又は許可を得たもの
(ア) 平成18年度市場公募都市に係るもの0.744
(イ) 平成18年度市場公募都市以外の市町村に係るもの0.412
イ 義務教育施設の建設事業に係る経費に充てるため発行について同意又は許可を得たもの
(ア) 平成18年度市場公募都市に係るもの0.703
(イ) 平成18年度市場公募都市以外の市町村に係るもの0.438
ウ 廃棄物処理施設の建設事業に係る経費に充てるため発行について同意又は許可を得たもの
(ア) 平成18年度市場公募都市に係るもの0.126
(イ) 平成18年度市場公募都市以外の市町村に係るもの0.000
(7) 平成19年度財源対策債
ア 一般公共事業等に係る経費に充てるため発行について同意又は許可を得たもの
(ア) 平成19年度市場公募都市に係るもの0.747
(イ) 平成19年度市場公募都市以外の市町村に係るもの0.418
イ 義務教育施設の建設事業に係る経費に充てるため発行について同意又は許可を得たもの
(ア) 平成19年度市場公募都市に係るもの0.706
(イ) 平成19年度市場公募都市以外の市町村に係るもの0.441
ウ 廃棄物処理施設の建設事業に係る経費に充てるため発行について同意又は許可を得たもの
(ア) 平成19年度市場公募都市に係るもの0.088
(イ) 平成19年度市場公募都市以外の市町村に係るもの0.000
(8) 平成20年度財源対策債
ア 一般公共事業等に係る経費に充てるため発行について同意又は許可を得たもの
(ア) 平成20年度市場公募都市に係るもの0.780
(イ) 平成20年度市場公募都市以外の市町村に係るもの0.929
イ 義務教育施設の建設事業に係る経費に充てるため発行について同意又は許可を得たもの
(ア) 平成20年度市場公募都市に係るもの0.721
(イ) 平成20年度市場公募都市以外の市町村に係るもの0.854
ウ 廃棄物処理施設の建設事業に係る経費に充てるため発行について同意又は許可を得たもの
(ア) 平成20年度市場公募都市に係るもの1.230
(イ) 平成20年度市場公募都市以外の市町村に係るもの1.269
(9) 平成21年度財源対策債
ア 一般公共事業等に係る経費に充てるため発行について同意又は許可を得たもの
(ア) 平成21年度市場公募都市に係るもの0.792
(イ) 平成21年度市場公募都市以外の市町村に係るもの0.931
イ 義務教育施設の建設事業に係る経費に充てるため発行について同意又は許可を得たもの
(ア) 平成21年度市場公募都市に係るもの0.725
(イ) 平成21年度市場公募都市以外の市町村に係るもの0.845
ウ 廃棄物処理施設の建設事業に係る経費に充てるため発行について同意又は許可を得たもの
(ア) 平成21年度市場公募都市に係るもの1.215
(イ) 平成21年度市場公募都市以外の市町村に係るもの1.256
(10) 平成22年度財源対策債
ア 一般公共事業等に係る経費に充てるため発行について同意又は許可を得たもの
(ア) 平成22年度市場公募都市に係るもの0.776
(イ) 平成22年度市場公募都市以外の市町村に係るもの0.918
イ 義務教育施設の建設事業に係る経費に充てるため発行について同意又は許可を得たもの
(ア) 平成22年度市場公募都市に係るもの0.704
(イ) 平成22年度市場公募都市以外の市町村に係るもの0.840
ウ 廃棄物処理施設の建設事業に係る経費に充てるため発行について同意又は許可を得たもの
(ア) 平成22年度市場公募都市に係るもの1.204
(イ) 平成22年度市場公募都市以外の市町村に係るもの1.249
(11) 平成23年度財源対策債
ア 公共事業等に係る経費に充てるため発行について同意又は許可を得たもの
(ア) 平成23年度市場公募都市に係るもの0.751
(イ) 平成23年度市場公募都市以外の市町村に係るもの0.912
イ 義務教育施設の建設事業に係る経費に充てるため発行について同意又は許可を得たもの
(ア) 平成23年度市場公募都市に係るもの0.708
(イ) 平成23年度市場公募都市以外の市町村に係るもの0.830
ウ 廃棄物処理施設の建設事業に係る経費に充てるため発行について同意又は許可を得たもの
(ア) 平成23年度市場公募都市に係るもの1.196
(イ) 平成23年度市場公募都市以外の市町村に係るもの1.236
(12) 平成24年度財源対策債
ア 公共事業等に係る経費に充てるため発行について同意又は許可を得たもの
(ア) 平成24年度市場公募都市に係るもの0.762
(イ) 平成24年度市場公募都市以外の市町村に係るもの0.929
イ 義務教育施設の建設事業に係る経費に充てるため発行について同意又は許可を得たもの
(ア) 平成24年度市場公募都市に係るもの0.735
(イ) 平成24年度市場公募都市以外の市町村に係るもの0.812
ウ 廃棄物処理施設の建設事業に係る経費に充てるため発行について同意又は許可を得たもの
(ア) 平成24年度市場公募都市に係るもの1.182
(イ) 平成24年度市場公募都市以外の市町村に係るもの1.223
(13) 平成25年度財源対策債
ア 公共事業等に係る経費に充てるため発行について同意又は許可を得たもの
(ア) 平成25年度市場公募都市に係るもの0.779
(イ) 平成25年度市場公募都市以外の市町村に係るもの0.935
イ 義務教育施設の建設事業に係る経費に充てるため発行について同意又は許可を得たもの
(ア) 平成25年度市場公募都市に係るもの0.747
(イ) 平成25年度市場公募都市以外の市町村に係るもの0.806
ウ 廃棄物処理施設の建設事業に係る経費に充てるため発行について同意又は許可を得たもの
(ア) 平成25年度市場公募都市に係るもの1.188
(イ) 平成25年度市場公募都市以外の市町村に係るもの1.224
(14) 平成26年度財源対策債
ア 公共事業等に係る経費に充てるため発行について同意又は許可を得たもの
(ア) 平成26年度市場公募都市に係るもの0.762
(イ) 平成26年度市場公募都市以外の市町村に係るもの0.921
イ 義務教育施設の建設事業に係る経費に充てるため発行について同意又は許可を得たもの
(ア) 平成26年度市場公募都市に係るもの0.732
(イ) 平成26年度市場公募都市以外の市町村に係るもの0.785
ウ 廃棄物処理施設の建設事業に係る経費に充てるため発行について同意又は許可を得たもの
(ア) 平成26年度市場公募都市に係るもの1.115
(イ) 平成26年度市場公募都市以外の市町村に係るもの1.176
(15) 平成27年度財源対策債
ア 公共事業等に係る経費に充てるため発行について同意又は許可を得たもの
(ア) 平成27年度市場公募都市に係るもの0.732
(イ) 平成27年度市場公募都市以外の市町村に係るもの0.891
イ 義務教育施設の建設事業に係る経費に充てるため発行について同意又は許可を得たもの
(ア) 平成27年度市場公募都市に係るもの0.676
(イ) 平成27年度市場公募都市以外の市町村に係るもの0.776
ウ 廃棄物処理施設の建設事業に係る経費に充てるため発行について同意又は許可を得たもの
(ア) 平成27年度市場公募都市に係るもの1.168
(イ) 平成27年度市場公募都市以外の市町村に係るもの1.194
(16) 平成28年度財源対策債
ア 公共事業等に係る経費に充てるため発行について同意又は許可を得たもの
(ア) 平成28年度市場公募都市に係るもの0.715
(イ) 平成28年度市場公募都市以外の市町村に係るもの0.888
イ 義務教育施設の建設事業に係る経費に充てるため発行について同意又は許可を得たもの
(ア) 平成28年度市場公募都市に係るもの0.679
(イ) 平成28年度市場公募都市以外の市町村に係るもの0.788
ウ 廃棄物処理施設の建設事業に係る経費に充てるため発行について同意又は許可を得たもの
(ア) 平成28年度市場公募都市に係るもの1.159
(イ) 平成28年度市場公募都市以外の市町村に係るもの1.194
(17) 平成29年度財源対策債
ア 公共事業等に係る経費に充てるため発行について同意又は許可を得たもの
(ア) 平成29年度市場公募都市に係るもの0.709
(イ) 平成29年度市場公募都市以外の市町村に係るもの0.891
イ 義務教育施設の建設事業に係る経費に充てるため発行について同意又は許可を得たもの
(ア) 平成29年度市場公募都市に係るもの0.676
(イ) 平成29年度市場公募都市以外の市町村に係るもの0.794
ウ 廃棄物処理施設の建設事業に係る経費に充てるため発行について同意又は許可を得たもの
(ア) 平成29年度市場公募都市に係るもの1.126
(イ) 平成29年度市場公募都市以外の市町村に係るもの1.176
(18) 平成30年度財源対策債
ア 公共事業等に係る経費に充てるため発行について同意又は許可を得たもの
(ア) 平成30年度市場公募都市に係るもの0.709
(イ) 平成30年度市場公募都市以外の市町村に係るもの0.890
イ 義務教育施設の建設事業に係る経費に充てるため発行について同意又は許可を得たもの
(ア) 平成30年度市場公募都市に係るもの0.671
(イ) 平成30年度市場公募都市以外の市町村に係るもの0.793
ウ 廃棄物処理施設の建設事業に係る経費に充てるため発行について同意又は許可を得たもの
(ア) 平成30年度市場公募都市に係るもの1.096
(イ) 平成30年度市場公募都市以外の市町村に係るもの1.154
(19) 令和元年度財源対策債
ア 公共事業等に係る経費に充てるため発行について同意又は許可を得たもの
(ア) 令和元年度市場公募都市に係るもの0.696
(イ) 令和元年度市場公募都市以外の市町村に係るもの0.883
イ 義務教育施設の建設事業に係る経費に充てるため発行について同意又は許可を得たもの
(ア) 令和元年度市場公募都市に係るもの0.660
(イ) 令和元年度市場公募都市以外の市町村に係るもの0.787
ウ 廃棄物処理施設の建設事業に係る経費に充てるため発行について同意又は許可を得たもの
(ア) 令和元年度市場公募都市に係るもの0.810
(イ) 令和元年度市場公募都市以外の市町村に係るもの0.881
(20) 令和2年度財源対策債
ア 公共事業等に係る経費に充てるため発行について同意又は許可を得たもの
(ア) 令和2年度市場公募都市に係るもの0.033
(イ) 令和2年度市場公募都市以外の市町村に係るもの0.034
イ 義務教育施設の建設事業に係る経費に充てるため発行について同意又は許可を得たもの
(ア) 令和2年度市場公募都市に係るもの0.044
(イ) 令和2年度市場公募都市以外の市町村に係るもの0.044
ウ 廃棄物処理施設の建設事業に係る経費に充てるため発行について同意又は許可を得たもの
(ア) 令和2年度市場公募都市に係るもの0.040
(イ) 令和2年度市場公募都市以外の市町村に係るもの0.040
(21) 令和3年度財源対策債
ア 公共事業等に係る経費に充てるため発行について同意又は許可を得たもの
(ア) 令和3年度市場公募都市に係るもの0.045
(イ) 令和3年度市場公募都市以外の市町村に係るもの0.050
イ 義務教育施設の建設事業に係る経費に充てるため発行について同意又は許可を得たもの
(ア) 令和3年度市場公募都市に係るもの0.066
(イ) 令和3年度市場公募都市以外の市町村に係るもの0.069
ウ 廃棄物処理施設の建設事業に係る経費に充てるため発行について同意又は許可を得たもの
(ア) 令和3年度市場公募都市に係るもの0.063
(イ) 令和3年度市場公募都市以外の市町村に係るもの0.065
(22) 令和4年度財源対策債
ア 公共事業等に係る経費に充てるため発行について同意又は許可を得たもの
(ア) 令和4年度市場公募都市に係るもの0.101
(イ) 令和4年度市場公募都市以外の市町村に係るもの0.110
イ 義務教育施設の建設事業に係る経費に充てるため発行について同意又は許可を得たもの
(ア) 令和4年度市場公募都市に係るもの0.134
(イ) 令和4年度市場公募都市以外の市町村に係るもの0.139
ウ 廃棄物処理施設の建設事業に係る経費に充てるため発行について同意又は許可を得たもの
(ア) 令和4年度市場公募都市に係るもの0.125
(イ) 令和4年度市場公募都市以外の市町村に係るもの0.127
十一 減税補塡債償還費個人の市町村民税に係る特別減税等による平成6年度から平成8年度まで及び平成15年度から平成18年度までの各年度の減収を補塡するため当該各年度において特別に起こすことができることとされた地方債の額種別補正
(1) 平成6年度減税補塡債0.840
(2) 平成7年度減税補塡債0.840
(3) 平成8年度減税補塡債1.682
(4) 平成15年度減税補塡債
ア 平成15年度市場公募都市に係るもの1.000
イ 平成15年度市場公募都市以外の市町村に係るもの1.053
(5) 平成16年度減税補塡債
ア 平成16年度市場公募都市に係るもの1.012
イ 平成16年度市場公募都市以外の市町村に係るもの1.032
(6) 平成17年度減税補塡債
ア 平成17年度市場公募都市に係るもの0.648
イ 平成17年度市場公募都市以外の市町村に係るもの1.020
(7) 平成18年度減税補塡債
ア 平成18年度市場公募都市に係るもの0.633
イ 平成18年度市場公募都市以外の市町村に係るもの0.987
十二 臨時財政対策債償還費臨時財政対策のため平成15年度から令和4年度までの各年度において特別に起こすことができることとされた地方債の額種別補正
(1) 平成15年度臨時財政対策債
ア 平成15年度市場公募都市に係るもの1.000
イ 平成15年度市場公募都市以外の市町村に係るもの0.735
(2) 平成16年度臨時財政対策債
ア 平成16年度市場公募都市に係るもの1.012
イ 平成16年度市場公募都市以外の市町村に係るもの0.813
(3) 平成17年度臨時財政対策債
ア 平成17年度市場公募都市に係るもの0.648
イ 平成17年度市場公募都市以外の市町村に係るもの0.857
(4) 平成18年度臨時財政対策債
ア 平成18年度市場公募都市に係るもの0.633
イ 平成18年度市場公募都市以外の市町村に係るもの0.773
(5) 平成19年度臨時財政対策債
ア 平成19年度市場公募都市に係るもの0.635
イ 平成19年度市場公募都市以外の市町村に係るもの0.785
(6) 平成20年度臨時財政対策債
ア 平成20年度市場公募都市に係るもの0.710
イ 平成20年度市場公募都市以外の市町村に係るもの1.022
(7) 平成21年度臨時財政対策債
ア 平成21年度市場公募都市に係るもの0.739
イ 平成21年度市場公募都市以外の市町村に係るもの1.032
(8) 平成22年度臨時財政対策債
ア 平成22年度市場公募都市に係るもの0.762
イ 平成22年度市場公募都市以外の市町村に係るもの1.042
(9) 平成23年度臨時財政対策債
ア 平成23年度市場公募都市に係るもの0.780
イ 平成23年度市場公募都市以外の市町村に係るもの1.019
(10) 平成24年度臨時財政対策債
ア 平成24年度市場公募都市に係るもの0.822
イ 平成24年度市場公募都市以外の市町村に係るもの1.033
(11) 平成25年度臨時財政対策債
ア 平成25年度市場公募都市に係るもの0.835
イ 平成25年度市場公募都市以外の市町村に係るもの1.037
(12) 平成26年度臨時財政対策債
ア 平成26年度市場公募都市に係るもの0.773
イ 平成26年度市場公募都市以外の市町村に係るもの1.025
(13) 平成27年度臨時財政対策債
ア 平成27年度市場公募都市に係るもの0.730
イ 平成27年度市場公募都市以外の市町村に係るもの0.995
(14) 平成28年度臨時財政対策債
ア 平成28年度市場公募都市に係るもの0.717
イ 平成28年度市場公募都市以外の市町村に係るもの0.987
(15) 平成29年度臨時財政対策債
ア 平成29年度市場公募都市に係るもの0.718
イ 平成29年度市場公募都市以外の市町村に係るもの0.985
(16) 平成30年度臨時財政対策債
ア 平成30年度市場公募都市に係るもの0.723
イ 平成30年度市場公募都市以外の市町村に係るもの0.984
(17) 令和元年度臨時財政対策債
ア 令和元年度市場公募都市に係るもの0.703
イ 令和元年度市場公募都市以外の市町村に係るもの0.983
(18) 令和2年度臨時財政対策債
ア 令和2年度市場公募都市に係るもの0.032
イ 令和2年度市場公募都市以外の市町村に係るもの0.013
(19) 令和3年度臨時財政対策債
ア 令和3年度市場公募都市に係るもの0.026
イ 令和3年度市場公募都市以外の市町村に係るもの0.030
(20) 令和4年度臨時財政対策債
ア 令和4年度市場公募都市に係るもの0.098
イ 令和4年度市場公募都市以外の市町村に係るもの0.093
十三 東日本大震災全国緊急防災施策等債償還費平成25年度から令和4年度までの各年度において東日本大震災全国緊急防災施策等に要する費用に充てるため発行について同意又は許可を得た地方債の額種別補正
(1) 平成25年度東日本大震災全国緊急防災施策等債償還費
ア 全国防災事業債分
(ア) 平成25年度市場公募都市に係るもの1.000
(イ) 平成25年度市場公募都市以外の市町村に係るもの1.004
イ 緊急防災・減災事業債分
(ア) 平成25年度市場公募都市に係るもの0.756
(イ) 平成25年度市場公募都市以外の市町村に係るもの0.894
(2) 平成26年度東日本大震災全国緊急防災施策等債償還費
ア 全国防災事業債分
(ア) 平成26年度市場公募都市に係るもの0.988
(イ) 平成26年度市場公募都市以外の市町村に係るもの0.988
イ 緊急防災・減災事業債分
(ア) 平成26年度市場公募都市に係るもの0.735
(イ) 平成26年度市場公募都市以外の市町村に係るもの0.879
(3) 平成27年度東日本大震災全国緊急防災施策等債償還費
ア 全国防災事業債分
(ア) 平成27年度市場公募都市に係るもの0.942
(イ) 平成27年度市場公募都市以外の市町村に係るもの0.942
イ 緊急防災・減災事業債分
(ア) 平成27年度市場公募都市に係るもの0.712
(イ) 平成27年度市場公募都市以外の市町村に係るもの0.856
(4) 平成28年度東日本大震災全国緊急防災施策等債償還費
緊急防災・減災事業債分
ア 平成28年度市場公募都市に係るもの0.698
イ 平成28年度市場公募都市以外の市町村に係るもの0.854
(5) 平成29年度東日本大震災全国緊急防災施策等債償還費
緊急防災・減災事業債分
ア 平成29年度市場公募都市に係るもの0.696
イ 平成29年度市場公募都市以外の市町村に係るもの0.852
(6) 平成30年度東日本大震災全国緊急防災施策等債償還費
緊急防災・減災事業債分
ア 平成30年度市場公募都市に係るもの0.398
イ 平成30年度市場公募都市以外の市町村に係るもの0.551
(7) 令和元年度東日本大震災全国緊急防災施策等債償還費
緊急防災・減災事業債分
ア 令和元年度市場公募都市に係るもの0.394
イ 令和元年度市場公募都市以外の市町村に係るもの0.551
(8) 令和2年度東日本大震災全国緊急防災施策等債償還費
緊急防災・減災事業債分
ア 令和2年度市場公募都市に係るもの0.040
イ 令和2年度市場公募都市以外の市町村に係るもの0.041
(9) 令和3年度東日本大震災全国緊急防災施策等債償還費
緊急防災・減災事業債分
ア 令和3年度市場公募都市に係るもの0.053
イ 令和3年度市場公募都市以外の市町村に係るもの0.057
(10) 令和4年度東日本大震災全国緊急防災施策等債償還費
緊急防災・減災事業債分
ア 令和4年度市場公募都市に係るもの0.107
イ 令和4年度市場公募都市以外の市町村に係るもの0.115
十四 国土強靱化施策債償還費令和元年度から令和4年度までの各年度において国土強靱化施策等に要する費用に充てるため発行について同意又は許可を得た地方債の額種別補正
令和元年度国土強靱化施策債
(1) 防災・減災・国土強靱化緊急対策事業債償還費
ア 市町村60.0%分
(ア) 令和元年度市場公募都市に係るもの1.000
(イ) 令和元年度市場公募都市以外の市町村に係るもの1.191
イ 市町村50.0%分
(ア) 令和元年度市場公募都市に係るもの0.831
(イ) 令和元年度市場公募都市以外の市町村に係るもの0.993
(2) 緊急自然災害防止対策事業債償還費
ア 令和元年度市場公募都市に係るもの0.759
イ 令和元年度市場公募都市以外の市町村に係るもの1.060
令和2年度国土強靱化施策債
(1) 防災・減災・国土強靱化緊急対策事業債償還費
ア 市町村60.0%分
(ア) 令和2年度市場公募都市に係るもの0.068
(イ) 令和2年度市場公募都市以外の市町村に係るもの0.069
イ 市町村50.0%分
(ア) 令和2年度市場公募都市に係るもの0.057
(イ) 令和2年度市場公募都市以外の市町村に係るもの0.057
(2) 緊急自然災害防止対策事業債償還費
ア 令和2年度市場公募都市に係るもの0.076
イ 令和2年度市場公募都市以外の市町村に係るもの0.078
令和3年度国土強靱化施策債
(1) 防災・減災・国土強靱化緊急対策事業債償還費
ア 市町村60.0%分
(ア) 令和3年度市場公募都市に係るもの0.046
(イ) 令和3年度市場公募都市以外の市町村に係るもの0.144
イ 市町村50.0%分
(ア) 令和3年度市場公募都市に係るもの0.039
(イ) 令和3年度市場公募都市以外の市町村に係るもの0.120
(2) 緊急自然災害防止対策事業債償還費
ア 令和3年度市場公募都市に係るもの0.114
イ 令和3年度市場公募都市以外の市町村に係るもの0.121
令和4年度国土強靱化施策債
(1) 防災・減災・国土強靱化緊急対策事業債償還費
ア 市町村60.0%分
(ア) 令和4年度市場公募都市に係るもの0.241
(イ) 令和4年度市場公募都市以外の市町村に係るもの0.241
イ 市町村50.0%分
(ア) 令和4年度市場公募都市に係るもの0.201
(イ) 令和4年度市場公募都市以外の市町村に係るもの0.201
(2) 緊急自然災害防止対策事業債償還費
ア 令和4年度市場公募都市に係るもの0.221
イ 令和4年度市場公募都市以外の市町村に係るもの0.234
(3) 補正係数の連乗又は加算の方法
経費の種類測定単位補正率等
地方団体の種類経費の種類測定単位補正係数の連乗又は加算の方法
都道府県一 土木費1 道路橋りよう費道路の面積
密度補正係数×普通態容補正係数+(寒冷補正係数-1)
道路の延長
投資補正係数+(事業費補正係数-1)+(寒冷補正係数-1)
2 港湾費漁港における外郭施設の延長
投資補正係数+(事業費補正係数-1)
3 その他の土木費人口
段階補正係数×密度補正Ⅰ係数+(密度補正Ⅱ係数-1)
二 教育費1 小学校費教職員数
普通態容補正係数×寒冷補正係数+(経常態容補正係数-1)
2 中学校費教職員数
普通態容補正係数×寒冷補正係数+(密度補正係数-1)+(経常態容補正係数-1)
3 高等学校費教職員数
普通態容補正係数×寒冷補正係数
生徒数
投資補正係数+(事業費補正係数-1)
4 特別支援学校費教職員数
経常態容補正係数×寒冷補正係数
5 その他の教育費人口
段階補正係数×密度補正係数×普通態容補正係数+密度補正Ⅱ係数
三 厚生労働費1 生活保護費町村部人口
寒冷補正係数+(密度補正係数-1)
2 社会福祉費人口
段階補正係数×普通態容補正係数+(密度補正係数-1)+(事業費補正係数-1)
3 衛生費人口
段階補正係数×密度補正Ⅰ係数×普通態容補正係数+(密度補正Ⅱ係数-1)+(密度補正Ⅲ係数-1)
4 高齢者保健福祉費六十五歳以上人口
段階補正係数×普通態容補正係数+(密度補正係数-1)+(事業費補正係数-1)
七十五歳以上人口
1+(密度補正係数-1)+(七十五歳以上人口急増補正Ⅰ係数-1)
四 産業経済費1 農業行政費農家数
段階補正係数×密度補正Ⅰ係数+(密度補正Ⅱ係数-1)+(密度補正Ⅲ係数-1)+(密度補正Ⅳ係数-1)+(事業費補正係数-1)+(農家数急減補正係数-1)
2 林野行政費公有以外の林野の面積
段階補正係数+(密度補正係数-1)+(事業費補正係数-1)
3 水産行政費水産業者数
段階補正係数+(水産業者数急減補正係数-1)
4 商工行政費人口
段階補正係数×普通態容補正係数
五 総務費1 地域振興費人口
(段階補正Ⅰ係数×(普通態容補正Ⅰ係数+寒冷補正係数))×0.5615+(普通態容補正Ⅱ係数-1)+(密度補正Ⅰ係数-1)+(投資補正係数-1)+(事業費補正係数-1)+(人口急減補正係数-1)+段階補正Ⅱ係数×0.4385
市町村一 消防費人口
段階補正係数×密度補正Ⅰ係数×普通態容補正係数+(密度補正Ⅱ係数-1)+(密度補正Ⅲ係数-1)+経常態容補正係数+(事業費補正係数-1)
二 土木費1 道路橋りよう費道路の面積
普通態容補正係数+(寒冷補正係数-1)
道路の延長
普通態容補正係数×投資補正係数+(事業費補正係数-1)+(寒冷補正係数-1)
2 港湾費港湾における係留施設の延長
普通態容補正係数×寒冷補正係数
漁港における係留施設の延長
普通態容補正係数×寒冷補正係数
3 都市計画費都市計画区域における人口
普通態容補正係数+(事業費補正係数-1)
4 公園費人口
普通態容補正係数+(事業費補正係数-1)
5 下水道費人口
普通態容補正係数+(密度補正係数-1)+(投資補正係数-1)+(事業費補正係数-1)
6 その他の土木費人口
段階補正係数×普通態容補正係数+(密度補正係数-1)+(事業費補正係数-1)
三 教育費1 小学校費学級数
普通態容補正係数×寒冷補正係数×学級数急減補正係数+(事業費補正係数-1)
2 中学校費学級数
普通態容補正係数×寒冷補正係数×学級数急減補正係数+(事業費補正係数-1)
3 高等学校費教職員数
普通態容補正Ⅰ係数×普通態容補正Ⅱ係数×寒冷補正係数
生徒数
普通態容補正係数×寒冷補正係数+(事業費補正係数-1)
4 その他の教育費人口
段階補正係数×(密度補正Ⅰ係数+密度補正Ⅳ係数-1)×普通態容補正Ⅰ係数+(密度補正Ⅱ係数-1)+(密度補正Ⅲ係数-1)+(投資補正Ⅱ係数-1)+(普通態容補正Ⅱ係数-1)
四 厚生費1 生活保護費市部人口
段階補正係数×普通態容補正係数×{(寒冷補正Ⅰ係数+寒冷補正Ⅱ係数)-1}+(密度補正係数-1)
2 社会福祉費人口
段階補正係数×普通態容補正Ⅰ係数+(密度補正係数-1)+(事業費補正係数-1)+(普通態容補正Ⅱ係数-1)
3 保健衛生費人口
段階補正係数×普通態容補正係数+(密度補正Ⅰ係数-1)+(密度補正Ⅱ係数-1)+(経常態容補正係数Ⅰ-1)+経常態容補正係数Ⅱ
4 高齢者保健福祉費六十五歳以上人口
段階補正係数×普通態容補正係数+(密度補正係数-1)+(事業費補正係数-1)+(六十五歳以上人口急増補正Ⅰ係数-1)
七十五歳以上人口
1+(密度補正係数-1)+(七十五歳以上人口急増補正Ⅰ係数-1)
5 清掃費人口
普通態容補正係数×密度補正Ⅰ係数+(密度補正Ⅱ係数-1)+(事業費補正係数-1)
五 産業経済費1 農業行政費農家数
段階補正係数×(普通態容補正Ⅰ係数×普通態容補正Ⅱ係数)×寒冷補正係数+(密度補正Ⅰ係数-1)+(密度補正Ⅱ係数-1)+(事業費補正係数-1)+(農家数急減補正係数-1)
2 林野水産行政費林業及び水産業の従業者数人口
普通態容補正Ⅰ係数×普通態容補正Ⅱ係数×経常態容補正係数×寒冷補正係数+(密度補正Ⅰ係数-1)+(密度補正Ⅱ係数-1)+(密度補正Ⅲ係数-1)+(事業費補正係数-1)+(従業者数急減補正係数-1)
3 商工行政費人口
段階補正係数×普通態容補正係数
六 総務費1 徴税費世帯数
段階補正係数×密度補正係数×普通態容補正係数
2 戸籍住民基本台帳費戸籍数
段階補正係数×密度補正係数×普通態容補正係数
世帯数
段階補正係数×密度補正係数×普通態容補正係数
3 地域振興費人口
(段階補正Ⅰ係数×普通態容補正Ⅰ係数)×0.7953+(密度補正Ⅰ係数-1)+(密度補正Ⅲ係数-1)+(普通態容補正Ⅱ係数)+(普通態容補正Ⅲ係数-1)+経常態容補正係数+(投資補正係数-1)+(事業費補正係数-1)+(寒冷補正係数-1)+(人口急増補正係数-1)+(人口急減補正係数-1)+段階補正Ⅱ係数×0.1544+段階補正Ⅲ係数×密度補正Ⅱ係数×0.0503
面積
普通態容補正係数×寒冷補正係数+(投資補正Ⅱ係数-1)+(事業費補正係数-1)
(4) 個別算定経費以外のもののうち都道府県分
測定単位補正率
人口段階補正
測定単位の数値が1,700,000人以上のもの
1,700,000人1.00
1,700,000人を超え2,100,000人までの数0.57
2,100,000人を超え2,500,000人までの数0.66
2,500,000人を超え3,500,000人までの数0.24
3,500,000人を超え5,000,000人までの数0.45
5,000,000人を超え6,000,000人までの数0.33
6,000,000人を超える数0.27
測定単位の数値が1,700,000人に満たないもの
その団体の数値1.00
1,700,000人に満たない数が300,000人までの数0.88
同上300,000人を超え600,000人までの数0.97
同上600,000人を超え900,000人までの数0.95
同上900,000人を超える数0.94
面積種別補正
宅地1.00
耕地2.87
林野0.60
その他0.59
(5) 個別算定経費以外のもののうち市町村分
測定単位補正率
人口段階補正
測定単位の数値が100,000人以上のもの
100,000人1.00
100,000人を超え250,000人までの数0.72
250,000人を超え400,000人までの数0.64
400,000人を超え1,000,000人までの数0.61
1,000,000人を超える数0.57
測定単位の数値が100,000人に満たないもの
その団体の数値1.00
100,000人に満たない数が70,000人までの数0.14
同上70,000人を超え80,000人までの数-0.05
同上80,000人を超え88,000人までの数0.23
同上88,000人を超え92,000人までの数0.23
同上92,000人を超え96,000人までの数-0.33
同上96,000人を超え98,000人までの数-1.62
同上98,000人を超え99,500人までの数-2.16
同上99,500人を超える数-2.87
面積種別補正
宅地1.00
田畑0.90
森林0.25
その他0.19
別表第二
(1) 段階補正係数及び普通態容補正係数に用いる数値の補正率(第8条、第10条関係)
経費の種類地域区分率
その他の教育費のうち人口を測定単位とするもの指定都市の区域0.942
中核市の区域0.972
その他の区域1.000
社会福祉費指定都市の区域0.800
児童相談所設置中核市の区域0.807
中核市の区域0.968
福祉事務所設置町村の区域0.997
その他の区域1.000
衛生費指定都市の区域0.713
中核市の区域0.880
特別区及び保健所設置市の区域0.886
その他の区域1.000
高齢者保健福祉費のうち六十五歳以上人口を測定単位とするもの指定都市の区域0.961
中核市の区域0.962
その他の区域1.000
商工行政費中小企業支援市の区域0.981
その他の区域1.000
(2) 段階補正係数に係る率(第8条関係)
経費の種類測定単位率
消防費人口3.045
その他の土木費人口3.000
その他の教育費人口2.090
社会福祉費人口1.395
保健衛生費人口3.010
高齢者保健福祉費六十五歳以上人口1.601
農業行政費農家数2.860
商工行政費人口3.555
徴税費世帯数4.584
戸籍住民基本台帳費戸籍数1.598
世帯数3.852
別表第二の二
被生活保護者数に係る率(第9条関係)
区分率
生活保護生活扶助0.0881
住宅扶助0.0531
教育扶助0.0136
医療扶助(入院)1.4277
医療扶助(入院外)0.0742
介護扶助0.0374
その他の扶助0.0603
別表第二の三
被生活保護者数に係る率(第9条関係)
区分率
生活保護生活扶助0.0833
住宅扶助0.0503
教育扶助0.0137
医療扶助(入院)1.4327
医療扶助(入院外)0.0772
介護扶助0.0369
その他の扶助0.0538
別表第二の四
被生活保護者数に係る率(第9条関係)
区分率
生活保護生活扶助0.0877
住宅扶助0.0532
教育扶助0.0138
医療扶助(入院)1.4612
医療扶助(入院外)0.0757
介護扶助0.0380
その他の扶助0.0582
別表第二の五
被生活保護者数に係る率(第9条関係)
都道府県率
北海道0.888
青森0.886
岩手0.887
宮城0.897
秋田0.886
山形0.886
福島0.886
茨城0.899
栃木0.893
群馬0.896
埼玉0.923
千葉0.921
東京1.018
神奈川0.922
新潟0.891
富山0.891
石川0.894
福井0.888
山梨0.887
長野0.887
岐阜0.897
静岡0.901
愛知0.926
三重0.903
滋賀0.892
京都0.925
大阪0.946
兵庫0.912
奈良0.942
和歌山0.885
鳥取0.895
島根0.896
岡山0.889
広島0.912
山口0.904
徳島0.887
香川0.887
愛媛0.888
高知0.886
福岡0.904
佐賀0.895
長崎0.888
熊本0.891
大分0.894
宮崎0.886
鹿児島0.886
沖縄0.897
別表第三 削除
別表第三の二 削除
別表第三の三
市町村分の「その他の土木費」の普通態容補正のうち建築主事を置くことに伴う権能差補正の適用を受ける市町村(第11条関係)
都道府県名建築主事設置市限定特定行政庁設置市町村
北海道小樽市 室蘭市 釧路市 帯広市 北見市 苫小牧市 江別市岩見沢市 網走市 留萌市 稚内市 美唄市 芦別市 赤平市 紋別市 士別市 名寄市 三笠市 根室市 千歳市 砂川市 深川市 富良野市 登別市 恵庭市 伊達市 北広島市 石狩市 北斗市 当別町 長沼町 上富良野町 美幌町 遠軽町 白老町 音更町 芽室町 幕別町 中標津町 東神楽町
青森県弘前市
岩手県 宮古市 花巻市 北上市 一関市 釜石市 奥州市
宮城県石巻市 塩竃市 大崎市
秋田県横手市大館市 大仙市
山形県 米沢市 鶴岡市 酒田市 天童市
福島県 会津若松市 須賀川市
茨城県日立市 土浦市 古河市 高萩市 北茨城市 取手市 ひたちなか市
栃木県足利市 栃木市 佐野市 鹿沼市 小山市 那須塩原市 日光市 大田原市
群馬県桐生市 館林市渋川市 藤岡市 富岡市 安中市 沼田市 みどり市
埼玉県狭山市 上尾市 新座市 久喜市行田市 秩父市 飯能市 加須市 本庄市 東松山市 羽生市 鴻巣市 深谷市 蕨市 戸田市 入間市 朝霞市 志木市 和光市 桶川市 北本市 八潮市 富士見市 三郷市 蓮田市 坂戸市 幸手市 鶴ヶ島市 日高市 吉川市 ふじみ野市 白岡市 杉戸町 松伏町
千葉県市川市 木更津市 松戸市 成田市 佐倉市 習志野市 市原市 流山市 八千代市 我孫子市 浦安市野田市 茂原市 鎌ヶ谷市 君津市 四街道市 印西市 白井市
東京都立川市 武蔵野市 三鷹市 府中市 調布市 町田市 日野市 国分寺市 西東京市 小平市
神奈川県鎌倉市 藤沢市 秦野市
新潟県三条市 柏崎市 新発田市
富山県高岡市
石川県七尾市 小松市 加賀市 白山市 野々市市能美市
長野県上田市岡谷市 飯田市 諏訪市 塩尻市
岐阜県大垣市 各務原市高山市 多治見市 可児市
静岡県富士宮市 焼津市三島市 伊東市 島田市 磐田市 掛川市 藤枝市 御殿場市 袋井市 裾野市 湖西市
愛知県 瀬戸市 半田市 豊川市 刈谷市 安城市 西尾市 江南市 小牧市 稲沢市 東海市 大府市
三重県津市 松阪市 桑名市 鈴鹿市名張市 伊賀市 亀山市
滋賀県彦根市 長浜市 近江八幡市 草津市 守山市 東近江市
京都府宇治市
大阪府池田市 守口市 和泉市 箕面市 羽曳野市 門真市
兵庫県芦屋市 伊丹市 高砂市 川西市 三田市
奈良県橿原市 生駒市
鳥取県米子市 倉吉市境港市
島根県出雲市浜田市 益田市 大田市 安来市 雲南市 江津市
岡山県津山市 玉野市 総社市 新見市 笠岡市
広島県三原市 尾道市 東広島市 廿日市市三次市
山口県宇部市 山口市 周南市 萩市 防府市 岩国市長門市 山陽小野田市
徳島県徳島市
愛媛県今治市 新居浜市 西条市宇和島市
福岡県大牟田市
長崎県 島原市 平戸市 松浦市 五島市 大村市
熊本県八代市 天草市
大分県別府市 中津市 日田市 佐伯市 宇佐市
宮崎県都城市 延岡市 日向市
鹿児島県 鹿屋市 薩摩川内市 霧島市
沖縄県宜野湾市 浦添市 沖縄市 うるま市
別表第三の四
普通態容補正の地域手当の級地(第十一条第一項第六号)
都道府県級地市町村(市町村は当該年度の四月一日現在による。)
北海道七級地札幌市
宮城県五級地多賀城市
六級地仙台市 富谷市
七級地名取市 利府町
茨城県二級地取手市 つくば市
三級地守谷市
四級地牛久市
五級地水戸市 日立市 土浦市 龍ケ崎市
六級地古河市 ひたちなか市 神栖市 つくばみらい市 利根町
七級地結城市 笠間市 鹿嶋市 那珂市 筑西市
栃木県六級地宇都宮市 大田原市 下野市 野木町
七級地栃木市 鹿沼市 小山市 真岡市
群馬県六級地高崎市
七級地前橋市 太田市 渋川市
埼玉県二級地和光市
三級地さいたま市 蕨市 志木市
四級地東松山市 狭山市 朝霞市 ふじみ野市
五級地新座市 桶川市 富士見市 坂戸市 鶴ヶ島市
六級地川越市 川口市 行田市 所沢市 飯能市 加須市 春日部市 羽生市 鴻巣市 深谷市 上尾市 草加市 越谷市 戸田市 入間市 久喜市 北本市 八潮市 三郷市 蓮田市 幸手市 吉川市 白岡市 伊奈町 三芳町 滑川町 鳩山町 宮代町 杉戸町 松伏町
七級地熊谷市 日高市 毛呂山町
千葉県二級地我孫子市 袖ケ浦市 印西市
三級地千葉市 成田市 習志野市
四級地船橋市 浦安市
五級地市川市 松戸市 佐倉市 市原市 八千代市 富津市 四街道市
六級地野田市 茂原市 東金市 柏市 流山市 鎌ケ谷市 白井市 大網白里市 酒々井町 栄町
七級地木更津市 君津市 八街市 山武市 長柄町
東京都一級地特別区
二級地武蔵野市 調布市 町田市 小平市 日野市 国分寺市 狛江市 清瀬市 多摩市
三級地八王子市 青梅市 府中市 昭島市 小金井市 東村山市 国立市 福生市 稲城市 西東京市
四級地立川市 東大和市
五級地三鷹市 あきる野市
六級地東久留米市 羽村市
七級地武蔵村山市
神奈川県二級地横浜市 川崎市 厚木市
三級地鎌倉市 逗子市
四級地相模原市 藤沢市 海老名市 座間市
五級地横須賀市 平塚市 小田原市 茅ヶ崎市 大和市 伊勢原市
六級地三浦市 秦野市 綾瀬市 葉山町 大磯町 二宮町
新潟県七級地新潟市
富山県七級地富山市 舟橋村
石川県七級地金沢市 内灘町
福井県七級地福井市
山梨県六級地甲府市
七級地南アルプス市 上野原市
長野県六級地塩尻市
七級地長野市 松本市 諏訪市 伊那市
岐阜県六級地岐阜市
七級地大垣市 多治見市 美濃加茂市 各務原市 可児市 瑞穂市
静岡県三級地裾野市
六級地静岡市 沼津市 磐田市 御殿場市
七級地浜松市 三島市 富士宮市 富士市 焼津市 掛川市 藤枝市 袋井市
愛知県二級地刈谷市 豊田市 日進市
三級地名古屋市 豊明市
五級地西尾市 知多市 知立市 清須市 みよし市 長久手市
六級地岡崎市 瀬戸市 春日井市 豊川市 津島市 碧南市 安城市 犬山市 江南市 稲沢市 東海市 大府市 尾張旭市 岩倉市 田原市 愛西市 北名古屋市 弥富市 あま市 東郷町 豊山町 大治町 蟹江町
七級地豊橋市 一宮市 半田市 常滑市 小牧市 大口町 扶桑町 飛島村 阿久比町 東浦町
三重県四級地鈴鹿市
五級地四日市市
六級地津市 桑名市 亀山市
七級地名張市 伊賀市 木曽岬町 東員町 菰野町 朝日町
滋賀県五級地大津市 草津市 栗東市
六級地彦根市 守山市 甲賀市
七級地長浜市 湖南市 東近江市
京都府二級地長岡京市
四級地京田辺市
五級地京都市
六級地宇治市 亀岡市 向日市 八幡市 木津川市 精華町
七級地城陽市 大山崎町
大阪府二級地大阪市 守口市
三級地池田市 高槻市 大東市 門真市 高石市 大阪狭山市
四級地豊中市 吹田市 寝屋川市 松原市 箕面市 羽曳野市
五級地堺市 枚方市 茨木市 八尾市 柏原市 東大阪市 交野市
六級地岸和田市 泉大津市 貝塚市 泉佐野市 富田林市 河内長野市 和泉市 摂津市 藤井寺市 泉南市 四條畷市 阪南市 島本町 豊能町 忠岡町 熊取町 田尻町 岬町 太子町 河南町 千早赤阪村
兵庫県三級地西宮市 芦屋市 宝塚市
四級地神戸市
五級地尼崎市 伊丹市 高砂市 川西市 三田市
六級地明石市 赤穂市 猪名川町
七級地姫路市 加古川市 三木市
奈良県四級地天理市
五級地奈良市 大和郡山市
六級地大和高田市 橿原市 生駒市 香芝市 葛城市 平群町 三郷町 斑鳩町 安堵町 上牧町 王寺町 広陵町 河合町
七級地桜井市 御所市 宇陀市 川西町 三宅町 田原本町
和歌山県六級地和歌山市 橋本市
岡山県七級地岡山市
広島県五級地広島市
六級地府中町
七級地三原市 東広島市 廿日市市 海田町 坂町
山口県七級地周南市
徳島県七級地徳島市 鳴門市 阿南市
香川県六級地高松市
七級地坂出市 三木町
福岡県五級地福岡市 春日市 福津市
六級地大野城市 太宰府市 糸島市 那珂川市 志免町 新宮町 粕屋町
七級地北九州市 筑紫野市 古賀市 宇美町 篠栗町 須恵町 久山町
長崎県七級地長崎市
別表第三の五
「下水道費」の投資補正中有収水量一立方メートル当たりの算定対象資本費に係る乗率(第12条関係)
(1) 法適用事業分及び統合前法適用事業分
有収水量一立方メートル当たりの算定対象資本費の段階乗率
72未満0.80
72以上144未満0.85
144以上0.95
(2) 法非適用事業分及び統合前法非適用事業分
有収水量一立方メートル当たりの算定対象資本費の段階乗率
72未満0.80
72以上288未満0.85
288以上0.95
別表第三の六
都道府県の「道路橋りよう費」の投資補正に係る指定都市を包括する道府県ごとの乗率(第12条関係)
都道府県乗率
北海道1.011
宮城1.051
埼玉1.042
千葉1.022
神奈川1.257
新潟1.056
静岡1.221
愛知1.038
京都1.113
大阪1.132
兵庫1.037
岡山1.084
広島1.056
福岡1.088
熊本1.052
別表第三の七 削除
別表第三の八
(1) 都道府県の「地域振興費」の投資補正に係る空港関係地方団体ごとの乗率(第12条関係)
空港関係都道府県乗率
北海道0.14717
青森0.23943
岩手0.14212
宮城0.02803
秋田0.34822
山形0.21456
福島0.02680
茨城0.00095
千葉0.01881
東京0.02883
新潟0.00520
富山0.10004
石川0.04974
福井0.00233
長野0.04948
静岡0.03524
愛知0.05321
大阪0.17275
兵庫0.18816
和歌山0.07747
鳥取0.14236
島根0.79694
岡山0.15936
広島0.01604
山口0.08636
徳島0.00445
香川0.04054
愛媛0.29259
高知0.02773
福岡0.59561
佐賀0.07052
長崎0.04842
熊本0.03899
大分0.01383
宮崎0.49771
鹿児島0.16900
沖縄0.71033
(2) 市町村の「地域振興費」の投資補正に係る空港関係地方団体ごとの乗率(第12条関係)
都道府県空港関係市町村乗率
北海道札幌市0.00063
函館市0.19308
旭川市1.10039
釧路市0.21199
帯広市2.58740
苫小牧市0.83160
稚内市0.21103
紋別市0.11639
千歳市6.69522
奥尻町0.13718
東神楽町4.47531
礼文町0.00000
利尻富士町0.86290
美幌町0.01231
大空町8.77032
白糠町1.50657
中標津町0.24663
青森県青森市0.25790
三沢市0.06753
岩手県花巻市0.50473
宮城県名取市1.22800
岩沼市1.88097
秋田県秋田市0.20629
北秋田市0.45226
山形県鶴岡市0.01532
酒田市0.19128
天童市0.00219
東根市0.79030
福島県須賀川市0.08837
玉川村1.30885
茨城県小美玉市0.15259
千葉県成田市1.95829
多古町0.03972
芝山町4.67871
東京都特別区0.08590
三鷹市0.00093
調布市0.00472
大島町0.04351
新島村0.10425
神津島村0.08393
三宅村0.07972
八丈町1.62471
神奈川県川崎市0.00000
新潟県新潟市0.03395
佐渡市0.00003
富山県富山市0.05887
石川県小松市0.07029
輪島市0.15477
穴水町0.91278
能登町0.15182
福井県坂井市0.00549
長野県松本市0.05986
塩尻市0.14392
静岡県島田市0.10137
牧之原市0.59751
愛知県名古屋市0.00002
春日井市0.02752
常滑市2.23495
小牧市0.07410
豊山町4.45440
大阪府大阪市0.00000
豊中市5.02904
池田市0.72770
八尾市0.00732
泉佐野市0.45313
泉南市0.92340
田尻町7.10266
兵庫県神戸市0.48206
伊丹市5.93886
豊岡市0.01702
川西市2.48415
和歌山県白浜町0.81593
鳥取県鳥取市0.10009
米子市0.00281
境港市0.08016
島根県出雲市2.55159
益田市0.18054
隠岐の島町0.19530
岡山県岡山市0.09765
広島県三原市1.27762
山口県宇部市0.17733
岩国市0.01352
徳島県松茂町0.58718
香川県高松市0.15472
綾川町1.39058
愛媛県松山市0.97975
高知県南国市1.09312
香南市0.02339
福岡県北九州市0.02159
福岡市2.24038
大野城市1.10105
苅田町0.04145
佐賀県佐賀市0.05702
長崎県大村市0.63454
対馬市0.17711
壱岐市0.02901
五島市0.10656
小値賀町0.00153
新上五島町0.00014
熊本県熊本市0.00000
天草市0.02670
大津町0.17755
菊陽町3.07603
益城町0.38023
大分県豊後大野市0.00154
国東市1.40436
宮崎県宮崎市1.69424
鹿児島県霧島市1.59424
奄美市0.70876
中種子町0.37206
屋久島町0.19481
喜界町0.20850
天城町1.12058
和泊町0.20833
与論町0.21767
沖縄県那覇市0.88948
石垣市2.03803
豊見城市0.14230
宮古島市1.94925
伊江村0.01452
座間味村0.00344
粟国村0.01520
南大東村1.01099
北大東村0.73545
久米島町0.58798
多良間村0.64118
竹富町0.00000
与那国町1.03858
別表第三の九
「地域振興費(人口)」の事業費補正中の財政力指数に係る率等(第12条関係)
財政力指数区分率等
AB
財政力指数が0.60未満のもの-0.14000.599
同上0.60以上0.75未満のもの-0.30000.695
同上0.75以上0.85未満のもの-0.50000.845
同上0.85以上0.95未満のもの-0.95001.228
同上0.95以上-0.50000.800
別表第三の十
都道府県分の「地域振興費」及び市町村分の「都市計画費」の事業費補正に係る率(第12条関係)
経費の種類区分率
地域振興費第三セクター分平成4年度許可債0.0048
平成6年度許可債0.0132
平成7年度許可債0.0132
平成8年度許可債0.0132
平成9年度許可債0.0135
平成10年度許可債0.0135
平成11年度許可債0.0138
平成12年度許可債0.0135
平成13年度許可債(平成12年度以前新規採択路線に係るもの)0.0138
平成13年度許可債(平成13年度以降新規採択路線に係るもの)0.0230
平成14年度許可債(平成12年度以前新規採択路線に係るもの)0.0129
平成14年度許可債(平成13年度以降新規採択路線に係るもの)0.0194
平成15年度許可債(平成12年度以前新規採択路線に係るもの)0.0162
平成15年度許可債(平成13年度以降新規採択路線に係るもの)0.0243
平成16年度許可債(平成12年度以前新規採択路線に係るもの)0.0162
平成16年度許可債(平成13年度以降新規採択路線に係るもの)0.0243
平成17年度許可債(平成12年度以前新規採択路線に係るもの)0.0166
平成17年度許可債(平成13年度以降新規採択路線に係るもの)0.0249
平成18年度同意等債(平成12年度以前新規採択路線に係るもの)0.0158
平成18年度同意等債(平成13年度以降新規採択路線に係るもの)0.0237
平成19年度同意等債(平成12年度以前新規採択路線に係るもの)0.0158
平成19年度同意等債(平成13年度以降新規採択路線に係るもの)0.0237
平成20年度同意等債(平成12年度以前新規採択路線に係るもの)0.01593
平成20年度同意等債(平成13年度以降新規採択路線に係るもの)0.02389
平成21年度同意等債(平成12年度以前新規採択路線に係るもの)0.01533
平成21年度同意等債(平成13年度以降新規採択路線に係るもの)0.02300
平成22年度同意等債(平成12年度以前新規採択路線に係るもの)0.01504
平成22年度同意等債(平成13年度以降新規採択路線に係るもの)0.02256
都市計画費第三セクター分平成4年度許可債0.0048
平成6年度許可債0.0132
平成7年度許可債0.0132
平成8年度許可債0.0132
平成9年度許可債0.0135
平成10年度許可債0.0135
平成11年度許可債0.0138
平成12年度許可債0.0135
平成13年度許可債(平成12年度以前新規採択路線に係るもの)0.0138
平成13年度許可債(平成13年度以降新規採択路線に係るもの)0.0230
平成14年度許可債(平成12年度以前新規採択路線に係るもの)0.0129
平成14年度許可債(平成13年度以降新規採択路線に係るもの)0.0194
平成15年度許可債(平成12年度以前新規採択路線に係るもの)0.0160
平成15年度許可債(平成13年度以降新規採択路線に係るもの)0.0239
平成16年度許可債(平成12年度以前新規採択路線に係るもの)0.0162
平成16年度許可債(平成13年度以降新規採択路線に係るもの)0.0243
平成17年度許可債(平成12年度以前新規採択路線に係るもの)市場公募団体0.0150
平成17年度許可債(平成12年度以前新規採択路線に係るもの)その他団体0.0120
平成17年度許可債(平成13年度以降新規採択路線に係るもの)市場公募団体0.0225
平成17年度許可債(平成13年度以降新規採択路線に係るもの)その他団体0.0180
平成18年度同意等債(平成12年度以前新規採択路線に係るもの)市場公募団体0.0147
平成18年度同意等債(平成12年度以前新規採択路線に係るもの)その他団体0.0114
平成18年度同意等債(平成13年度以降新規採択路線に係るもの)市場公募団体0.0221
平成18年度同意等債(平成13年度以降新規採択路線に係るもの)その他団体0.0171
平成19年度同意等債(平成12年度以前新規採択路線に係るもの)市場公募団体0.0147
平成19年度同意等債(平成12年度以前新規採択路線に係るもの)その他団体0.0108
平成19年度同意等債(平成13年度以降新規採択路線に係るもの)市場公募団体0.0221
平成19年度同意等債(平成13年度以降新規採択路線に係るもの)その他団体0.0162
平成20年度同意等債(平成12年度以前新規採択路線に係るもの)市場公募団体0.01500
平成20年度同意等債(平成12年度以前新規採択路線に係るもの)その他団体0.01650
平成20年度同意等債(平成13年度以降新規採択路線に係るもの)市場公募団体0.02250
平成20年度同意等債(平成13年度以降新規採択路線に係るもの)その他団体0.02475
平成21年度同意等債(平成12年度以前新規採択路線に係るもの)市場公募団体0.01440
平成21年度同意等債(平成12年度以前新規採択路線に係るもの)その他団体0.01620
平成21年度同意等債(平成13年度以降新規採択路線に係るもの)市場公募団体0.02160
平成21年度同意等債(平成13年度以降新規採択路線に係るもの)その他団体0.02430
平成22年度同意等債(平成12年度以前新規採択路線に係るもの)市場公募団体0.01410
平成22年度同意等債(平成12年度以前新規採択路線に係るもの)その他団体0.01590
平成22年度同意等債(平成13年度以降新規採択路線に係るもの)市場公募団体0.02115
平成22年度同意等債(平成13年度以降新規採択路線に係るもの)その他団体0.02385
公営分平成4年度許可債0.0096
平成5年度許可債0.0252
平成6年度許可債0.0270
平成7年度許可債0.0372
平成8年度許可債0.0342
平成9年度許可債0.0318
平成10年度許可債0.0312
平成11年度許可債0.0318
平成12年度許可債0.0300
平成13年度許可債0.0318
平成14年度許可債0.0212
平成15年度許可債0.0239
平成16年度許可債0.0243
平成17年度許可債(市場公募団体に係るもの)0.0225
平成17年度許可債(その他の団体に係るもの)0.0180
平成18年度同意等債(市場公募団体に係るもの)0.0221
平成18年度同意等債(その他の団体に係るもの)0.0171
平成19年度同意等債(市場公募団体に係るもの)0.0221
平成19年度同意等債(その他の団体に係るもの)0.0162
平成20年度同意等債(市場公募団体に係るもの)0.02250
平成20年度同意等債(その他の団体に係るもの)0.02475
平成21年度同意等債(市場公募団体に係るもの)0.02160
平成21年度同意等債(その他の団体に係るもの)0.02430
平成22年度同意等債(市場公募団体に係るもの)0.02115
平成22年度同意等債(その他の団体に係るもの)0.02385
別表第三の十一
(1) 都道府県分の「地域振興費」の事業費補正中の財政力係数に係る率等(第12条関係)
財政力係数区分率等
 AB
財政力係数が100を超え110までのもの8.00-700
同上110を超え120までのもの4.00-260
同上120を超え130までのもの3.00-140
同上130を超え150までのもの2.50-75
同上150を超えるもの2.00-0
(2) 市町村分の「その他の土木費」の事業費補正中の財政力係数に係る率等(第12条関係)
係数区分率等
 AB
財政力係数が100を超え500までのもの1.09-9
同上500を超え1,000までのもの1.25-89
同上1,000を超え1,500までのもの1.47-309
同上1,500を超え2,000までのもの1.61-519
同上2,000を超え2,500までのもの1.88-1,059
同上2,500を超え3,000までのもの1.98-1,309
同上3,000を超え3,500までのもの2.53-2,959
同上3,500を超え4,000までのもの2.67-3,449
同上4,000を超え4,500までのもの3.54-6,929
同上4,500を超えるもの2.001
別表第三の十二 削除
別表第三の十三
市町村分の「小学校費」、「中学校費」及び「清掃費」の立替施行に係る乗率(第12条関係)
経費の種類区分乗率
小学校費及び中学校費校舎及び屋体等昭和51年度から昭和54年度までの各年度及び平成7年度から平成13年度までの各年度において国庫補助金を受け入れたもの11.5
昭和55年度から昭和57年度までの各年度、昭和60年度から平成3年度までの各年度及び平成6年度において国庫補助金を受け入れたもの3.1
昭和58年度及び平成14年度から令和4年度までの各年度において国庫補助金を受け入れたもの6.25
昭和59年度において国庫補助金を受け入れたもの4.5
平成4年度及び平成5年度において国庫補助金を受け入れたもの1.3
プール昭和63年度から平成3年度までの各年度及び平成6年度において国庫補助金を受け入れたもの1.9
平成4年度及び平成5年度において国庫補助金を受け入れたもの1.0
平成7年度から平成13年度までの各年度において国庫補助金を受け入れたもの5.5
平成14年度から令和4年度までの各年度において国庫補助金を受け入れたもの3.25
用地昭和51年度において国庫補助金を受け入れたもの3.9
昭和52年度において国庫補助金を受け入れたもの4.8
昭和53年度において国庫補助金を受け入れたもの6.7
昭和54年度から平成10年度までの各年度において国庫補助金を受け入れたもの12.4
清掃費昭和37年度から平成3年度までの各年度及び平成6年度において国庫補助金を受け入れたもの2.5
平成4年度及び平成5年度において国庫補助金を受け入れたもの1.1
平成7年度から平成13年度までの各年度において国庫補助金を受け入れたもの8.5
平成14年度から令和4年度までの各年度において国庫補助金を受け入れたもの3.75
別表第三の十四
「地域振興費」の事業費補正中の発行割合に係る率等(第12条関係)
割合区分率等
AB
発行割合が200を超え400までのもの1.03-6
同上400を超え600までのもの1.10-34
同上600を超え800までのもの1.15-64
同上800を超え1,000までのもの1.20-104
同上1,000を超え1,400までのもの1.29-194
同上1,400を超え2,000までのもの1.41-362
同上2,000を超え3,000までのもの1.58-702
同上3,000を超え4,000までのもの1.76-1,242
同上4,000を超え5,000までのもの1.90-1,802
同上5,000を超え6,000までのもの1.98-2,202
同上6,000を超え7,000までのもの2.04-2,562
同上7,000を超え8,000までのもの2.08-2,842
同上8,000を超え10,000までのもの2.10-3,002
同上10,000を超えるもの1.800
別表第四
(1) 寒冷の差による地域区分(第十三条、第十四条関係)
都道府県区分地域(総合振興局及び振興局、郡並びに市町村の区域はその年の四月一日現在による。)
北海道四級地旭川市 釧路市 帯広市 北見市 夕張市 網走市 美唄市 芦別市 江別市 赤平市 紋別市 士別市 名寄市 三笠市 根室市 千歳市 滝川市 砂川市 歌志内市 深川市 富良野市 恵庭市 北広島市
石狩振興局新篠津村
後志総合振興局真狩村 留寿都村 喜茂別町 京極町 倶知安町
空知総合振興局南幌町 奈井江町 上砂川町 由仁町 長沼町 栗山町 月形町 浦臼町 新十津川町 妹背牛町 秩父別町 雨竜町 北竜町 沼田町
上川総合振興局鷹栖町 東神楽町 当麻町 比布町 愛別町 上川町 東川町 美瑛町 上富良野町 中富良野町 南富良野町 占冠村 和寒町 剣淵町 下川町 美深町 音威子府村 中川町 幌加内町
留萌振興局遠別町 天塩町
宗谷総合振興局猿払村 浜頓別町 中頓別町 枝幸町 豊富町 幌延町
オホーツク総合振興局美幌町 津別町 斜里町 清里町 小清水町 訓子府町 置戸町 佐呂間町 遠軽町 湧別町 滝上町 興部町 西興部村 雄武町 大空町
胆振総合振興局厚真町 安平町 むかわ町
日高振興局日高町 平取町
十勝総合振興局音更町 士幌町 上士幌町 鹿追町 新得町 清水町 芽室町 中札内村 更別村 大樹町 広尾町 幕別町 池田町 豊頃町 本別町 足寄町 陸別町 浦幌町
釧路総合振興局釧路町 厚岸町 浜中町 標茶町 弟子屈町 鶴居村 白糠町
根室振興局別海町 中標津町 標津町 羅臼町
三級地札幌市 岩見沢市 留萌市 苫小牧市 稚内市 登別市 伊達市 石狩市 北斗市
石狩振興局当別町
渡島総合振興局七飯町 鹿部町 森町 八雲町 長万部町
檜山振興局今金町
後志総合振興局島牧村 黒松内町 蘭越町 ニセコ町 共和町 岩内町 泊村 積丹町 古平町 仁木町 余市町 赤井川村
留萌振興局増毛町 小平町 苫前町 羽幌町 初山別村
宗谷総合振興局礼文町 利尻町 利尻富士町
胆振総合振興局豊浦町 壮瞥町 白老町 洞爺湖町
日高振興局新冠町 浦河町 様似町 えりも町 新ひだか町
二級地函館市 小樽市 室蘭市
渡島総合振興局松前町 福島町 知内町 木古内町
檜山振興局江差町 上ノ国町 厚沢部町 乙部町 奥尻町 せたな町
後志総合振興局寿都町 神恵内村
青森県二級地青森市 弘前市 八戸市 黒石市 五所川原市 十和田市 三沢市 むつ市 平川市
東津軽郡平内町 今別町 蓬田村 外ケ浜町
中津軽郡西目屋村
南津軽郡藤崎町 大鰐町 田舎館村
北津軽郡板柳町 鶴田町 中泊町
上北郡野辺地町 七戸町 六戸町 横浜町 東北町 六ケ所村 おいらせ町
下北郡大間町 東通村 風間浦村 佐井村
三戸郡三戸町 五戸町 田子町 南部町 階上町 新郷村
一級地つがる市
西津軽郡鰺ケ沢町 深浦町
岩手県三級地八幡平市
岩手郡葛巻町 岩手町
二級地盛岡市 花巻市 久慈市 遠野市 二戸市 奥州市 滝沢市
岩手郡雫石町
紫波郡紫波町 矢巾町
和賀郡西和賀町
下閉伊郡岩泉町 田野畑村 普代村
九戸郡軽米町 野田村 九戸村
二戸郡一戸町
一級地宮古市 大船渡市 北上市 一関市 陸前高田市 釜石市
胆沢郡金ケ崎町
西磐井郡平泉町
気仙郡住田町
上閉伊郡大槌町 山田町
九戸郡洋野町
宮城県二級地刈田郡七ケ宿町
一級地仙台市 石巻市 塩竃市 気仙沼市 白石市 名取市 角田市 多賀城市 岩沼市 登米市 栗原市 東松島市 大崎市 富谷市
刈田郡蔵王町
柴田郡大河原町 村田町 柴田町 川崎町
伊具郡丸森町
亘理郡亘理町 山元町
宮城郡松島町 七ケ浜町 利府町
黒川郡大和町 大郷町 大衡村
加美郡色麻町 加美町
遠田郡涌谷町 美里町
牡鹿郡女川町
本吉郡南三陸町
秋田県二級地大館市 湯沢市 鹿角市 大仙市 北秋田市 仙北市
鹿角郡小坂町
山本郡藤里町
仙北郡美郷町
雄勝郡羽後町 東成瀬村
一級地秋田市 能代市 横手市 男鹿市 由利本荘市 潟上市
北秋田郡上小阿仁村
山本郡三種町 八峰町
南秋田郡五城目町 八郎潟町 井川町 大潟村
山形県二級地米沢市 村山市 長井市
西村山郡西川町
最上郡金山町 最上町
東置賜郡高畠町 川西町
西置賜郡飯豊町
一級地山形市 新庄市 寒河江市 尾花沢市 南陽市 上山市 天童市 東根市
東村山郡山辺町 中山町
西村山郡河北町 朝日町 大江町
北村山郡大石田町
最上郡舟形町 真室川町 大蔵村 鮭川村 戸沢村
西置賜郡小国町 白鷹町
東田川郡三川町 庄内町
福島県三級地南会津郡檜枝岐村
二級地南会津郡下郷町 南会津町
耶麻郡北塩原村 磐梯町 猪苗代町
大沼郡昭和村
東白川郡鮫川村
石川郡平田村
双葉郡川内村 葛尾村
相馬郡飯舘村
一級地会津若松市 郡山市 白河市 須賀川市 喜多方市 相馬市 二本松市 田村市 南相馬市 本宮市
伊達郡国見町 川俣町
安達郡大玉村
岩瀬郡鏡石町 天栄村
南会津郡只見町
耶麻郡西会津町
河沼郡会津坂下町 湯川村 柳津町
大沼郡三島町 金山町 会津美里町
西白河郡西郷村 泉崎村 中島村 矢吹町
東白川郡棚倉町 矢祭町 塙町
石川郡石川町 玉川村 浅川町 古殿町
田村郡三春町 小野町
双葉郡大熊町
相馬郡新地町
茨城県一級地久慈郡大子町
栃木県一級地日光市 那須塩原市 さくら市
芳賀郡茂木町 市貝町 芳賀町
塩谷郡塩谷町 高根沢町
那須郡那須町 那珂川町
群馬県三級地吾妻郡草津町
二級地多野郡上野村
吾妻郡長野原町 嬬恋村
利根郡片品村
一級地沼田市
多野郡神流町
甘楽郡南牧村
吾妻郡中之条町 高山村 東吾妻町
利根郡川場村 昭和村 みなかみ町
新潟県一級地十日町市 魚沼市 南魚沼市
東蒲原郡阿賀町
南魚沼郡湯沢町
中魚沼郡津南町
岩船郡関川村
福井県一級地今立郡池田町
山梨県二級地富士吉田市
南都留郡忍野村 山中湖村 鳴沢村 富士河口湖町
一級地北杜市
南都留郡道志村 西桂町
北都留郡小菅村 丹波山村
長野県三級地南佐久郡川上村 南牧村 南相木村 北相木村
二級地岡谷市 小諸市 大町市 茅野市 塩尻市 佐久市
南佐久郡小海町 佐久穂町
北佐久郡軽井沢町 御代田町 立科町
小県郡長和町
諏訪郡富士見町 原村
上伊那郡辰野町 箕輪町
下伊那郡平谷村 売木村 大鹿村
木曽郡上松町 木祖村 王滝村 木曽町
東筑摩郡麻績村 朝日村
北安曇郡池田町 松川村 白馬村 小谷村
上高井郡高山村
下高井郡山ノ内町 木島平村 野沢温泉村
上水内郡信濃町 飯綱町
一級地長野市 松本市 上田市 諏訪市 須坂市 伊那市 駒ヶ根市 中野市 飯山市 千曲市 東御市 安曇野市
小県郡青木村
諏訪郡下諏訪町
上伊那郡飯島町 南箕輪村 中川村 宮田村
下伊那郡松川町 阿南町 阿智村 根羽村 下條村 泰阜村
木曽郡南木曽町 大桑村
東筑摩郡生坂村 山形村 筑北村
埴科郡坂城町
上高井郡小布施町
上水内郡小川村
下水内郡栄村
岐阜県一級地飛騨市 高山市 郡上市 下呂市
加茂郡東白川村
大野郡白川村
愛知県一級地北設楽郡豊根村
奈良県二級地吉野郡野迫川村
一級地宇陀郡御杖村
吉野郡天川村
和歌山県二級地伊都郡高野町
鳥取県一級地日野郡日南町
島根県一級地飯石郡飯南町
岡山県一級地真庭郡新庄村
英田郡西粟倉村
中央郡吉備中央町
広島県一級地神石郡神石高原町
(2) 生活保護費に係る寒冷の差による地域区分(第十三条、第十四条関係)
地域区分都道府県分市分
一区北海道 青森県 秋田県上記道県内の市
二区岩手県 山形県 新潟県上記県内の市
三区宮城県 福島県 長野県 富山県上記県内の市
四区石川県 福井県上記県内の市
五区栃木県 群馬県 山梨県 岐阜県 鳥取県 島根県上記県内の市
六区一区から五区までの道県以外の都府県上記都府県内の市
(3) 積雪の差による地域区分(第十三条、第十四条関係)
都道府県区分地域(総合振興局及び振興局、郡並びに市町村の区域はその年の四月一日現在による。)
北海道四級地札幌市 小樽市 旭川市 夕張市 岩見沢市 留萌市 美唄市 江別市 赤平市 三笠市 滝川市 砂川市 歌志内市 深川市 石狩市
石狩振興局当別町
渡島総合振興局木古内町
後志総合振興局島牧村 寿都町 ニセコ町 真狩村 留寿都村 喜茂別町 京極町 倶知安町 共和町 岩内町 泊村 神恵内村 積丹町 古平町 仁木町 余市町 赤井川村
空知総合振興局奈井江町 上砂川町 新十津川町 雨竜町 北竜町 沼田町
上川総合振興局美深町 音威子府村 中川町 幌加内町
留萌振興局増毛町 小平町 苫前町 羽幌町 初山別村 遠別町
宗谷総合振興局中頓別町 礼文町 利尻町 利尻富士町
根室振興局羅臼町
三級地北見市 網走市 稚内市 芦別市 紋別市 士別市 名寄市 富良野市 伊達市 北広島市 北斗市
石狩振興局新篠津村
渡島総合振興局松前町 福島町 知内町 八雲町 長万部町
檜山振興局上ノ国町 厚沢部町 今金町 せたな町
後志総合振興局黒松内町 蘭越町
空知総合振興局南幌町 栗山町 月形町 浦臼町 妹背牛町 秩父別町
上川総合振興局鷹栖町 当麻町 比布町 愛別町 上川町 東川町 美瑛町 上富良野町 南富良野町 占冠村 和寒町 剣淵町 下川町
留萌振興局天塩町
宗谷総合振興局猿払村 浜頓別町 枝幸町 豊富町 幌延町
オホーツク総合振興局斜里町 清里町 滝上町 西興部村 雄武町
胆振総合振興局豊浦町 洞爺湖町
十勝総合振興局上士幌町 新得町 中札内村
根室振興局標津町
二級地函館市 室蘭市 釧路市 帯広市 千歳市 登別市 恵庭市
渡島総合振興局七飯町 鹿部町 森町
檜山振興局江差町 乙部町 奥尻町
空知総合振興局由仁町 長沼町
上川総合振興局東神楽町 中富良野町
オホーツク総合振興局美幌町 津別町 小清水町 訓子府町 置戸町 佐呂間町 遠軽町 湧別町 興部町 大空町
胆振総合振興局壮瞥町 白老町 厚真町 安平町 むかわ町
日高振興局日高町 平取町 新冠町 浦河町 様似町 えりも町 新ひだか町
十勝総合振興局音更町 士幌町 鹿追町 清水町 芽室町 更別村 大樹町 広尾町 幕別町 池田町 豊頃町 足寄町 陸別町
釧路総合振興局釧路町 厚岸町 浜中町 標茶町 弟子屈町 鶴居村 白糠町
根室振興局別海町 中標津町
一級地苫小牧市 根室市
十勝総合振興局本別町 浦幌町
青森県四級地青森市 黒石市 むつ市
東津軽郡平内町 外ケ浜町
西津軽郡深浦町
三級地弘前市 五所川原市 十和田市 つがる市 平川市
東津軽郡今別町 蓬田村
西津軽郡鰺ケ沢町
中津軽郡西目屋村
南津軽郡大鰐町
北津軽郡中泊町
上北郡野辺地町 七戸町 六ケ所村
三戸郡新郷村
二級地八戸市 三沢市
南津軽郡藤崎町 田舎館村
北津軽郡板柳町 鶴田町
上北郡横浜町 東北町
下北郡大間町 東通村 風間浦村 佐井村
三戸郡田子町 階上町
一級地上北郡六戸町 おいらせ町
三戸郡三戸町 五戸町 南部町
岩手県四級地和賀郡西和賀町
三級地北上市
二級地盛岡市 宮古市 八幡平市 滝沢市
岩手郡雫石町 葛巻町 岩手町
胆沢郡金ケ崎町
気仙郡住田町
下閉伊郡岩泉町
一級地大船渡市 花巻市 久慈市 遠野市 一関市 陸前高田市 釜石市 二戸市 奥州市
紫波郡紫波町 矢巾町
西磐井郡平泉町
上閉伊郡大槌町
下閉伊郡田野畑村 普代村
九戸郡軽米町 野田村 九戸村 洋野町
二戸郡一戸町
宮城県二級地刈田郡七ケ宿町
加美郡加美町
一級地仙台市 白石市 栗原市 大崎市
刈田郡蔵王町
柴田郡川崎町
黒川郡大和町 大衡村
加美郡色麻町
秋田県四級地湯沢市
北秋田郡上小阿仁村
雄勝郡東成瀬村
三級地横手市 大館市 鹿角市 由利本荘市 北秋田市 にかほ市 仙北市
鹿角郡小坂町
山本郡藤里町 八峰町
南秋田郡五城目町
仙北郡美郷町
雄勝郡羽後町
二級地秋田市 能代市 潟上市 大仙市
一級地男鹿市
山本郡三種町
南秋田郡八郎潟町 井川町 大潟村
山形県四級地鶴岡市 新庄市 村山市 尾花沢市
西村山郡西川町
北村山郡大石田町
最上郡最上町 舟形町 大蔵村 戸沢村
西置賜郡小国町 飯豊町
東田川郡庄内町
三級地米沢市 寒河江市 長井市 東根市
西村山郡朝日町 大江町
最上郡金山町 真室川町 鮭川村
東置賜郡川西町
飽海郡遊佐町
二級地山形市 酒田市 上山市 天童市 南陽市
東村山郡山辺町 中山町
西村山郡河北町
東置賜郡高畠町
西置賜郡白鷹町
東田川郡三川町
福島県四級地南会津郡檜枝岐村 只見町
耶麻郡北塩原村
大沼郡金山町 昭和村
三級地南会津郡南会津町
耶麻郡西会津町 磐梯町 猪苗代町
大沼郡三島町
二級地会津若松市 喜多方市
岩瀬郡天栄村
南会津郡下郷町
河沼郡会津坂下町 柳津町
大沼郡会津美里町
一級地福島市 郡山市 二本松市 田村市
伊達郡川俣町
安達郡大玉村
河沼郡湯川村
西白河郡西郷村
石川郡古殿町
双葉郡川内村 浪江町 葛尾村
相馬郡飯舘村
栃木県一級地日光市 那須塩原市
群馬県三級地吾妻郡草津町
利根郡片品村 みなかみ町
二級地沼田市
吾妻郡中之条町 長野原町 嬬恋村
利根郡川場村
一級地多野郡上野村
吾妻郡高山村 東吾妻町
利根郡昭和村
新潟県四級地小千谷市 十日町市 糸魚川市 妙高市 上越市 魚沼市 南魚沼市
東蒲原郡阿賀町
南魚沼郡湯沢町
中魚沼郡津南町
三級地長岡市 三条市 柏崎市 新発田市 見附市 村上市 胎内市
岩船郡関川村
二級地新潟市 加茂市 燕市 五泉市 阿賀野市 佐渡市
西蒲原郡弥彦村
南蒲原郡田上町
刈羽郡刈羽村
一級地北蒲原郡聖籠町
三島郡出雲崎町
岩船郡粟島浦村
富山県三級地黒部市 南砺市
中新川郡上市町 立山町
下新川郡朝日町
二級地富山市 高岡市 魚津市 砺波市 小矢部市 射水市
中新川郡舟橋村
一級地氷見市 滑川市
下新川郡入善町
石川県三級地白山市
二級地金沢市 小松市 輪島市 珠洲市 加賀市
羽咋郡宝達志水町
鳳珠郡能登町
一級地七尾市 羽咋市 かほく市 能美市 野々市市
能美郡川北町
河北郡津幡町 内灘町
羽咋郡志賀町
鹿島郡中能登町
鳳珠郡穴水町
福井県三級地大野市 勝山市
吉田郡永平寺町
今立郡池田町
二級地福井市 敦賀市 越前市
南条郡南越前町
三方郡美浜町
一級地小浜市 鯖江市 あわら市 坂井市
丹生郡越前町
大飯郡高浜町 おおい町
三方上中郡若狭町
山梨県一級地富士吉田市
南巨摩郡早川町
南都留郡西桂町 忍野村 山中湖村
北都留郡小菅村 丹波山村
長野県四級地飯山市
北安曇郡小谷村
下高井郡山ノ内町 野沢温泉村
上水内郡信濃町
下水内郡栄村
三級地北安曇郡白馬村
下高井郡木島平村
二級地長野市 松本市 須坂市 中野市 大町市
木曽郡木祖村 王滝村
東筑摩郡朝日村
上高井郡高山村
上水内郡小川村 飯綱町
一級地上田市 飯田市 茅野市 塩尻市 佐久市 東御市 安曇野市
南佐久郡小海町 川上村 南牧村 南相木村 佐久穂町
北佐久郡軽井沢町
小県郡長和町
諏訪郡富士見町 原村
上伊那郡飯島町
下伊那郡阿智村 平谷村 喬木村 大鹿村
木曽郡上松町 南木曽町 大桑村 木曽町
北安曇郡池田町 松川村
上高井郡小布施町
岐阜県四級地大野郡白川村
三級地飛騨市
二級地高山市 本巣市 郡上市
揖斐郡揖斐川町
一級地山県市 下呂市
不破郡関ケ原町
加茂郡白川町 東白川村
静岡県一級地駿東郡小山町
滋賀県二級地高島市
一級地長浜市 米原市
京都府二級地京丹後市
与謝郡与謝野町
一級地舞鶴市 綾部市 宮津市 南丹市
与謝郡伊根町
兵庫県二級地豊岡市
美方郡香美町 新温泉町
一級地養父市 朝来市 宍粟市
奈良県一級地吉野郡野迫川村
和歌山県一級地伊都郡高野町
鳥取県三級地日野郡江府町
二級地八頭郡若桜町 智頭町
西伯郡大山町 伯耆町
日野郡日南町
一級地鳥取市 倉吉市
岩美郡岩美町
八頭郡八頭町
東伯郡三朝町 琴浦町
西伯郡南部町
日野郡日野町
島根県一級地浜田市 益田市 大田市 安来市 雲南市
仁多郡奥出雲町
飯石郡飯南町
邑智郡川本町 美郷町 邑南町
鹿足郡津和野町 吉賀町
岡山県二級地真庭郡新庄村
一級地真庭市
苫田郡鏡野町
英田郡西粟倉村
広島県二級地山県郡安芸太田町
一級地三次市 庄原市 廿日市市
山県郡北広島町
別表第五 削除
別表第六
道府県民税所得割に係る単位額補正率(第18条関係)
都道府県補正率
AB
北海道0.7690.519
青森0.8300.000
岩手0.8500.000
宮城0.7120.574
秋田0.8120.000
山形0.8480.000
福島0.9180.000
茨城1.0250.000
栃木1.0110.000
群馬0.9850.000
埼玉1.0070.674
千葉1.0740.631
東京1.6490.000
神奈川0.8610.696
新潟0.6990.486
富山0.9470.000
石川0.9770.000
福井0.9520.000
山梨0.9950.000
長野0.9530.000
岐阜0.9910.000
静岡0.8040.540
愛知1.0020.688
三重1.0280.000
滋賀1.0660.000
京都0.7820.609
大阪0.9100.585
兵庫0.9860.606
奈良1.0820.000
和歌山0.9520.000
鳥取0.8430.000
島根0.8640.000
岡山0.7560.542
広島0.7890.580
山口0.9880.000
徳島0.9470.000
香川0.9510.000
愛媛0.9260.000
高知0.8840.000
福岡0.7440.568
佐賀0.8710.000
長崎0.8790.000
熊本0.6760.514
大分0.8930.000
宮崎0.8480.000
鹿児島0.8700.000
沖縄0.8990.000
別表第七
個人事業税に係る率(第19条関係)
都道府県乗率
AB
北海道0.8140.839
青森0.8070.734
岩手0.6750.758
宮城0.8250.829
秋田0.6930.611
山形0.6610.524
福島0.7424.001
茨城0.7710.815
栃木0.7580.759
群馬0.6870.562
埼玉1.0250.885
千葉1.1351.075
東京1.4482.378
神奈川1.2410.894
新潟0.7270.629
富山0.6990.659
石川0.7050.790
福井0.6710.565
山梨0.7120.493
長野0.6880.692
岐阜0.6870.699
静岡0.7560.839
愛知0.9320.954
三重0.7060.666
滋賀0.7660.871
京都0.8800.815
大阪1.0760.985
兵庫0.8820.116
奈良0.8340.831
和歌山0.7840.503
鳥取0.6830.596
島根0.7191.549
岡山0.6390.595
広島0.7630.891
山口0.6941.108
徳島0.6500.761
香川0.6400.651
愛媛0.6412.991
高知0.7580.450
福岡0.9230.895
佐賀0.7310.606
長崎0.7360.830
熊本0.6400.735
大分0.7340.735
宮崎0.7570.794
鹿児島0.6670.808
沖縄0.9702.473
別表第八
道府県たばこ税に係る率(第21条関係)
都道府県率
北海道0.9859
青森0.9863
岩手0.9789
宮城0.9817
秋田0.9812
山形0.9807
福島0.9697
茨城0.9808
栃木0.9803
群馬0.9766
埼玉0.9711
千葉0.9799
東京0.9833
神奈川0.9788
新潟0.9742
富山0.9708
石川0.9731
福井0.9665
山梨0.9870
長野0.9804
岐阜0.9759
静岡0.9762
愛知0.9760
三重0.9772
滋賀0.9722
京都0.9713
大阪0.9763
兵庫0.9727
奈良0.9757
和歌山0.9710
鳥取0.9757
島根0.9718
岡山0.9732
広島0.9705
山口0.9687
徳島0.9714
香川0.9685
愛媛0.9768
高知0.9776
福岡0.9822
佐賀0.9815
長崎0.9771
熊本0.9844
大分0.9827
宮崎0.9836
鹿児島0.9839
沖縄0.9912
別表第九
ゴルフ場利用税に係る率(第22条関係)
都道府県率
北海道0.857
青森0.835
岩手0.985
宮城1.057
秋田0.911
山形0.700
福島0.861
茨城0.939
栃木0.902
群馬0.870
埼玉1.079
千葉1.010
東京1.298
神奈川1.232
新潟0.867
富山1.022
石川1.060
福井1.118
山梨0.898
長野1.014
岐阜0.893
静岡1.242
愛知1.133
三重0.962
滋賀0.974
京都1.059
大阪1.288
兵庫0.979
奈良1.075
和歌山0.891
鳥取0.702
島根0.782
岡山0.897
広島0.837
山口0.803
徳島0.935
香川0.956
愛媛0.924
高知0.975
福岡0.786
佐賀0.738
長崎0.816
熊本0.762
大分0.708
宮崎0.746
鹿児島0.777
沖縄1.056
別表第十 削除
別表第十の二 削除
別表第十一
軽油引取税及び軽油引取税交付金に係る率(第23条の2、第38条関係)
都道府県及び指定都市率
都道府県北海道1.013
青森1.002
岩手0.954
宮城0.979
秋田1.008
山形0.998
福島0.937
茨城1.012
栃木1.003
群馬1.005
埼玉1.018
千葉1.021
東京1.023
神奈川1.015
新潟0.983
富山1.010
石川1.017
福井0.983
山梨1.012
長野1.009
岐阜1.022
静岡1.015
愛知1.023
三重1.012
滋賀1.012
京都1.034
大阪1.027
兵庫1.000
奈良1.008
和歌山1.042
鳥取1.005
島根0.987
岡山1.010
広島1.009
山口0.991
徳島0.995
香川1.012
愛媛0.994
高知0.979
福岡1.014
佐賀0.998
長崎1.004
熊本1.010
大分1.015
宮崎0.998
鹿児島0.990
沖縄1.002
指定都市札幌1.008
仙台0.976
さいたま1.003
千葉1.033
横浜1.027
川崎0.981
相模原0.992
新潟0.990
静岡1.014
浜松1.011
名古屋1.019
京都1.036
大阪0.993
堺0.994
神戸1.002
岡山1.009
広島1.010
北九州1.011
福岡0.993
熊本1.020
別表第十二
(1) 自動車税の環境性能割に係る基準税率補正率(第24条関係)
都道府県率
北海道0.917
青森0.870
岩手0.891
宮城0.876
秋田0.928
山形0.841
福島0.898
茨城0.931
栃木0.941
群馬0.928
埼玉1.006
千葉1.005
東京1.342
神奈川1.036
新潟0.875
富山0.807
石川0.902
福井0.882
山梨0.991
長野0.890
岐阜0.990
静岡0.946
愛知1.041
三重0.959
滋賀0.915
京都1.036
大阪1.102
兵庫1.123
奈良1.023
和歌山1.024
鳥取0.882
島根0.820
岡山0.936
広島0.925
山口0.887
徳島0.907
香川0.889
愛媛0.868
高知0.933
福岡1.010
佐賀0.888
長崎0.857
熊本0.857
大分0.884
宮崎0.837
鹿児島0.871
沖縄0.693
(2) 自動車税の種別割に係る基準税率補正率(第24条関係)
都道府県ABCD
北海道1.0030.9891.117
青森0.9680.9441.1701.081
岩手0.9810.8591.117
宮城0.9891.0111.038
秋田0.9820.9021.089
山形0.9810.9671.042
福島0.9981.0111.066
茨城1.0101.0111.056
栃木1.0061.0171.022
群馬1.0030.9781.056
埼玉1.0071.0321.0461.411
千葉0.9991.0530.9880.605
東京1.0161.1100.3571.013
神奈川1.0021.1000.9790.968
新潟0.9830.9691.060
富山0.9810.9971.098
石川0.9830.8521.082
福井0.9900.9901.128
山梨1.0061.0301.069
長野0.9971.0161.084
岐阜0.9940.9851.047
静岡0.9970.9800.9990.998
愛知1.0071.0011.0441.209
三重1.0011.0081.022
滋賀1.0060.8111.055
京都0.9960.9980.9551.250
大阪0.9940.9360.919
兵庫1.0201.0471.009
奈良1.0141.0111.060
和歌山1.0010.9611.011
鳥取0.9890.9901.105
島根0.9730.8401.065
岡山0.9900.9941.083
広島0.9990.9900.9980.978
山口0.9811.0001.0420.799
徳島1.0000.9621.040
香川0.9960.9731.013
愛媛0.9970.9771.102
高知0.9820.9661.096
福岡1.0050.9830.9941.411
佐賀0.9940.7481.0481.270
長崎0.9900.9661.0650.890
熊本0.9920.9631.1061.411
大分1.0010.9450.993
宮崎0.9910.9621.058
鹿児島0.9840.9531.036
沖縄0.9830.9010.9781.036
索引
  • 第一条(趣旨)
  • 第二条(特別区の存する区域への準用)
  • 第三条(普通交付税の算定に関する資料)
  • 第四条(端数計算)
  • 第五条(測定単位の数値の算定方法)
  • 第六条(補正に用いる率並びに補正係数及び補正後数値の算定方法等)
  • 第七条(種別補正に用いる種別)
  • 第八条(段階補正係数の算定方法)
  • 第九条(密度及び密度補正係数の算定方法)
  • 第十条(普通態容補正係数の算定方法)
  • 第十一条(普通態容補正に用いる地域区分)
  • 第十一条の二(経常態容補正係数の算定方法)
  • 第十二条(投資態容補正係数の算定方法等)
  • 第十三条(寒冷補正係数の算定方法)
  • 第十四条(寒冷補正に用いる地域区分)
  • 第十五条(数値急増補正)
  • 第十六条(数値急減補正)
  • 第十七条(「災害復旧費」に係る補正の方法)
  • 第十八条(道府県民税の基準税額の算定方法)
  • 第十九条(事業税の基準税額の算定方法)
  • 第十九条の二(地方消費税の基準税額の算定方法)
  • 第二十条(不動産取得税の基準税額の算定方法)
  • 第二十一条(道府県たばこ税の基準税額の算定方法)
  • 第二十二条(ゴルフ場利用税の基準税額の算定方法)
  • 第二十三条
  • 第二十三条の二(軽油引取税の基準税額の算定方法)
  • 第二十四条(自動車税の基準税額の算定方法)
  • 第二十五条(鉱区税の基準税額の算定方法)
  • 第二十六条
  • 第二十七条(固定資産税の基準税額の算定方法)
  • 第二十八条
  • 第二十八条の二(市町村たばこ税都道府県交付金の基準額の算定方法)
  • 第二十八条の三(特別法人事業譲与税の基準税額の算定方法)
  • 第二十九条(地方揮発油譲与税の基準税額の算定方法)
  • 第二十九条の二(石油ガス譲与税の基準税額の算定方法)
  • 第二十九条の二の二(自動車重量譲与税の基準税額の算定方法)
  • 第二十九条の三(航空機燃料譲与税の基準税額の算定方法)
  • 第二十九条の四(森林環境譲与税の基準税額の算定方法)
  • 第三十条(都道府県交付金の基準額の算定方法)
  • 第三十一条(市町村民税の基準税額の算定方法)
  • 第三十二条(固定資産税の基準税額の算定方法)
  • 第三十三条(軽自動車税の基準税額の算定方法)
  • 第三十四条(市町村たばこ税の基準税額の算定方法)
  • 第三十五条(鉱産税の基準税額の算定方法)
  • 第三十六条(特別土地保有税の基準税額の算定方法)
  • 第三十七条(事業所税の基準税額の算定の方法)
  • 第三十七条の二(利子割交付金の基準額の算定方法)
  • 第三十七条の三(配当割交付金の基準額の算定方法)
  • 第三十七条の四(株式等譲渡所得割交付金の基準額の算定方法)
  • 第三十七条の四の二(法人事業税交付金の基準額の算定方法)
  • 第三十七条の四の三(地方消費税交付金の基準額の算定方法等)
  • 第三十七条の五(ゴルフ場利用税交付金の基準額の算定方法)
  • 第三十八条(軽油引取税交付金の基準額の算定方法)
  • 第三十八条の二(環境性能割交付金の基準額の算定方法)
  • 第三十九条(地方揮発油譲与税の基準税額の算定方法)
  • 第四十条(特別とん譲与税の基準税額の算定方法)
  • 第四十条の二(石油ガス譲与税の基準税額の算定方法)
  • 第四十条の三(自動車重量譲与税の基準税額の算定方法)
  • 第四十条の四(航空機燃料譲与税の基準税額の算定方法)
  • 第四十条の五(森林環境譲与税の基準税額の算定方法)
  • 第四十一条(市町村交付金の基準額の算定方法)
  • 第四十二条(都道府県に係る控除額の算定方法)
  • 第四十三条(市町村に係る控除額の算定方法)
  • 第四十四条(控除額算定の年度区分)
  • 第四十五条(廃置分合又は境界変更があつた場合の数値の修正)
  • 第四十六条(普通交付税の額の算定の基礎に用いた数の錯誤にかかる措置)
  • 第四十六条の二
  • 第四十七条
  • 第四十八条(新市町村の財源不足額の算定方法の特例)
  • 第四十八条の二(指定団体の指定)
  • 第四十九条(合併関係市町村に係る基準財政需要額の算定方法)
  • 第五十条(合併関係市町村に係る基準財政収入額の算定方法)
  • 第五十一条(廃置分合又は境界変更があつた場合の普通交付税の額の算定)
  • 第五十二条(廃置分合又は境界変更があつた場合の四月及び六月において交付する普通交付税の額の算定)
  • 第五十三条(廃置分合又は境界変更があつた場合の普通交付税の額の算定方法)
  • 第五十四条(大規模な災害があつた場合の交付時期及び交付額の特例)
  • 第五十五条(意見の聴取)
  • 附 則
  • 附 則(昭和三八年二月二八日自治省令第五号)抄
  • 附 則(昭和三八年八月二六日自治省令第二三号)抄
  • 附 則(昭和三九年八月二八日自治省令第二五号)
  • 附 則(昭和四〇年八月三一日自治省令第二三号)抄
  • 附 則(昭和四一年四月二八日自治省令第七号)
  • 附 則(昭和四一年八月三一日自治省令第二一号)
  • 附 則(昭和四二年二月七日自治省令第三号)抄
  • 附 則(昭和四二年八月三一日自治省令第二六号)
  • 附 則(昭和四三年二月七日自治省令第一号)
  • 附 則(昭和四三年八月三〇日自治省令第二四号)抄
  • 附 則(昭和四四年四月二一日自治省令第一一号)
  • 附 則(昭和四四年八月三〇日自治省令第二七号)抄
  • 附 則(昭和四五年三月二七日自治省令第三号)抄
  • 附 則(昭和四五年八月三一日自治省令第一八号)
  • 附 則(昭和四六年二月一五日自治省令第三号)抄
  • 附 則(昭和四六年八月三〇日自治省令第一六号)
  • 附 則(昭和四七年八月二八日自治省令第一九号)
  • 附 則(昭和四八年二月九日自治省令第一号)抄
  • 附 則(昭和四八年二月二八日自治省令第四号)抄
  • 附 則(昭和四八年八月三〇日自治省令第二一号)抄
  • 附 則(昭和四九年二月五日自治省令第二号)抄
  • 附 則(昭和四九年八月三〇日自治省令第二九号)
  • 附 則(昭和五〇年八月二九日自治省令第一四号)
  • 附 則(昭和五一年八月三一日自治省令第二八号)
  • 附 則(昭和五二年八月三〇日自治省令第一六号)
  • 附 則(昭和五三年八月二五日自治省令第二〇号)
  • 附 則(昭和五四年二月一三日自治省令第二号)
  • 附 則(昭和五四年八月二四日自治省令第一八号)
  • 附 則(昭和五五年八月二六日自治省令第二〇号)
  • 附 則(昭和五六年八月二五日自治省令第二一号)
  • 附 則(昭和五七年八月二七日自治省令第一八号)
  • 附 則(昭和五七年一二月二七日自治省令第三〇号)
  • 附 則(昭和五八年八月二六日自治省令第二二号)
  • 附 則(昭和五九年八月二八日自治省令第二二号)
  • 附 則(昭和六〇年八月二七日自治省令第二三号)
  • 附 則(昭和六一年八月二六日自治省令第一九号)
  • 附 則(昭和六二年九月二二日自治省令第二七号)
  • 附 則(昭和六二年一二月四日自治省令第三四号)
  • 附 則(昭和六三年二月二六日自治省令第六号)
  • 附 則(昭和六三年六月二日自治省令第二三号)
  • 附 則(昭和六三年六月一八日自治省令第二七号)
  • 附 則(昭和六三年八月二三日自治省令第三〇号)
  • 附 則(平成元年三月一〇日自治省令第七号)
  • 附 則(平成元年四月二五日自治省令第二〇号)
  • 附 則(平成元年八月二五日自治省令第三六号)
  • 附 則(平成二年三月二七日自治省令第四号)
  • 附 則(平成二年八月二八日自治省令第二六号)
  • 附 則(平成二年一二月二六日自治省令第三五号)
  • 附 則(平成三年八月二七日自治省令第二二号)
  • 附 則(平成三年一二月二〇日自治省令第二八号)
  • 附 則(平成四年八月二五日自治省令第二四号)
  • 附 則(平成五年八月二七日自治省令第二三号)
  • 附 則(平成六年七月二六日自治省令第二九号)
  • 附 則(平成七年七月二五日自治省令第二四号)
  • 附 則(平成八年七月二六日自治省令第二八号)
  • 附 則(平成九年七月二九日自治省令第三三号)
  • 附 則(平成一〇年七月二四日自治省令第三二号)
  • 附 則(平成一一年七月二三日自治省令第二七号)
  • 附 則(平成一二年三月一七日自治省令第一〇号)
  • 附 則(平成一二年七月二四日自治省令第四一号)
  • 附 則(平成一二年九月一四日自治省令第四四号)
  • 附 則(平成一二年一二月一日自治省令第五三号)
  • 附 則(平成一三年七月三一日総務省令第一〇七号)
  • 附 則(平成一四年七月二六日総務省令第八二号)
  • 附 則(平成一五年七月二五日総務省令第一〇二号)
  • 附 則(平成一六年七月二七日総務省令第一〇八号)
  • 附 則(平成一七年七月二六日総務省令第一一三号)
  • 附 則(平成一八年七月二五日総務省令第一〇〇号)
  • 附 則(平成一九年七月三一日総務省令第八六号)
  • 附 則(平成二〇年八月一五日総務省令第八九号)
  • 附 則(平成二〇年一〇月二二日総務省令第一一六号)抄
  • 附 則(平成二一年七月二八日総務省令第七八号)
  • 附 則(平成二二年七月二三日総務省令第七七号)
  • 附 則(平成二二年一二月七日総務省令第一〇六号)
  • 附 則(平成二三年八月五日総務省令第一一四号)
  • 附 則(平成二三年八月一二日総務省令第一一八号)抄
  • 附 則(平成二三年一〇月二六日総務省令第一四三号)
  • 附 則(平成二三年一二月一四日総務省令第一六〇号)
  • 附 則(平成二四年七月二四日総務省令第七一号)
  • 附 則(平成二五年七月二三日総務省令第七二号)
  • 附 則(平成二六年七月二五日総務省令第六三号)
  • 附 則(平成二七年七月二四日総務省令第六四号)
  • 附 則(平成二八年三月三一日総務省令第三三号)
  • 附 則(平成二八年七月二六日総務省令第七四号)
  • 附 則(平成二九年七月二五日総務省令第五二号)
  • 附 則(平成三〇年七月二四日総務省令第四六号)
  • 附 則(令和元年七月二三日総務省令第二九号)
  • 附 則(令和二年七月三一日総務省令第七二号)
  • 附 則(令和三年八月三日総務省令第七六号)
  • 附 則(令和三年一二月二四日総務省令第一一〇号)
  • 附 則(令和四年七月二六日総務省令第五〇号)
  • 附 則(令和四年一二月九日総務省令第七二号)
  • 附 則(令和五年七月二八日総務省令第六一号)
  • 附 則(令和五年一二月八日総務省令第八七号)
  • 別表第一 法第13条に規定する補正係数の算定に用いる補正率等の表(第6条、第7条、第9条、第10条、第11条の2、第13条、第17条、第49条関係)
  • 別表第二
  • 別表第二の二
  • 別表第二の三
  • 別表第二の四
  • 別表第二の五
  • 別表第三 削除
  • 別表第三の二 削除
  • 別表第三の三
  • 別表第三の四
  • 別表第三の五
  • 別表第三の六
  • 別表第三の七 削除
  • 別表第三の八
  • 別表第三の九
  • 別表第三の十
  • 別表第三の十一
  • 別表第三の十二 削除
  • 別表第三の十三
  • 別表第三の十四
  • 別表第四
  • 別表第五 削除
  • 別表第六
  • 別表第七
  • 別表第八
  • 別表第九
  • 別表第十 削除
  • 別表第十の二 削除
  • 別表第十一
  • 別表第十二
履歴
令和7年12月23日
令和7年総務省令第113号
令和5年12月8日
令和5年総務省令第87号
© Megaptera Inc.